Determining the Rheological Parameters of Polymers Using Artificial Neural Networks
Abstract
1. Introduction
2. Materials and Methods
- The long modulus of elasticity was calculated ;
- The stress was calculated by Formula (7);
- The maximum creep strain at t→∞ was determined by the formula:
- The number of steps for the creep deformation was set (we took it as equal to 200) and the step size was calculated:
- The creep strain growth rate at t = 0 was determined:
- The time step was calculated:
- The creep strain at time was then determined by the formula:
- The stresses at time were determined by the formula:
- The strain growth rate was then calculated from the stresses using Formula (2).
- MSE (mean square error):where is the current value of the variable at the output of the network, is the target value and is the total number of output values for the considered sample.
- MSEREG (mean squared error with regularization performance function). It measured the network performance as the weight sum of two factors: the mean squared error and the mean squared weight and bias values.
- SSE (sum squared error):
- MAE (mean absolute error):
3. Results
4. Discussion
5. Conclusions
Funding
Institutional Review Board Statement
Informed Consent Statement
Data Availability Statement
Acknowledgments
Conflicts of Interest
References
- Litvinov, S.V.; Yazyev, B.M.; Turko, M.S. Effecting of modified HDPE composition on the stress-strain state of constructions. IOP Conf. Ser. Mater. Sci. Eng. 2018, 463, 042063. [Google Scholar] [CrossRef]
- Amjadi, M.; Fatemi, A. Creep and fatigue behaviors of High-Density Polyethylene (HDPE): Effects of temperature, mean stress, frequency, and processing technique. Int. J. Fatigue 2020, 141, 105871. [Google Scholar] [CrossRef]
- Xiang, G.; Yin, D.; Meng, R.; Lu, S. Creep model for natural fiber polymer composites (NFPCs) based on variable order fractional derivatives: Simulation and parameter study. J. Appl. Polym. Sci. 2020, 137, 48796. [Google Scholar] [CrossRef]
- Tezel, T.; Kovan, V.; Topal, E.S. Effects of the printing parameters on short-term creep behaviors of three-dimensional printed polymers. J. Appl. Polym. Sci. 2019, 136, 47564. [Google Scholar] [CrossRef]
- Kuperman, A.M.; Turusov, R.A. Relaxation characteristics of reinforced plastics in tension of ring specimens by split disks. Mech. Compos. Mater. 2012, 48, 305–312. [Google Scholar] [CrossRef]
- Askadskii, A.; Matseevich, T.; Gorbacheva, O.A. Stress relaxation of wood-polymer composites of savewood. E3S Web Conf. 2019, 97, 02044. [Google Scholar] [CrossRef]
- Galitseiskii, K.B.; Timantsev, Y.A.; Dokuchaev, R.V.; Matseevich, T.A.; Buzin, M.I.; Piminova, K.S.; Askadskii, A.A. Compatibility of Components and Relaxation Properties of Composites Based on Secondary Polypropylene and Modified Basalt Fibers. Polym. Sci. Ser. A 2020, 62, 521–533. [Google Scholar] [CrossRef]
- Matseevich, T.; Askadskii, A. Relaxation properties of organo-mineral composites. IOP Conf. Ser. Mater. Sci. Eng. 2018, 365, 042010. [Google Scholar] [CrossRef]
- Afanasyev, E.S.; Goleneva, L.M.; Matseevich, T.A.; Askadskii, A.A. Synthesis and properties of a monolithic gradient polymer material based on polyurethane structures and 1, 4-butanediol as a chain extender. Polym. Sci. Ser. A 2017, 59, 12–26. [Google Scholar] [CrossRef]
- Chepurnenko, V.; Yazyev, B.; Song, X. Creep calculation for a three-layer beam with a lightweight filler. MATEC Web Conf. 2017, 129, 05009. [Google Scholar] [CrossRef]
- Trush, L.; Litvinov, S.; Zakieva, N.; Bayramukov, S. Optimization of the solution of a plane stress problem of a polymeric cylindrical object in thermoviscoelastic statement. In Energy Management of Municipal Transportation Facilities and Transport; Springer: Cham, Switzerland, 2017; pp. 885–893. [Google Scholar]
- Tsybin, N.Y.; Turusov, R.A.; Andreev, V.I. Comparison of creep in free polymer rod and creep in polymer layer of the layered composite. Procedia Eng. 2016, 153, 51–58. [Google Scholar] [CrossRef]
- Andreev, V.I.; Sereda, S.A. Calculation of an inhomogeneous polymer thick-walled cylindrical shell taking into account creep under the action of temperature load. IOP Conf. Ser. Mater. Sci. Eng. 2021, 1015, 012002. [Google Scholar] [CrossRef]
- Litvinov, S.V.; Klimenko, E.S.; Kulinich, I.I.; Yazyeva, S.B. Longitudinal bending of polymer rods with account taken of creep strains and initial imperfections. Int. Polym. Sci. Technol. 2015, 42, 23–26. [Google Scholar] [CrossRef]
- Litvinov, S.V.; Trush, L.I.; Yazyev, S.B. Flat axisymmetrical problem of thermal creepage for thick-walled cylinder made of recyclable PVC. Procedia Eng. 2016, 150, 1686–1693. [Google Scholar] [CrossRef]
- Dudnik, A.E.; Chepurnenko, A.S.; Litvinov, S.V. Determining the rheological parameters of polyvinyl chloride, with change in temperature taken into account. Int. Polym. Sci. Technol. 2017, 44, 30–33. [Google Scholar] [CrossRef]
- Chepurnenko, A.S.; Andreev, V.I.; Beskopylny, A.N.; Jazyev, B.M. Determination of Rheological Parameters of Polyvinylchloride at Different Temperatures. MATEC Web Conf. 2016, 67, 06059. [Google Scholar] [CrossRef]
- Kubat, M. Neural Networks: A Comprehensive Foundation; Prentice Hall: Upper Saddle River, NJ, USA, 1999. [Google Scholar]
- Elshamy, M.M.M.; Tiraturyan, A.N. Using application of an artificial neural network system to backcalculate pavement elastic modulus. Russ. J. Build. Constr. Archit. 2020, 2, 84–93. [Google Scholar] [CrossRef]
- Elshamy, M.M.M.; Tiraturyan, A.N.; Uglova, E.V.; Zakari, M. Development of the non-destructive monitoring methods of the pavement conditions via artificial neural networks. J. Phys. Conf. Ser. 2020, 1614, 012099. [Google Scholar] [CrossRef]
- Elshamy, M.M.M.; Tiraturyan, A.N.; Uglova, E.V. Evaluation of the elastic modulus of pavement layers using different types of neural networks models. Adv. Eng. Res. 2021, 21, 364–375. [Google Scholar] [CrossRef]
- Sumpter, B.G.; Noid, D.W. Neural networks and graph theory as computational tools for predicting polymer properties. Macromol. Theory Simul. 1994, 3, 363–378. [Google Scholar] [CrossRef]
- Duce, C.; Micheli, A.; Starita, A.; Tiné, M.R.; Solaro, R. Prediction of polymer properties from their structure by recursive neural networks. Macromol. Rapid Commun. 2006, 27, 711–715. [Google Scholar] [CrossRef]
- Miccio, L.A.; Schwartz, G.A. From chemical structure to quantitative polymer properties prediction through convolutional neural networks. Polymer 2020, 193, 122341. [Google Scholar] [CrossRef]
- Najjar, I.M.R.; Sadoun, A.M.; Abd Elaziz, M.; Abdallah, A.W.; Fathy, A.; Elsheikh, A.H. Predicting kerf quality characteristics in laser cutting of basalt fibers reinforced polymer composites using neural network and chimp optimization. Alex. Eng. J. 2022, 61, 11005–11018. [Google Scholar] [CrossRef]
- Elsheikh, A.H.; Abd Elaziz, M.; Vendan, A. Modeling ultrasonic welding of polymers using an optimized artificial intelligence model using a gradient-based optimizer. Weld. World 2022, 66, 27–44. [Google Scholar] [CrossRef]
- Elsheikh, A. Bistable Morphing Composites for Energy-Harvesting Applications. Polymers 2022, 14, 1893. [Google Scholar] [CrossRef]
- Nikora, N.I.; Chepurnenko, A.S.; Litvinov, S.V. Determination of long-term critical loads for compressed polymer rods with nonlinear creep. Eng. J. Don 2015, 34, 19. Available online: http://ivdon.ru/en/magazine/archive/n1p2y2015/2796 (accessed on 20 August 2022).
- Solov’eva, E.V.; Askadskii, A.A.; Popova, M.N. Investigation of the relaxation properties of original and secondary polyvinylchloride. Plast. Massy 2013, 2, 54–62. Available online: https://elibrary.ru/item.asp?id=18903261 (accessed on 20 August 2022).
- Litvinov, S.V.; Yazyev, S.B.; Chepurnenko, A.S.; Yazyev, B.M. Determination of Rheological Parameters of Polymer Materials Using Nonlinear Optimization Methods. Lect. Notes Civ. Eng. 2020, 130, 587–594. [Google Scholar]













| Time, Minutes | 0 | 3 | 6 | 15 | 30 | 45 | 60 | 90 | 120 | 180 | |
|---|---|---|---|---|---|---|---|---|---|---|---|
| MPa | |||||||||||
| 20 | 44.4 | 40.8 | 39.8 | 38.8 | 38.0 | 37.7 | 37.3 | 36.9 | 36.4 | 35.6 | |
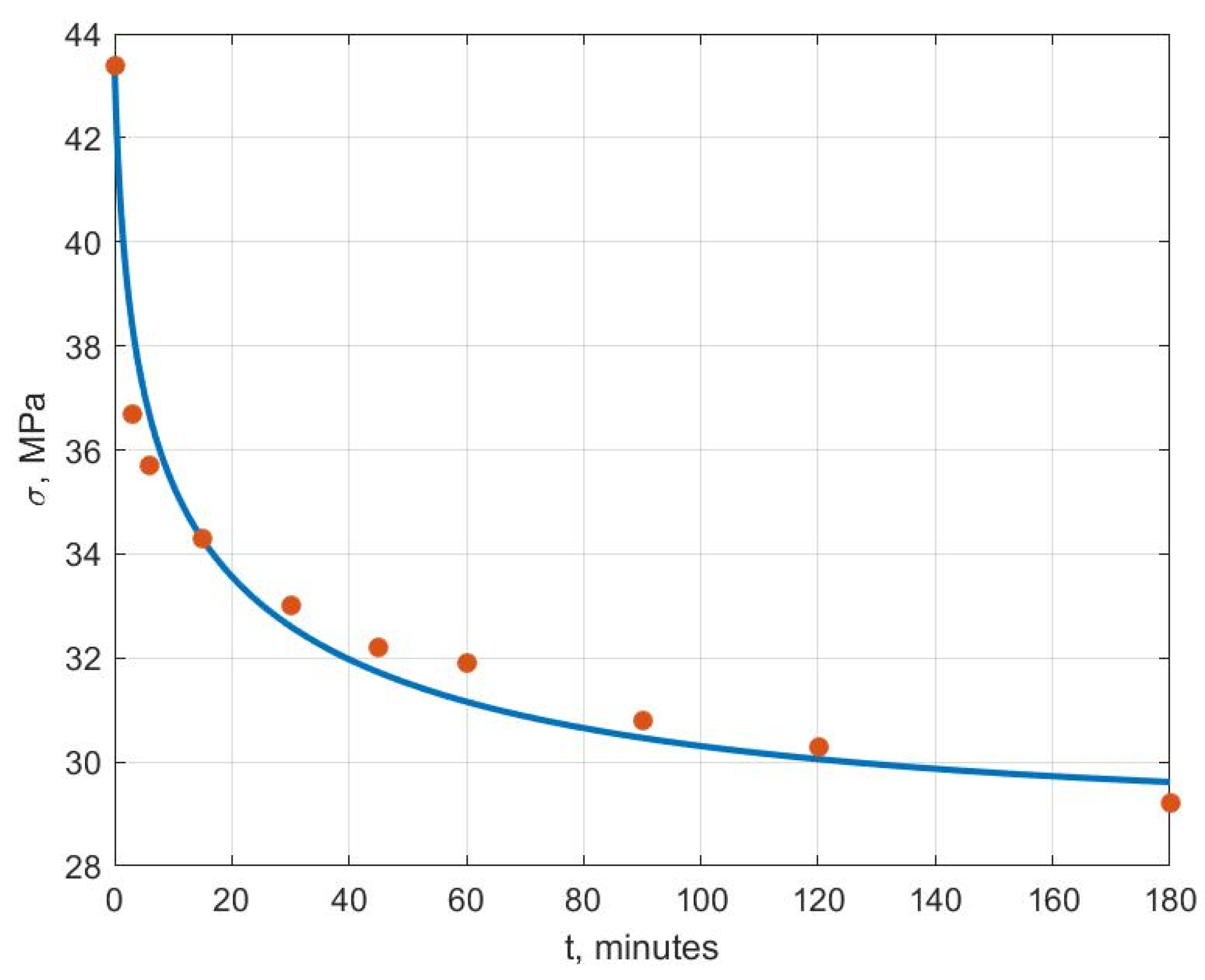
| 30 | 43.4 | 36.7 | 35.7 | 34.3 | 33.0 | 32.2 | 31.9 | 30.8 | 30.3 | 29.2 | |
| 40 | 39.3 | 32.9 | 31.4 | 29.0 | 27.0 | 25.9 | 24.9 | 23.8 | 22.7 | 21.3 | |
| 50 | 36.4 | 20.5 | 18.8 | 16.5 | 14.7 | 13.9 | 13.0 | 12.5 | 11.9 | 11.1 | |
| 60 | 33.4 | 15.4 | 13.4 | 10.6 | 8.61 | 7.63 | 6.95 | 6.02 | 5.42 | 5.05 | |
| 70 | 23.4 | 5.06 | 4.05 | 2.84 | 2.48 | 2.16 | 2.00 | 1.85 | 1.58 | 1.31 | |
| 20 | 30 | 40 | 50 | 60 | 70 | |
|---|---|---|---|---|---|---|
| 1480 | 1450 | 1310 | 1210 | 1113 | 780 | |
| MPa | 5990 | 2970 | 1550 | 532 | 198 | 46.3 |
| , MPa | 12.8 | 12.8 | 13.9 | 6.11 | 6.68 | 6.42 |
| 9.3 × 105 | 4.54 × 105 | 2.39 × 105 | 1.82 × 105 | 1.08 × 105 | 3.94 × 104 |
| T, °C | 20 | 30 | 40 | 50 | 60 | 70 | |
|---|---|---|---|---|---|---|---|
| R2 | Neural network | 0.9772 | 0.9668 | 0.9693 | 0.9985 | 0.9899 | 0.7604 |
| Classical algorithm | 0.9798 | 0.9712 | 0.9811 | 0.9421 | 0.9450 | 0.7796 | |
| Nonlinear optimization | 0.9918 | 0.9905 | 0.9909 | 0.9992 | 0.9994 | 0.9988 | |
Publisher’s Note: MDPI stays neutral with regard to jurisdictional claims in published maps and institutional affiliations. |
© 2022 by the author. Licensee MDPI, Basel, Switzerland. This article is an open access article distributed under the terms and conditions of the Creative Commons Attribution (CC BY) license (https://creativecommons.org/licenses/by/4.0/).
Share and Cite
Chepurnenko, A. Determining the Rheological Parameters of Polymers Using Artificial Neural Networks. Polymers 2022, 14, 3977. https://doi.org/10.3390/polym14193977
Chepurnenko A. Determining the Rheological Parameters of Polymers Using Artificial Neural Networks. Polymers. 2022; 14(19):3977. https://doi.org/10.3390/polym14193977
Chicago/Turabian StyleChepurnenko, Anton. 2022. "Determining the Rheological Parameters of Polymers Using Artificial Neural Networks" Polymers 14, no. 19: 3977. https://doi.org/10.3390/polym14193977
APA StyleChepurnenko, A. (2022). Determining the Rheological Parameters of Polymers Using Artificial Neural Networks. Polymers, 14(19), 3977. https://doi.org/10.3390/polym14193977

