Porous Silicon Oxycarbonitride Ceramics with Palladium and Pd2Si Nanoparticles for Dry Reforming of Methane
Abstract
:1. Introduction
2. Materials and Methods
2.1. The Synthesis of Pd-Containing Precursor
2.2. Pyrolysis of the Synthesized Pd-Containing Precursor
2.3. Catalytic Tests in the Recirculating Batch Reactor
2.4. Attenuated Total Reflectance Fourier Transform Infrared (ATR-FTIR) Spectra
2.5. X-ray Photoelectron Spectra (XPS)
2.6. X-ray Diffraction (XRD)
2.7. Inductively Coupled Plasma Optical Emission Spectroscopy (ICP-OES)
2.8. Thermal Gravimetry Analysis (TGA) and Mass Spectrometer (MS)
2.9. Nitrogen Sorption Measurements
2.10. Transmission Electron Microscopy (TEM)
2.11. Solid-State NMR Spectra
3. Results
3.1. The Chemical Structure of the Synthesized Pd-Containing Precursor
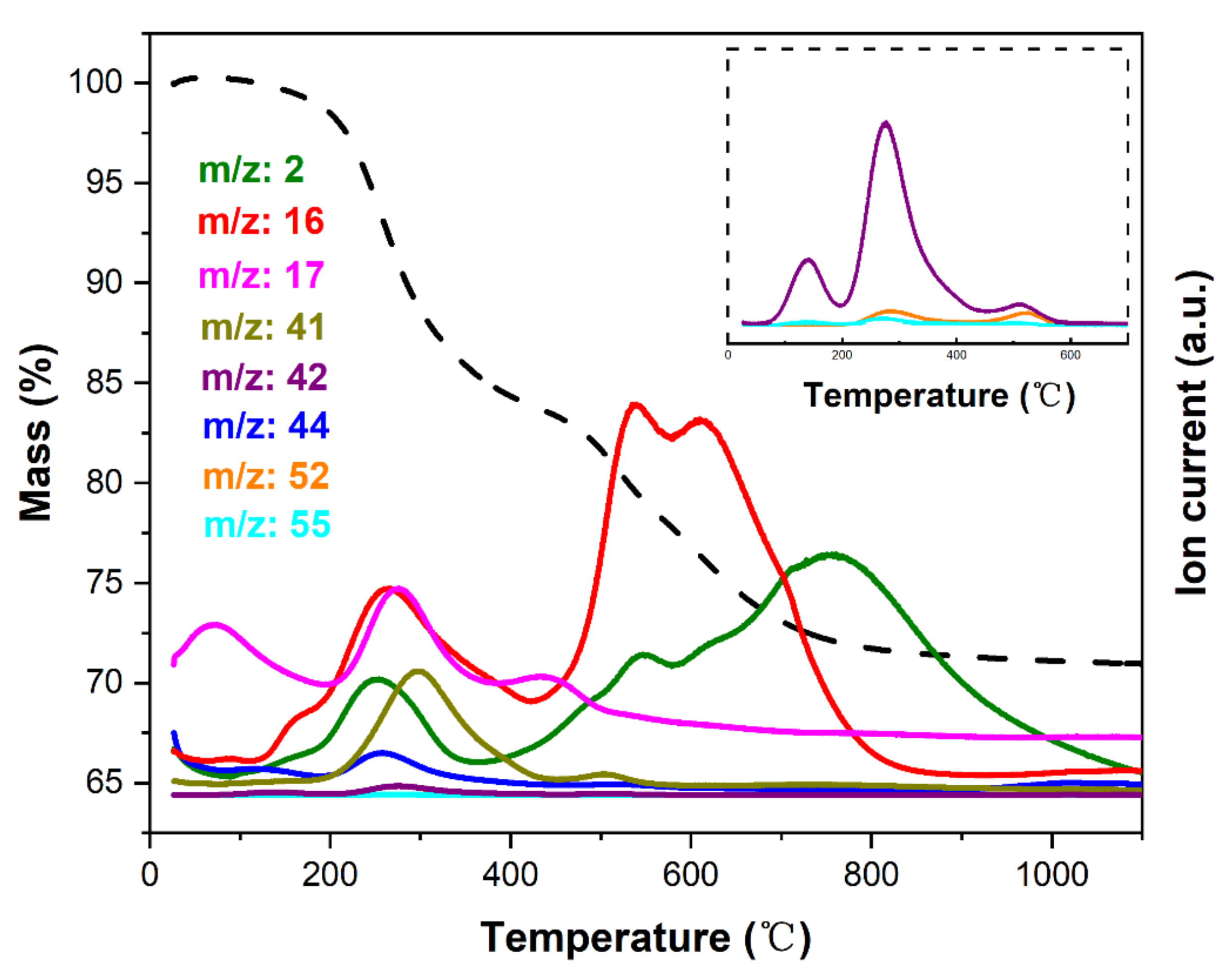
3.2. The Transformation of the Synthesized Du1800-Pd Precursor into Ceramic Nanocomposites
3.3. The Chemical Composition and Microstructure of the Pyrolyzed Ceramic Nanocomposites
3.4. The Catalytic Properties of Carbon Dioxide Dry Reforming of Methane
4. Discussion
5. Conclusions
Supplementary Materials
Author Contributions
Funding
Institutional Review Board Statement
Informed Consent Statement
Data Availability Statement
Acknowledgments
Conflicts of Interest
References
- Colombo, P.; Mera, G.; Riedel, R.; Sorarù, G.D. Polymer-Derived Ceramics: 40 Years of Research and Innovation in Advanced Ceramics. J. Am. Ceram. Soc. 2010, 93, 1805–1837. [Google Scholar] [CrossRef]
- Zaheer, M.; Schmalz, T.; Motz, G.; Kempe, R. Polymer derived non-oxide ceramics modified with late transition metals. Chem. Soc. Rev. 2012, 41, 5102–5116. [Google Scholar] [CrossRef] [PubMed]
- Ionescu, E.; Kleebe, H.-J.; Riedel, R. Silicon-containing polymer-derived ceramic nanocomposites (PDC-NCs): Preparative approaches and properties. Chem. Soc. Rev. 2012, 41, 5032–5052. [Google Scholar] [CrossRef] [PubMed]
- Schitco, C.; Bazarjani, M.S.; Riedel, R.; Gurlo, A. Ultramicroporous silicon nitride ceramics for CO2 capture. J. Mater. Res. 2015, 30, 2958–2966. [Google Scholar] [CrossRef]
- Schitco, C.; Bazarjani, M.S.; Riedel, R.; Gurlo, A. NH3-assisted synthesis of microporous silicon oxycarbonitride ceramics from preceramic polymers: A combined N2 and CO2 adsorption and small angle X-ray scattering study. J. Mater. Chem. A 2015, 3, 805–818. [Google Scholar] [CrossRef]
- Schiţco, C.; Turdean-Ionescu, C.; Bazarjani, M.S.; Tai, C.-W.; Li, D.; Fasel, C.; Donner, W.; Shen, J.; Riedel, R.; Gurlo, A.; et al. Silicon oxycarbonitrides synthesized by ammonia-assisted thermolysis route from polymers: A total X-ray scattering, solid-state NMR, and TEM structural study. J. Eur. Ceram. Soc. 2016, 36, 979–989. [Google Scholar] [CrossRef]
- Iwase, Y.; Horie, Y.; Honda, S.; Daiko, Y.; Iwamoto, Y. Microporosity and CO2 Capture Properties of Amorphous Silicon Oxynitride Derived from Novel Polyalkoxysilsesquiazanes. Materials 2018, 11, 422. [Google Scholar] [CrossRef] [PubMed]
- Kaur, S.; Fischer, S.; Falta, J.; Rezwan, K.; Wilhelm, M. High surface area SiC(O)-based ceramic by pyrolysis of poly (ethylene glycol) methacrylate-modified polycarbosilane. J. Am. Ceram. Soc. 2019, 102, 7187–7197. [Google Scholar] [CrossRef]
- Torrey, J.D.; Bordia, R.K. Processing of Polymer-Derived Ceramic Composite Coatings on Steel. J. Am. Ceram. Soc. 2008, 91, 41–45. [Google Scholar] [CrossRef]
- Nagaiah, N.; Kapat, J.S.; An, L.; Chow, L. Novel polymer derived ceramic-high temperature heat flux sensor for gas turbine environment. J. Phys. Conf. Ser. 2006, 34, 458–463. [Google Scholar] [CrossRef]
- Pradeep, V.; Graczyk-Zajac, M.; Riedel, R.; Soraru, G. New Insights in to the Lithium Storage Mechanism in Polymer Derived SiOC Anode Materials. Electrochim. Acta 2014, 119, 78–85. [Google Scholar] [CrossRef]
- Shao, G.; Hanaor, D.A.H.; Wang, J.; Kober, D.; Li, S.; Wang, X.; Shen, X.; Bekheet, M.F.; Gurlo, A. Polymer-Derived SiOC Integrated with a Graphene Aerogel as a Highly Stable Li-Ion Battery Anode. ACS Appl. Mater. Interfaces 2020, 12, 46045–46056. [Google Scholar] [CrossRef] [PubMed]
- Wang, J.; Kober, D.; Shao, G.; Epping, J.D.; Görke, O.; Li, S.; Gurlo, A.; Bekheet, M.F. Stable Anodes for Lithium-ion Batteries based on Tin-containing Silicon Oxycarbonitride Ceramic Nanocomposites. Mater. Today Energy 2022, 26, 100989. [Google Scholar] [CrossRef]
- Seifollahi Bazarjani, M.; Müller, M.M.; Kleebe, H.-J.; Jüttke, Y.; Voigt, I.; Baghaie Yazdi, M.; Alff, L.; Riedel, R.; Gurlo, A. High-Temperature Stability and Saturation Magnetization of Superparamagnetic Nickel Nanoparticles in Microporous Polysilazane-Derived Ceramics and their Gas Permeation Properties. ACS Appl. Mater. Interfaces 2014, 6, 12270–12278. [Google Scholar] [CrossRef]
- Lale, A.; Schmidt, M.; Mallmann, M.D.; Bezerra, A.V.A.; Acosta, E.; Machado, R.; Demirci, U.B.; Bernard, S. Polymer-Derived Ceramics with engineered mesoporosity: From design to application in catalysis. Surf. Coat. Technol. 2018, 350, 569–586. [Google Scholar] [CrossRef]
- Schwarz, S.; Friedrich, M.; Motz, G.; Kempe, R. Synthesis of Hierarchically Porous SiCN Materials and Pd Catalysts based on it for the Oxidation of Methane. Z. Für Anorg. Und Allg. Chem. 2015, 641, 2266–2271. [Google Scholar] [CrossRef]
- Schumacher, D.; Wilhelm, M.; Rezwan, K. Porous SiOC monoliths with catalytic activity by in situ formation of Ni nanoparticles in solution-based freeze casting. J. Am. Ceram. Soc. 2020, 103, 2991–3001. [Google Scholar] [CrossRef]
- Wang, J.; Gili, A.; Grünbacher, M.; Praetz, S.; Epping, J.D.; Görke, O.; Schuck, G.; Penner, S.; Schlesiger, C.; Schomäcker, R.; et al. Silicon oxycarbonitride ceramic containing nickel nanoparticles: From design to catalytic application. Mater. Adv. 2021, 2, 1715–1730. [Google Scholar] [CrossRef]
- Schubert, M.; Wilhelm, M.; Bragulla, S.; Sun, C.; Neumann, S.; Gesing, T.M.; Pfeifer, P.; Rezwan, K.; Bäumer, M. The Influence of the Pyrolysis Temperature on the Material Properties of Cobalt and Nickel Containing Precursor Derived Ceramics and their Catalytic Use for CO2 Methanation and Fischer–Tropsch Synthesis. Catal. Lett. 2017, 147, 472–482. [Google Scholar] [CrossRef]
- Macedo, H.P.; Medeiros, R.L.; Ilsemann, J.; Melo, D.M.; Rezwan, K.; Wilhelm, M. Nickel-containing hybrid ceramics derived from polysiloxanes with hierarchical porosity for CO2 methanation. Microporous Mesoporous Mater. 2019, 278, 156–166. [Google Scholar] [CrossRef]
- Adam, M.; Kocanis, S.; Fey, T.; Wilhelm, M.; Grathwohl, G. Hierarchically ordered foams derived from polysiloxanes with catalytically active coatings. J. Eur. Ceram. Soc. 2014, 34, 1715–1725. [Google Scholar] [CrossRef]
- Wilhelm, M.; Ádám, M.; Bäumer, M.; Grathwohl, G. Synthesis and Properties of Porous Hybrid Materials containing Metallic Nanoparticles. Adv. Eng. Mater. 2008, 10, 241–245. [Google Scholar] [CrossRef]
- Glatz, G.; Schmalz, T.; Kraus, T.; Haarmann, F.; Motz, G.; Kempe, R. Copper-Containing SiCN Precursor Ceramics (Cu@SiCN) as Selective Hydrocarbon Oxidation Catalysts Using Air as an Oxidant. Chem.–A Eur. J. 2010, 16, 4231–4238. [Google Scholar] [CrossRef] [PubMed]
- Forberg, D.; Schwob, T.; Zaheer, M.; Friedrich, M.; Miyajima, N.; Kempe, R. Single-catalyst high-weight% hydrogen storage in an N-heterocycle synthesized from lignin hydrogenolysis products and ammonia. Nat. Commun. 2016, 7, 13201. [Google Scholar] [CrossRef] [PubMed]
- Forberg, D.; Schwob, T.; Kempe, R. Catalytic condensation for the formation of polycyclic heteroaromatic compounds. Nat. Commun. 2018, 9, 1751. [Google Scholar] [CrossRef]
- Forberg, D.; Obenauf, J.; Friedrich, M.; Hühne, S.-M.; Mader, W.; Motz, G.; Kempe, R. The synthesis of pyrroles via acceptorless dehydrogenative condensation of secondary alcohols and 1,2-amino alcohols mediated by a robust and reusable catalyst based on nanometer-sized iridium particles. Catal. Sci. Technol. 2014, 4, 4188–4192. [Google Scholar] [CrossRef]
- Greil, P. Active-Filler-Controlled Pyrolysis of Preceramic Polymers. J. Am. Ceram. Soc. 1995, 78, 835–848. [Google Scholar] [CrossRef]
- Francis, A.; Ionescu, E.; Fasel, C.; Riedel, R. Crystallization behavior and controlling mechanism of iron-containing Si−C−N ceramics. Inorg. Chem. 2009, 48, 10078–10083. [Google Scholar] [CrossRef] [PubMed]
- Hojamberdiev, M.; Prasad, R.M.; Morita, K.; Schiavon, M.A.; Riedel, R. Polymer-derived mesoporous SiOC/ZnO nanocomposite for the purification of water contaminated with organic dyes. Microporous Mesoporous Mater. 2012, 151, 330–338. [Google Scholar] [CrossRef]
- Wang, Y.; Feng, Y.; Guo, X.; Liu, Y.; Gong, H. Electromagnetic and wave absorbing properties of Fe-doped polymer-derived SiCN ceramics. RSC Adv. 2017, 7, 46215–46220. [Google Scholar] [CrossRef] [Green Version]
- Chen, X.; Su, Z.; Zhang, L.; Tang, M.; Yu, Y.; Zhang, L.; Chen, L. Iron Nanoparticle-Containing Silicon Carbide Fibers Prepared by Pyrolysis of Fe(CO)5-Doped Polycarbosilane Fibers. J. Am. Ceram. Soc. 2010, 93, 89–95. [Google Scholar] [CrossRef]
- Ionescu, E.; Linck, C.; Fasel, C.; Müller, M.; Kleebe, H.-J.; Riedel, R. Polymer-Derived SiOC/ZrO2 Ceramic Nanocomposites with Excellent High-Temperature Stability. J. Am. Ceram. Soc. 2010, 93, 241–250. [Google Scholar] [CrossRef]
- Ishikawa, T.; Kajii, S.; Matsunaga, K.; Hogami, T.; Kohtoku, Y.; Nagasawa, T. A Tough, Thermally Conductive Silicon Carbide Composite with High Strength up to 1600 °C in Air. Science 1998, 282, 1295–1297. [Google Scholar] [CrossRef] [PubMed]
- Amorós, P.; Beltrán, D.; Guillem, C.; Latorre, J. Synthesis and characterization of SiC/MC/C ceramics (M = Ti, Zr, Hf) starting from totally non-oxidic precursors. Chem. Mater. 2002, 14, 1585–1590. [Google Scholar] [CrossRef]
- Wang, J.; Schölch, V.; Görke, O.; Schuck, G.; Wang, X.; Shao, G.; Schorr, S.; Bekheet, M.F.; Gurlo, A. Metal-containing ceramic nanocomposites synthesized from metal acetates and polysilazane. Open Ceram. 2020, 1, 100001. [Google Scholar] [CrossRef]
- Bradford, M.; Vannice, M. CO2 reforming of CH4. Catal. Rev. 1999, 41, 1–42. [Google Scholar] [CrossRef]
- Fan, M.-S.; Abdullah, A.Z.; Bhatia, S. Catalytic Technology for Carbon Dioxide Reforming of Methane to Synthesis Gas. ChemCatChem 2009, 1, 192–208. [Google Scholar] [CrossRef]
- Valderrama, G.; Goldwasser, M.R.; de Navarro, C.U.; Tatibouët, J.M.; Barrault, J.; Batiot-Dupeyrat, C.; Martínez, F. Dry reforming of methane over Ni perovskite type oxides. Catal. Today 2005, 107–108, 785–791. [Google Scholar] [CrossRef]
- Bonmassar, N.; Bekheet, M.F.; Schlicker, L.; Gili, A.; Gurlo, A.; Doran, A.; Gao, Y.; Heggen, M.; Bernardi, J.; Klötzer, B.; et al. In Situ-Determined Catalytically Active State of LaNiO3 in Methane Dry Reforming. ACS Catal. 2020, 10, 1102–1112. [Google Scholar] [CrossRef]
- Bekheet, M.F.; Nezhad, P.D.K.; Bonmassar, N.; Schlicker, L.; Gili, A.; Praetz, S.; Gurlo, A.; Doran, A.; Gao, Y.; Heggen, M.; et al. Steering the Methane Dry Reforming Reactivity of Ni/La2O3 Catalysts by Controlled In Situ Decomposition of Doped La2NiO4 Precursor Structures. ACS Catal. 2021, 11, 43–59. [Google Scholar] [CrossRef]
- Nezhad, P.D.K.; Bekheet, M.F.; Bonmassar, N.; Schlicker, L.; Gili, A.; Kamutzki, F.; Gurlo, A.; Doran, A.; Gao, Y.; Heggen, M.; et al. Mechanistic in situ insights into the formation, structural and catalytic aspects of the La2NiO4 intermediate phase in the dry reforming of methane over Ni-based perovskite catalysts. Appl. Catal. A Gen. 2021, 612, 117984. [Google Scholar] [CrossRef]
- Nezhad, P.D.K.; Bekheet, M.F.; Bonmassar, N.; Gili, A.; Kamutzki, F.; Gurlo, A.; Doran, A.; Schwarz, S.; Bernardi, J.; Praetz, S.; et al. Elucidating the role of earth alkaline doping in perovskite-based methane dry reforming catalysts. Catal. Sci. Technol. 2022, 12, 1229–1244. [Google Scholar] [CrossRef] [PubMed]
- Gili, A.; Schlicker, L.; Bekheet, M.F.; Görke, O.; Penner, S.; Grünbacher, M.; Götsch, T.; Littlewood, P.; Marks, T.J.; Stair, P.C.; et al. Surface Carbon as a Reactive Intermediate in Dry Reforming of Methane to Syngas on a 5% Ni/MnO Catalyst. ACS Catal. 2018, 8, 8739–8750. [Google Scholar] [CrossRef]
- Mette, K.; Kühl, S.; Düdder, H.; Kähler, K.; Tarasov, A.; Muhler, M.; Behrens, M. Stable Performance of Ni Catalysts in the Dry Reforming of Methane at High Temperatures for the Efficient Conversion of CO2 into Syngas. ChemCatChem 2014, 6, 100–104. [Google Scholar] [CrossRef]
- Singha, R.K.; Yadav, A.; Shukla, A.; Kumar, M.; Bal, R. Low temperature dry reforming of methane over Pd-CeO2 nanocatalyst. Catal. Commun. 2017, 92, 19–22. [Google Scholar] [CrossRef]
- Yue, L.; Li, J.; Chen, C.; Fu, X.; Gong, Y.; Xia, X.; Hou, J.; Xiao, C.; Chen, X.; Zhao, L.; et al. Thermal-stable Pd@mesoporous silica core-shell nanocatalysts for dry reforming of methane with good coke-resistant performance. Fuel 2018, 218, 335–341. [Google Scholar] [CrossRef]
- Ballesteros-Plata, D.; Infantes-Molina, A.; Rodríguez-Castellón, E.; Cauqui, M.; Yeste, M. Improving noble metal catalytic activity in the dry reforming of methane by adding niobium. Fuel 2022, 308, 121996. [Google Scholar] [CrossRef]
- Masai, M.; Kado, H.; Miyake, A.; Nishiyama, S.; Tsuruya, S. Methane Reforming by Carbon Dioxide and Steam Over Supported Pd, Pt, and Rh Catalysts. Stud. Surf. Sci. Catal. 1988, 36, 67–71. [Google Scholar]
- Bazarjani, M.S.; Kleebe, H.-J.; Müller, M.M.; Fasel, C.; Yazdi, M.B.; Gurlo, A.; Riedel, R. Nanoporous Silicon Oxycarbonitride Ceramics Derived from Polysilazanes In situ Modified with Nickel Nanoparticles. Chem. Mater. 2011, 23, 4112–4123. [Google Scholar] [CrossRef]
- Launer, P. Infrared analysis of organosilicon compounds. In Silicon Compounds: Register and Review; Petrarch Systems: Bristol, PA, USA, 1987; Volume 70. [Google Scholar]
- Yuan, J.; Hapis, S.; Breitzke, H.; Xu, Y.; Fasel, C.; Kleebe, H.-J.; Buntkowsky, G.; Riedel, R.; Ionescu, E. Single-source-precursor synthesis of hafnium-containing ultrahigh-temperature ceramic nanocomposites (UHTC-NCs). Inorg. Chem. 2014, 53, 10443–10455. [Google Scholar] [CrossRef] [PubMed]
- Brun, M.; Berthet, A.; Bertolini, J. XPS, AES and Auger parameter of Pd and PdO. J. Electron Spectrosc. Relat. Phenom. 1999, 104, 55–60. [Google Scholar] [CrossRef]
- Hoffmann, C.; Plate, P.; Steinbrück, A.; Kaskel, S. Nanoporous silicon carbide as nickel support for the carbon dioxide reforming of methane. Catal. Sci. Technol. 2015, 5, 4174–4183. [Google Scholar] [CrossRef]
- Nguyen, D.L.; Leroi, P.; Ledoux, M.J.; Pham-Huu, C. Influence of the oxygen pretreatment on the CO2 reforming of methane on Ni/β-SiC catalyst. Catal. Today 2009, 141, 393–396. [Google Scholar] [CrossRef]











Publisher’s Note: MDPI stays neutral with regard to jurisdictional claims in published maps and institutional affiliations. |
© 2022 by the authors. Licensee MDPI, Basel, Switzerland. This article is an open access article distributed under the terms and conditions of the Creative Commons Attribution (CC BY) license (https://creativecommons.org/licenses/by/4.0/).
Share and Cite
Wang, J.; Grünbacher, M.; Penner, S.; Bekheet, M.F.; Gurlo, A. Porous Silicon Oxycarbonitride Ceramics with Palladium and Pd2Si Nanoparticles for Dry Reforming of Methane. Polymers 2022, 14, 3470. https://doi.org/10.3390/polym14173470
Wang J, Grünbacher M, Penner S, Bekheet MF, Gurlo A. Porous Silicon Oxycarbonitride Ceramics with Palladium and Pd2Si Nanoparticles for Dry Reforming of Methane. Polymers. 2022; 14(17):3470. https://doi.org/10.3390/polym14173470
Chicago/Turabian StyleWang, Jun, Matthias Grünbacher, Simon Penner, Maged F. Bekheet, and Aleksander Gurlo. 2022. "Porous Silicon Oxycarbonitride Ceramics with Palladium and Pd2Si Nanoparticles for Dry Reforming of Methane" Polymers 14, no. 17: 3470. https://doi.org/10.3390/polym14173470
APA StyleWang, J., Grünbacher, M., Penner, S., Bekheet, M. F., & Gurlo, A. (2022). Porous Silicon Oxycarbonitride Ceramics with Palladium and Pd2Si Nanoparticles for Dry Reforming of Methane. Polymers, 14(17), 3470. https://doi.org/10.3390/polym14173470

