Study of Blast Mitigation Performance and Fracture Mechanism of Polyurea under Contact Explosion
Abstract
:1. Introduction
2. Materials and Specimen Design
2.1. Materials
2.1.1. Polyurea Coating
2.1.2. RC Slabs
2.2. Specimen Design
3. Experiments
3.1. Basic Mechanical Performance Test
3.2. Dynamic Mechnical Analysis (DMA)
3.3. Explosion Test
3.4. Scanning Electron Moicroscope (SEM)
3.5. Fourier Transform Infrared Spectroscopy (FTIR)
4. Results and Discussion
4.1. Basic Mechanical Properties
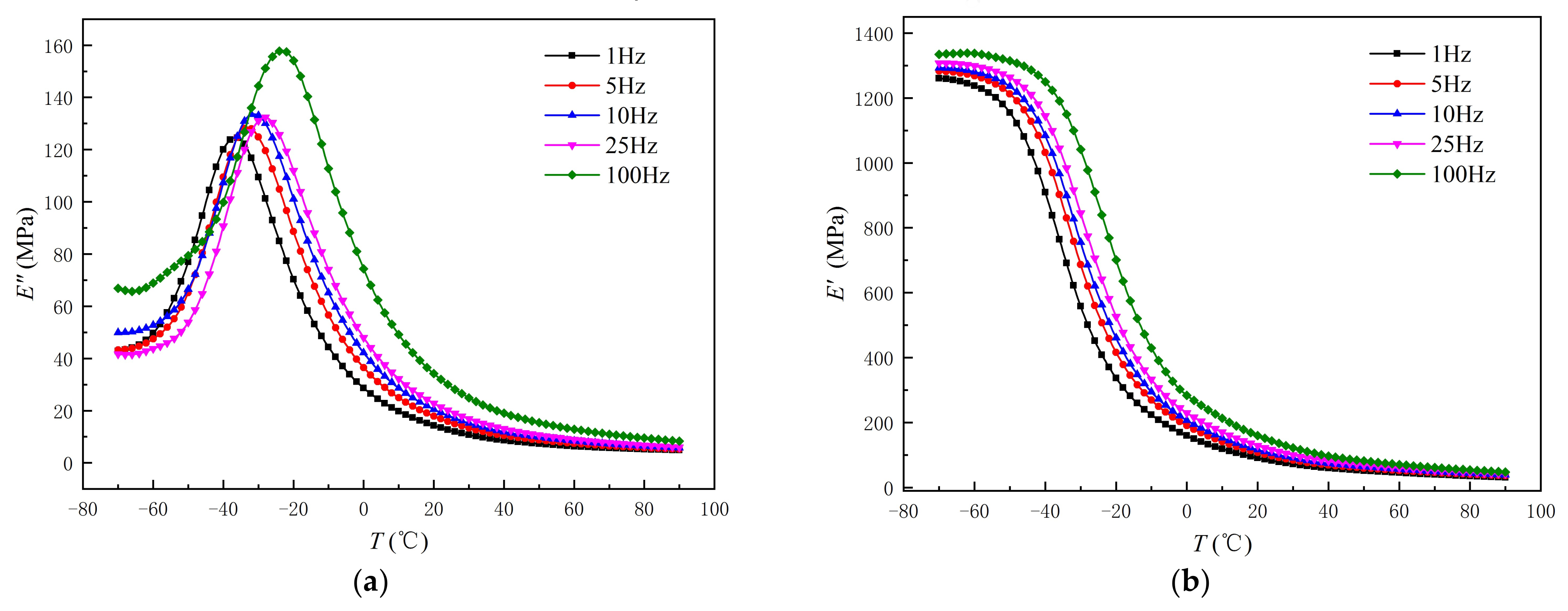
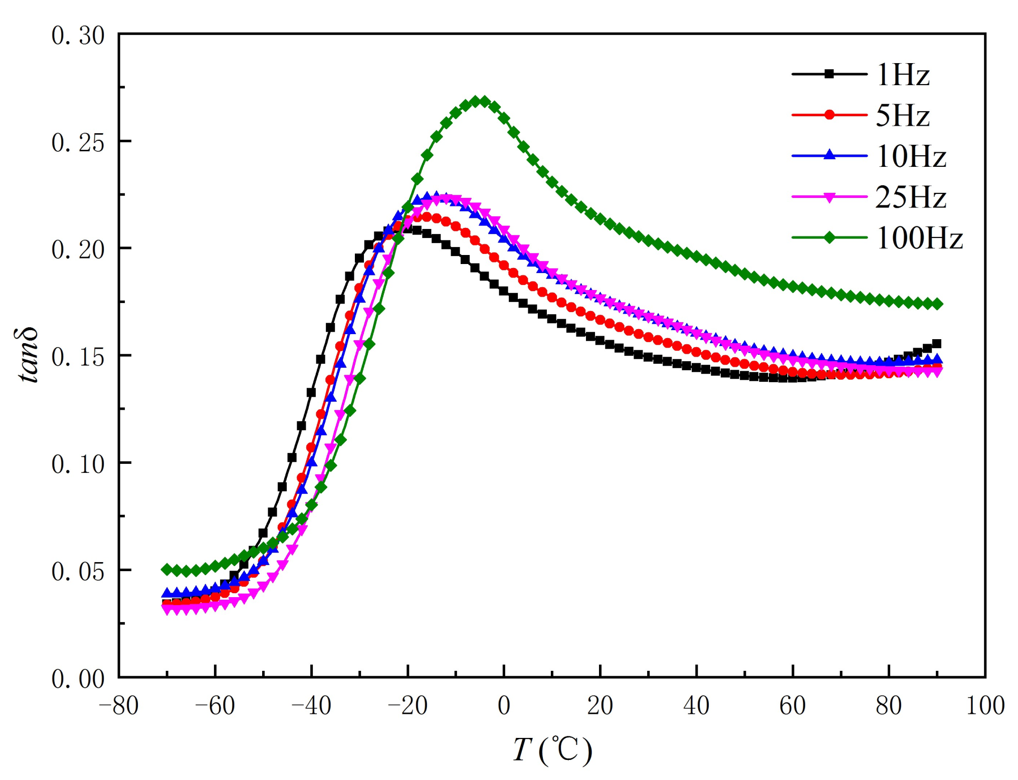
4.2. Dynamic Mechanical Analysis
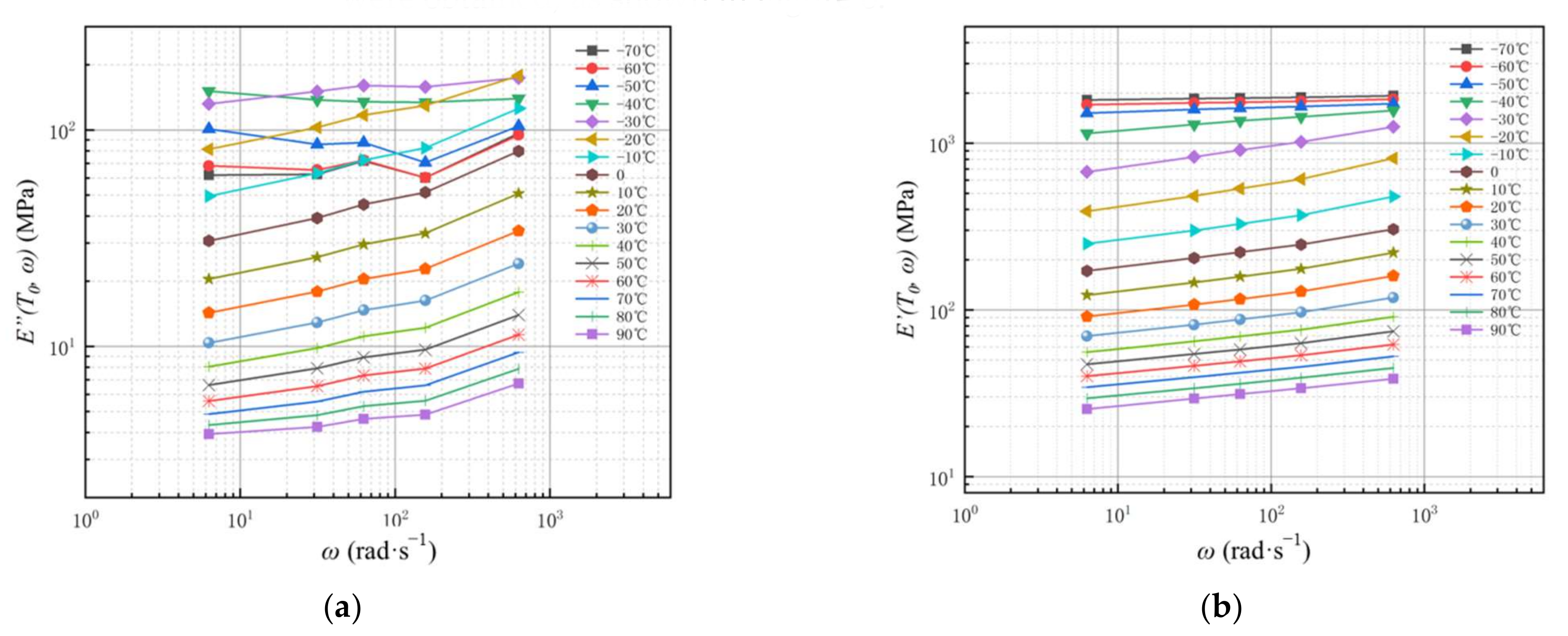
4.3. Master Curves
4.4. Explosion Protection Performance
4.5. Microscopic Fracture Mechanism
4.5.1. Microscopic Fracture Morphology
4.5.2. Hydrogen Bonding Behavior
5. Conclusions
- (1)
- The temperature range of the glass transition region of T26 polyurea is significantly larger than that of other types of polymers and has a lower degree of microphase separation. T26 polyurea is significantly affected by temperature and loading frequency, which corroborates the strain-rate sensitivity from the perspective of dynamic thermomechanical properties.
- (2)
- Based on the master curves of loss and storage moduli, and loss factor obtained from the TTS principle, it can be found that when the frequency is between 102 Hz and 106 Hz, the tanδ of T26 polyurea is between 0.20 and 0.31, so that the material can effectively dissipate energy performance sufficiently. The curve fitted according to the WLF equation is quite close to the shift factor, indicating that the energy absorption of T26 polyurea acts as a unit of motion of the internal chain segments of the molecule, i.e., the interaction between the hard and soft segments.
- (3)
- The fracture mechanisms of T26 polyurea under contact explosion include a mechanical property failure mechanism with high temperature, a coupled-fracture mechanism with high temperature and impact load, a brittle-fracture mechanism with high-speed load, and a tensile-fracture mechanism. The first two of these fracture mechanisms are consistent with previous experimental and simulation studies (i.e., Ref. [3]), and the latter two fracture mechanisms did not occur due to the relatively low explosive loading in the previous tests in which no macroscopic deformation occurred on the back-blast face. In particular, it shows superior performance in the brittle-fracture mechanism and tensile-fracture mechanism under high-speed loading.
- (4)
- The maximum deformation area of the back-blast-face coating under the blast load is the ring area around the longitudinal deformation area, and the deformation is dominated by the tensile damage of the coating in the circular area. This is also the main energy absorption area of the back-blast-face coating.
- (5)
- The explosion caused a change in the chemical structure of T26 polyurea on the blast face, and the N-H bonds and so forth were broken and the percentage of hydrogen bonding was reduced. During the explosion, the blast-face coating went into a thermodynamically unstable state, which reduced the mechanical properties of the blast-face coating.
- (6)
- Coating with 10 mm T26 polyurea can significantly improve the blast resistance of RC slabs. Under the contact explosion of 10 kg TNT, the fragmentation rate of the coated specimen decreased significantly compared with the unprotected specimen, and the protection effect of zero fragmentation has been achieved on the back-blast side. T26 polyurea is of great value in the application of blast mitigation to engineering structures.
Author Contributions
Funding
Institutional Review Board Statement
Informed Consent Statement
Data Availability Statement
Acknowledgments
Conflicts of Interest
Abbreviations
| T26 polyurea | Qtech T26 blast mitigation polyurea |
| DMA | Dynamic mechnical analysis |
| RC | Reinforced concrete |
| SEM | Scanning electron microscopy |
| FTIR | Fourier transform infrared spectroscopy |
| RIM | Reaction injection molding |
| GFRPU | Glass fiber reinforced polyurea |
| BMF | Basalt milled fibers |
| TTS | Time-temperature superposition |
| MDI | 4,4′-Methylenediphenyldiisocyanate |
| DETDA | Diethyltoluene diamine |
| WLF equation | William-Landel-Ferry equation |
References
- Barczewski, M.; Biedrzycka, K.; Szostak, M.; Klozinski, A.; Anisko, J.; Matykiewicz, D.; Andrzejewski, J.; Hahn, J.; Wiernicki, J. Spray-formed polyurea composites filled with basalt powder as inorganic waste filler. Plast. Rubber Compos. 2021, 50, 276–284. [Google Scholar] [CrossRef]
- Huang, W. Spray Polyurea Elastomer Technology; Chemical Industry Press: Beijing, China, 2005. [Google Scholar]
- Lyu, P.; Fang, Z.; Wang, X.; Huang, W.; Zhang, R.; Sang, Y.; Sun, P. Explosion test and numerical simulation of coated reinforced concrete slab based on blast mitigation polyurea coating performance. Materials 2022, 15, 2607. [Google Scholar] [CrossRef] [PubMed]
- Zhou, J.-N.; Chen, X.-S.; Zhou, Y.-Z.; Wang, W.-Y.; Wang, P.; Kong, X.-L.; Xu, Y.; Geng, H.-S.; Jin, F.-N. Blast responses of polyurea retrofitted utility tunnel reinforced with basalt fibre reinforced polymer bars. Def. Technol. 2021, 18, 755–771. [Google Scholar] [CrossRef]
- Almusallam, T.H.; Abadel, A.A.; Al-Salloum, Y.A.; Siddiqui, N.A.; Abbas, H. Effectiveness of hybrid-fibers in improving the impact resistance of rc slabs. Int. J. Impact Eng. 2015, 81, 61–73. [Google Scholar] [CrossRef]
- Chen, Y.-S.; Wang, B.; Zhang, B.; Zheng, Q.; Zhou, J.-N.; Jin, F.-N.; Fan, H.-L. Polyurea coating for foamed concrete panel: An efficient way to resist explosion. Def. Technol. 2020, 16, 136–149. [Google Scholar] [CrossRef]
- Gu, M.; Ling, X.D.; Wang, H.X.; Yu, A.F.; Chen, G.X. Experimental and numerical study of polymer-retrofitted masonry walls under gas explosions. Processes 2019, 7, 863. [Google Scholar] [CrossRef]
- Ji, L.; Wang, P.; Cai, Y.; Shang, W.; Zu, X. Blast resistance of 240 mm building wall coated with polyurea elastomer. Materials 2022, 15, 850. [Google Scholar] [CrossRef]
- Zhang, R.; Huang, W.; Lyu, P.; Yan, S.; Wang, X.; Ju, J. Polyurea for blast and impact protection: A review. Polymers 2022, 14, 2670. [Google Scholar] [CrossRef]
- Jian, C.; Yanchao, S.; Xihong, Z.; Weibo, H.; Mingliang, M. Experimental study on the tension and puncture behavior of spray polyurea at high strain rates. Polym. Test. 2020, 93, 106863. [Google Scholar]
- Guo, H.; Du, C.; Chen, Y.; Li, D.; Hu, W.; Lv, X. Study on protective performance of impact-resistant polyurea and its coated concrete under impact loading. Constr. Build. Mater. 2022, 340, 127749. [Google Scholar] [CrossRef]
- Tripathi, M.; Parthasarathy, S.; Roy, P.K. Spray processable polyurea formulations: Effect of chain extender length on material properties of polyurea coatings. J. Appl. Polym. Sci. 2020, 137, 48573. [Google Scholar] [CrossRef]
- Tripathi, M.; Parthasarathy, S.; Kumar, D.; Chandel, P.; Sharma, P.; Roy, P.K. Strain rate sensitivity of polyurea coatings: Viscous and elastic contributions. Polym. Test. 2020, 86, 7. [Google Scholar] [CrossRef]
- American Society for Testing and Materials. Standard Test Methods for Vulcanized Rubber and Thermoplastic Elastomers-tension; ASTM International: West Conshohocken, PA, USA, 2021; Volume D412-16. [Google Scholar]
- Jia, Z.Z.; Amirkhizi, A.V.; Nantasetphong, W.; Nemat-Nasser, S. Experimentally-based relaxation modulus of polyurea and its composites. Mech. Time-Depend. Mater. 2016, 20, 155–174. [Google Scholar] [CrossRef]
- Eastmond, T.; Hu, J.; Alizadeh, V.; Hrubiak, R.; Oswald, J.; Amirkhizi, A.; Peralta, P. Probing high-pressure structural evolution in polyurea with in situ energy-dispersive x-ray diffraction and molecular dynamics simulations. Macromolecules 2021, 54, 597–608. [Google Scholar] [CrossRef]
- Lyu, P. Studies on the Novel Polyaspartic Ester Based Polyurea Coatings for Marine Concrete Protection. Ph.D. Thesis, Ocean University of China, Qingdao, China, 2007. [Google Scholar]
- Iqbal, N.; Sharma, P.; Kumar, D.; Roy, P. Protective polyurea coatings for enhanced blast survivability of concrete. Constr. Build. Mater. 2018, 175, 682–690. [Google Scholar] [CrossRef]
- Li, T.; Zhang, C.; Xie, Z.; Xu, J.; Guo, B.-H. A multi-scale investigation on effects of hydrogen bonding on micro-structure and macro-properties in a polyurea. Polymer 2018, 145, 261–271. [Google Scholar] [CrossRef]
- Sanchez-Ferrer, A.; Rogez, D.; Martinoty, P. Influence of the degree of polymerisation and of the architecture on the elastic properties of new polyurea elastomers. RSC Adv. 2015, 5, 6758–6770. [Google Scholar] [CrossRef]
- Zhang, L.; Wang, X.; Wang, Y.; Gu, J.; Ji, C.; Wu, G.; Cheng, L. High-hardness polyurea coated steel plates subjected to combined loadings of shock wave and fragments. Lat. Am. J. Solids Struct. 2022, 19, e433. [Google Scholar] [CrossRef]
- Zhen, X.; Chengzhen, C.; Hui, X.; Tao, X.; Shaobing, Z. Multifunctional thermoplastic polyurea based on the synergy of dynamic disulfide bonds and hydrogen bond cross-links. ACS Appl. Mater. Interfaces 2020, 13, 1463–1473. [Google Scholar]
- Che, K.; Ping, L.; Wan, F.; Ma, M. Investigations on aging behavior and mechanism of polyurea coating in marine atmosphere. Materials 2019, 12, 3636. [Google Scholar] [CrossRef]
- Iqbal, N.; Tripathi, M.; Parthasarathy, S.; Kumar, D.; Roy, P.K. Aromatic versus aliphatic: Hydrogen bonding pattern in chain-extended high-performance polyurea. Chemistryselect 2018, 3, 1976–1982. [Google Scholar] [CrossRef]


















| Shore Hardness (HD) | Tensile Strength (MPa) | Elongation (%) | Tear Strength (kN/m) | Elastic Modulus (MPa) |
|---|---|---|---|---|
| 46~49 | 22.6 ± 2.5 | ≥450 | 75.5 ± 2.2 | 84.01 ± 3.40 |
| Frequency (Hz) | E′ (MPa) | E′(−30 °C)/E′(70 °C) | |
|---|---|---|---|
| −30 °C | 70 °C | ||
| 1 | 573.61 ± 3.22 | 40.19 ± 0.42 | 14.27 ± 0.21 |
| 5 | 704.24 ± 2.19 | 46.16 ± 1.06 | 15.26 ± 0.17 |
| 10 | 772.81 ± 3.11 | 49.10 ± 0.97 | 15.74 ± 0.18 |
| 25 | 863.05 ± 1.62 | 53.32 ± 0.54 | 16.19 ± 0.08 |
| 100 | 1065.49 ± 3.36 | 61.59 ± 0.12 | 17.30 ± 0.15 |
| Frequency (Hz) | tanδmax | Tg (°C) |
|---|---|---|
| 1 | 0.2089 ± 0.0023 | −21.0 ± 1.5 |
| 5 | 0.2145 ± 0.0014 | −16.0 ± 0.4 |
| 10 | 0.2235 ± 0.0020 | −15.0 ± 0.6 |
| 25 | 0.2233 ± 0.0017 | −11.5 ± 1.2 |
| 100 | 0.2686 ± 0.0011 | −5.0 ± 0.7 |
| Moduli | C1 | C2 | Adjust R-Square |
|---|---|---|---|
| Loss modulus | 24.89 | 296.04 | 0.9991 |
| Storage modulus | 28.65 | 292.07 | 0.9947 |
| Type | Wavenumber (cm−1) | Assignment | Area (%) | Percentage of Hydrogen Bonding (%) | ||
|---|---|---|---|---|---|---|
| Xo | Xdiso | Xb | ||||
| Before the Explosion | 1643–1634 | Ordered hydrogen bonding | 32.05 | 62.49 | 86.67 | |
| 1649–1643 | 30.45 | |||||
| 1664–1655 | Disordered hydrogen bonding | 12.26 | 24.18 | |||
| 1672–1665 | 11.93 | |||||
| 1681–1673 | Free | 9.39 | ||||
| 1694–1685 | 3.93 | |||||
| After the Explosion | 1641–1631 | Ordered hydrogen bonding | 24.72 | 46.99 | 76.91 | |
| 1649–1643 | 22.27 | |||||
| 1654–1649 | Disordered hydrogen bonding | 19.24 | 29.92 | |||
| 1666–1658 | 10.68 | |||||
| 1676–1667 | Free | 11.87 | ||||
| 1688–1677 | 11.22 | |||||
Publisher’s Note: MDPI stays neutral with regard to jurisdictional claims in published maps and institutional affiliations. |
© 2022 by the authors. Licensee MDPI, Basel, Switzerland. This article is an open access article distributed under the terms and conditions of the Creative Commons Attribution (CC BY) license (https://creativecommons.org/licenses/by/4.0/).
Share and Cite
Huang, W.; Zhang, R.; Wang, X.; Lyu, P.; Ju, J.; Gao, F.; Yan, S. Study of Blast Mitigation Performance and Fracture Mechanism of Polyurea under Contact Explosion. Polymers 2022, 14, 3458. https://doi.org/10.3390/polym14173458
Huang W, Zhang R, Wang X, Lyu P, Ju J, Gao F, Yan S. Study of Blast Mitigation Performance and Fracture Mechanism of Polyurea under Contact Explosion. Polymers. 2022; 14(17):3458. https://doi.org/10.3390/polym14173458
Chicago/Turabian StyleHuang, Weibo, Rui Zhang, Xu Wang, Ping Lyu, Jiahui Ju, Fuyin Gao, and Shuai Yan. 2022. "Study of Blast Mitigation Performance and Fracture Mechanism of Polyurea under Contact Explosion" Polymers 14, no. 17: 3458. https://doi.org/10.3390/polym14173458
APA StyleHuang, W., Zhang, R., Wang, X., Lyu, P., Ju, J., Gao, F., & Yan, S. (2022). Study of Blast Mitigation Performance and Fracture Mechanism of Polyurea under Contact Explosion. Polymers, 14(17), 3458. https://doi.org/10.3390/polym14173458

