Rheological Properties of Styrene-Butadiene-Styrene Asphalt Mastic Containing High Elastic Polymer and Snow Melting Salt
Abstract
:1. Introduction
2. Materials and Methods
2.1. Materials
2.1.1. Asphalt
2.1.2. Modifier
2.1.3. Filler
2.2. Preparation of Modified Asphalt and Asphalt Mastic
2.2.1. Preparation of HEA
2.2.2. Preparation of Salt Storage Asphalt Mastic
- (1)
- Both the limestone filler and the salt storage material were passed through a 0.075 mm sieve, and the bottom part of the sieve was taken for testing. The two fillers were placed in a dry and ventilated place, and the fillers were dried and ground before the test to avoid agglomeration affecting the accuracy of the test.
- (2)
- The pitch was heated to 175 °C to ensure that the pitch was picked out by the glass rod drips in the form of droplets. The asphalt, preheated to the same temperature as the asphalt in portions, was added. The glass rod was kept agitated to prevent the filler from sticking to the container walls. The heating temperature and stirring time were strictly controlled to avoid asphalt aging.
- (3)
- The different types of asphalt mastics were named SBS00, SBS50, HEA50, SBS75, HEA75, SBS100, and HEA100 according to the proportion of Icebane replacing limestone filler. For example, SBS00 means that the replacement rate of limestone filler is 0%, and the base asphalt is SBS-modified asphalt.
2.3. Testing Methods
2.3.1. Testing of Three Major Indicators: Penetration, Softening Point, and Ductility
2.3.2. Brookfield Viscosity Test
2.3.3. Temperature Sweep Test
2.3.4. Multiple Stress Creep and Recovery Test
2.3.5. Bending Beam Rheological Test
3. Results and Discussion
3.1. Penetration, Softening Point, and Ductility
3.2. Brookfield Viscosity
3.3. Analysis of Temperature Sweep Test Results
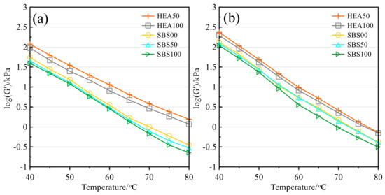
3.3.1. Storage Modulus, Phase Angle, Complex Modulus, and Rutting Factor
3.3.2. Viscoelastic Index Z
3.4. Analysis of MSCR Test Results
3.4.1. Accumulated Strain
3.4.2. Creep Compliance and Creep Recovery
3.5. Analysis of BBR Test Results
3.5.1. Creep Stiffness and Creep Rate
3.5.2. m/S
4. Conclusions
- (1)
- The routine test of asphalt mastic points out that the performance of HEA asphalt mastic is generally better than that of SBS. HEA asphalt mastic has lower penetration, higher softening point, ductility, and viscosity. With the increase in SMS content, the penetration of asphalt mastic increases, and the softening point and ductility decrease. The higher the SMS content, the lower the viscosity of the asphalt mastic.
- (2)
- The changes in the G′, G*, rutting factor, and Z show that the content of SMS in asphalt will affect the stiffness and deformation properties of asphalt mastic. The higher the replacement rate of SMS, the less conducive to the elastic recovery performance of asphalt mastic. The phase angle is affected by SMS, but not significantly. The high-temperature performance of the asphalt mastic of the HEA group is better than that of the SBS group.
- (3)
- MSCR results show that the addition of SMS increases the deformation of asphalt mastic under load. Under each stress condition, the order of the various asphalt mastic strains is SBS100 > SBS50 > SBS00 > HEA100 > HEA50. The high elasticity of HEA can well reduce the creep of salt storage asphalt mastic. The gain effect of TPS on creep recovery can compensate for the negative effect of SMS.
- (4)
- The Jnr of the salt storage asphalt mastic increased with the content of SMS, while the R was the opposite. Although SMS hinders the high-temperature performance of asphalt mastic, HEA100 has better high-temperature performance than SBS00 with the help of high elastic agent TPS. The addition of TPS can make up for the adverse effect of SMS on the high-temperature performance of asphalt mastic.
- (5)
- The creep stiffness increases with the content of SMS, and SMS reduces the creep rate and m/S of asphalt mastic. The larger the content of SMS, the worse the low-temperature crack resistance of the mastic. TPS can reduce the weakening effect of SMS on the low-temperature toughness of asphalt mastic.
Author Contributions
Funding
Data Availability Statement
Conflicts of Interest
References
- Sha, A.; Jiang, W.; Shan, J.; Wu, W.; Li, Y.; Zhang, S. Pavement structure and materials design for sea-crossing bridges and tunnel: Case study of the Hong Kong-Zhuhai-Macau Bridge. J. Road Eng. 2022, 2, 99–113. [Google Scholar] [CrossRef]
- Pan, P.; Wu, S.; Xiao, Y.; Liu, G. A review on hydronic asphalt pavement for energy harvesting and snow melting. Renew. Sust. Energ. Rev. 2015, 48, 624–634. [Google Scholar] [CrossRef]
- Luo, S.; Yang, X. Performance evaluation of high-elastic asphalt mixture containing deicing agent Mafilon. Constr. Build. Mater. 2015, 94, 494–501. [Google Scholar] [CrossRef]
- Arabzadeh, A.; Ceylan, H.; Kim, S.; Gopalakrishnan, K.; Sassani, A. Superhydrophobic coatings on asphalt concrete surfaces: Toward smart solutions for winter pavement maintenance. Transport. Res. Rec. 2016, 2551, 10–17. [Google Scholar] [CrossRef]
- Zhang, F.; Cao, Y.; Sha, A.; Lou, B.; Song, R.; Hu, X. Characterization of asphalt mixture using X-ray computed tomography scan technique after freeze-thaw cycle and microwave heating. Constr. Build. Mater. 2022, 346, 128435. [Google Scholar] [CrossRef]
- Chen, Q.; Wang, C.; Yu, S.; Song, Z.; Fu, H.; An, T. Low-temperature mechanical properties of polyurethane-modified waterborne epoxy resin for pavement coating. Int. J. Pavement Eng. 2022, 1–13. [Google Scholar] [CrossRef]
- Muthumani, A.; Fay, L.; Akin, M. Correlating lab and field tests for evaluation of deicing and anti-icing chemicals: A review of potential approaches. Cold Reg. Sci. Technol. 2014, 97, 21–32. [Google Scholar] [CrossRef]
- Tan, Y.; Zhang, C.; Xu, H.; Tian, D. Snow melting and deicing characteristics and pavement performance of active deicing and snow melting pavement. China J. Highw. Transp. 2019, 32, 1–17. [Google Scholar]
- Zhu, X.; Zhang, Q.; Du, Z.; Wu, H.; Sun, Y. Snow-melting pavement design strategy with electric cable heating system balancing snow melting, energy conservation, and mechanical performance. Resour. Conserv. Recycl. 2022, 177, 105970. [Google Scholar] [CrossRef]
- Joseph, W.; Daniels, E.; Mark, K. Hydronic heated pavement system performance using a solar water heating system with heat pipe evacuated tube solar collectors. Sol. Energy 2019, 179, 343–351. [Google Scholar]
- Farcas, C.; Galao, O.; Navarro, R.; Zornoza, E.; Baeza, F.; Del, M.; Pla, R.; Garcés, P. Heating and de-icing function in conductive concrete and cement paste with the hybrid addition of carbon nanotubes and graphite products. Smart Mater. Struct. 2021, 30, 45010. [Google Scholar] [CrossRef]
- Zhang, F.; Cao, Y.; Sha, A.; Wang, W.; Song, R.; Lou, B. Mechanism, rheology and self-healing properties of carbon nanotube modified asphalt. Constr. Build. Mater. 2022, 346, 128431. [Google Scholar] [CrossRef]
- Gao, J.; Guo, H.; Wang, X.; Wang, P.; Wei, Y.; Wang, Z.; Huang, Y.; Yang, B. Microwave deicing for asphalt mixture containing steel wool fibers. J. Clean. Prod. 2019, 206, 1110–1122. [Google Scholar] [CrossRef]
- Zhong, K.; Sun, M.; Chang, R. Performance evaluation of high-elastic/salt-storage asphalt mixture modified with Mafilon and rubber particles. Constr. Build. Mater. 2018, 193, 153–161. [Google Scholar] [CrossRef]
- Varanasi, K.; Deng, T.; Smith, J. Frost formation and ice adhesion on superhydrophobic surfaces. Appl. Phys. Lett. 2010, 97, 92–102. [Google Scholar] [CrossRef]
- Ryuji, A.; Jun, T.; Naruhiko, H. A study of winter road surface measures at airports in cold, snowy regions. Int. J. Pavement Eng. 2008, 13, 1–8. [Google Scholar]
- Zhang, Y.; Liu, Z.; Shi, X. Development and use of salt-storage additives in asphalt pavement for anti-icing: Literature review. J. Transp. Eng. B Pavements 2021, 147, 3121002. [Google Scholar] [CrossRef]
- Cao, Y.; Li, J.; Sha, A.; Liu, Z.; Zhang, F.; Li, X. A power-intensive piezoelectric energy harvester with efficient load utilization for road energy collection: Design, testing, and application. J. Clean. Prod. 2022, 369, 133287. [Google Scholar] [CrossRef]
- Zhang, Y.; Shi, X. Laboratory evaluation of a sustainable additive for anti-icing asphalt. Cold Reg. Sci. Technol. 2021, 189, 103338. [Google Scholar] [CrossRef]
- Liu, Z.; Sha, A.; Jiang, W. Advances in asphalt pavements containing salts: Additives, mixtures, performances, and evaluation. China J. Highw. Transp. 2019, 32, 18–31+72. [Google Scholar]
- Tan, Y.; Sun, R.; Guo, M.; Zhong, Y.; Zhou, S. Research on deicing performance of asphalt mixture containing salt. China J. Highw. Transp. 2013, 26, 23–29. [Google Scholar]
- Tan, Y.; Hou, M.; Shan, L.; Sun, R. Development of sustained release complex salt filler for asphalt pavement included salt. J. Build. Mater. 2014, 17, 256–260. [Google Scholar]
- Yu, W.; Zhang, X.; Zhong, K. De-icing performance of asphalt mixture with snowmelt agent and high-elastic modified asphalt binder. J. China Univ. Min. Technol. 2015, 44, 912–916. [Google Scholar]
- Guo, P.; Feng, Y.; Meng, X.; Meng, J.; Pan, W.; Gao, Y.; Liu, Y. Microscopic analysis of salt-storaged snow de-icing agent and its effect on water stability of mixture. Mater. Rep. 2020, 34, 6062–6065. [Google Scholar]
- Wu, X.; Zhang, Z.; Zhu, J.; Li, Z. Selection and optimal mix ratio of carrier in anti-freeze materials. J. Build. Mater. 2022, 25, 278–284+293. [Google Scholar]
- Dai, J.; Ma, F.; Fu, Z.; Li, C.; Jia, M.; Shi, K.; Wen, Y.; Wang, W. Applicability assessment of stearic acid/palmitic acid binary eutectic phase change material in cooling pavement. Renew. Energ. 2021, 175, 748–759. [Google Scholar] [CrossRef]
- Liao, M.; Airey, G.; Chen, J. Mechanical properties of filler-asphalt mastics. Int. J. Pavement Res. Technol. 2013, 6, 576–581. [Google Scholar]
- Moon, K.; Falchetto, A.; Park, J. Development of high performance asphalt mastic using fine taconite filler. KSCE J. Civ. Eng. 2014, 18, 1679–1687. [Google Scholar] [CrossRef]
- Peng, C.; Yu, J.; Zhao, Z. Effects of a sodium chloride deicing additive on the rheological properties of asphalt mastic. Road Mater. Pavement 2015, 17, 382–395. [Google Scholar] [CrossRef]
- Dou, H. Design and Pavement Performance of Ultra-Thin Snowmelt Salt Asphalt Mixture Pavement Overlay. Master’s Thesis, Chang’an University, Xi’an, China, 2015. [Google Scholar]
- JTG E20-2011; Standard Test Methods of Bitumen and Bituminous Mixtures for Highway Engineering. China Communications Press Co., Ltd.: Beijing, China, 2011.
- Xing, H. Performance Research on Asphalt and Mixturemodified with SEBS. Master’s Thesis, Chang’an University, Xi’an, China, 2018. [Google Scholar]
- Cao, Y.; Sha, A.; Liu, Z.; Li, J.; Jiang, W. Energy output of piezoelectric transducers and pavements under simulated traffic load. J. Clean. Prod. 2021, 279, 123508. [Google Scholar] [CrossRef]
- Lyu, D.; Liu, F.; Tian, H.; Wang, H.; Deng, J.; Li, M. Evaluating rheological properties of high-viscosity modified asphalt binder. J. Mater. Sci. Eng. 2021, 39, 820–825. [Google Scholar]
- Tan, H.; Hu, S.; Liu, B.; Qin, R.; Tong, S.; Ren, S. Study on viscoelastic properties of rubber modified asphalt based on rheology. China Civ. Eng. J. 2017, 50, 115–122. [Google Scholar]
- Yuan, D.; Jiang, W.; Xiao, J.; Lu, H.; Wu, W. Thermal oxygen aging effects on viscoelastic properties of high viscosity modified asphalt. J. Chang’an Univ. Nat. Sci. Ed. 2020, 40, 1–11. [Google Scholar]
- Jiang, W.; Yuan, D.; Shan, J.; Ye, W.; Lu, H.; Sha, A. Experimental study of the performance of porous ultra-thin asphalt overlay. Int. J. Pavement Eng. 2022, 23, 2049–2061. [Google Scholar] [CrossRef]
- Zhang, Z.; Luo, Y.; Zhao, F. Review of research on the effect of salt storage deicing material on the preformance of asphalt mixture. Chem. Ind. Eng. Pro. 2018, 37, 2282–2294. [Google Scholar]
- Liu, Z.; Chen, S.; He, R.; Xing, M.; Bai, Y.; Dou, H. Investigation on the properties of asphalt mixtures containing antifreeze fillers. J. Mater. Civil. Eng. 2015, 27, 4014180. [Google Scholar] [CrossRef]
- Tang, L.; Shi, J. Research on road performance and anti-icing effect of ice-resistant asphalt concrete. J. China For. Highw. 2013, 33, 307–309. [Google Scholar]
- Meng, X.; Meng, J.; Pan, W.; Li, Z.; Gao, Y. Study on road performance and ice melting characteristics of salt preserving asphalt mixture. N. Chem. Mater. 2020, 48, 266–268+272. [Google Scholar]
- Jiang, W.; Xiao, J.; Yuan, D.; Lu, H.; Xu, S.; Huang, Y. Design and experiment of thermoelectric asphalt pavements with power-generation and temperature-reduction functions. Energ. Buildings. 2018, 169, 39–47. [Google Scholar] [CrossRef]
- Xing, M.; Wang, G.; Xia, H.; Li, Z.; Cui, Y.; Chen, H.; Wen, Y. Study on performance of environmental friendly compound snow-melting salted asphalt mortar. Appl. Chem. Ind. 2020, 49, 615–619+623. [Google Scholar]
- Shi, K.; Fu, Z.; Song, R.; Liu, F.; Ma, F.; Dai, J. Waste chicken fat oil as a biomass regenerator to restore the performance of aged asphalt: Rheological properties and regeneration mechanism. Road Mater. Pavement 2021, 1–25. [Google Scholar] [CrossRef]
- Feng, D.; Yi, J.; Wang, D.; Chen, L. Impact of salt and freeze–thaw cycles on performance of asphalt mixtures in coastal frozen region of China. Cold Reg. Sci. Technol. 2010, 62, 34–41. [Google Scholar] [CrossRef]
- Xu, O.; Xiang, S.; Yang, X.; Liu, Y. Estimation of the surface free energy and moisture susceptibility of asphalt mastic and aggregate system containing salt storage additive. Constr. Build. Mater. 2022, 318, 125814. [Google Scholar] [CrossRef]
- Song, R.; Sha, A.; Shi, K.; Li, J.; Li, X.; Zhang, F. Polyphosphoric acid and plasticizer modified asphalt: Rheological properties and modification mechanism. Constr. Build. Mater. 2021, 309, 125158. [Google Scholar] [CrossRef]
- Zhang, R.; You, Z.; Wang, H.; Ye, M.; Yap, Y.; Si, C. The impact of bio-oil as rejuvenator for aged asphalt binder. Constr. Build. Mater. 2019, 196, 134–143. [Google Scholar] [CrossRef]
- Yuan, D.; Jiang, W.; Xiao, J.; Tong, Z.; Jia, M.; Shan, J.; Ogbon, A. Assessment of the aging process of finished product–modified asphalt binder and its aging mechanism. J. Mater. Civil Eng. 2022, 34, 4022174. [Google Scholar] [CrossRef]
- Zhang, X.; Chen, H.; Barbieri, D.; Inge, H. Laboratory evaluation of mechanical properties of asphalt mixtures exposed to sodium chloride. Transport. Res. Rec. 2022, 2676, 90–98. [Google Scholar] [CrossRef]
- Naderi, K.; Asgharzadeh, S.; Tabatabaee, N.; Partl, M. Evaluating aging properties of crumb rubber and styrene–butadiene–styrene modified binders: Using double logistic master curve model. Transport. Res. Rec. 2014, 2444, 110–119. [Google Scholar] [CrossRef]
- Tang, N.; Lyu, Q.; Huang, W.; Lin, P.; Yan, C. Chemical and rheological evaluation of aging characteristics of terminal blend rubberized asphalt binder. Constr. Build. Mater. 2019, 205, 87–96. [Google Scholar] [CrossRef]
- Wang, L.; Chen, G.; Xing, Y.; Hu, J.; Leng, B. Effect of aging on rheological properties of crumb rubber and sbs modified asphalt. J. Build. Mater. 2015, 18, 499–504. [Google Scholar]
- Jia, M.; Sha, A.; Zhang, Z.; Li, J.; Yuan, D.; Jiang, W. Effect of organic reagents on high temperature rheological characteristics of organic rectorite modified asphalt. Constr. Build. Mater. 2019, 227, 116624. [Google Scholar] [CrossRef]
- Wang, L.; Cui, S.; Chang, C. High temperature performance of warm mix crumb rubber modified asphalt based on rheological and viscoelastic theory. Mater. Rep. 2019, 33, 2386–2391. [Google Scholar]
- Zhang, X.; Chen, H.; Inge, H. The mutual effect and reaction mechanism of bitumen and de-icing salt solution. Constr. Build. Mater. 2021, 302, 124213. [Google Scholar] [CrossRef]
- Yuan, D.; Jiang, W.; Xiao, J.; Zhou, B.; Jia, M.; Wang, W. Comparison of rheological properties between SBS, rubber and high-viscosity modified asphalt binders. J. Chang’an Univ. Nat. Sci. Ed. 2020, 40, 135–142. [Google Scholar]
- Yuan, D.; Xing, C.; Jiang, W.; Xiao, J.; Wu, W.; Li, P.; Li, Y. Viscoelastic behavior and phase structure of high-content sbs-modified asphalt. Polymers 2022, 14, 2476. [Google Scholar] [CrossRef]
- Rebecca, S.; Hussain, U. Field evaluation of asphalt additives to control rutting and cracking. Transport. Res. Rec. 2003, 1829, 47–54. [Google Scholar]
- Xia, H.; Zhao, X.; Wu, Y.; Yuan, T.; Song, L.; Yan, M.; Wang, F.; Chen, H. Preparation and performance of antifreeze adhesive materials for asphalt pavement. Constr. Build. Mater. 2020, 258, 119554. [Google Scholar] [CrossRef]
- Jia, M.; Zhang, Z.; Liu, H.; Peng, B.; Zhang, H.; Lyu, W.; Zhang, Q.; Mao, Z. The synergistic effect of organic montmorillonite and thermoplastic polyurethane on properties of asphalt binder. Constr. Build. Mater. 2019, 229, 116867. [Google Scholar] [CrossRef]
- Yu, J.; Zhao, Q.; Ye, F.; Song, Q. Low Temperature Rheological Performance Analysis of Rubber Modified Asphalt under Heat Aging Process. J. Southwest Jiaotong Univ. 2021, 56, 108–115. [Google Scholar]
- Liu, S.; Cao, W.; Shang, S.; Qi, H.; Fang, J. Analysis and application of relationships between low-temperature rheological performance parameters of asphalt binders. Constr. Build. Mater. 2009, 24, 471–478. [Google Scholar] [CrossRef]













| Indexes | Unit | Test Result | Standard | Test Method |
|---|---|---|---|---|
| Penetration (100 g, 5 s, 25 °C) | 0.1 mm | 54 | 40–60 | T0604-2011 |
| Ductility (5 °C, 5 cm/min) | cm | 31 | ≥20 | T0605-2011 |
| Softening Point | °C | 80 | ≥60 | T0606-2011 |
| Dynamic viscosity (135 °C) | Pa·s | 1.773 | ≤3 | T0620-2011 |
| Elastic recovery (25 °C) | % | 90 | ≥75 | T0662-2000 |
| Residues after TFOT | ||||
| Mass change | % | −0.213 | ±1.0 | T0609-2011 |
| Penetration ratio (25 °C) | % | 70.5 | ≥65 | T0604-2011 |
| Ductility (5 °C, 5 cm/min) | cm | 16 | ≥15 | T0605-2011 |
| Particle Size/mm | Color | Relative Density | Water Absorption Rate/% | Melting Point/°C |
|---|---|---|---|---|
| 2–4 | Yellow | 0.96 | <1 | 170 |
| Indexes | Test Result | Standard | Test Method |
|---|---|---|---|
| Moisture content (%) | 0.2 | ≤1.0 | T0103-1993 |
| Apparent relative density | 2.762 | ≥2.5 | T0352-2000 |
| Gross bulk relative density | 2.667 | / | T0352-2000 |
| Hydrophilic coefficient | 0.73 | <1 | T0353-2000 |
| Plasticity index (%) | 2.7 | <4 | T0354-2000 |
| Appearance | Qualified | No agglomeration | T0355-2000 |
| Indexes | Test Result | Standard | Test Method |
|---|---|---|---|
| Appearance | White powder | No agglomeration | T0355-2000 |
| Moisture content (%) | 0.2 | ≤0.5 | T0103-1993 |
| Apparent relative density | 2.170 | / | T0352-2000 |
| Gross bulk relative density | 2.136 | / | T0352-2000 |
| Salt content (%) | 56 | 50 ± 10 | / |
| pH | 8.3 | 8–8.5 | / |
| Indexes | Unit | Test Result | Standard | Test Method |
|---|---|---|---|---|
| Penetration (100 g, 5 s, 25 °C) | 0.1 mm | 49 | 40–60 | T0604-2011 |
| Ductility (5 °C, 5 cm/min) | cm | 55 | ≥20 | T0605-2011 |
| Softening Point | °C | 94 | ≥60 | T0606-2011 |
| Dynamic viscosity (135 °C) | Pa·s | 1.861 | ≤3 | T0620-2011 |
| Elastic recovery (25 °C) | % | 98 | ≥75 | T0662-2000 |
| Residues after TFOT | ||||
| Mass change | % | −0.13 | ±1.0 | T0609-2011 |
| Penetration ratio (25 °C) | % | 76.6 | ≥65 | T0604-2011 |
| Ductility (5 °C, 5 cm/min) | cm | 31 | ≥15 | T0605-2011 |
| Tests | Specimens | Replication |
|---|---|---|
| Penetration test | SBS00, SBS50, SBS100, HEA50, HEA100 | 4 |
| Softening point test | SBS00, SBS50, SBS100, HEA50, HEA100 | 4 |
| Ductility test | SBS00, SBS50, SBS100, HEA50, HEA100 | 4 |
| Brookfield viscosity test | SBS00, SBS50, SBS100, HEA50, HEA100 | 3 |
| Temperature sweep test | SBS00, SBS50, SBS100, HEA50, HEA100 | 3 |
| Multiple stress creep and recovery test | SBS00, SBS50, SBS100, HEA50, HEA100 | 3 |
| Bending beam rheological test | SBS00, SBS50, SBS100, HEA50, HEA100 | 3 |
Publisher’s Note: MDPI stays neutral with regard to jurisdictional claims in published maps and institutional affiliations. |
© 2022 by the authors. Licensee MDPI, Basel, Switzerland. This article is an open access article distributed under the terms and conditions of the Creative Commons Attribution (CC BY) license (https://creativecommons.org/licenses/by/4.0/).
Share and Cite
Cao, Y.; Li, J.; Liu, Z.; Li, X.; Zhang, F.; Shan, B. Rheological Properties of Styrene-Butadiene-Styrene Asphalt Mastic Containing High Elastic Polymer and Snow Melting Salt. Polymers 2022, 14, 3651. https://doi.org/10.3390/polym14173651
Cao Y, Li J, Liu Z, Li X, Zhang F, Shan B. Rheological Properties of Styrene-Butadiene-Styrene Asphalt Mastic Containing High Elastic Polymer and Snow Melting Salt. Polymers. 2022; 14(17):3651. https://doi.org/10.3390/polym14173651
Chicago/Turabian StyleCao, Yangsen, Jiarong Li, Zhuangzhuang Liu, Xinzhou Li, Fan Zhang, and Baozeng Shan. 2022. "Rheological Properties of Styrene-Butadiene-Styrene Asphalt Mastic Containing High Elastic Polymer and Snow Melting Salt" Polymers 14, no. 17: 3651. https://doi.org/10.3390/polym14173651
APA StyleCao, Y., Li, J., Liu, Z., Li, X., Zhang, F., & Shan, B. (2022). Rheological Properties of Styrene-Butadiene-Styrene Asphalt Mastic Containing High Elastic Polymer and Snow Melting Salt. Polymers, 14(17), 3651. https://doi.org/10.3390/polym14173651

