A Review of Rigid Polymeric Cellular Foams and Their Greener Tannin-Based Alternatives
Abstract
1. Introduction
2. Rigid Cellular Materials
- Metallic foams, the skeleton of which can, for instance, be made of aluminum, nickel, steel, titanium, copper, etc., offer very good resistance to chemical attacks and high temperature [10].
- Ceramic foams based on alumina, silicon carbide, zirconia, etc., are also used for their thermal and chemical resistance.
- Carbon foams can be produced from a matrix that is either a polymeric carbon precursor or a support for the deposition of carbon prior to pyrolysis, or can be obtained by exfoliation and compaction of graphite. Their high but narrow porosity, electrical conductivity, and good resistance to high temperatures and fire make them good candidates in applications such as thermal energy storage, electrodes, gas adsorption/desorption, electromagnetic insulation, and fire protection [11].
- Polymeric foams, flexible or rigid, are composed of a wide range of macromolecules (polyurethane, polypropylene, polyethylene, polyvinyl chloride, phenol–formaldehyde, melamine–formaldehyde, polyimide, ethylene-vinyl acetate, polystyrene, etc.), and can cover a wide variety of applications depending on the targeted properties and the constraints of price, weight, physical and chemical compatibility.
- At the microscopic scale, pores with a diameter of less than 2 nm, i.e., micropores can be present in the solid walls, in response to mechanical and thermal stresses, and may bear different surface functions depending on the chemical nature of the foam (Figure 3a).
- At the mesoscopic scale (2 nm–500 µm), one can observe the arrangement of cells according to the theories of ideal cubic [12], spherical [15], tetrakaidecahedral [16] or mixed [17] structures (Figure 3b–e). At this level, it is possible to determine the size and shape of the cells and to evaluate their orientation, spatial distribution, and possible connectivity by scanning electron microscopy or microtomography (Figure 3a).
- At the macroscopic scale (>0.5 mm), the porous characteristics can be distinguished by the naked eye (Figure 3a). Thus, relative density ρ can be used to describe the material, defined as the ratio of the apparent (or bulk) density ρa (determined by the weight divided by the total volume: solid and cells) to the skeletal density ρs (i.e., not considering cells). The porosity, ϕ = 1 − ρ, is also often referred to as a complement of the relative density. To complete the picture, a cellular material can be characterized by two additional quantities. The tortuosity θ is defined as the ratio of the actual length of the flow path when a fluid passes through it to the actual distance between the two ends; and the permeability k accounts for the difficulty for that fluid to pass through the medium under consideration when subjected to a pressure gradient. These four parameters are widely used to characterize foams.
2.1. Formulations
- The chemical mechanisms of polymerization: polyaddition (production of a polymer chain without by-products); polycondensation (production of a polymer condensate and by-products, such as CO2 or H2O); cyclotrimerization (production of a polymer composed of cyclic units, obtained from three monomers); ring-opening (production of a polymer by opening the ring from which their monomers are composed); and free radical polymerization (production of a polymer chain by the reaction of radical monomers).
- The mechanical behavior under a light load: rigid and brittle foams, or flexible and deformable foams, without rupture under load (rubber-like behavior), or semi-rigid foams with an intermediate behavior [25].
2.1.1. Isocyanate Chemistry
Polyurethanes
- Isocyanates
- 2.
- Polyols
- 3.
- Additives
- Surfactants are generally copolymers chosen to modify the surface tension of the reactive mixture to achieve specific properties, e.g., to help solubilize or disperse a compound, increase the wetting of the mixture in the mold, plasticize the polymer, facilitate the nucleation of gas bubbles, increase the porosity, etc. [63]. To achieve this last objective, a surfactant is commonly added to polymer precursors in order to control the cell size and the type of porosity. Indeed, depending on the properties of the surfactant, the polymer film at the edge of the gas bubbles will be more or less resistant to the gas pressure generated by the bubbles, and will ensure a given dispersion of the latter. The gas bubbles trapped in the polymer mixture grow and create the cells of the matrix. As the material and gas expand, the cell wall becomes thinner and must resist the internal pressure. The ideal surfactant must provide the polymer with enough elasticity to resist deformation during expansion and harden when crosslinking, and likewise during cooling to prevent shrinkage [29]. Therefore, the use of surfactants and the amount added have an impact on the structural, thermal, and mechanical properties of the developed foams [52].
- Flame retardants are chemical reagents added to reduce the thermal degradation and flammability of PUR. Strict regulation with respect to furniture, transportation and construction have spurred research into flame-retardant components, as PUR foams burn easily and can spread incandescent materials. Fire-resistant components work by slowing combustion, incorporating halogens that react with the radicals responsible for increased combustion, and phosphorus that helps to form a carbon barrier and reduce the production of flammable gases. The fire behavior of PURs is the subject of many studies [33,50,64,65,66,67,68,69], including the incorporation of other types of resin in the formulation, such as urea–formaldehyde [70].
- Crosslinking agents and curing agents are chemical compounds that can react with the linear chain of the polymer and link several of its branches. These bonds stiffen the main chain and establish the polymer network with other precursors and additives. Various less common crosslinking reactions may be involved in PUR chemistry, occurring in the final stage of its formation. High temperatures are usually reached in the reactor as a result of the exothermic reactions of urethane formation and CO2 generation. These elevated temperatures promote the reaction of isocyanates with other urethane and urea units in the chain or with themselves, forming dimers or trimers. These branches stiffen the matrix and improve the mechanical properties of conventional PUR resins. In addition, PUR foams can be reinforced by adding fibers or other fillers to improve compressive strength [71].
- 4.
- Properties and Applications
Polyureas
Polyisocyanurates
2.1.2. Phenolic-Based Formulations
2.1.3. Alternatives Incorporating Bio-Based Reagents
2.2. Foams from Cradle to Grave
Foaming Pathways of Thermoset Foams
Physical Foaming
Chemical Foaming
Mechanical Foaming
2.3. End of Life and Recycling
2.3.1. Incineration and Landfill
2.3.2. Recycling and Reuse
- Physical recycling is based on thermal or mechanical treatments to cause the polymer matrix to break down into smaller segments such as fillers, powders, etc. These solid particles can then be used with a resin to produce composites or to reinforce polymers or other materials such as concrete [198,199]. Gaseous compounds from the thermal recycling of PUR and PIR have also been studied as potential compounds for high value-added uses [200]. They can also be more easily used for further chemical processing, such as hydrolysis, acidolysis or glycolysis [201].
- Chemical recycling is based on the transformation, through chemical reactions, of polymers to produce smaller molecules that can be used for appropriate reactions. Most studies have focused on PUR polymers, one of the main polymers on the market, and are detailed in the literature [185,202,203,204,205,206,207,208,209]. This kind of recovery protocol would be the most comprehensive, giving a second life to polymer waste. However, some steps are complex, requiring a lot of energy, purification, and processing in order to be incorporated into new polymeric structures. Five main reactions have been studied: the alcoholysis, glycolysis, hydrolysis, amine, and phosphate methods [28].
- Alcoholysis consists of the depolymerization of PUR by combining it with a short-chain alcohol and a catalyst to obtain a new polyol, aromatic molecules and amines. When the alcohol used is a glycol, it is called glycolysis.
- Hydrolysis instead involves treating PUR with steam and a metal hydroxide catalyst to produce diamines, polyols, and carbon dioxide.
- The amine process uses a fatty amine to break down the polymer into polyols, aromatic constituents, and amines.
- The phosphate ester process treats the material to produce halogenated components, depending on the initial reactant. The resulting products can be added as flame retardant additives to polymer blends.
3. Tannin–Furanic Foams (TFFs)
3.1. Formulations
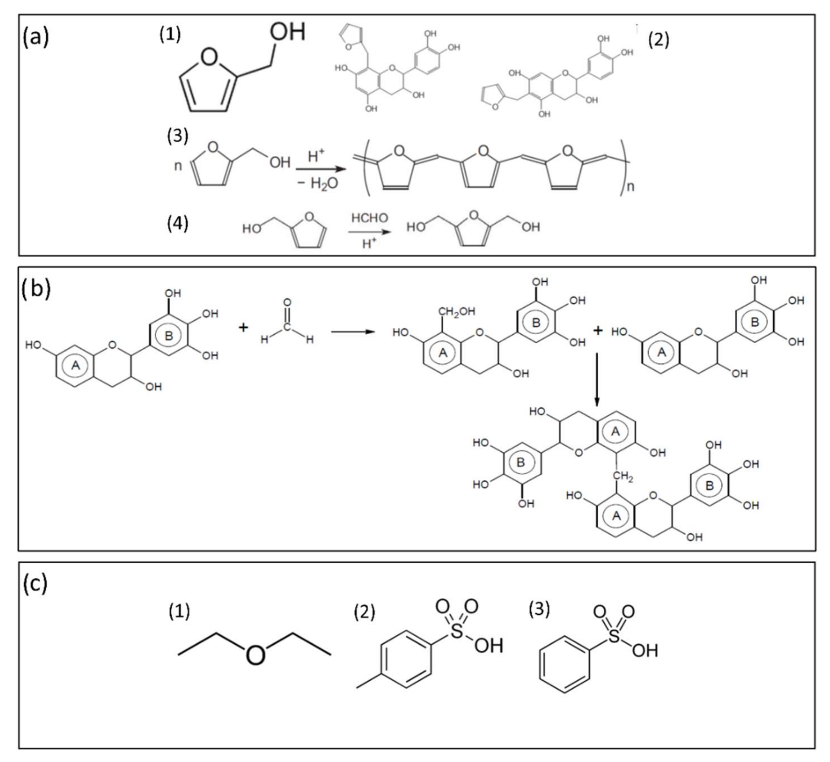
3.1.1. Tannins
3.1.2. Furfuryl Alcohol
3.1.3. Formaldehyde
3.1.4. Diethyl Ether
3.1.5. Para-Toluenesulfonic Acid
3.1.6. Additives
3.2. Expansion Steps
3.3. Physical Properties
3.3.1. Structural Properties
3.3.2. Thermal Properties
3.3.3. Mechanical Properties
3.3.4. Fire Resistance Properties
3.4. Applications and End of Life
4. Conclusions
Author Contributions
Funding
Institutional Review Board Statement
Informed Consent Statement
Data Availability Statement
Acknowledgments
Conflicts of Interest
Acronyms and Symbols
| bPUR | biopolyurethane |
| CBA | chemical blowing agent |
| CFC | chlorofluorocarbon |
| DE | diethyl ether |
| EP | epoxy |
| FA | furfuryl alcohol |
| HCFC | hydrochlorofluorocarbon |
| HFC | hydrofluorocarbon |
| MBF | mechanically blown foam |
| MDI | methylene diphenyl diisocyanate |
| mMDI | pure monomeric MDI |
| PBA | physical blowing agent |
| PF | phenol–formaldehyde |
| PFC | perfluorocarbon |
| PIR | polyisocyanurate |
| pMDI | polymeric MDI |
| PUA | polyurea |
| PUR | polyurethane |
| TDI | toluene diisocyanate |
| TFF | tannin–furanic foams |
| θ | tortuosity |
| k | permeability |
| ρ | relative density |
| ρa | apparent density |
| ρs | skeletal density (i.e., of the solid fraction) |
| ϕ | porosity |
References
- ADEME. Pourquoi et Comment Isoler Son Logement? Available online: https://librairie.ademe.fr/urbanisme-et-batiment/976-pourquoi-et-comment-isoler-son-logement-.html (accessed on 23 August 2022).
- White World Packaging srl, Insulation in EU. Available online: https://wgp4.com/en/insulation-in-eu/ (accessed on 23 August 2022).
- Abu-Jdayil, B.; Mourad, A.-H.; Hittini, W.; Hassan, M.; Hameedi, S. Traditional, State-of-the-Art and Renewable Thermal Building Insulation Materials: An Overview. Constr. Build. Mater. 2019, 214, 709–735. [Google Scholar] [CrossRef]
- Asdrubali, F.; D’Alessandro, F.; Schiavoni, S. A Review of Unconventional Sustainable Building Insulation Materials. Sustain. Mater. Technol. 2015, 4, 1–17. [Google Scholar] [CrossRef]
- Basso, M.-C.; Li, X.; Fierro, V.; Pizzi, A.; Giovando, S.; Celzard, A. Green, Formaldehyde-Free, Foams for Thermal Insulation. Adv. Mater. Lett. 2011, 2, 378–382. [Google Scholar] [CrossRef]
- Celzard, A.; Szczurek, A.; Jana, P.; Fierro, V.; Basso, M.-C.; Bourbigot, S.; Stauber, M.; Pizzi, A. Latest Progresses in the Preparation of Tannin-Based Cellular Solids. J. Cell. Plast. 2015, 51, 89–102. [Google Scholar] [CrossRef]
- Celzard, A.; Zhao, W.; Pizzi, A.; Fierro, V. Mechanical Properties of Tannin-Based Rigid Foams Undergoing Compression. Mater. Sci. Eng. A 2010, 527, 4438–4446. [Google Scholar] [CrossRef]
- Lacoste, C.; Basso, M.C.; Pizzi, A.; Laborie, M.-P.; Celzard, A.; Fierro, V. Pine Tannin-Based Rigid Foams: Mechanical and Thermal Properties. Ind. Crops Prod. 2013, 43, 245–250. [Google Scholar] [CrossRef]
- Tondi, G.; Pizzi, A.; Olives, R. Natural Tannin-Based Rigid Foams as Insulation for Doors and Wall Panels. Maderas Cienc. Tecnol. 2008, 10, 219–227. [Google Scholar] [CrossRef]
- Jiejun, W.; Chenggong, L.; Dianbin, W.; Manchang, G. Damping and Sound Absorption Properties of Particle Reinforced Al Matrix Composite Foams. Compos. Sci. Technol. 2003, 63, 569–574. [Google Scholar] [CrossRef]
- Letellier, M. Optimisation de Mousses de Carbone Dérivées de Tannin Par l’étude et La Modélisation de Leurs Propriétés Physiques. Ph.D. Thesis, Université de Lorraine, Nancy, France, 2015. [Google Scholar]
- Gibson, L.J.; Ashby, M.F. Cellular Solids: Structure and Properties; Cambridge University Press: Cambridge, UK, 1999; ISBN 1-316-02542-X. [Google Scholar]
- IUPAC. Gold Book—Foam. Available online: https://goldbook.iupac.org/html/F/F02467.html (accessed on 13 July 2018).
- Weaire, D.; Phelan, R. Cellular Structures in Three Dimensions. Phil. Trans. R Soc. Lond. A 1996, 354, 1989–1997. [Google Scholar] [CrossRef]
- Kırca, M.; Gül, A.; Ekinci, E.; Yardım, F.; Mugan, A. Computational Modeling of Micro-Cellular Carbon Foams. Finite Elem. Anal. Des. 2007, 44, 45–52. [Google Scholar] [CrossRef]
- Thomson, W. On the Division of Space with Minimum Partitional Area. Acta Math. 1887, 11, 121–134. [Google Scholar] [CrossRef]
- Phelan, R.; Weaire, D.; Peters, E.A.J.F.; Verbist, G. The Conductivity of a Foam. J. Phys. Condens. Matter 1996, 8, L475–L482. [Google Scholar] [CrossRef]
- Kusner, R.; Sullivan, J.M. Comparing the Weaire-Phelan Equal-Volume Foam to Kelvin’s Foam. Forma 1996, 11, 233–242. [Google Scholar]
- Fallet, A. Structure et Propriétés Mécaniques d’Empilements Aléatoires de Sphères Creuses: Caractérisation et Modélisation. Ph.D. Thesis, Institut National Polytechnique de Grenoble, Grenoble, France, 2008. [Google Scholar]
- Smithers Rapra. High-Performance Polymer Foams Market Is Forecast to Reach $122.4 Billion by 2021. Available online: https://www.smithersrapra.com/resources/2017/february/high-performance-polymer-foams-market-forecast (accessed on 4 September 2019).
- The Future of Polymer Foams to 2026. Market Reports and Research. Available online: https://www.smithers.com/services/market-reports/materials/the-future-of-polymer-foams-to-2025 (accessed on 3 February 2022).
- IUPAC. Gold Book—Thermosetting Polymer. Available online: https://goldbook.iupac.org/html/T/TT07168.html (accessed on 13 July 2018).
- IUPAC. Gold Book—Thermoplastic Elastomer. Available online: https://goldbook.iupac.org/html/T/TT07268.html (accessed on 3 September 2018).
- IUPAC. Gold Book—Elastomer. Available online: https://goldbook.iupac.org/html/E/ET07547.html (accessed on 3 September 2018).
- Imeokparia, D.D.; Suh, K.W.; Stobby, W.G. Cellular Materials. In Encyclopedia of Polymer Science and Technology; American Cancer Society: Atlanta, GA, USA, 2003; ISBN 978-0-471-44026-0. [Google Scholar]
- Carothers, W.H. Studies on Polymerization and Ring Formation. I. An Introduction to the General Theory of Condensation Polymers. J. Am. Chem. Soc. 1929, 51, 2548–2559. [Google Scholar] [CrossRef]
- Polyuréthanes—Société Chimique de France. Available online: http://www.societechimiquedefrance.fr/polyurethanes.html (accessed on 3 September 2019).
- Gama, N.; Ferreira, A.; Barros-Timmons, A. Polyurethane Foams: Past, Present, and Future. Materials 2018, 11, 1841. [Google Scholar] [CrossRef] [PubMed]
- Szycher, M. Szycher’s Handbook of Polyurethanes, 2nd ed.; CRC Press Taylor & Francis Group, LLC: Boca Raton, FL, USA, 2013; ISBN 978-1-4398-3958-4. [Google Scholar]
- Plastics Insight Polyurethane Production, Pricing and Market Demand. Available online: https://www.plasticsinsight.com/resin-intelligence/resin-prices/polyurethane/ (accessed on 4 September 2019).
- Polyurethane (PU) Market 2021: Top Companies Report Covers, Industry Outlook, Opportunities and Showing Impressive Growth by 2030 with Dominant Regions and Countries Data. Available online: https://www.marketwatch.com/press-release/polyurethane-pu-market-2021-top-companies-report-covers-industry-outlook-opportunities-and-showing-impressive-growth-by-2030-with-dominant-regions-and-countries-data-2021-12-06 (accessed on 3 February 2022).
- Landrock, A.H. Handbook of Plastic Foams: Types, Properties, Manufacture and Applications; Noyes Publication: Saddle River, NJ, USA, 1995; ISBN 0-8155-1357-7. [Google Scholar]
- Zhang, S.; Chu, F.; Xu, Z.; Zhou, Y.; Qiu, Y.; Qian, L.; Hu, Y.; Wang, B.; Hu, W. The Improvement of Fire Safety Performance of Flexible Polyurethane Foam by Highly-Efficient P-N-S Elemental Hybrid Synergistic Flame Retardant. J. Colloid Interface Sci. 2022, 606, 768–783. [Google Scholar] [CrossRef]
- Gu, X.; Gao, T.; Meng, X.; Zhu, Y.; Wang, G. Enhanced Hydrophobicity of Polyurethane with the Self-Assembly of Perfluoropolyether-Based Triblock Copolymers. Prog. Org. Coat. 2022, 162, 106561. [Google Scholar] [CrossRef]
- Wu, M.; Li, T.; Wang, P.; Wu, S.; Wang, R.; Lin, J. Dual-Encapsulated Highly Conductive and Liquid-Free Phase Change Composites Enabled by Polyurethane/Graphite Nanoplatelets Hybrid Networks for Efficient Energy Storage and Thermal Management. Small 2022, 18, 2105647. [Google Scholar] [CrossRef]
- Alavi Nikje, M.M.; Noruzian, M.; Tamaddoni Moghaddam, S. Investigation of Fe3O4/AEAP Supermagnetic Nanoparticles on the Morphological, Thermal and Magnetite Behavior of Polyurethane Rigid Foam Nanocomposites. Polimery 2015, 60, 26–32. [Google Scholar] [CrossRef]
- Ferkl, P.; Karimi, M.; Marchisio, D.L.; Kosek, J. Multi-Scale Modelling of Expanding Polyurethane Foams: Coupling Macro- and Bubble-Scales. Chem. Eng. Sci. 2016, 148, 55–64. [Google Scholar] [CrossRef]
- Ionescu, M. Chemistry and Technology of Polyols for Polyurethanes; Smithers Rapra Publishing: Shrewsbury, UK, 2005; ISBN 978-1-85957-501-7. [Google Scholar]
- Javni, I.; Zhang, W.; Petrović, Z.S. Soybean-Oil-Based Polyisocyanurate Rigid Foams. J. Polym. Environ. 2004, 12, 123–129. [Google Scholar] [CrossRef]
- Jin, J.F.; Chen, Y.L.; Wang, D.N.; Hu, C.P.; Zhu, S.; Vanoverloop, L.; Randall, D. Structures and Physical Properties of Rigid Polyurethane Foam Prepared with Rosin-Based Polyol. J. Appl. Polym. Sci. 2002, 84, 598–604. [Google Scholar] [CrossRef]
- Karimi, M.; Droghetti, H.; Marchisio, D.L. Multiscale Modeling of Expanding Polyurethane Foams via Computational Fluid Dynamics and Population Balance Equation. Macromol. Symp. 2016, 360, 108–122. [Google Scholar] [CrossRef]
- Lee, Y.; Baek, K.H.; Choe, K.; Han, C. Development of Mass Production Type Rigid Polyurethane Foam for LNG Carrier Using Ozone Depletion Free Blowing Agent. Cryogenics 2016, 80, 44–51. [Google Scholar] [CrossRef]
- Pikhurov, D.V.; Sakhatskii, A.S.; Zuev, V.V. Rigid Polyurethane Foams with Infused Hydrophilic/Hydrophobic Nanoparticles: Relationship between Cellular Structure and Physical Properties. Eur. Polym. J. 2018, 99, 403–414. [Google Scholar] [CrossRef]
- Pinto, M.L. Formulation, Preparation, and Characterization of Polyurethane Foams. J. Chem. Educ. 2010, 87, 212–215. [Google Scholar] [CrossRef]
- Rao, R.R.; Mondy, L.A.; Long, K.N.; Celina, M.C.; Wyatt, N.; Roberts, C.C.; Soehnel, M.M.; Brunini, V.E. The Kinetics of Polyurethane Structural Foam Formation: Foaming and Polymerization. AIChE J. 2017, 63, 2945–2957. [Google Scholar] [CrossRef]
- Sarier, N.; Onder, E. Thermal Characteristics of Polyurethane Foams Incorporated with Phase Change Materials. Thermochim. Acta 2007, 454, 90–98. [Google Scholar] [CrossRef]
- Xu, Z.; Tang, X.; Gu, A.; Fang, Z. Novel Preparation and Mechanical Properties of Rigid Polyurethane Foam/Organoclay Nanocomposites. J. Appl. Polym. Sci. 2007, 106, 439–447. [Google Scholar] [CrossRef]
- Yan, D.; Xu, L.; Chen, C.; Tang, J.; Ji, X.; Li, Z. Enhanced Mechanical and Thermal Properties of Rigid Polyurethane Foam Composites Containing Graphene Nanosheets and Carbon Nanotubes. Polym. Int. 2012, 61, 1107–1114. [Google Scholar] [CrossRef]
- Zhai, T.; Li, D.; Fei, G.; Xia, H. Piezoresistive and Compression Resistance Relaxation Behavior of Water Blown Carbon Nanotube/Polyurethane Composite Foam. Compos. Part Appl. Sci. Manuf. 2015, 72, 108–114. [Google Scholar] [CrossRef]
- Zhang, L.; Zhang, M.; Zhou, Y.; Hu, L. The Study of Mechanical Behavior and Flame Retardancy of Castor Oil Phosphate-Based Rigid Polyurethane Foam Composites Containing Expanded Graphite and Triethyl Phosphate. Polym. Degrad. Stab. 2013, 98, 2784–2794. [Google Scholar] [CrossRef]
- Zhu, H.; Xu, S. Preparation and Fire Behavior of Rigid Polyurethane Foams Synthesized from Modified Urea–Melamine–Formaldehyde Resins. RSC Adv. 2018, 8, 17879–17887. [Google Scholar] [CrossRef]
- Kim, S.H.; Kim, B.K.; Lim, H. Effect of Isocyanate Index on the Properties of Rigid Polyurethane Foams Blown by HFC 365mfc. Macromol. Res. 2008, 16, 467–472. [Google Scholar] [CrossRef]
- Borrero-López, A.M.; Valencia, C.; Franco, J.M. Rheology of Lignin-Based Chemical Oleogels Prepared Using Diisocyanate Crosslinkers: Effect of the Diisocyanate and Curing Kinetics. Eur. Polym. J. 2017, 89, 311–323. [Google Scholar] [CrossRef]
- Borrero-López, A.M.; Valencia, C.; Franco, J.M. Green and Facile Procedure for the Preparation of Liquid and Gel-like Polyurethanes Based on Castor Oil and Lignin: Effect of Processing Conditions on the Rheological Properties. J. Clean. Prod. 2020, 277, 123367. [Google Scholar] [CrossRef]
- Tenorio-Alfonso, A.; Sánchez, M.C.; Franco, J.M. Impact of Moisture Curing Conditions on the Chemical Structure and Rheological and Ultimate Adhesion Properties of Polyurethane Adhesives Based on Castor Oil and Cellulose Acetate. Prog. Org. Coat. 2021, 161, 106547. [Google Scholar] [CrossRef]
- Tenorio-Alfonso, A.; Sánchez, M.C.; Franco, J.M. Impact of the Processing Method on the Properties of Castor Oil/Cellulose Acetate Polyurethane Adhesives for Bonding Wood. Int. J. Adhes. Adhes. 2022, 116, 103153. [Google Scholar] [CrossRef]
- Gallego, R.; Arteaga, J.F.; Valencia, C.; Franco, J.M. Thickening Properties of Several NCO-Functionalized Cellulose Derivatives in Castor Oil. Chem. Eng. Sci. 2015, 134, 260–268. [Google Scholar] [CrossRef]
- Dworakowska, S.; Bogdał, D.; Zaccheria, F.; Ravasio, N. The Role of Catalysis in the Synthesis of Polyurethane Foams Based on Renewable Raw Materials. Catal. Today 2014, 223, 148–156. [Google Scholar] [CrossRef]
- Sardon, H.; Engler, A.C.; Chan, J.M.W.; García, J.M.; Coady, D.J.; Pascual, A.; Mecerreyes, D.; Jones, G.O.; Rice, J.E.; Horn, H.W.; et al. Organic Acid-Catalyzed Polyurethane Formation via a Dual-Activated Mechanism: Unexpected Preference of N-Activation over O-Activation of Isocyanates. J. Am. Chem. Soc. 2013, 135, 16235–16241. [Google Scholar] [CrossRef]
- Wegener, G.; Brandt, M.; Duda, L.; Hofmann, J.; Klesczewski, B.; Koch, D.; Kumpf, R.-J.; Orzesek, H.; Pirkl, H.-G.; Six, C.; et al. Trends in Industrial Catalysis in the Polyurethane Industry. Appl. Catal. Gen. 2001, 221, 303–335. [Google Scholar] [CrossRef]
- Sridaeng, D.; Jitaree, W.; Thiampanya, P.; Chantarasiri, N. Preparation of Rigid Polyurethane Foams Using Low-Emission Catalysts Derived from Metal Acetates and Ethanolamine. e-Polymers 2016, 16, 265–275. [Google Scholar] [CrossRef]
- Liu, P.S.; Chen, G.F. Chapter Five—Fabricating Porous Ceramics. In Porous Materials; Liu, P.S., Chen, G.F., Eds.; Butterworth-Heinemann: Oxford, UK, 2014; pp. 221–302. ISBN 978-0-12-407788-1. [Google Scholar]
- Guo, A.; Javni, I.; Petrovic, Z. Rigid Polyurethane Foams Based on Soybean Oil. J. Appl. Polym. Sci. 2000, 77, 467–473. [Google Scholar] [CrossRef]
- Akdogan, E.; Erdem, M.; Ureyen, M.E.; Kaya, M. Rigid Polyurethane Foams with Halogen-Free Flame Retardants: Thermal Insulation, Mechanical, and Flame Retardant Properties. J. Appl. Polym. Sci. 2019, 137, 47611. [Google Scholar] [CrossRef]
- Bhoyate, S.; Ionescu, M.; Kahol, P.K.; Gupta, R.K. Sustainable Flame-Retardant Polyurethanes Using Renewable Resources. Ind. Crops Prod. 2018, 123, 480–488. [Google Scholar] [CrossRef]
- Li, Q.; Wang, J.; Chen, L.; Shi, H.; Hao, J. Ammonium Polyphosphate Modified with β-Cyclodextrin Crosslinking Rigid Polyurethane Foam: Enhancing Thermal Stability and Suppressing Flame Spread. Polym. Degrad. Stab. 2019, 161, 166–174. [Google Scholar] [CrossRef]
- Shi, L.; Li, Z.-M.; Xie, B.-H.; Wang, J.-H.; Tian, C.-R.; Yang, M.-B. Flame Retardancy of Different-Sized Expandable Graphite Particles for High-Density Rigid Polyurethane Foams. Polym. Int. 2006, 55, 862–871. [Google Scholar] [CrossRef]
- Wang, S.-X.; Zhao, H.-B.; Rao, W.-H.; Huang, S.-C.; Wang, T.; Liao, W.; Wang, Y.-Z. Inherently Flame-Retardant Rigid Polyurethane Foams with Excellent Thermal Insulation and Mechanical Properties. Polymer 2018, 153, 616–625. [Google Scholar] [CrossRef]
- Yang, R.; Hu, W.; Xu, L.; Song, Y.; Li, J. Synthesis, Mechanical Properties and Fire Behaviors of Rigid Polyurethane Foam with a Reactive Flame Retardant Containing Phosphazene and Phosphate. Polym. Degrad. Stab. 2015, 122, 102–109. [Google Scholar] [CrossRef]
- Zhu, H.; Xu, S. Synthesis and Properties of Rigid Polyurethane Foams Synthesized from Modified Urea-Formaldehyde Resin. Constr. Build. Mater. 2019, 202, 718–726. [Google Scholar] [CrossRef]
- Członka, S.; Strąkowska, A.; Strzelec, K.; Kairytė, A.; Vaitkus, S. Composites of Rigid Polyurethane Foams and Silica Powder Filler Enhanced with Ionic Liquid. Polym. Test. 2019, 75, 12–25. [Google Scholar] [CrossRef]
- Liu, Q.; Liu, Y.; Shi, J.; Liu, Z.; Wang, Q.; Guo, C.F. High-Porosity Foam-Based Iontronic Pressure Sensor with Superhigh Sensitivity of 9280 KPa−1. Nano-Micro Lett. 2021, 14, 21. [Google Scholar] [CrossRef] [PubMed]
- Zhou, M.; Zhao, S.; Zhou, K.; Mei, F.; Qian, X.; Shi, C. Flexible Polyurethane Foams Surface-Modified with FeOOH for Improved Oil-Water Separation and Flame Retardancy. Mater. Chem. Phys. 2022, 276, 125408. [Google Scholar] [CrossRef]
- Billotto, F.V.; Mirdamadi, M.M.; Pearson, B.A. Design, Application Development, and Launch of Polyurethane Foam Systems in Vehicle Structures; SAE International: Warrendale, PA, USA, 2003. [Google Scholar]
- Narine, S.S.; Kong, X.; Bouzidi, L.; Sporns, P. Physical Properties of Polyurethanes Produced from Polyols from Seed Oils: II. Foams. J. Am. Oil Chem. Soc. 2007, 84, 65–72. [Google Scholar] [CrossRef]
- Lim, H.; Kim, S.H.; Kim, B.K. Effects of Silicon Surfactant in Rigid Polyurethane Foams. Express Polym. Lett. 2008, 2, 194–200. [Google Scholar] [CrossRef]
- Glicksman, L.R. Heat Transfer in Foams. In Low Density Cellular Plastics; Springer: Berlin/Heidelberg, Germany, 1994; pp. 104–152. [Google Scholar]
- Saha, M.C.; Barua, B.; Mohan, S. Study on the Cure Kinetic Behavior of Thermosetting Polyurethane Solids and Foams: Effect of Temperature, Density, and Carbon Nanofiber. J. Eng. Mater. Technol. 2011, 133, 011015. [Google Scholar] [CrossRef]
- Sung, G.; Choe, H.; Choi, Y.; Kim, J.H. Morphological, Acoustical, and Physical Properties of Free-Rising Polyurethane Foams Depending on the Flow Directions. Korean J. Chem. Eng. 2018, 35, 1045–1052. [Google Scholar] [CrossRef]
- Thirumal, M.; Khastgir, D.; Singha, N.K.; Manjunath, B.S.; Naik, Y.P. Effect of Foam Density on the Properties of Water Blown Rigid Polyurethane Foam. J. Appl. Polym. Sci. 2008, 108, 1810–1817. [Google Scholar] [CrossRef]
- Traeger, R.K. Physical Properties of Rigid Polyurethane Foams. J. Cell. Plast. 1967, 3, 405–418. [Google Scholar] [CrossRef]
- Wu, J.-W.; Sung, W.-F.; Chu, H.-S. Thermal Conductivity of Polyurethane Foams. Int. J. Heat Mass Transf. 1999, 42, 2211–2217. [Google Scholar] [CrossRef]
- Calvo-Correas, T.; Mosiewicki, M.A.; Corcuera, M.A.; Eceiza, A.; Aranguren, M.I. Linseed Oil-Based Polyurethane Rigid Foams: Synthesis and Characterization. J. Renew. Mater. 2015, 3, 3–13. [Google Scholar] [CrossRef]
- Jiang, T.; Wang, W.; Yu, D.; Huang, D.; Wei, N.; Hu, Y.; Huang, H. Synthesis and Characterization of Polyurethane Rigid Foams from Polyether Polyols with Isosorbide as the Bio-Based Starting Agent. J. Polym. Res. 2018, 25, 140. [Google Scholar] [CrossRef]
- Lee, S.-T.; Scholz, D.P.K. (Eds.) Polymeric Foams. In Polymeric Foams: Technology and Developments in Regulation; CRC Press Taylor & Francis Group, LLC: Boca Raton, FL, USA, 2009; ISBN 978-1-4200-6125-3. [Google Scholar]
- Riyapan, D.; Saetung, A.; Saetung, N. A Novel Rigid PU Foam Based on Modified Used Palm Oil as Sound Absorbing Material. J. Polym. Environ. 2019, 27, 1693–1708. [Google Scholar] [CrossRef]
- Zatorski, W.; Brzozowski, Z.K.; Kolbrecki, A. New Developments in Chemical Modification of Fire-Safe Rigid Polyurethane Foams. Polym. Degrad. Stab. 2008, 93, 2071–2076. [Google Scholar] [CrossRef]
- Oertel, G. Polyurethane Handbook; Carl Hanser Verlag: Munich, Germany, 1993. [Google Scholar]
- Hatakeyama, H.; Kato, N.; Nanbo, T.; Hatakeyama, T. Water Absorbent Polyurethane Composites Derived from Molasses and Lignin Filled with Microcrystalline Cellulose. J. Mater. Sci. 2012, 47, 7254–7261. [Google Scholar] [CrossRef]
- Chiriac, C.I.; Tanasǎ, F. Polyureas. In Ullmann’s Encyclopedia of Industrial Chemistry; Wiley: Hoboken, NJ, USA, 2000; ISBN 978-3-527-30673-2. [Google Scholar]
- Primeaux, I.D.J. Foamed Polyurea Elastomer-Rigid and Close-Celled. U.S. Patent #5,153,232, 8 February 1992. [Google Scholar]
- Borsus, J.M.; Merckaert, P.; Jérôme, R.; Teyssié, P. Catalysis of the Reaction between Isocyanates and Protonic Substrates. II. Kinetic Study of the Polyurea Foaming Process Catalyzed by a Series of Amino Compounds. J. Appl. Polym. Sci. 1982, 27, 4029–4042. [Google Scholar] [CrossRef]
- Creyf, H.S. Development and optimization of polyurea foam. In New Ways to Save Energy; Strub, A.S., Ehringer, H., Eds.; Springer: Dordrecht, Germany, 1980. [Google Scholar] [CrossRef]
- Staendeke, H.; Lagoda, R. Flame-Resistant Polyurea Foam. Patent #ZA952401B, 30 July 1998. [Google Scholar]
- Cartmell, M.J.; Brown, R.K. Polyurea Foam for Retrofit Insulation—An Update with Case Studies. J. Therm. Insul. 1983, 6, 250–262. [Google Scholar] [CrossRef]
- Frisch, K.C.; Baumann, H. Polyurea Foams Prepared from Isocyanate Water and a Lower Alkanol. Patent #4,454,251, 12 June 1984. [Google Scholar]
- Briody, J.M.; Narinesingh, D. Bifunctional Catalysis by Amides and Ureas in the Reaction of Amines with Phenylisocyanate. Tetrahedron Lett. 1971, 12, 4143–4146. [Google Scholar] [CrossRef]
- Ramirez, B.J.; Kingstedt, O.T.; Crum, R.; Gamez, C.; Gupta, V. Tailoring the Rate-Sensitivity of Low Density Polyurea Foams through Cell Wall Aperture Size. J. Appl. Phys. 2017, 121, 225107. [Google Scholar] [CrossRef]
- Borsus, J.M.; Jérôme, R.; Teyssié, P. Catalysis of the Reaction between Isocyanates and Protonic Substrates. I. Metal Salt–Amine Complexes as Catalysts in the Polyurea Foaming Process. J. Appl. Polym. Sci. 1981, 26, 3027–3043. [Google Scholar] [CrossRef]
- Ashida, K. Polyurethane and Related Foams: Chemistry and Technology; CRC Press: Boca Raton, FL, USA, 2006; ISBN 978-1-58716-159-9. [Google Scholar]
- Andersons, J.; Kirpluks, M.; Stiebra, L.; Cabulis, U. Anisotropy of the Stiffness and Strength of Rigid Low-Density Closed-Cell Polyisocyanurate Foams. Mater. Des. 2016, 92, 836–845. [Google Scholar] [CrossRef]
- Naruse, A.; Nanno, H.; Kurita, M.; Inohara, H.; Fukami, T. Development of All Water-Blown Polyisocyanurate Foam System for Metal-Faced Continuous Sandwich Panels. J. Cell. Plast. 2002, 38, 385–401. [Google Scholar] [CrossRef]
- Christian, J.E.; Courville, G.E.; Desjarlais, A.O.; Graves, R.S.; Linkous, R.L.; McElroy, D.L.; Weaver, F.J.; Wendt, R.L.; Yarbrough, D.W. The Technical Viability of Alternative Blowing Agents in Polyisocyanurate Roof Insulation: A Cooperative Industry/Government Project; Oak Ridge National Laboratoy: Oak Ridge, TN, USA, 1993.
- Stec, A.A.; Hull, T.R. Assessment of the Fire Toxicity of Building Insulation Materials. Energy Build. 2011, 43, 498–506. [Google Scholar] [CrossRef]
- Knop, A.; Pilato, L.A. Phenolic Resins: Chemistry, Applications and Performance Future Directions; Springer: Berlin, Germany, 1985; ISBN 978-3-662-02429-4. [Google Scholar]
- Sandhya, P.K.; Sreekala, M.S.; Thomas, S. Phenolic Based Foams: Preparation, Characterization, and Applications; Springer: Berlin, Germany, 2022; ISBN 9789811652370. [Google Scholar]
- De Carvalho, G.; Pimenta, J.A.; dos Santos, W.N.; Frollini, E. Phenolic and Lignophenolic Closed Cells Foams: Thermal Conductivity and Other Properties. Polym. Plast. Technol. Eng. 2003, 42, 605–626. [Google Scholar] [CrossRef]
- Auad, M.L.; Zhao, L.; Shen, H.; Nutt, S.R.; Sorathia, U. Flammability Properties and Mechanical Performance of Epoxy Modified Phenolic Foams. J. Appl. Polym. Sci. 2007, 104, 1399–1407. [Google Scholar] [CrossRef]
- Dos-Santos, C.G.; Costa, M.A.; Morais, W.A.D.; Pasa, V.M.D. Phenolic Foams from Wood Tar Resols. J. Appl. Polym. Sci. 2010, 115, 923–927. [Google Scholar] [CrossRef]
- Stefani, P.M.; Barchi, A.T.; Sabugal, J.; Vazquez, A. Characterization of Epoxy Foams. J. Appl. Polym. Sci. 2003, 90, 2992–2996. [Google Scholar] [CrossRef]
- Sui, X.; Wang, Z. Flame-Retardant and Mechanical Properties of Phenolic Foams Toughened with Polyethylene Glycol Phosphates. Polym. Adv. Technol. 2013, 24, 593–599. [Google Scholar] [CrossRef]
- Alonso, M.V.; Auad, M.L.; Nutt, S. Short-Fiber-Reinforced Epoxy Foams. Compos. Part Appl. Sci. Manuf. 2006, 37, 1952–1960. [Google Scholar] [CrossRef]
- Gardziella, A.; Pilato, L.A.; Knop, A. Phenolic Resins: Chemistry, Applications, Standardization, Safety and Ecology, 2nd ed.; Springer: Berlin, Germany, 2010; ISBN 978-3-642-08484-3. [Google Scholar]
- Cornick, M. Foam. In Phenolic Resins: A Century of Progress; Pilato, L., Ed.; Springer: Berlin, Germany, 2010; ISBN 978-3-642-04714-5. [Google Scholar]
- Dammel, R. Basic Chemistry of Novolaks. In Diazonaphthoquinone-Base Resists Tutor; SPIE: Bellingham, WA, USA, 1993. [Google Scholar]
- Desai, A.; Auad, M.L.; Shen, H.; Nutt, S.R. Mechanical Behavior of Hybrid Composite Phenolic Foam. J. Cell. Plast. 2008, 44, 15–36. [Google Scholar] [CrossRef]
- Lee, S.-H.; Teramoto, Y.; Shiraishi, N. Resol-Type Phenolic Resin from Liquefied Phenolated Wood and Its Application to Phenolic Foam. J. Appl. Polym. Sci. 2002, 84, 468–472. [Google Scholar] [CrossRef]
- Papa, A.J. Methyl Formate as an Adjuvant in Phenolic Foam Formation. Patent #4,033,910, 5 July 1977. [Google Scholar]
- Kim, B.G.; Lee, D.G. Development of Microwave Foaming Method for Phenolic Insulation Foams. J. Mater. Process. Technol. 2008, 201, 716–719. [Google Scholar] [CrossRef]
- Song, S.A.; Oh, H.J.; Kim, B.G.; Kim, S.S. Novel Foaming Methods to Fabricate Activated Carbon Reinforced Microcellular Phenolic Foams. Compos. Sci. Technol. 2013, 76, 45–51. [Google Scholar] [CrossRef]
- Shen, H.; Nutt, S. Mechanical Characterization of Short Fiber Reinforced Phenolic Foam. Compos. Part Appl. Sci. Manuf. 2003, 34, 899–906. [Google Scholar] [CrossRef]
- Rickle, G.K.; Denslow, K.R. The Effect of Water on Phenolic Foam Cell Structure. J. Cell. Plast. 1988, 24, 70–78. [Google Scholar] [CrossRef]
- Del Saz-Orozco, B.; Alonso, M.V.; Oliet, M.; Domínguez, J.C.; Rojo, E.; Rodriguez, F. Lignin Particle- and Wood Flour-Reinforced Phenolic Foams: Friability, Thermal Stability and Effect of Hygrothermal Aging on Mechanical Properties and Morphology. Compos. Part B Eng. 2015, 80, 154–161. [Google Scholar] [CrossRef]
- Desai, A.; Nutt, S.R.; Alonso, M.V. Modeling of Fiber-Reinforced Phenolic Foam. J. Cell. Plast. 2008, 44, 391–413. [Google Scholar] [CrossRef]
- Zhou, J.; Yao, Z.; Chen, Y.; Wei, D.; Wu, Y. Thermomechanical Analyses of Phenolic Foam Reinforced with Glass Fiber Mat. Mater. Des. 2013, 51, 131–135. [Google Scholar] [CrossRef]
- Yang, Z.; Zhao, X.; Ding, Y.; Yang, Q.; Ye, L. Structure and Mechanical Stability of Epoxy Modified Polyurethane Foam Under Heat and Stress. J. Macromol. Sci. Part B 2019, 58, 113–127. [Google Scholar] [CrossRef]
- Ma, Y.; Gong, X.; Jia, P. The Effects of DOPO-g-ITA Modified Microcrystalline Cellulose on the Properites of Composite Phenolic Foams. J. Renew. Mater. 2020, 8, 45–55. [Google Scholar] [CrossRef]
- Chian, K.S.; Gan, L.H. Development of a Rigid Polyurethane Foam from Palm Oil. J. Appl. Polym. Sci. 1998, 68, 509–515. [Google Scholar] [CrossRef]
- Cho, S.T.; So, J.I.; Jung, J.-Y.; Hwang, S.; Baeck, S.-H.; Shim, S.E. Polymerization Kinetics and Physical Properties of Polyurethanes Synthesized by Bio-Based Monomers. Macromol. Res. 2019, 27, 153–163. [Google Scholar] [CrossRef]
- Herrán, R.; Amalvy, J.I.; Chiacchiarelli, L.M. Highly Functional Lactic Acid Ring-opened Soybean Polyols Applied to Rigid Polyurethane Foams. J. Appl. Polym. Sci. 2019, 136, 47959. [Google Scholar] [CrossRef]
- Hu, Y.H.; Gao, Y.; Wang, D.N.; Hu, C.P.; Zu, S.; Vanoverloop, L.; Randall, D. Rigid Polyurethane Foam Prepared from a Rape Seed Oil Based Polyol. J. Appl. Polym. Sci. 2002, 84, 591–597. [Google Scholar] [CrossRef]
- Kakroodi, A.R.; Khazabi, M.; Maynard, K.; Sain, M.; Kwon, O.-S. Soy-Based Polyurethane Spray Foam Insulations for Light Weight Wall Panels and Their Performances under Monotonic and Static Cyclic Shear Forces. Ind. Crops Prod. 2015, 74, 1–8. [Google Scholar] [CrossRef]
- Kurańska, M.; Prociak, A. The Influence of Rapeseed Oil-Based Polyols on the Foaming Process of Rigid Polyurethane Foams. Ind. Crops Prod. 2016, 89, 182–187. [Google Scholar] [CrossRef]
- Mahmood, N.; Yuan, Z.; Schmidt, J.; Xu, C. (Charles) Preparation of Bio-Based Rigid Polyurethane Foam Using Hydrolytically Depolymerized Kraft Lignin via Direct Replacement or Oxypropylation. Eur. Polym. J. 2015, 68, 1–9. [Google Scholar] [CrossRef]
- Marcovich, N.E.; Kurańska, M.; Prociak, A.; Malewska, E.; Kulpa, K. Open Cell Semi-Rigid Polyurethane Foams Synthesized Using Palm Oil-Based Bio-Polyol. Ind. Crops Prod. 2017, 102, 88–96. [Google Scholar] [CrossRef]
- Paciorek-Sadowska, J.; Borowicz, M.; Czupryński, B.; Isbrandt, M. Effect of Evening Primrose Oil-Based Polyol on the Properties of Rigid Polyurethane–Polyisocyanurate Foams for Thermal Insulation. Polymers 2018, 10, 1334. [Google Scholar] [CrossRef]
- Petrović, Z.S. Polyurethanes from Vegetable Oils. Polym. Rev. 2008, 48, 109–155. [Google Scholar] [CrossRef]
- Shirke, A.; Dholakiya, B.; Kuperkar, K. Novel Applications of Castor Oil Based Polyurethanes: A Short Review. Polym. Sci. Ser. B 2015, 57, 292–297. [Google Scholar] [CrossRef]
- Yang, R.; Wang, B.; Li, M.; Zhang, X.; Li, J. Preparation, Characterization and Thermal Degradation Behavior of Rigid Polyurethane Foam Using a Malic Acid Based Polyols. Ind. Crops Prod. 2019, 136, 121–128. [Google Scholar] [CrossRef]
- Bossion, A. New Challenges in the Synthesis of Non-Isocyanate Polyurethanes. Ph.D. Thesis, University of Bordeaux, Bordeaux, France, 2019. [Google Scholar]
- Clark, J.; Farmer, T.J.; Ingram, I.; Lie, Y.; North, M. Renewable Self-Blowing Non-Isocyanate Polyurethane Foams from Lysine and Sorbitol. Eur. J. Org. Chem. 2018, 2018, 4265–4271. [Google Scholar] [CrossRef]
- Thébault, M.; Pizzi, A.; Santiago-Medina, F.J.; Al-Marzouki, F.M.; Abdalla, S. Isocyanate-Free Polyurethanes by Coreaction of Condensed Tannins with Aminated Tannins. J. Renew. Mater. 2017, 5, 21–29. [Google Scholar] [CrossRef]
- Thébault, M.; Pizzi, A.; Essawy, H.A.; Barhoum, A.; Van Assche, G. Isocyanate Free Condensed Tannin-Based Polyurethanes. Eur. Polym. J. 2015, 67, 513–526. [Google Scholar] [CrossRef]
- Thébault, M.; Pizzi, A.; Dumarçay, S.; Gerardin, P.; Fredon, E.; Delmotte, L. Polyurethanes from Hydrolysable Tannins Obtained without Using Isocyanates. Ind. Crops Prod. 2014, 59, 329–336. [Google Scholar] [CrossRef]
- Boerjan, W.; Ralph, J.; Baucher, M. Lignin Biosynthesis. Annu. Rev. Plant Biol. 2003, 54, 519–546. [Google Scholar] [CrossRef]
- Borrero-López, A.M.; Martín-Sampedro, R.; Ibarra, D.; Valencia, C.; Eugenio, M.E.; Franco, J.M. Evaluation of Lignin-Enriched Side-Streams from Different Biomass Conversion Processes as Thickeners in Bio-Lubricant Formulations. Int. J. Biol. Macromol. 2020, 162, 1398–1413. [Google Scholar] [CrossRef] [PubMed]
- Borrero-López, A.M.; Valencia, C.; Ibarra, D.; Ballesteros, I.; Franco, J.M. Lignin-Enriched Residues from Bioethanol Production: Chemical Characterization, Isocyanate Functionalization and Oil Structuring Properties. Int. J. Biol. Macromol. 2022, 195, 412–423. [Google Scholar] [CrossRef]
- Alonso, M.V.; Oliet, M.; Pérez, J.M.; Rodríguez, F.; Echeverría, J. Determination of Curing Kinetic Parameters of Lignin–Phenol–Formaldehyde Resol Resins by Several Dynamic Differential Scanning Calorimetry Methods. Thermochim. Acta 2004, 419, 161–167. [Google Scholar] [CrossRef]
- Calvo-Flores, F.G.; Dobado, J.A. Lignin as Renewable Raw Material. ChemSusChem 2010, 3, 1227–1235. [Google Scholar] [CrossRef] [PubMed]
- Borrero-López, A.M.; Valencia, C.; Domínguez, G.; Eugenio, M.; Franco, J.M. Rheology and Adhesion Performance of Adhesives Formulated with Lignins from Agricultural Waste Straws Subjected to Solid-State Fermentation. Ind. Crops Prod. 2021, 171, 113876. [Google Scholar] [CrossRef]
- Domínguez, G.; Blánquez, A.; Borrero-López, A.M.; Valencia, C.; Eugenio, M.E.; Arias, M.E.; Rodríguez, J.; Hernández, M. Eco-Friendly Oleogels from Functionalized Kraft Lignin with Laccase SilA from Streptomyces Ipomoeae: An Opportunity to Replace Commercial Lubricants. ACS Sustain. Chem. Eng. 2021, 9, 4611–4616. [Google Scholar] [CrossRef]
- Borrero-López, A.M.; Wang, L.; Valencia, C.; Franco, J.M.; Rojas, O.J. Lignin Effect in Castor Oil-Based Elastomers: Reaching New Limits in Rheological and Cushioning Behaviors. Compos. Sci. Technol. 2021, 203, 108602. [Google Scholar] [CrossRef]
- Fulcrand, H.; Rouméas, L.; Billerach, G.; Aouf, C.; Dubreucq, E. Advances in Bio-Based Thermosetting Polymers. In Recent Advances in Polyphenol Research; Halbwirth, H., Stich, K., Cheynier, V., Quideau, S., Eds.; John Wiley & Sons, Ltd.: Chichester, UK, 2019; pp. 285–334. ISBN 978-1-119-42789-6. [Google Scholar]
- Mimini, V.; Kabrelian, V.; Fackler, K.; Hettegger, H.; Potthast, A.; Rosenau, T. Lignin-Based Foams as Insulation Materials: A Review. Holzforschung 2018, 73, 117–130. [Google Scholar] [CrossRef]
- Wang, S.; Liu, W.; Yang, D.; Qiu, X. Highly Resilient Lignin-Containing Polyurethane Foam. Ind. Eng. Chem. Res. 2019, 58, 496–504. [Google Scholar] [CrossRef]
- Zhang, X.; Kim, Y.; Eberhardt, T.L.; Shmulsky, R. Lab-Scale Structural Insulated Panels with Lignin-Incorporated Rigid Polyurethane Foams as Core. Ind. Crops Prod. 2019, 132, 292–300. [Google Scholar] [CrossRef]
- Bo, C.; Hu, L.; Chen, Y.; Yang, X.; Zhang, M.; Zhou, Y. Synthesis of a Novel Cardanol-Based Compound and Environmentally Sustainable Production of Phenolic Foam. J. Mater. Sci. 2018, 53, 10784–10797. [Google Scholar] [CrossRef]
- Bo, C.; Yang, X.; Hu, L.; Zhang, M.; Jia, P.; Zhou, Y. Enhancement of Flame-Retardant and Mechanical Performance of Phenolic Foam with the Incorporation of Cardanol-Based Siloxane. Polym. Compos. 2019, 40, 2539–2547. [Google Scholar] [CrossRef]
- Berthier, J.-C. Polyuréthanes—PUR. In Techniques de l’ingénieur; Matériaux-Plastiques et Composites: Saint-Denis, France, 2009; p. 27. ISBN AM3425 v2. [Google Scholar]
- Singh, S.N. Blowing Agents for Polyurethane Foams; Rapra Technology Ltd.: Shawbury, UK, 2002. [Google Scholar]
- Fahey, D.W.; Hegglin, M.I. Twenty Questions and Answers About the Ozone Layer: 2010 Update; World Meteorological Organization: Geneva, Switzerland, 2010. [Google Scholar]
- UNEP Montreal Protocol on Substances That Deplete the Ozone Layer. Int. Negot. 1987, 1, 49. [CrossRef]
- UNEP. Copenhagen Amendment. 1992. Available online: https://unep.ch/ozone/french/Ratification_status/copenhagen_amendment.shtml (accessed on 31 May 2019).
- UNEP. Montreal Protocol on Substances That Deplete the Ozone Layer; UNEP: Athens, Greece, 1999; p. 204. [Google Scholar]
- UNEP. Rapport de la Vingt-Huitième Réunion des Parties au Protocole de Montréal Relatif à des Substances qui Appauvrissent la Couche d’Ozone-28ème Réunion des Parties au Protocole de Montréal; UNEP: Athens, Greece, 2016; p. 80. [Google Scholar]
- Basso, M.C.; Pizzi, A.; Celzard, A. Dynamic Foaming Behaviour of Polyurethane vs. Tannin/Furanic Foams. J. Renew. Mater. 2013, 1, 273–278. [Google Scholar] [CrossRef]
- Meikleham, N.E.; Pizzi, A. Acid-and Alkali-Catalyzed Tannin-Based Rigid Foams. J. Appl. Polym. Sci. 1994, 53, 1547–1556. [Google Scholar] [CrossRef]
- Al-Moameri, H.; Zhao, Y.; Ghoreishi, R.; Suppes, G.J. Simulation Blowing Agent Performance, Cell Morphology, and Cell Pressure in Rigid Polyurethane Foams. Ind. Eng. Chem. Res. 2016, 55, 2336–2344. [Google Scholar] [CrossRef]
- Modesti, M.; Adriani, V.; Simioni, F. Chemical and Physical Blowing Agents in Structural Polyurethane Foams: Simulation and Characterization. Polym. Eng. Sci. 2000, 40, 2046–2057. [Google Scholar] [CrossRef]
- Al-Moameri, H.; Zhao, Y.; Ghoreishi, R.; Suppes, G.J. Simulation of Liquid Physical Blowing Agents for Forming Rigid Urethane Foams. J. Appl. Polym. Sci. 2015, 132, 42454. [Google Scholar] [CrossRef]
- Ling, Y.; Yao, S.; Chen, Y.; Hu, D.; Xi, Z.; Zhao, L. Synergetic Effect between Curing Reaction and CO2 Diffusion for Microcellular Epoxy Foam Preparation in Supercritical CO2. J. Supercrit. Fluids 2022, 180, 105424. [Google Scholar] [CrossRef]
- Breuer, R.; Hendriks, S.; Reinhardt, N.; Facklam, M.; Hopmann, C. Modeling Flow and Cell Formation in Foam Sheet Extrusion of Polystyrene with CO2 and Co-Blowing Agents. Part I: Material Model. Polym. Eng. Sci. 2021, 61, 2799–2813. [Google Scholar] [CrossRef]
- Link, M.; Kolbitsch, C.; Tondi, G.; Ebner, M.; Wieland, S.; Petutschnigg, A. Formaldehyde-Free Tannin-Based Foams and Their Use as Lightweight Panels. Bioresources 2011, 6, 4218–4228. [Google Scholar]
- Zubair, M.; Ferrari, R.; Alagha, O.; Mu’azu, N.D.; Blaisi, N.I.; Ateeq, I.S.; Manzar, M.S. Microwave Foaming of Materials: An Emerging Field. Polymers 2020, 12, 2477. [Google Scholar] [CrossRef]
- Basso, M.C.; Giovando, S.; Pizzi, A.; Celzard, A.; Fierro, V. Tannin/Furanic Foams without Blowing Agents and Formaldehyde. Ind. Crops Prod. 2013, 49, 17–22. [Google Scholar] [CrossRef]
- Santiago-Medina, F.J.; Tenorio-Alfonso, A.; Delgado-Sánchez, C.; Basso, M.C.; Pizzi, A.; Celzard, A.; Fierro, V.; Sánchez, M.C.; Franco, J.M. Projectable Tannin Foams by Mechanical and Chemical Expansion. Ind. Crops Prod. 2018, 120, 90–96. [Google Scholar] [CrossRef]
- Szczurek, A.; Fierro, V.; Pizzi, A.; Stauber, M.; Celzard, A. A New Method for Preparing Tannin-Based Foams. Ind. Crops Prod. 2014, 54, 40–53. [Google Scholar] [CrossRef]
- Santiago-Medina, F.J.; Delgado-Sánchez, C.; Basso, M.C.; Pizzi, A.; Fierro, V.; Celzard, A. Mechanically Blown Wall-Projected Tannin-Based Foams. Ind. Crops Prod. 2018, 113, 316–323. [Google Scholar] [CrossRef]
- Baser, S.A.; Khakhar, D.V. Modeling of the Dynamics of R-11 Blown Polyurethane Foam Formation. Polym. Eng. Sci. 1994, 34, 632–641. [Google Scholar] [CrossRef]
- Li, X.; Basso, M.C.; Fierro, V.; Pizzi, A.; Celzard, A. Chemical Modification of Tannin/Furanic Rigid Foams by Isocyanates and Polyurethanes. Maderas Cienc. Tecnol. 2012, 14, 257–265. [Google Scholar] [CrossRef]
- Smithers Rapra. Polymer Foams Market Forecast to 2019. Available online: https://www.smithersrapra.com/news/2014/may/polymer-foam-market-to-consume-25-3-million-tonnes (accessed on 4 September 2019).
- Molero, C.; de Lucas, A.; Rodríguez, J.F. Recovery of Polyols from Flexible Polyurethane Foam by “Split-Phase” Glycolysis with New Catalysts. Polym. Degrad. Stab. 2006, 91, 894–901. [Google Scholar] [CrossRef]
- Quadrini, F.; Bellisario, D.; Santo, L. Recycling of Thermoset Polyurethane Foams. Polym. Eng. Sci. 2013, 53, 1357–1363. [Google Scholar] [CrossRef]
- Ulrich, H.; Odinak, A.; Tucker, B.; Sayigh, A.A.R. Recycling of Polyurethane and Polyisocyanurate Foam. Polym. Eng. Sci. 1978, 18, 844–848. [Google Scholar] [CrossRef]
- Yang, W.; Dong, Q.; Liu, S.; Xie, H.; Liu, L.; Li, J. Recycling and Disposal Methods for Polyurethane Foam Wastes. Procedia Environ. Sci. 2012, 16, 167–175. [Google Scholar] [CrossRef]
- Zia, K.M.; Bhatti, H.N.; Ahmad Bhatti, I. Methods for Polyurethane and Polyurethane Composites, Recycling and Recovery: A Review. React. Funct. Polym. 2007, 67, 675–692. [Google Scholar] [CrossRef]
- Azzarello, M.Y.; Vleet, E.S.V. Marine Birds and Plastic Pollution. Mar. Ecol. Prog. Ser. 1987, 37, 295–303. [Google Scholar] [CrossRef]
- Eriksen, M.; Lebreton, L.C.M.; Carson, H.S.; Thiel, M.; Moore, C.J.; Borerro, J.C.; Galgani, F.; Ryan, P.G.; Reisser, J. Plastic Pollution in the World’s Oceans: More than 5 Trillion Plastic Pieces Weighing over 250,000 Tons Afloat at Sea. PLoS ONE 2014, 9, e111913. [Google Scholar] [CrossRef]
- Howard, G.T. Biodegradation of Polyurethane: A Review. Int. Biodeterior. Biodegrad. 2002, 49, 245–252. [Google Scholar] [CrossRef]
- Fajardo, C.; Blánquez, A.; Domínguez, G.; Borrero-López, A.M.; Valencia, C.; Hernández, M.; Arias, M.E.; Rodríguez, J. Assessment of Sustainability of Bio Treated Lignocellulose-Based Oleogels. Polymers 2021, 13, 267. [Google Scholar] [CrossRef]
- Filip, Z. Decomposition of Polyurethane in a Garbage Landfill Leakage Water and by Soil Microorganisms. Eur. J. Appl. Microbiol. Biotechnol. 1978, 5, 225–231. [Google Scholar] [CrossRef]
- Urgun-Demirtas, M.; Singh, D.; Pagilla, K. Laboratory Investigation of Biodegradability of a Polyurethane Foam under Anaerobic Conditions. Polym. Degrad. Stab. 2007, 92, 1599–1610. [Google Scholar] [CrossRef]
- Kloss, J.R.; Pedrozo, T.H.; Dal Magro Follmann, H.; Peralta-Zamora, P.; Dionísio, J.A.; Akcelrud, L.; Zawadzki, S.F.; Ramos, L.P. Application of the Principal Component Analysis Method in the Biodegradation Polyurethanes Evaluation. Mater. Sci. Eng. C 2009, 29, 470–473. [Google Scholar] [CrossRef]
- Borowicz, M.; Paciorek-Sadowska, J.; Lubczak, J.; Czupryński, B. Biodegradable, Flame-Retardant, and Bio-Based Rigid Polyurethane/Polyisocyanurate Foams for Thermal Insulation Application. Polymers 2019, 11, 1816. [Google Scholar] [CrossRef]
- Lattuati-Derieux, A.; Thao-Heu, S.; Lavédrine, B. Assessment of the Degradation of Polyurethane Foams after Artificial and Natural Ageing by Using Pyrolysis-Gas Chromatography/Mass Spectrometry and Headspace-Solid Phase Microextraction-Gas Chromatography/Mass Spectrometry. J. Chromatogr. A 2011, 1218, 4498–4508. [Google Scholar] [CrossRef] [PubMed]
- Magnin, A.; Pollet, E.; Phalip, V.; Avérous, L. Evaluation of Biological Degradation of Polyurethanes. Biotechnol. Adv. 2020, 39, 107457. [Google Scholar] [CrossRef]
- Howard, G.T. Polyurethane Biodegradation. In Microbial Degradation of Xenobiotics; Environmental Science and Engineering; Singh, S.N., Ed.; Springer: Berlin, Germany, 2012; pp. 371–394. ISBN 978-3-642-23789-8. [Google Scholar]
- Rebeiz, K.S.; Craft, A.P. Plastic Waste Management in Construction: Technological and Institutional Issues. Resour. Conserv. Recycl. 1995, 15, 245–257. [Google Scholar] [CrossRef]
- Siddique, R.; Khatib, J.; Kaur, I. Use of Recycled Plastic in Concrete: A Review. Waste Manag. 2008, 28, 1835–1852. [Google Scholar] [CrossRef] [PubMed]
- Eschenbacher, A.; Varghese, R.J.; Weng, J.; Van Geem, K.M. Fast Pyrolysis of Polyurethanes and Polyisocyanurate with and without Flame Retardant: Compounds of Interest for Chemical Recycling. J. Anal. Appl. Pyrolysis 2021, 160, 105374. [Google Scholar] [CrossRef]
- Cregut, M.; Bedas, M.; Durand, M.-J.; Thouand, G. New Insights into Polyurethane Biodegradation and Realistic Prospects for the Development of a Sustainable Waste Recycling Process. Biotechnol. Adv. 2013, 31, 1634–1647. [Google Scholar] [CrossRef] [PubMed]
- Aguado, A.; Martínez, L.; Moral, A.; Fermoso, J.; Irusta, R. Chemical Recycling of Polyurethane Foam Waste via Glycolysis. Chem. Eng. Trans. 2011, 24, 1069–1074. [Google Scholar]
- Campbell, G.A.; Meluch, W.C. Polyurethane Foam Recycling. Superheated Steam Hydrolysis. Environ. Sci. Technol. 1976, 10, 182–185. [Google Scholar] [CrossRef]
- Czupryński, B.; Paciorek-Sadowska, J.; Liszkowska, J. Properties of Rigid Polyurethane-Polyisocyanurate Foams Modified with the Selected Fillers: Properties of Rigid Polyurethane-Polyisocyanurate Foams. J. Appl. Polym. Sci. 2010, 115, 2460–2469. [Google Scholar] [CrossRef]
- Gerlock, J.; Braslaw, J.; Zinbo, M. Polyurethane Waste Recycling. 1. Glycolysis and Hydroglycolysis of Water-Blown Foams. Ind. Eng. Chem. Process Des. Dev. 1984, 23, 545–552. [Google Scholar] [CrossRef]
- Modesti, M.; Costantini, F.; dal Lago, E.; Piovesan, F.; Roso, M.; Boaretti, C.; Lorenzetti, A. Valuable Secondary Raw Material by Chemical Recycling of Polyisocyanurate Foams. Polym. Degrad. Stab. 2018, 156, 151–160. [Google Scholar] [CrossRef]
- Nikje, M.M.A.; Mohammadi, F.H.A. Polyurethane Foam Wastes Recycling under Microwave Irradiation. Polym. Plast. Technol. Eng. 2010, 49, 818–821. [Google Scholar] [CrossRef]
- Sendijarevic, V. Chemical Recycling of Mixed Polyurethane Foam Stream Recovered from Shredder Residue into Polyurethane Polyols. J. Cell. Plast. 2007, 43, 31–46. [Google Scholar] [CrossRef]
- Shin, S.; Kim, H.; Liang, J.; Lee, S.; Lee, D. Sustainable Rigid Polyurethane Foams Based on Recycled Polyols from Chemical Recycling of Waste Polyurethane Foams. J. Appl. Polym. Sci. 2019, 136, 47916. [Google Scholar] [CrossRef]
- Gausas, L.; Donslund, B.S.; Kristensen, S.K.; Skrydstrup, T. Evaluation of Manganese Catalysts for the Hydrogenative Deconstruction of Commercial and End-of-Life Polyurethane Samples. ChemSusChem 2022, 15, e202101705. [Google Scholar] [CrossRef] [PubMed]
- Godinho, B.; Gama, N.; Barros-Timmons, A.; Ferreira, A. Recycling of Different Types of Polyurethane Foam Wastes via Acidolysis to Produce Polyurethane Coatings. Sustain. Mater. Technol. 2021, 29, e00330. [Google Scholar] [CrossRef]
- Nikje, M.M.A.; Garmarudi, A.B.; Idris, A.B. Polyurethane Waste Reduction and Recycling: From Bench to Pilot Scales. Des. Monomers Polym. 2011, 14, 395–421. [Google Scholar] [CrossRef]
- Njuguna, J.K.; Muchiri, P.; Mwema, F.M.; Karuri, N.W.; Herzog, M.; Dimitrov, K. Determination of Thermo-Mechanical Properties of Recycled Polyurethane from Glycolysis Polyol. Sci. Afr. 2021, 12, e00755. [Google Scholar] [CrossRef]
- Gama, N.; Godinho, B.; Barros-Timmons, A.; Ferreira, A. Insights into PU/EVA Blends Produced Using Industrial Residues Towards Eco-Efficient Materials. J. Polym. Environ. 2022, 30, 1451–1461. [Google Scholar] [CrossRef]
- Kuo, P.-Y.; Yan, N.; Tratnik, N.; Luo, J. Applications of Bark for Bio-Based Adhesives and Foams. Phys. Sci. Rev. 2018, 3, 20170194. [Google Scholar] [CrossRef]
- Pizzi, A. Tannin-Based Adhesives: New Theoretical Aspects. Int. J. Adhes. Adhes. 1980, 1, 13–16. [Google Scholar] [CrossRef]
- Tenorio-Alfonso, A.; Sánchez, M.C.; Franco, J.M. A Review of the Sustainable Approaches in the Production of Bio-Based Polyurethanes and Their Applications in the Adhesive Field. J. Polym. Environ. 2020, 28, 749–774. [Google Scholar] [CrossRef]
- Panja, S.; Siehr, A.; Sahoo, A.; Siegel, R.A.; Shen, W. Biodegradable Elastomers Enabling Thermoprocessing Below 100 °C. Biomacromolecules 2022, 23, 163–173. [Google Scholar] [CrossRef] [PubMed]
- Kitphaitun, S.; Chaimongkolkunasin, S.; Manit, J.; Makino, R.; Kadota, J.; Hirano, H.; Nomura, K. Ethylene/Myrcene Copolymers as New Bio-Based Elastomers Prepared by Coordination Polymerization Using Titanium Catalysts. Macromolecules 2021, 54, 10049–10058. [Google Scholar] [CrossRef]
- Tondi, G.; Zhao, W.; Pizzi, A.; Du, G.; Fierro, V.; Celzard, A. Tannin-Based Rigid Foams: A Survey of Chemical and Physical Properties. Bioresour. Technol. 2009, 100, 5162–5169. [Google Scholar] [CrossRef] [PubMed]
- Sjöström, E. Wood Chemistry: Fundamentals and Applications, 2nd ed.; Academic Press: San Diego, CA, USA, 1993; ISBN 978-0-12-647481-7. [Google Scholar]
- Pantoja-Castro, M.A.; González-Rodríguez, H. Study by Infrared Spectroscopy and Thermogravimetric Analysis of Tannins and Tannic Acid. Rev. Latinoam. Quím. 2011, 39, 107–112. [Google Scholar]
- Khanbabaee, K.; van Ree, T. Tannins: Classification and Definition. Nat. Prod. Rep. 2001, 18, 641–649. [Google Scholar] [CrossRef] [PubMed]
- Merle, J.; Birot, M.; Deleuze, H.; Mitterer, C.; Carré, H.; Bouhtoury, F.C.-E. New Biobased Foams from Wood Byproducts. Mater. Des. 2016, 91, 186–192. [Google Scholar] [CrossRef]
- Chen, X.; Li, J.; Xi, X.; Pizzi, A.; Zhou, X.; Fredon, E.; Du, G.; Gérardin, C. Condensed Tannin-Glucose-Based NIPU Bio-Foams of Improved Fire Retardancy. Polym. Degrad. Stab. 2020, 175, 109121. [Google Scholar] [CrossRef]
- Čop, M.; Laborie, M.P.; Pizzi, A.; Sernek, M. Curing Characterisation of Spruce Tannin-Based Foams Using the Advanced Isoconversional Method. BioResources 2014, 9, 4643–4655. [Google Scholar] [CrossRef]
- Lacoste, C.; Čop, M.; Kemppainen, K.; Giovando, S.; Pizzi, A.; Laborie, M.-P.; Sernek, M.; Celzard, A. Biobased Foams from Condensed Tannin Extracts from Norway Spruce (Picea Abies) Bark. Ind. Crops Prod. 2015, 73, 144–153. [Google Scholar] [CrossRef]
- Lacoste, C.; Pizzi, A.; Basso, M.-C.; Laborie, M.-P.; Celzard, A. Pinus Pinaster Tannin/Furanic Foams: PART I. Formulation. Ind. Crops Prod. 2014, 52, 450–456. [Google Scholar] [CrossRef]
- Li, J.; Zhang, A.; Zhang, S.; Gao, Q.; Zhang, W.; Li, J. Larch Tannin-Based Rigid Phenolic Foam with High Compressive Strength, Low Friability, and Low Thermal Conductivity Reinforced by Cork Powder. Compos. Part B Eng. 2019, 156, 368–377. [Google Scholar] [CrossRef]
- Sarika, P.R.; Nancarrow, P.; Khansaheb, A.; Ibrahim, T. Bio-Based Alternatives to Phenol and Formaldehyde for the Production of Resins. Polymers 2020, 12, 2237. [Google Scholar] [CrossRef] [PubMed]
- Arbenz, A.; Avérous, L. Chemical Modification of Tannins to Elaborate Aromatic Biobased Macromolecular Architectures. Green Chem. 2015, 17, 2626–2646. [Google Scholar] [CrossRef]
- Porter, L.J. Flavans and Proanthocyanidins. In The Flavonoids; Harborne, J.B., Ed.; Springer: Boston, MA, USA, 1988; pp. 21–62. ISBN 978-0-412-28770-1. [Google Scholar]
- Masson, E.; Merlin, A.; Pizzi, A. Comparative Kinetics of Induced Radical Autocondensation of Polyflavonoid Tannins. I. Modified and Nonmodified Tannins. J. Appl. Polym. Sci. 1996, 60, 263–269. [Google Scholar] [CrossRef]
- Merlin, A.; Pizzi, A. An ESR Study of the Silica-Induced Autocondensation of Polyflavonoid Tannins. J. Appl. Polym. Sci. 1996, 59, 945–952. [Google Scholar] [CrossRef]
- Pichelin, F.; Kamoun, C.; Pizzi, A. Hexamine Hardener Behaviour: Effects on Wood Glueing, Tannin and Other Wood Adhesives. Holz Als Roh Werkst. 1999, 57, 305–317. [Google Scholar] [CrossRef]
- Mariscal, R.; Maireles-Torres, P.; Ojeda, M.; Sádaba, I.; López Granados, M. Furfural: A Renewable and Versatile Platform Molecule for the Synthesis of Chemicals and Fuels. Energy Environ. Sci. 2016, 9, 1144–1189. [Google Scholar] [CrossRef]
- Iroegbu, A.O.; Hlangothi, S.P. Furfuryl Alcohol a Versatile, Eco-Sustainable Compound in Perspective. Chem. Afr. 2019, 2, 223–229. [Google Scholar] [CrossRef]
- Foo, L.Y.; Hemingway, R.W. Condensed Tannins: Reactions of Model Compounds with Furfuryl Alcohol and Furfuraldehyde. J. Wood Chem. Technol. 1985, 5, 135–158. [Google Scholar] [CrossRef]
- Choura, M.; Belgacem, N.M.; Gandini, A. Acid-Catalyzed Polycondensation of Furfuryl Alcohol: Mechanisms of Chromophore Formation and Cross-Linking. Macromolecules 1996, 29, 3839–3850. [Google Scholar] [CrossRef]
- Guigo, N.; Mija, A.; Vincent, L.; Sbirrazzuoli, N. Chemorheological Analysis and Model-Free Kinetics of Acid Catalysed Furfuryl Alcohol Polymerization. Phys. Chem. Chem. Phys. 2007, 9, 5359. [Google Scholar] [CrossRef] [PubMed]
- Sánchez-Martín, J.; Beltrán-Heredia, J.; Carmona-Murillo, C. Adsorbents from Schinopsis Balansae: Optimisation of Significant Variables. Ind. Crops Prod. 2011, 33, 409–417. [Google Scholar] [CrossRef]
- National Technical Reports Library. Report on Carcinogens, 12th ed.; Department of Health and Human Services, Public Health Service, National Toxicology Program: Durham, NC, USA, 2011; p. 507. [Google Scholar]
- Rossouw, D. du T.; Pizzi, A.; McGillivray, G. The Kinetics of Condensation of Phenolic Polyflavonoid Tannins with Aldehydes. J. Polym. Sci. Polym. Chem. Ed. 1980, 18, 3323–3343. [Google Scholar] [CrossRef]
- Basso, M.C.; Lagel, M.-C.; Pizzi, A.; Celzard, A.; Abdalla, S. First Tools for Tannin-Furanic Foams Design. BioResources 2015, 10, 5233–5241. [Google Scholar] [CrossRef]
- Basso, M.C.; Giovando, S.; Pizzi, A.; Lagel, M.C.; Celzard, A. Alkaline Tannin Rigid Foams. J. Renew. Mater. 2014, 2, 182–185. [Google Scholar] [CrossRef]
- Li, X.; Pizzi, A.; Cangemi, M.; Fierro, V.; Celzard, A. Flexible Natural Tannin-Based and Protein-Based Biosourced Foams. Ind. Crops Prod. 2012, 37, 389–393. [Google Scholar] [CrossRef]
- Delgado-Sánchez, C.; Fierro, V.; Li, S.; Pasc, A.; Pizzi, A.; Celzard, A. Stability Analysis of Tannin-Based Foams Using Multiple Light-Scattering Measurements. Eur. Polym. J. 2017, 87, 318–330. [Google Scholar] [CrossRef]
- Maia, L.S.; Zanini, N.C.; de Souza, A.G.; Barbosa, R.F.S.; Rosa, D.S.; da Barud, H.S.; Mulinari, D.R. Effective Oil Spill Cleaned up with Environmentally Friendly Foams Filled with Eucalyptus Charcoal Residue. Iran. Polym. J. 2021, 31, 383–398. [Google Scholar] [CrossRef]
- Uram, K.; Kurańska, M.; Andrzejewski, J.; Prociak, A. Rigid Polyurethane Foams Modified with Biochar. Materials 2021, 14, 5616. [Google Scholar] [CrossRef]
- Haridevan, H.; Evans, D.A.C.; Ragauskas, A.J.; Martin, D.J.; Annamalai, P.K. Valorisation of Technical Lignin in Rigid Polyurethane Foam: A Critical Evaluation on Trends, Guidelines and Future Perspectives. Green Chem. 2021, 23, 8725–8753. [Google Scholar] [CrossRef]
- Basso, M.C.; Pizzi, A.; Lacoste, C.; Delmotte, L.; Al-Marzouki, F.; Abdalla, S.; Celzard, A. MALDI-TOF and 13C NMR Analysis of Tannin–Furanic–Polyurethane Foams Adapted for Industrial Continuous Lines Application. Polymers 2014, 6, 2985–3004. [Google Scholar] [CrossRef]
- Cefarin, N.; Bedolla, D.E.; Surowka, A.; Donato, S.; Sepperer, T.; Tondi, G.; Dreossi, D.; Sodini, N.; Birarda, G.; Vaccari, L. Study of the Spatio-Chemical Heterogeneity of Tannin-Furanic Foams: From 1D FTIR Spectroscopy to 3D FTIR Micro-Computed Tomography. Int. J. Mol. Sci. 2021, 22, 12869. [Google Scholar] [CrossRef]
- Tondi, G.; Pizzi, A. Tannin-Based Rigid Foams: Characterization and Modification. Ind. Crops Prod. 2009, 29, 356–363. [Google Scholar] [CrossRef]
- Zhao, W.; Pizzi, A.; Fierro, V.; Du, G.; Celzard, A. Effect of Composition and Processing Parameters on the Characteristics of Tannin-Based Rigid Foams. Part I: Cell Structure. Mater. Chem. Phys. 2010, 122, 175–182. [Google Scholar] [CrossRef]
- Hawkins, M.C.; O’Toole, B.; Jackovich, D. Cell Morphology and Mechanical Properties of Rigid Polyurethane Foam. J. Cell. Plast. 2005, 41, 267–285. [Google Scholar] [CrossRef]
- Jackovich, D.; O’Toole, B.; Hawkins, M.C.; Sapochak, L. Temperature and Mold Size Effects on Physical and Mechanical Properties of a Polyurethane Foam. J. Cell. Plast. 2005, 41, 153–168. [Google Scholar] [CrossRef]
- Celzard, A.; Fierro, V.; Pizzi, A. Nouveaux matériaux poreux multifonctionnems dérivés du bois. In Techniques de l’Ingénieur; Matériaux-Bois, Verre, Céramique et Textile: Saint-Denis, France, 2012; p. 32. ISBN N4203 v1. [Google Scholar]
- De Yuso, A.M.; Lagel, M.C.; Pizzi, A.; Fierro, V.; Celzard, A. Structure and Properties of Rigid Foams Derived from Quebracho Tannin. Mater. Des. 2014, 63, 208–212. [Google Scholar] [CrossRef]
- Lacoste, C.; Pizzi, A.; Laborie, M.-P.; Celzard, A. Pinus Pinaster Tannin/Furanic Foams: Part II. Physical Properties. Ind. Crops Prod. 2014, 61, 531–536. [Google Scholar] [CrossRef]
- Celzard, A.; Fierro, V.; Amaral-Labat, G.; Pizzi, A.; Torero, J. Flammability Assessment of Tannin-Based Cellular Materials. Polym. Degrad. Stab. 2011, 96, 477–482. [Google Scholar] [CrossRef]
- Delgado-Sánchez, C.; Sarazin, J.; Santiago-Medina, F.J.; Fierro, V.; Pizzi, A.; Bourbigot, S.; Celzard, A. Impact of the Formulation of Biosourced Phenolic Foams on Their Fire Properties. Polym. Degrad. Stab. 2018, 153, 1–14. [Google Scholar] [CrossRef]
- Lacoste, C.; Basso, M.-C.; Pizzi, A.; Celzard, A.; Ella Ebang, E.; Gallon, N.; Charrier, B. Pine (P. Pinaster) and Quebracho (S. Lorentzii) Tannin-Based Foams as Green Acoustic Absorbers. Ind. Crops Prod. 2015, 67, 70–73. [Google Scholar] [CrossRef]
- Sabathi, G.; Reyer, A.; Cefarin, N.; Sepperer, T.; Eckardt, J.; Neubauer, J.; Wendisch, F.J.; D’Amico, F.; Vaccari, L.; Tondi, G.; et al. Tannin-Furanic Foams Used as Biomaterial Substrates for SERS Sensing in Possible Wastewater Filter Applications. Mater. Res. Express 2021, 8, 115404. [Google Scholar] [CrossRef]
- Zhou, X.; Pizzi, A.; Sauget, A.; Nicollin, A.; Li, X.; Celzard, A.; Rode, K.; Pasch, H. Lightweight Tannin Foam/Composites Sandwich Panels and the Coldset Tannin Adhesive to Assemble Them. Ind. Crops Prod. 2013, 43, 255–260. [Google Scholar] [CrossRef]
- Sánchez-Martín, J.; Beltrán-Heredia, J.; Delgado-Regaña, A.; Rodríguez-González, M.A.; Rubio-Alonso, F. Optimization of Tannin Rigid Foam as Adsorbents for Wastewater Treatment. Ind. Crops Prod. 2013, 49, 507–514. [Google Scholar] [CrossRef]
- Sánchez-Martín, J.; Beltrán-Heredia, J.; Delgado-Regaña, A.; Rodríguez-González, M.A.; Rubio-Alonso, F. Adsorbent Tannin Foams: New and Complementary Applications in Wastewater Treatment. Chem. Eng. J. 2013, 228, 575–582. [Google Scholar] [CrossRef]
- Hao, B.; Wang, F.; Huang, H.-T.; Wu, Y.; Jia, S.; Liao, Y.; Mao, H. Tannin Foam Immobilized with Ferric Ions for Efficient Removal of Ciprofloxacin at Low Concentrations. J. Hazard. Mater. 2021, 414, 125567. [Google Scholar] [CrossRef]
- Tondi, G.; Oo, C.W.; Pizzi, A.; Trosa, A.; Thevenon, M.F. Metal Adsorption of Tannin Based Rigid Foams. Ind. Crops Prod. 2009, 29, 336–340. [Google Scholar] [CrossRef]
- Tondi, G.; Fierro, V.; Pizzi, A.; Celzard, A. Tannin-Based Carbon Foams. Carbon 2009, 47, 1480–1492. [Google Scholar] [CrossRef]
- Varila, T.; Romar, H.; Luukkonen, T.; Lassi, U.; Varila, T.; Romar, H.; Luukkonen, T.; Lassi, U. Physical Activation and Characterization of Tannin-Based Foams Enforced with Boric Acid and Zinc Chloride. AIMS Mater. Sci. 2019, 6, 301–314. [Google Scholar] [CrossRef]
- Zieleniewska, M.; Leszczyński, M.K.; Szczepkowski, L.; Bryśkiewicz, A.; Krzyżowska, M.; Bień, K.; Ryszkowska, J. Development and Applicational Evaluation of the Rigid Polyurethane Foam Composites with Egg Shell Waste. Polym. Degrad. Stab. 2016, 132, 78–86. [Google Scholar] [CrossRef]
- Oushabi, A.; Sair, S.; Abboud, Y.; Tanane, O.; Bouari, A.E. An Experimental Investigation on Morphological, Mechanical and Thermal Properties of Date Palm Particles Reinforced Polyurethane Composites as New Ecological Insulating Materials in Building. Case Stud. Constr. Mater. 2017, 7, 128137. [Google Scholar] [CrossRef]
- Bryśkiewicz, A.; Zieleniewska, M.; Przyjemska, K.; Chojnacki, P.; Ryszkowska, J. Modification of Flexible Polyurethane Foams by the Addition of Natural Origin Fillers. Polym. Degrad. Stab. 2016, 132, 32–40. [Google Scholar] [CrossRef]
- Antunes, M.; Cano, Á.; Haurie, L.; Velasco, J.I. Esparto Wool as Reinforcement in Hybrid Polyurethane Composite Foams. Ind. Crops Prod. 2011, 34, 1641–1648. [Google Scholar] [CrossRef]
- Yan, D.-X.; Dai, K.; Xiang, Z.-D.; Li, Z.-M.; Ji, X.; Zhang, W.-Q. Electrical Conductivity and Major Mechanical and Thermal Properties of Carbon Nanotube-Filled Polyurethane Foams. J. Appl. Polym. Sci. 2011, 120, 3014–3019. [Google Scholar] [CrossRef]
- Dolomanova, V.; Rauhe, J.; Chr, M.; Jensen, L.R.; Pyrz, R.; Timmons, A.B. Mechanical Properties and Morphology of Nano-Reinforced Rigid PU Foam. J. Cell. Plast. 2011, 47, 81–93. [Google Scholar] [CrossRef]
- Konig, A.; Fehrenbacher, U.; Hirth, T.; Kroke, E. Flexible Polyurethane Foam with the Flame-Retardant Melamine. J. Cell. Plast. 2008, 44, 469–480. [Google Scholar] [CrossRef]
- Wong, E.H.H.; Fan, K.W.; Lei, L.; Wang, C.; Baena, J.C.; Okoye, H.; Fam, W.; Zhou, D.; Oliver, S.; Khalid, A.; et al. Fire-Resistant Flexible Polyurethane Foams via Nature-Inspired Chitosan-Expandable Graphite Coatings. ACS Appl. Polym. Mater. 2021, 3, 4079–4087. [Google Scholar] [CrossRef]
- Furtwengler, P.; Avérous, L. Renewable Polyols for Advanced Polyurethane Foams from Diverse Biomass Resources. Polym. Chem. 2018, 9, 4258–4287. [Google Scholar] [CrossRef]
- Priester, R.D.; Peffley, R.D.; Turner, R.B.; Herrington, R.M. High Resiliency Polyurea Foam-An Improved Flexible Foam Matrix. J. Cell. Plast. 1994, 30, 144–163. [Google Scholar] [CrossRef]
- Ramirez, B.J.; Gupta, V. High Tear Strength Polyurea Foams with Low Compression Set and Shrinkage Properties at Elevated Temperatures. Int. J. Mech. Sci. 2019, 150, 29–34. [Google Scholar] [CrossRef]
- Reed, N.; Huynh, N.U.; Rosenow, B.; Manlulu, K.; Youssef, G. Synthesis and Characterization of Elastomeric Polyurea Foam. J. Appl. Polym. Sci. 2020, 137, 48839. [Google Scholar] [CrossRef]
- Lee, J.; Gould, G.; Rhine, W. Polyurea Based Aerogel for a High Performance Thermal Insulation Material. J. Sol-Gel Sci. Technol. 2009, 49, 209–220. [Google Scholar] [CrossRef]
- Liszkowska, J.; Czupryński, B.; Paciorek-Sadowska, J.; Michałowski, S. Thermal and Flammable Properties of Rigid PUR–PIR Foams Obtained by Using New Compounds Based on 2-Hydroxypropane-1,2,3-Tricarboxylic Acid. J. Cell. Plast. 2016, 52, 321–341. [Google Scholar] [CrossRef]
- Dominguez-Rosado, E.; Liggat, J.J.; Snape, C.E.; Eling, B.; Pichtel, J. Thermal Degradation of Urethane Modified Polyisocyanurate Foams Based on Aliphatic and Aromatic Polyester Polyol. Polym. Degrad. Stab. 2002, 78, 1–5. [Google Scholar] [CrossRef]
- Levchik, S.V.; Weil, E.D. Recent Progress in Flame Retardancy of Polyurethane and Polyisocyanurate Foams. In Fire and Polymers IV; ACS Symposium Series; American Chemical Society: Washington, DC, USA, 2005; Volume 922, pp. 280–290. ISBN 978-0-8412-3948-7. [Google Scholar]
- Ashida, K.; Saiki, K.; Goto, J.; Sasaki, K. Polyisocyanurate Foams Modified by Thermally Stable Linkages. In Polymeric Foams; ACS Symposium Series; American Chemical Society: Washington, DC, USA, 1997; Volume 669, pp. 81–100. ISBN 978-0-8412-3516-8. [Google Scholar]
- Joanna, L.; Bogusław, C.; Joanna, P.-S. The Effect of Hydroxyalkyls, Derivatives of 2-Hydroxypropane-1.2.3-Tricarboxylic Acid, on Flammability and Thermal Properties of PUR–PIR Foams. Polym. Bull. 2018, 75, 3801–3823. [Google Scholar] [CrossRef]
- Liszkowska, J. The Use of Citric Acid in the Production of Polyols for Rigid PUR-PIR Foams. Polym. Bull. 2017, 74, 283–305. [Google Scholar] [CrossRef][Green Version]
- Mougel, C.; Garnier, T.; Cassagnau, P.; Sintes-Zydowicz, N. Phenolic Foams: A Review of Mechanical Properties, Fire Resistance and New Trends in Phenol Substitution. Polymer 2019, 164, 86–117. [Google Scholar] [CrossRef]
- Tseng, C.; Kuo, K. Thermal Properties of Phenolic Foam Insulation. J. Chin. Inst. Eng. 2002, 25, 753–758. [Google Scholar] [CrossRef]
- Song, F.; Li, Z.; Jia, P.; Bo, C.; Zhang, M.; Hu, L.; Zhou, Y. Phosphorus-Containing Tung Oil-Based Siloxane Toughened Phenolic Foam with Good Mechanical Properties, Fire Performance and Low Thermal Conductivity. Mater. Des. 2020, 192, 108668. [Google Scholar] [CrossRef]
- Sánchez, C.D. New Optimisation and Characterisation Methods of Tannin-Based Foams for Thermal Insulation of Buildings. Ph.D. Thesis, Université de Lorraine, Nancy, France, 2017. [Google Scholar]
















| Poly Addition | Poly Condensation | Cyclo-Trimerization | Ring-Opening | Radical Polymerization | |
|---|---|---|---|---|---|
| Isocyanates | |||||
| Polyurethane PUR (*) | X | ||||
| Polyurea PUA (*) | X | ||||
| Polyisocyanurate PIR (*) | X | ||||
| Polycarbodiimide | X | ||||
| Polyimide | X | ||||
| Phenolic | |||||
| Phenol–formaldehyde PF (*) | X | ||||
| Epoxy EP | X | ||||
| Tannin–furanic foams TFF (*) | X | ||||
| Polyesters | |||||
| Unsaturated polyester | X | ||||
| Foam | Density (g/cm3) | Thermal Conductivity (W·m−1·K−1) | Compressive Strength (MPa) | Fire Resistance | [Refs.] |
|---|---|---|---|---|---|
| PUR | 0.026–0.058 | 0.010–0.057 | 0.45–4.8 | Bad | [271,272,273,274,275,276,277,278,279] |
| PUA | 0.008–0.400 | 0.013–0.050 | 0.03–2.83 | Good | [93,280,281,282,283] |
| PIR | 0.019–0.073 | 0.032–0.035 | 0.20–0.32 | Good | [29,284,285,286,287,288,289] |
| PF | 0.016–0.314 | 0.029–0.060 | 0.07–3.45 | Bad | [116,117,119,120,121,220,229,290,291,292] |
| TFF | 0.030–0.200 | 0.032–0.070 | 0.05–1.75 | Very good | [8,220,253,260,261,293] |
Publisher’s Note: MDPI stays neutral with regard to jurisdictional claims in published maps and institutional affiliations. |
© 2022 by the authors. Licensee MDPI, Basel, Switzerland. This article is an open access article distributed under the terms and conditions of the Creative Commons Attribution (CC BY) license (https://creativecommons.org/licenses/by/4.0/).
Share and Cite
Borrero-López, A.M.; Nicolas, V.; Marie, Z.; Celzard, A.; Fierro, V. A Review of Rigid Polymeric Cellular Foams and Their Greener Tannin-Based Alternatives. Polymers 2022, 14, 3974. https://doi.org/10.3390/polym14193974
Borrero-López AM, Nicolas V, Marie Z, Celzard A, Fierro V. A Review of Rigid Polymeric Cellular Foams and Their Greener Tannin-Based Alternatives. Polymers. 2022; 14(19):3974. https://doi.org/10.3390/polym14193974
Chicago/Turabian StyleBorrero-López, Antonio M., Vincent Nicolas, Zelie Marie, Alain Celzard, and Vanessa Fierro. 2022. "A Review of Rigid Polymeric Cellular Foams and Their Greener Tannin-Based Alternatives" Polymers 14, no. 19: 3974. https://doi.org/10.3390/polym14193974
APA StyleBorrero-López, A. M., Nicolas, V., Marie, Z., Celzard, A., & Fierro, V. (2022). A Review of Rigid Polymeric Cellular Foams and Their Greener Tannin-Based Alternatives. Polymers, 14(19), 3974. https://doi.org/10.3390/polym14193974

