L-Arginine-Derived Polyamidoamine Oligomers Bearing at Both Ends β-Cyclodextrin Units as pH-Sensitive Curcumin Carriers
Abstract
:1. Introduction
2. Materials and Methods
2.1. Materials
2.2. Characterizations
2.3. Synthesis of 6-Deoxy-6-mono-O-(p-toluenesulfonyl)-β-cyclodextrin (β-CD-OTs)
2.4. Synthesis of 6-Deoxy-6-thioacetic-β-cyclodextrin (β-CD-SAc)
2.5. Synthesis of 6-Deoxy-6-mercapto-β-cyclodextrin (β-CD-SH)
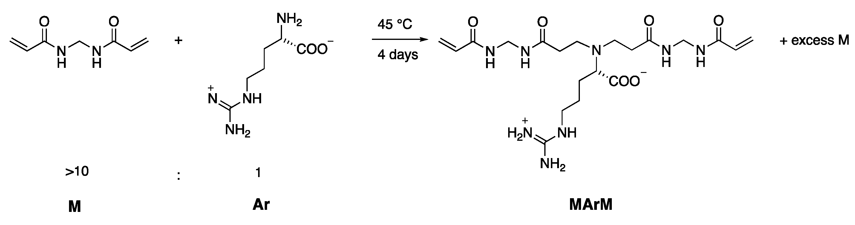
2.6. Synthesis of α,ω-Acrylamide End-Functionalized PAA Oligomers
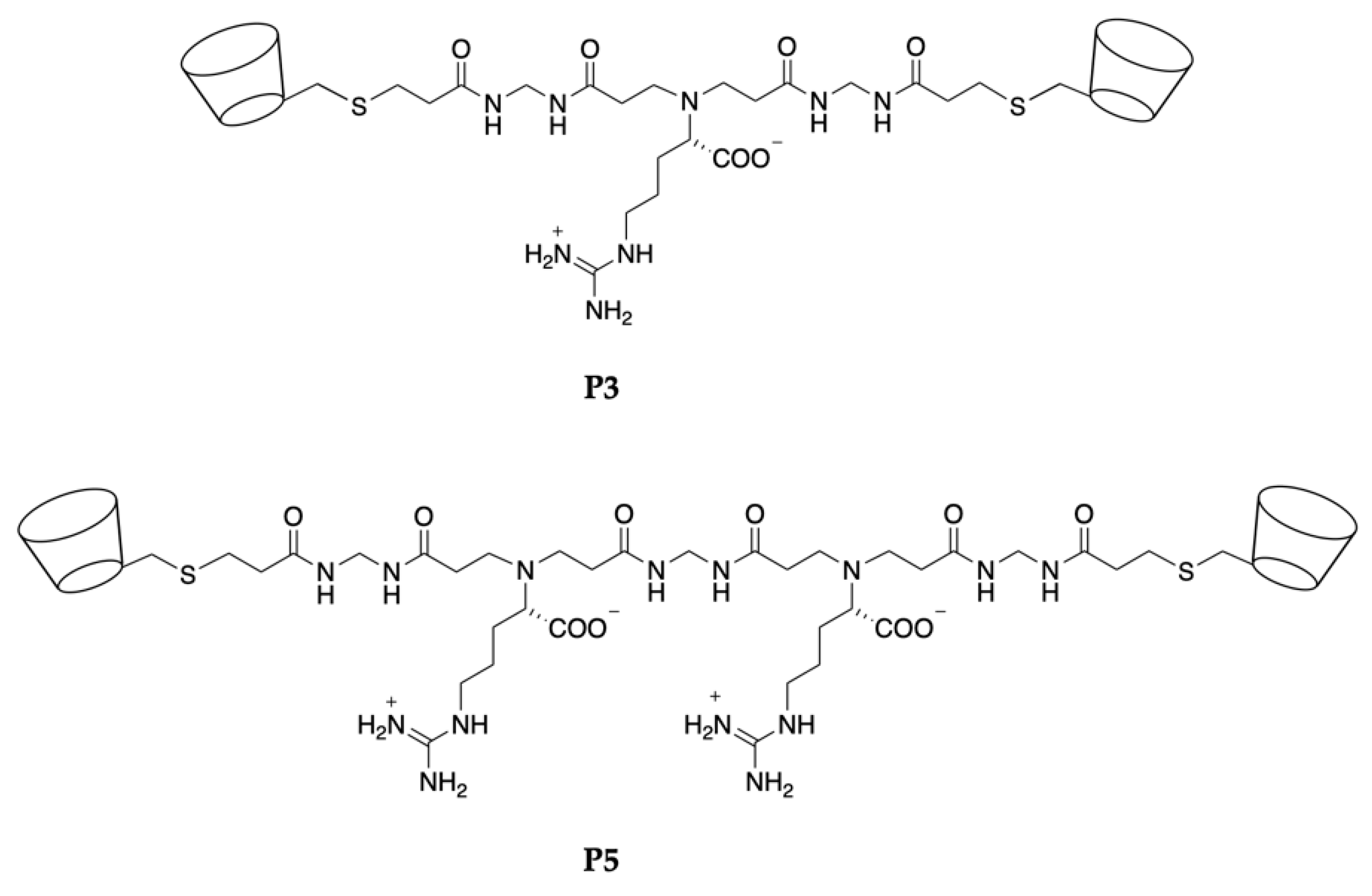
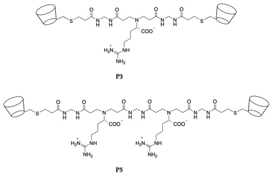
2.7. Synthesis of P3 and P5
2.8. Preparation of Curcumin Complexes at Different pH Levels and Curcumin/P3 (or P5) Molar Ratios
2.9. Determination of Drug Loading
2.10. Evaluation of Curcumin Photostability in the Complexes
2.11. In Vitro Release of Curcumin
2.12. Molecular Mechanics (MM) and Molecular Dynamics (MD) Simulations
3. Results and Discussion
3.1. Synthetic Procedures
3.2. P3- and P5-Curcumin Complexes
3.3. Enhanced Curcumin Photostability by Complexation with P3 and P5
3.4. Curcumin Release Studies
3.5. MD Studies of P3- and P5-Curcumin Aggregation Process in a 1:2 Stoichiometry
4. Conclusions
Supplementary Materials
Author Contributions
Funding
Institutional Review Board Statement
Informed Consent Statement
Data Availability Statement
Acknowledgments
Conflicts of Interest
References
- Martin, J.; Díaz-Montaña, E.J.; Asuero, A.G. Cyclodextrins: Past and present. In Cyclodextrin-a Versatile Ingredient; Arora, P., Dhingra, N., Eds.; IntechOpen Limited: London, UK, 2017; Chapter 1; pp. 3–43. [Google Scholar] [CrossRef] [Green Version]
- Harada, A.; Furue, M.; Nozakura, S.I. Cyclodextrin-containing polymers. 2. cooperative effects in catalysis and binding. Macromolecules 1976, 9, 705–710. [Google Scholar] [CrossRef]
- Bhowmik, H.; Venkatesh, D.N.; Kammari, A.K.; Kumar, H. Nanosponges: A review. Int. J. Appl. Pharm. 2018, 10, 1. [Google Scholar] [CrossRef]
- Matencio, A.; Rubin Pedrazzo, A.; Difalco, A.; Navarro-Orcajada, S.; Monfared, Y.K.; Conesa, I.; Rezayat, A.; López-Nicolás, J.M.; Trotta, F. Advances and classification of cyclodextrin-based polymers for food-related issues. Polymers 2021, 13, 4226. [Google Scholar] [CrossRef] [PubMed]
- Trotta, F.; Zanetti, M.; Cavalli, R. Cyclodextrin-based nanosponges as drug carriers. Beilstein J. Org. Chem. 2012, 8, 2091–2099. [Google Scholar] [CrossRef] [PubMed]
- Yadav, M.; Thakore, S.; Jadeja, R. A review on remediation technologies using functionalized cyclodextrin. Environ. Sci. Pollut. Res. 2022, 29, 236–250. [Google Scholar] [CrossRef] [PubMed]
- Swaminathan, S.; Cavalli, R.; Trotta, F.; Ferruti, P.; Ranucci, E.; Gerges, I.; Manfredi, A.; Marinotto, D.; Vavia, P.R. In vitro release modulation and conformational stabilization of a model protein using swellable polyamidoamine nanosponges of β-cyclodextrin. J. Incl. Phenom. Macrocyl. Chem. 2010, 68, 183–191. [Google Scholar] [CrossRef]
- Hedges, A.R. Industrial applications of cyclodextrins. Chem. Rev. 1998, 98, 2035–2044. [Google Scholar] [CrossRef]
- Uekama, K.; Hirayama, F.; Irie, T. Cyclodextrin drug carrier systems. Chem. Rev. 1998, 98, 2045–2076. [Google Scholar] [CrossRef]
- Argenziano, M.; Dianzani, C.; Ferrara, B.; Swaminathan, S.; Manfredi, A.; Ranucci, E.; Cavalli, R.; Ferruti, P. Cyclodextrin-Based Nanohydrogels Containing Poly-amidoamine Units: A New Dexamethasone Delivery System for Inflammatory Diseases. Gels 2017, 3, 22. [Google Scholar] [CrossRef] [Green Version]
- Morin-Crini, N.; Crini, G. Environmental applications of water-insoluble beta-cyclodextrin-epichlorohydrin polymers. Prog. Polym. Sci. 2013, 38, 344–368. [Google Scholar] [CrossRef]
- Fu, Y.-S.; Chen, T.-H.; Weng, L.; Huang, L.; Lai, D.; Weng, C.-F. Pharmacological properties and underlying mechanisms of curcumin and prospects in medicinal potential. Biomed. Pharmacother. 2021, 141, 111888. [Google Scholar] [CrossRef] [PubMed]
- Tønnesen, H.H.; Másson, M.; Loftsson, T. Studies of curcumin and curcuminoids. XXVII. Cyclodextrin complexation: Solubility, chemical and photochemical stability. Int. J. Pharm. 2002, 244, 127–135. [Google Scholar] [CrossRef]
- Iurciuc-Tincu, C.-E.; Atanase, L.I.; Jérôme, C.; Sol, V.; Martin, P.; Popa, M.; Ochiuz, L. Polysaccharides-Based Complex Particles’ Protective Role on the Stability and Bioactivity of Immobilized Curcumin. Int. J. Mol. Sci. 2021, 22, 3075. [Google Scholar] [CrossRef]
- Iurciuc-Tincu, C.-E.; Stamate Cretan, M.; Purcar, V.; Popa, M.; Daraba, O.M.; Atanase, L.I.; Ochiuz, L. Drug Delivery System Based on pH-Sensitive Biocompatible Poly(2-vinyl pyridine)-b-poly(ethylene oxide) Nanomicelles Loaded with Curcumin and 5-Fluorouracil. Polymers 2020, 12, 1450. [Google Scholar] [CrossRef]
- Guo, S. Encapsulation of curcumin into β-cyclodextrins inclusion: A review. ChinaBiofilms 2019, 131, 01100. [Google Scholar] [CrossRef]
- Kharat, M.; Du, Z.; Zhang, G.; Julian, D. McClements Physical and chemical stability of curcumin in aqueous solutions and emulsions: Impact of pH, temperature, and molecular environment. J. Agric. Food Chem. 2017, 65, 1525–1532. [Google Scholar] [CrossRef]
- Loftsson, T.; Saokham, P.; Couto, A.R.S. Self-association of cyclodextrins and cyclodextrin complexes in aqueous solutions. Int. J. Pharm. 2019, 560, 228–229. [Google Scholar] [CrossRef]
- Loftsson, T.; Brewster, M.E. Pharmaceutical applications of cyclodextrins: Basic science and product development. J. Pharm. Pharmacol. 2010, 62, 1607–1621. [Google Scholar] [CrossRef]
- Raffaini, G.; Ganazzoli, F. A Molecular Dynamics Study of a Photodynamic Sensitizer for Cancer Cells: Inclusion Complexes of γ-Cyclodextrins with C70. Int. J. Mol. Sci. 2019, 20, 4831. [Google Scholar] [CrossRef] [Green Version]
- Raffaini, G.; Ganazzoli, F. Understanding Surface Interaction and Inclusion Complexes between Piroxicam and Native or Crosslinked β-Cyclodextrins: The Role of Drug Concentration. Molecules 2020, 25, 2848. [Google Scholar] [CrossRef]
- Raffaini, G.; Mazzaglia, A.; Catauro, M. Molecular Dynamics Study of Sorafenib Anti-Cancer Drug. Macromol. Symp. 2021, 395, 2000201. [Google Scholar] [CrossRef]
- Raffaini, G.; Catauro, M. Surface Interactions between Ketoprofen and Silica-Based Biomaterials as Drug Delivery System Synthesized via Sol–Gel: A Molecular Dynamics Study. Materials 2022, 15, 2759. [Google Scholar] [CrossRef] [PubMed]
- Raffaini, G.; Mazzaglia, A.; Ganazzoli, F. Aggregation behaviour of amphiphilic cyclodextrins: The nucleation stage by atomistic molecular dynamics simulations. Beilstein J. Org. Chem. 2015, 11, 2459–2473. [Google Scholar] [CrossRef] [Green Version]
- Raffaini, G.; Ganazzoli, F.; Mazzaglia, A. Aggregation behavior of amphiphilic cyclodextrins in a nonpolar solvent: Evidence of large-scale structures by atomistic molecular dynamics simulations and solution studies. Beilstein J. Org. Chem. 2016, 12, 73–80. [Google Scholar] [CrossRef] [Green Version]
- Ferruti, P. Polyamidoamines: Past, Present and Perspectives. J. Polym. Sci. Polym. Chem. 2013, 51, 2319–2353. [Google Scholar] [CrossRef]
- Ranucci, E.; Manfredi, A. Polyamidoamines: Versatile bioactive polymers with potential for biotechnological applications. Chem. Afr. 2019, 2, 167–193. [Google Scholar] [CrossRef] [Green Version]
- Ferruti, P.; Marchisio, M.A.; Duncan, R. Poly(amido-amine)s: Biomedical Applications. Macromol. Rapid Commun. 2002, 23, 332–355. [Google Scholar] [CrossRef]
- Ferruti, P.; Mauro, N.; Falciola, L.; Pifferi, V.; Bartoli, C.; Gazzarri, M.; Chiellini, F.; Ranucci, E. Amphoteric, prevailingly cationic L-Arginine polymers of poly(amidoamino acid) structure: Synthesis, acid/base properties and preliminary cytocompatibility and cell-permeating characterizations. Macromol. Biosci. 2014, 14, 390–400. [Google Scholar] [CrossRef]
- Ferruti, F.; Alongi, J.; Manfredi, A.; Ranucci, E.; Ferruti, P. Controlled Synthesis of Linear Polyamidoamino Acids. Polymers 2019, 11, 1324. [Google Scholar] [CrossRef] [Green Version]
- Varelas, C.G.; Dixon, D.G.; Steiner, C. Zero-order release from biphasic polymer hydrogels. J. Control. Release 1995, 34, 185–192. [Google Scholar] [CrossRef]
- Mulye, N.V.; Turco, S.J. A Simple Model Based on First Order Kinetics to Explain Release of Highly Water Soluble Drugs from Porous Dicalcium Phosphate Dihydrate Matrices. Drug Dev. Ind. Pharm. 1995, 21, 943–953. [Google Scholar] [CrossRef]
- Higuchi, T. Mechanism of sustained action medication. Theoretical analysis of rate of release of solid drugs dispersed in solid matrices. J. Pharm. Sci. 1963, 52, 1145–1149. [Google Scholar] [CrossRef]
- Costa, P.; Lobo, J.M.S. Modeling and comparison of dissolution profiles. Eur. J. Pharm. Sci. 2001, 13, 123–133. [Google Scholar] [CrossRef]
- Mathew, S.T.; Devi, S.G.; Sandhya, K.V. Formulation and evaluation of ketorolac tromethamine-loaded albumin microspheres for potential intramuscular administration. AAPS Pharmscitech 2007, 8, E1–E9. [Google Scholar] [CrossRef] [Green Version]
- Dash, S.; Murthy, P.N.; Nath, L.; Chowdhury, P. Kinetic modeling on drug release from controlled drug delivery systems. Acta Pol. Pharm. Drug Res. 2010, 67, 217–223. [Google Scholar]
- Hwang, M.-J.; Ni, X.; Waldman, M.; Ewig, C.S.; Hagler, A.T. Derivation of class II force fields. VI. Carbohydrate compounds and anomeric effects. Biopolym. Orig. Res. Biomol. 1998, 45, 435–468. [Google Scholar] [CrossRef]
- Materials Studio BIOVIA. Accelrys Inc. InsightII 2000; Accelrys Inc.: San Diego, CA, USA, 2000. [Google Scholar]
- Manfredi, A.; Mauro, N.; Terenzi, A.; Alongi, J.; Lazzari, F.; Ganazzoli, F.; Raffaini, G.; Ranucci, E.; Ferruti, P. Self-Ordering Secondary Structure of D- and L-Arginine-Derived Polyamidoamino Acids. ACS Macro Lett. 2017, 6, 987–991. [Google Scholar] [CrossRef]
- Bencini, M.; Ranucci, E.; Ferruti, P.; Manfredi, A.; Trotta, F.; Cavalli, R. Poly(4-Acryloylmorpholine) Oligomers Carrying a β-Cyclodextrin Residue at One Terminus. J. Polym. Sci. Part A Polym. Chem. 2008, 46, 1607–1617. [Google Scholar] [CrossRef]
- Tripodo, G.; Wischke, C.; Neffe, A.T.; Lendlein, A. Efficient synthesis of pure monotosylated beta-cyclodextrin and its dimers. Carbohydr. Res. 2013, 381, 59–63. [Google Scholar] [CrossRef] [Green Version]
- Mangolim, C.S.; Moriwaki, C.; Nogueira, A.C.; Sato, F.; Baesso, M.L.; Neto, A.M.; Matioli, G. Curcumin–β-cyclodextrin inclusion complex: Stability, solubility, characterisation by FT-IR, FT-Raman, X-ray diffraction and photoacoustic spectroscopy, and food application. Food Chem. 2014, 153, 361–370. [Google Scholar] [CrossRef] [Green Version]
- Mai, N.N.S.; Nakai, R.; Kawano, Y.; Hanawa, T. Enhancing the Solubility of Curcumin Using a Solid Dispersion System with Hydroxypropyl-β Cyclodextrin Prepared by Grinding, Freeze-Drying, and Common Solvent Evaporation Methods. Pharmacy 2020, 8, 203. [Google Scholar] [CrossRef] [PubMed]









| pH | COO− Units (%) | Guanidinium Pendant Units (%) | Protonated Tert-Amine Units in the Main Chain (%) | Neutral Tert-Amine Units in the Main Chain (%) |
|---|---|---|---|---|
| 7.4 | 100 | 100 | 18 | 82 |
| 7.0 | 100 | 100 | 35 | 65 |
| 6.4 | 100 | 100 | 50 | 50 |
| 4.5 | 100 | 100 | 100 | 0 |
| Sample | pH | Curcumin Loading in the Complex (Weight %) | Curcumin/P3 (or P5) Molar Ratio | Apparent Curcumin Solubility (μg mL−1) | Solubility Enhancement a |
|---|---|---|---|---|---|
| Curcumin | 0.011 ± 0.01 | - | |||
| P3 | 4.5 | 0.70 ± 0.04 | 2:1 | 25.2 ± 0.02 | 2290 |
| P3 | 7.4 | 0.90 ± 0.03 | 2:1 | 39.2 ± 0.03 | 3563 |
| P5 | 4.5 | 1.36 ± 0.02 | 2:1 | 49.0 ± 0.03 | 4454 |
| P5 | 7.4 | 1.52 ± 0.02 | 2:1 | 54.7 ± 0.03 | 4972 |
| P3 | 4.5 | 0.57 ± 0.02 | 3:1 | 20.8 ± 0.24 | 1890 |
| P3 | 7.4 | 0.58 ± 0.02 | 3:1 | 20.5 ± 0.10 | 1863 |
| P5 | 4.5 | 1.13 ± 0.03 | 3:1 | 40.7 ± 0.85 | 4477 |
| P5 | 7.4 | 1.41 ± 0.03 | 3:1 | 50.7 ± 0.39 | 4609 |
| Time (h) | Percent Degradation (%) | ||||
|---|---|---|---|---|---|
| Free Curcumin a | P3 Obtained at pH 4.5 b | P3 Obtained at pH 7.4 b | P5 Obtained at pH 4.5 b | P5 Obtained at pH 7.4 b | |
| 2 | 34.17 | - | - | - | - |
| 4 | 54.66 | - | - | - | - |
| 72 | 100 | 14.46 | 15.12 | 14.35 | 15.15 |
| F = kt | ln(1 − F) = −kt | F = kt1/2 | 1 − (1 − F)1/3 = kt | F = kt0.6 | |||||||
|---|---|---|---|---|---|---|---|---|---|---|---|
| Carrier | pH | k b (h−1) | R2 | k b (h−1) | R2 | k b (h−1/2) | R2 | k b (h−1) | R2 | k b (h−0.6) | R2 |
| P3 | 7.4 | 0.015 | 0.986 | 0.016 | 0.986 | 0.061 | 0.979 | 0.063 | 0.979 | 0.045 | 0.979 |
| P3 | 4.5 | 0.007 | 0.978 | 0.007 | 0.976 | 0.028 | 0.836 | 0.036 | 0.836 | 0.020 | 0.836 |
| P5 | 7.4 | 0.023 | 0.992 | 0.024 | 0.990 | 0.087 | 0.972 | 0.008 | 0.972 | 0.064 | 0.972 |
| P5 | 4.5 | 0.012 | 0.988 | 0.012 | 0.986 | 0.047 | 0.961 | 0.004 | 0.961 | 0.034 | 0.961 |
| Aggregate | pH | Relative Stability Compared to Isolated State (kJ mol−1) | SASA a (Å2) |
|---|---|---|---|
| Curcumin/P3 | 4.5 | −5859 | 9129 |
| Curcumin/P3 | 7.4 | −5810 | 9566 |
| Curcumin/P5 | 4.5 | −6214 | 9231 |
| Curcumin/P5 | 7.4 | −6003 | 10,059 |
Publisher’s Note: MDPI stays neutral with regard to jurisdictional claims in published maps and institutional affiliations. |
© 2022 by the authors. Licensee MDPI, Basel, Switzerland. This article is an open access article distributed under the terms and conditions of the Creative Commons Attribution (CC BY) license (https://creativecommons.org/licenses/by/4.0/).
Share and Cite
Treccani, S.; Alongi, J.; Manfredi, A.; Ferruti, P.; Cavalli, R.; Raffaini, G.; Ranucci, E. L-Arginine-Derived Polyamidoamine Oligomers Bearing at Both Ends β-Cyclodextrin Units as pH-Sensitive Curcumin Carriers. Polymers 2022, 14, 3193. https://doi.org/10.3390/polym14153193
Treccani S, Alongi J, Manfredi A, Ferruti P, Cavalli R, Raffaini G, Ranucci E. L-Arginine-Derived Polyamidoamine Oligomers Bearing at Both Ends β-Cyclodextrin Units as pH-Sensitive Curcumin Carriers. Polymers. 2022; 14(15):3193. https://doi.org/10.3390/polym14153193
Chicago/Turabian StyleTreccani, Sofia, Jenny Alongi, Amedea Manfredi, Paolo Ferruti, Roberta Cavalli, Giuseppina Raffaini, and Elisabetta Ranucci. 2022. "L-Arginine-Derived Polyamidoamine Oligomers Bearing at Both Ends β-Cyclodextrin Units as pH-Sensitive Curcumin Carriers" Polymers 14, no. 15: 3193. https://doi.org/10.3390/polym14153193
APA StyleTreccani, S., Alongi, J., Manfredi, A., Ferruti, P., Cavalli, R., Raffaini, G., & Ranucci, E. (2022). L-Arginine-Derived Polyamidoamine Oligomers Bearing at Both Ends β-Cyclodextrin Units as pH-Sensitive Curcumin Carriers. Polymers, 14(15), 3193. https://doi.org/10.3390/polym14153193

