Development of Olive Oil and α-Tocopherol Containing Emulsions Stabilized by FucoPol: Rheological and Textural Analyses
Abstract
1. Introduction
2. Materials and Methods
2.1. Materials
2.2. Determination of Surface-Active Properties
2.3. Emulsions’ Preparation
2.4. Factorial Design of Experiments
2.5. Characterization of the Emulsions
2.5.1. Type of Emulsion
2.5.2. Microscopic Observation
2.5.3. Viscoelastic Properties
2.5.4. Texture Analysis
3. Results and Discussion
3.1. Surface-Active Properties
3.2. Emulsion Forming and Stabilizing Capacity of FucoPol
3.2.1. Preparation of FucoPol-Stabilized Emulsions with Different Oils
3.2.2. Evaluation of Emulsions’ Stability
3.2.3. Assaying α-Tocopherol as an Additive to the FucoPol-Stabilized Emulsions
3.2.4. Comparison with Sepigel® 305
3.3. Emulsification Optimization by Response Surface Methodology
3.3.1. Response Analysis
3.3.2. RSM Modelling
3.4. Characterization of the FucoPol-Stabilized Emulsions
3.4.1. Type of Emulsion
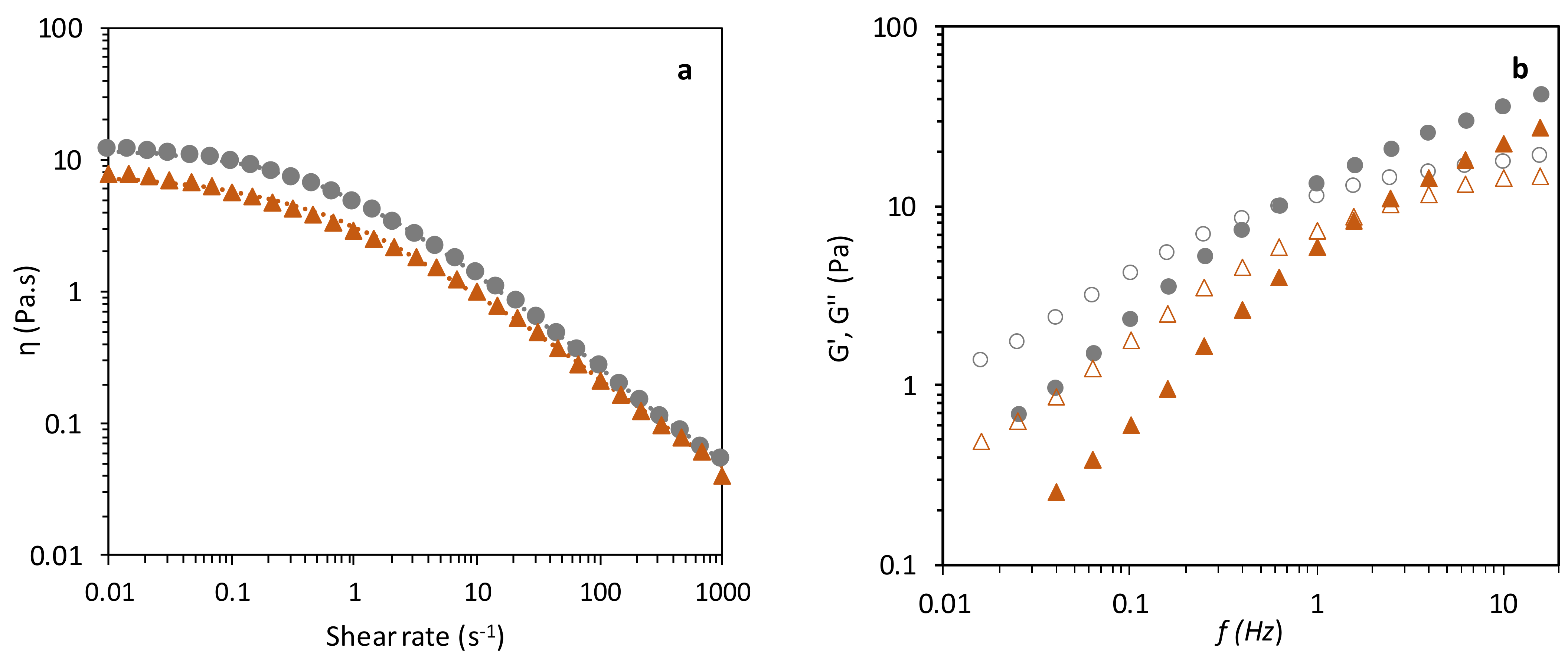
3.4.2. Viscolelastic Properties
3.4.3. Textural Assessment
3.4.4. Comparative Analysis of the FucoPol-Stabilized Emulsions
4. Conclusions
Author Contributions
Funding
Institutional Review Board Statement
Informed Consent Statement
Data Availability Statement
Conflicts of Interest
References
- Tafuro, G.; Costantini, A.; Baratto, G.; Busata, L.; Semenzato, A. Rheological and Textural Characterization of Acrylic Polymer Water Dispersions for Cosmetic Use. Ind. Eng. Chem. Res. 2019, 58, 23549–23558. [Google Scholar] [CrossRef]
- Tafuro, G.; Costantini, A.; Baratto, G.; Francescato, S.; Busata, L.; Semenzato, A. Characterization of Polysaccharidic Associations for Cosmetic Use: Rheology and Texture Analysis. Cosmetics 2021, 8, 62. [Google Scholar] [CrossRef]
- Baptista, S.; Freitas, F. Bacterial Polysaccharides: Cosmetic Applications. In PolySaccharides of Microbial Origin; Oliveira, J., Radhouani, H., Reis, R.L., Eds.; Springer Nature AG: Cham, Switzerland, 2021; ISBN 9783030357344. [Google Scholar]
- Gilbert, L.; Picard, C.; Savary, G.; Grisel, M. Rheological and Textural Characterization of Cosmetic Emulsions Containing Natural and Synthetic Polymers: Relationships between Both Data. Colloids Surf. A Physicochem. Eng. Asp. 2013, 421, 150–163. [Google Scholar] [CrossRef]
- Lochhead, R.Y. The Role of Polymers in Cosmetics: Recent Trends. ACS Symp. Ser. 2007, 961, 3–56. [Google Scholar] [CrossRef]
- Filipovic, M.; Lukic, M.; Djordjevic, S.; Krstonosic, V.; Pantelic, I.; Vuleta, G.; Savic, S. Towards Satisfying Performance of an O/W Cosmetic Emulsion: Screening of Reformulation Factors on Textural and Rheological Properties Using General Experimental Design. Int. J. Cosmet. Sci. 2017, 39, 486–499. [Google Scholar] [CrossRef]
- Fialho, L.; Araújo, D.; Alves, V.D.; Roma-rodrigues, C.; Baptista, V.; Fernandes, A.R.; Freitas, F.; Reis, M.A.M. Cation-Mediated Gelation of the Fucose-Rich Polysaccharide FucoPol: Preparation and Characterization of Hydrogel Beads and Their Cytotoxicity Assessment. Int. J. Polym. Mater. Polym. Biomater. 2021, 70, 90–99. [Google Scholar] [CrossRef]
- Torres, C.A.V.; Marques, R.; Antunes, S.; Alves, V.D.; Sousa, I.; Maria, A.; Oliveira, R.; Freitas, F.; Reis, M.A.M. Kinetics of Production and Characterization of the Fucose-Containing Exopolysaccharide from Enterobacter A47. J. Biotechnol. 2011, 156, 261–267. [Google Scholar] [CrossRef]
- Freitas, F.; Alves, V.D.; Torres, C.A.V.; Cruz, M.; Sousa, I.; João, M.; Ramos, A.M.; Reis, M.A.M. Fucose-Containing Exopolysaccharide Produced by the Newly Isolated Enterobacter Strain A47 DSM 23139. Carbohydr. Polym. 2011, 83, 159–165. [Google Scholar] [CrossRef]
- Concórdio-Reis, P.; Reis, M.A.M.; Freitas, F. Biosorption of Heavy Metals by the Bacterial Exopolysaccharide FucoPol. Appl. Sci. 2020, 10, 6708. [Google Scholar] [CrossRef]
- Guerreiro, B.M.; Freitas, F.; Lima, J.C.; Silva, J.C.; Dionísio, M.; Reis, M.A.M. Demonstration of the Cryoprotective Properties of the Fucose-Containing Polysaccharide FucoPol. Carbohydr. Polym. 2020, 245, 116500. [Google Scholar] [CrossRef]
- Concórdio-Reis, P.; Pereira, C.V.; Batista, M.P.; Sevrin, C.; Grand, C.; Marques, A.C.; Fortunato, E.; Gaspar, F.B.; Matias, A.A.; Freitas, F. Silver Nanocomposites Based on the Bacterial Fucose-Rich Polysaccharide Secreted by Enterobacter A47 for Wound Dressing Applications : Synthesis, Characterization and in Vitro Bioactivity. Int. J. Biol. Macromol. 2020, 163, 959–969. [Google Scholar] [CrossRef] [PubMed]
- Torres, C.A.V.; Ferreira, A.R.V.; Freitas, F.; Reis, M.A.M.; Coelhoso, I.; Sousa, I.; Alves, V.D. Rheological Studies of the Fucose-Rich Exopolysaccharide FucoPol. Int. J. Biol. Macromol. 2015, 79, 611–617. [Google Scholar] [CrossRef] [PubMed]
- Ferreira, A.R.V.; Torres, C.A.V.; Freitas, F.; Reis, M.A.M.; Alves, V.D.; Coelhoso, I.M. Biodegradable Films Produced from the Bacterial Polysaccharide FucoPol. Int. J. Biol. Macromol. 2014, 71, 111–116. [Google Scholar] [CrossRef] [PubMed]
- Ferreira, A.R.V.; Torres, C.A.V.; Freitas, F.; Sevrin, C.; Grandfils, C.; Reis, M.A.M.; Alves, V.D.; Coelhoso, I.M. Development and Characterization of Bilayer Films of FucoPol and Chitosan. Carbohydr. Polym. 2016, 147, 8–15. [Google Scholar] [CrossRef] [PubMed]
- Baptista, S.; Torres, C.A.V.; Sevrin, C.; Grandfils, C.; Reis, M.A.M.; Freitas, F. Extraction of the Bacterial Extracellular Polysaccharide FucoPol by Membrane-Based Methods: Efficiency and Impact on Biopolymer Properties. Polymers 2022, 14, 390. [Google Scholar] [CrossRef] [PubMed]
- Guerreiro, B.M.; Silva, J.C.; Lima, J.C.; Reis, M.A.M.; Freitas, F. Antioxidant Potential of the Bio-Based Fucose-Rich Polysaccharide Fucopol Supports Its Use in Oxidative Stress-Inducing Systems. Polymers 2021, 13, 3020. [Google Scholar] [CrossRef]
- Guerreiro, B.M.; Freitas, F.; Lima, J.C.; Silva, J.C.; Reis, M.A.M. Photoprotective Effect of the Fucose-Containing Polysaccharide FucoPol. Carbohydr. Polym. 2021, 259, 117761. [Google Scholar] [CrossRef]
- Freitas, F.; Alves, V.; Reis, M.A.M. Bacterial Polysaccharides: Production and Applications in Cosmetic Industry. In Polysaccharides; Springer: Cham, Switzerland, 2014; pp. 2017–2043. [Google Scholar] [CrossRef]
- Concórdio-reis, P.; Pereira, J.R.; Torres, C.A.V.; Sevrin, C. Effect of Mono- and Dipotassium Phosphate Concentration on Extracellular Polysaccharide Production by the Bacterium Enterobacter A47. Process Biochem. 2018, 75, 16–21. [Google Scholar] [CrossRef]
- Pansiripat, S.; Pornsunthorntawee, O.; Rujiravanit, R.; Kitiyanan, B.; Somboonthanate, P.; Chavadej, S. Biosurfactant Production by Pseudomonas aeruginosa SP4 Using Sequencing Batch Reactors: Effect of Oil-to-Glucose Ratio. Biochem. Eng. J. 2010, 49, 185–191. [Google Scholar] [CrossRef]
- Kavitake, D.; Balyan, S.; Devi, P.B.; Shetty, P.H. Evaluation of Oil-in-Water (O/W) Emulsifying Properties of Galactan Exopolysaccharide from Weissella confusa KR780676. J. Food Sci. Technol. 2020, 57, 1579–1585. [Google Scholar] [CrossRef]
- Lundstedt, T.; Seifert, E.; Abramo, L.; Thelin, B.; Nystrom, A.; Pettersen, J.; Bergman, R. Experimental Design and Optimization. Chemom. Intell. Lab. Syst. 1998, 42, 3–40. [Google Scholar] [CrossRef]
- Roosta, M.; Ghaedi, M.; Daneshfar, A.; Sahraei, R.; Asghari, A. Optimization of the Ultrasonic Assisted Removal of Methylene Blue by Gold Nanoparticles Loaded on Activated Carbon Using Experimental Design Methodology. Ultrason. Sonochem. 2014, 21, 242–252. [Google Scholar] [CrossRef] [PubMed]
- Martins, D.; Rocha, C.; Dourado, F.; Gama, M. Bacterial Cellulose-Carboxymethyl Cellulose (BC:CMC) Dry Formulation as Stabilizer and Texturizing Agent for Surfactant-Free Cosmetic Formulations. Colloids Surf. A Physicochem. Eng. Asp. 2021, 617, 126380. [Google Scholar] [CrossRef]
- Alves, V.D.; Freitas, F.; Torres, C.A.V.; Cruz, M.; Marques, R.; Grandfils, C.; Gonçalves, M.P.; Oliveira, R.; Reis, M.A.M. Rheological and Morphological Characterization of the Culture Broth During Exopolysaccharide Production by Enterobacter sp. Carbohydr. Polym. 2010, 81, 758–764. [Google Scholar] [CrossRef]
- Fernandes, R.N.; Simiqueli, A.A.; Vidigal, M.C.T.R.; Minim, V.P.R.; Minim, L.A. Kinetic Stability of the Oil-in-Water Emulsions and Dynamic Interfacial Properties of Mixtures of Sucrose Esters and Polysaccharides. Food Chem. 2021, 357, 129693. [Google Scholar] [CrossRef]
- Gaudin, T.; Rotureau, P.; Pezron, I.; Fayet, G. Investigating the Impact of Sugar-Based Surfactants Structure on Surface Tension at Critical Micelle Concentration with Structure-Property Relationships. J. Colloid Interface Sci. 2018, 516, 162–171. [Google Scholar] [CrossRef]
- Garti, N.; Leser, M.E. Emulsification Properties of Hydrocolloids. Polym. Adv. Technol. 2001, 12, 123–135. [Google Scholar] [CrossRef]
- Breitenbach, B.B.; Schmid, I.; Wich, P.R. Amphiphilic Polysaccharide Block Copolymers for PH-Responsive Micellar Nanoparticles. Biomacromolecules 2017, 18, 2839–2848. [Google Scholar] [CrossRef]
- Jain, R.M.; Mody, K.; Joshi, N.; Mishra, A.; Jha, B. Production and Structural Characterization of Biosurfactant Produced by an Alkaliphilic Bacterium, Klebsiella sp.: Evaluation of Different Carbon Sources. Colloids Surf. B Biointerfaces 2013, 108, 199–204. [Google Scholar] [CrossRef] [PubMed]
- Phulpoto, I.A.; Yu, Z.; Hu, B.; Wang, Y.; Ndayisenga, F.; Li, J.; Liang, H.; Qazi, M.A. Production and Characterization of Surfactin-like Biosurfactant Produced by Novel Strain Bacillus nealsonii S2MT and It’s Potential for Oil Contaminated Soil Remediation. Microb. Cell Factories 2020, 19, 145. [Google Scholar] [CrossRef]
- Rodríguez-López, L.; López-Prieto, A.; Lopez-Álvarez, M.; Pérez-Davila, S.; Serra, J.; González, P.; Cruz, J.M.; Moldes, A.B. Characterization and Cytotoxic Effect of Biosurfactants Obtained from Different Sources. ACS Omega 2020, 5, 31381–31390. [Google Scholar] [CrossRef] [PubMed]
- Sałek, K.; Euston, S.R. Sustainable Microbial Biosurfactants and Bioemulsifiers for Commercial Exploitation. Process Biochem. 2019, 85, 143–155. [Google Scholar] [CrossRef]
- Bernardi, D.S.; Pereira, T.A.; Maciel, N.R.; Bortoloto, J.; Viera, G.S.; Oliveira, G.C.; Rocha-Filho, P.A. Formation and Stability of Oil-in-Water Nanoemulsions Containing Rice Bran Oil: In Vitro and In Vivo Assessments. J. Nanobiotechnol. 2011, 9, 44. [Google Scholar] [CrossRef] [PubMed]
- Patel, V.R.; Dumancas, G.G.; Viswanath, L.C.K.; Maples, R.; Subong, B.J.J. Castor Oil: Properties, Uses, and Optimization of Processing Parameters in Commercial Production. Lipid Insights 2016, 9, LPI-S40233. [Google Scholar] [CrossRef]
- Chu, C.C.; Nyam, K.L. Application of Seed Oils and Its Bioactive Compounds in Sunscreen Formulations. JAOCS J. Am. Oil Chem. Soc. 2021, 98, 713–726. [Google Scholar] [CrossRef]
- Maktabi, B.; Liberatore, M.W.; Baki, G. Meadowfoam Seed Oil as a Natural Dispersing Agent for Colorants in Lipstick. Int. J. Cosmet. Sci. 2021, 43, 484–493. [Google Scholar] [CrossRef]
- Smaoui, S.; Hlima, H.; Jarraya, R.; Kamoun, N.; Ellouze, R.; Damak, M. Cosmetic Emulsion from Virgin Olive Oil: Formulation and Bio-Physical Evaluation. Afr. J. Biotechnol. 2012, 11, 9664–9671. [Google Scholar] [CrossRef]
- Shkreli, R.; Terziu, R.; Memushaj, L.; Dhamo, K. Formulation and Stability Evaluation of a Cosmetics Emulsion Loaded with Different Concentrations of Synthetic and Natural Preservative. J. Biol. Stud. 2022, 5, 38–51. [Google Scholar]
- Laurent, S. A Study of I-Cyclodextrin-Stabilized Paraffin Oil/Water Emulsions. J. Soc. Cosmet. Chem. 1999, 50, 15–22. [Google Scholar]
- Ahmad, Z. The Uses and Properties of Almond Oil. Complementary Ther. Clin. Pract. 2010, 16, 10–12. [Google Scholar] [CrossRef]
- Čolić, S.; Zec, G.; Natić, M.; Fotirić-Akšić, M. Almond (Prunus dulcis) Oil. In Fruit Oils: Chemistry and Functionality; Springer: Cham, Switzerland, 2019; ISBN 9783030124731. [Google Scholar]
- Gallardo, V.; Munoz, M.; Ruiz, M.A. Formulations of Hydrogels and Lipogels with Vitamin E. J. Cosmet. Dermatol. 2005, 4, 187–192. [Google Scholar] [CrossRef] [PubMed]
- Mota, A.H.; Silva, C.O.; Nicolai, M.; Baby, A.; Palma, L.; Rijo, P.; Ascensão, L.; Reis, C.P. Design and Evaluation of Novel Topical Formulation with Olive Oil as Natural Functional Active. Pharm. Dev. Technol. 2018, 23, 794–805. [Google Scholar] [CrossRef] [PubMed]
- César, F.C.S.; Maia Campos, P.M.B.G. Influence of Vegetable Oils in the Rheology, Texture Profile and Sensory Properties of Cosmetic Formulations Based on Organogel. Int. J. Cosmet. Sci. 2020, 42, 494–500. [Google Scholar] [CrossRef] [PubMed]
- Nunes, A.; Gonçalves, L.; Marto, J.; Martins, A.M.; Silva, A.N.; Pinto, P.; Martins, M.; Fraga, C.; Ribeiro, H.M. Investigations of Olive Oil Industry By-Products Extracts with Potential Skin Benefits in Topical Formulations. Pharmaceutics 2021, 13, 465. [Google Scholar] [CrossRef]
- Gorini, I.; Iorio, S.; Ciliberti, R.; Licata, M.; Armocida, G. Olive Oil in Pharmacological and Cosmetic Traditions. J. Cosmet. Dermatol. 2019, 18, 1575–1579. [Google Scholar] [CrossRef]
- Sandford, E.C.; Muntz, A.; Craig, J.P. Therapeutic Potential of Castor Oil in Managing Blepharitis, Meibomian Gland Dysfunction and Dry Eye. Clin. Exp. Optom. 2021, 104, 315–322. [Google Scholar] [CrossRef]
- Kaur, C.D.; Saraf, S. In Vitro Sun Protection Factor Determination of Herbal Oils Used in Cosmetics. Pharmacogn. Res. 2010, 2, 22–25. [Google Scholar] [CrossRef]
- Chuberre, B.; Araviiskaia, E.; Bieber, T.; Barbaud, A. Mineral Oils and Waxes in Cosmetics: An Overview Mainly Based on the Current European Regulations and the Safety Profile of These Compounds. J. Eur. Acad. Dermatol. Venereol. 2019, 33, 5–14. [Google Scholar] [CrossRef]
- Rodrigues, F.; Pimentel, F.B.; Oliveira, M.B.P.P. Olive By-Products: Challenge Application in Cosmetic Industry. Ind. Crops Prod. 2015, 70, 116–124. [Google Scholar] [CrossRef]
- Willumsen, P.A.; Karlson, U. Screening of Bacteria, Isolated from PAH-Contaminated Soils, for Production of Biosurfactants and Bioemulsifiers. Biodegradation 1996, 7, 415–423. [Google Scholar] [CrossRef]
- Kaltsa, O.; Spiliopoulou, N.; Yanniotis, S.; Mandala, I. Stability and Physical Properties of Model Macro- and Nano/Submicron Emulsions Containing Fenugreek Gum. Food Hydrocoll. 2016, 61, 625–632. [Google Scholar] [CrossRef]
- Kaur, N.; Kaur, M.; Mahajan, M.; Jain, S.K. Development, Characterization and Evaluation of Nanocarrier Based Formulations of Antipsoriatic Drug “Acitretin” for Skin Targeting. J. Drug Deliv. Sci. Technol. 2020, 60, 102010. [Google Scholar] [CrossRef]
- Anchisi, C.; Maccioni, A.M.; Sinico, C.; Valenti, D. Stability Studies of New Cosmetic Formulations with Vegetable Extracts as Functional Agents. Farmaco 2001, 56, 427–431. [Google Scholar] [CrossRef]
- Jaiswal, P.V.; Ijeri, V.S.; Srivastava, A.K. Voltammetric Behavior of α-Tocopherol and Its Determination Using Surfactant + Ethanol + Water and Surfactant + Acetonitrile + Water Mixed Solvent Systems. Anal. Chim. Acta 2001, 441, 201–206. [Google Scholar] [CrossRef]
- Alayoubi, A.; Kanthala, S.; Satyanarayanajois, S.D.; Anderson, J.F.; Sylvester, P.W.; Nazzal, S. Stability and in Vitro Antiproliferative Activity of Bioactive “ Vitamin E” Fortified Parenteral Lipid Emulsions. Colloids Surf. B Biointerfaces 2013, 103, 23–30. [Google Scholar] [CrossRef]
- Fiume, M.M.; Bergfeld, W.F.; Belsito, D.V.; Hill, R.A.; Klaassen, C.D.; Liebler, D.C.; Marks, J.G.; Shank, R.C.; Slaga, T.J.; Snyder, P.W.; et al. Safety Assessment of Tocopherols and Tocotrienols as Used in Cosmetics. Int. J. Toxicol. 2018, 37, 61S–94S. [Google Scholar] [CrossRef]
- Cieśla, J.; Koczańska, M.; Narkiewicz-Michałek, J.; Szymula, M.; Bieganowski, A. Effect of α-Tocopherol on the Properties of Microemulsions Stabilized by the Ionic Surfactants. J. Mol. Liq. 2017, 236, 117–123. [Google Scholar] [CrossRef]
- Gonçalves, G.M.S.; Maia Campos, P.M.B.G. Shelf Life and Rheology of Emulsions Containing Vitamin C and Its Derivatives. Rev. Cienc. Farm. Basica Apl. 2009, 30, 217–224. [Google Scholar]
- Daher, C.C.; Fontes, I.S.; de Oliveira Rodrigues, R.; Azevedo De Brito Damasceno, G.; dos Santos Soares, D.; FláVio Soares Aragão, C.; Paula Barreto Gomes, A.; Ferrari, M. Development of O/W Emulsions Containing Euterpe oleracea Extract and Evaluation of Photoprotective Efficacy. Braz. J. Pharm. Sci. 2014, 50, 639–652. [Google Scholar] [CrossRef]
- Infante, V.H.P.; Calixto, L.S.; Maia Campos, P.M.B.G. Physico-Mechanical Properties of Topical Formulations Based on Different Polymers. Biomed. Biopharm. Res. 2019, 16, 213–222. [Google Scholar] [CrossRef]
- Vanti, G.; Grifoni, L.; Bergonzi, M.C.; Antiga, E.; Montefusco, F.; Caproni, M.; Bilia, A.R. Development and Optimisation of Biopharmaceutical Properties of a New Microemulgel of Cannabidiol for Locally-Acting Dermatological Delivery. Int. J. Pharm. 2021, 607, 121036. [Google Scholar] [CrossRef]
- Moldovan, M.L.; Ionuț, I.; Bogdan, C. Cosmetic Products Containing Natural Based Emollients for Restoring Impaired Skin Barrier: Formulation and in Vivo Evaluation. Farmacia 2021, 69, 129–134. [Google Scholar] [CrossRef]
- Bergamante, V.; Ceschel, G.C.; Marazzita, S.; Ronchi, C.; Fini, A. Effect of Vehicles on Topical Application of Aloe vera and Arnica montana Components. Drug Deliv. 2007, 14, 427–432. [Google Scholar] [CrossRef][Green Version]
- Lee, W.C.; Yusof, S.; Hamid, N.S.A.; Baharin, B.S. Optimizing Conditions for Hot Water Extraction of Banana Juice Using Response Surface Methodology (RSM). J. Food Eng. 2006, 75, 473–479. [Google Scholar] [CrossRef]
- Hamzaoui, A.H.; Jamoussi, B.; M’nif, A. Lithium Recovery from Highly Concentrated Solutions: Response Surface Methodology (RSM) Process Parameters Optimization. Hydrometallurgy 2008, 90, 1–7. [Google Scholar] [CrossRef]
- Khuri, A.I.; Mukhopadhyay, S. Response Surface Methodology. Wiley Interdiscip. Rev. Comput. Stat. 2010, 2, 128–149. [Google Scholar] [CrossRef]
- Yu, L.; Li, S.; Stubbs, L.P.; Lau, H.C. Effects of Salinity and Ph on the Stability of Clay-Stabilized Oil-in-Water Pickering Emulsions. SPE J. 2021, 26, 1402–1421. [Google Scholar] [CrossRef]
- Paximada, P.; Tsouko, E.; Kopsahelis, N.; Koutinas, A.A.; Mandala, I. Bacterial Cellulose as Stabilizer of o/w Emulsions. Food Hydrocoll. 2016, 53, 225–232. [Google Scholar] [CrossRef]
- Krstonošić, V.; Dokić, L.; Nikolić, I.; Milanović, M. Influence of Xanthan Gum on Oil-in-Water Emulsion Characteristics Stabilized by OSA Starch. Food Hydrocoll. 2015, 45, 9–17. [Google Scholar] [CrossRef]
- Vélez, G.; Fernández, M.A.; Muñoz, J.; Williams, P.A.; English, R.J. Role of Hydrocolloids in the Creaming of Oil in Water Emulsions. J. Agric. Food Chem. 2003, 51, 265–269. [Google Scholar] [CrossRef]
- Sun, C.; Gunasekaran, S.; Richards, M.P. Effect of Xanthan Gum on Physicochemical Properties of Whey Protein Isolate Stabilized Oil-in-Water Emulsions. Food Hydrocoll. 2007, 21, 555–564. [Google Scholar] [CrossRef]
- McClements, D.J. Critical Review of Techniques and Methodologies for Characterization of Emulsion Stability. Crit. Rev. Food Sci. Nutr. 2007, 47, 611–649. [Google Scholar] [CrossRef] [PubMed]
- Akbari, S.; Nour, A.H. Emulsion Types, Stability Mechanisms and Rheology: A Review. Int. J. Innov. Res. Sci. Stud. 2018, 1, 14–21. [Google Scholar] [CrossRef]
- Lata Yadav, K.; Kumar Rahi, D.; Kumar Soni, S. Bioemulsifying Potential of Exopolysaccharide Produced by an Indigenous Species of Aureobasidium pullulans RYLF10. PeerJ PrePrints 2014, 2, e726v1. [Google Scholar] [CrossRef][Green Version]
- Kavitake, D.; Balyan, S.; Devi, P.B.; Shetty, P.H. Interface between Food Grade Flavour and Water Soluble Galactan Biopolymer to Form a Stable Water-in-Oil-in-Water Emulsion. Int. J. Biol. Macromol. 2019, 135, 445–452. [Google Scholar] [CrossRef]
- Huber, P. Sensory Measurement-Evaluation and Testing of Cosmetic Products. In Cosmetic Science and Technology: Theoretical Principles and Applications; Elsevier Inc.: Amsterdam, The Netherlands, 2017; ISBN 9780128020548. [Google Scholar]
- Calvo, F.; Gómez, J.M.; Ricardez-Sandoval, L.; Alvarez, O. Integrated Design of Emulsified Cosmetic Products: A Review. Chem. Eng. Res. Des. 2020, 161, 279–303. [Google Scholar] [CrossRef]
- Marti-Mestres, G.; Nielloud, F. Emulsions in Health Care Applications—An Overview. J. Dispers. Sci. Technol. 2002, 23, 419–439. [Google Scholar] [CrossRef]
- Cheng, Y.S.; Lam, K.W.; Ng, K.M.; Ko, R.K.M.; Wibowo, C. An Integrative Approach to Product Development-A Skin-Care Cream. Comput. Chem. Eng. 2009, 33, 1097–1113. [Google Scholar] [CrossRef]
- Vianna-Filho, R.P.; Petkowicz, C.L.O.; Silveira, J.L.M. Rheological Characterization of O/W Emulsions Incorporated with Neutral and Charged Polysaccharides. Carbohydr. Polym. 2013, 93, 266–272. [Google Scholar] [CrossRef]
- Tadros, T. Interparticle Interactions in Concentrated Suspensions and Their Bulk (Rheological) Properties. Adv. Colloid Interface Sci. 2011, 168, 263–277. [Google Scholar] [CrossRef]
- Quintana, J.M.; Califano, A.N.; Zaritzky, N.E.; Partal, P.; Franco, J.M. Linear and Nonlinear Viscoelastic Behavior of Oiein-Water Emulsions Stabilized with Polysaccharides. J. Texture Stud. 2002, 33, 215–236. [Google Scholar] [CrossRef]
- Krstonošić, V.; Dokić, L.; Dokić, P.; Dapčević, T. Effects of Xanthan Gum on Physicochemical Properties and Stability of Corn Oil-in-Water Emulsions Stabilized by Polyoxyethylene (20) Sorbitan Monooleate. Food Hydrocoll. 2009, 23, 2212–2218. [Google Scholar] [CrossRef]
- Webb, E.B.; Koh, C.A.; Liberatore, M.W. High Pressure Rheology of Hydrate Slurries Formed from Water-in-Mineral Oil Emulsions. Ind. Eng. Chem. Res. 2014, 53, 6998–7007. [Google Scholar] [CrossRef]
- Rózańska, S.; Broniarz-Press, L.; Rózański, J.; Mitkowski, P.T.; Ochowiak, M.; Woziwodzki, S. Extensional Viscosity of o/w Emulsion Stabilized by Polysaccharides Measured on the Opposed-Nozzle Device. Food Hydrocoll. 2013, 32, 130–142. [Google Scholar] [CrossRef]
- Cruz, M.; Freitas, F.; Torres, C.A.V.; Reis, M.A.M.; Alves, V.D. Influence of Temperature on the Rheological Behavior of a New Fucose-Containing Bacterial Exopolysaccharide. Int. J. Biol. Macromol. 2011, 48, 695–699. [Google Scholar] [CrossRef]
- Iqbal, S.; Xu, Z.; Huang, H.; Chen, X.D. Controlling the Rheological Properties of Oil Phases Using Controlled Protein-Polysaccharide Aggregation and Heteroaggregation in Water-in-Oil Emulsions. Food Hydrocoll. 2019, 96, 278–287. [Google Scholar] [CrossRef]
- Savary, G.; Grisel, M.; Picard, C. Impact of Emollients on the Spreading Properties of Cosmetic Products: A Combined Sensory and Instrumental Characterization. Colloids Surf. B Biointerfaces 2013, 102, 371–378. [Google Scholar] [CrossRef]







| Independent Variables | Coded Variable | Factor Level | ||||
|---|---|---|---|---|---|---|
| −α | −1 | 0 | 1 | α | ||
| FucoPol (wt.%) | A | 0.00 | 0.30 | 0.80 | 1.30 | 1.64 |
| Olive oil (wt.%) | B | 13.18 | 20.00 | 30.00 | 40.00 | 46.82 |
| α-tocopherol (wt.%) | C | 0.00 | 1.00 | 2.50 | 4.00 | 5.02 |
| Oil | FucoPol | E24 (%) | ES (%) | ||
|---|---|---|---|---|---|
| 2:3 | 3:2 | 2:3 | 3:2 | ||
| Castor oil | 0.5% | 70 ± 3 | 53 ± 4 | 81 ± 3 | 77 ± 4 |
| 1.0% | 100 ± 0 | 100 ± 0 | 20 ± 0 | 11 ± 0 | |
| Paraffin oil | 0.5% | 58 ± 2 | 80 ± 4 | 87 ± 5 | 68 ± 6 |
| 1.0% | 85 ± 2 | 6 ± 0 | 54 ± 1 | 78 ± 0 | |
| Almond oil | 0.5% | 84 ± 4 | 93 ± 6 | 50 ± 3 | 47 ± 6 |
| 1.0% | 89 ± 0 | 0 ± 0 | 31 ± 6 | 0 ± 0 | |
| Olive oil | 0.5% | 58 ± 0 | 76 ± 0 | 85 ± 2 | 97 ± 0 |
| 1.0% | 81 ± 1 | 56 ± 0 | 56 ± 1 | 100 ± 0 | |
| Emulsifier | α-Tocopherol (wt.%) | 0.5 wt.% Emulsifier | 1.0 wt.% Emulsifier | ||
|---|---|---|---|---|---|
| E24 (%) | ES (%) | E24 (%) | ES (%) | ||
| FucoPol | 0 | 76 ± 0 | 87 ± 3 | 56 ± 0 | 96 ± 0 |
| 2.0 | 86 ± 1 | 82 ± 1 | 61 ± 0 | 53 ± 5 | |
| 5.0 | 80 ± 1 | 90 ± 1 | 61 ± 0 | 63 ± 12 | |
| Sepigel | 0 | 0 ± 0 | - | 49 ± 0 | 100 ± 0 |
| 2.0 | 0 ± 0 | - | 0 ± 0 | - | |
| 5.0 | 0 ± 0 | - | 0 ± 0 | - | |
| Run | FucoPol, A (wt.%) | Olive Oil, B (wt.%) | α-Tocopherol, C (wt.%) | E24 (%) | |
|---|---|---|---|---|---|
| Actual Value | Predicted Value | ||||
| 1 | 0.8 | 30 | 2.5 | 97.8 | 97.1 |
| 2 | 1.6 | 30 | 2.5 | 0.0 | 3.0 |
| 3 | 0.3 | 20 | 4.0 | 30.4 | 26.8 |
| 4 | 0.8 | 46.8 | 2.5 | 78.3 | 57.3 |
| 5 | 0.8 | 30 | 0.0 | 95.7 | 100 |
| 6 | 1.3 | 40 | 4.0 | 0.0 | 19.5 |
| 7 | 0.3 | 20 | 1.0 | 76.1 | 56.6 |
| 8 | 0.3 | 40 | 4.0 | 69.6 | 72.7 |
| 9 | 0.8 | 13.2 | 2.5 | 73.9 | 95.0 |
| 10 | 1.3 | 40 | 1.0 | 0.0 | 3.6 |
| 11 | 0.8 | 30 | 5.0 | 95.7 | 90.0 |
| 12 | 0.8 | 30 | 2.5 | 97.7 | 97.1 |
| 13 | 0.3 | 40 | 1.0 | 69.6 | 78.7 |
| 14 | 0.8 | 30 | 2.5 | 97.6 | 97.1 |
| 15 | 0.0 | 30 | 2.5 | 0.0 | 15.3 |
| 16 | 1.3 | 20 | 4.0 | 95.6 | 87.0 |
| 17 | 1.3 | 20 | 1.0 | 97.8 | 94.6 |
| Source | SS | MS | f-Value | p-Value | Significance |
|---|---|---|---|---|---|
| Model | 24,439.63 | 2715.51 | 18.51 | 0.001 | Significant |
| A: FucoPol | 199.37 | 199.37 | 1.360 | 0.287 | |
| B: Olive oil | 2854.49 | 2854.49 | 19.46 | 0.004 | |
| C: α-tocopherol | 167.58 | 167.58 | 1.140 | 0.326 | |
| AB | 6390.15 | 6390.15 | 43.56 | 0.001 | |
| AC | 236.31 | 236.31 | 1.610 | 0.251 | |
| BC | 286.08 | 286.08 | 1.950 | 0.212 | |
| A2 | 14,317.43 | 14,317.43 | 97.60 | 0.0001 | |
| B2 | 0.0002 | 0.0002 | 1.4 × 10−6 | 0.999 | |
| C2 | 72.96 | 72.96 | 0.497 | 0.507 | |
| Lack of Fit | 582.37 | 145.59 | 0.766 | 0.634 | Not significant |
| R2 | 0.965 | ||||
| R2 adjusted | 0.913 | ||||
| R2 predicted | 0.622 | ||||
| Adequate precision | 12.19 | ||||
| Emulsion | Cross Model Parameters | Textural Parameters | |||||
|---|---|---|---|---|---|---|---|
| η0 (Pa.s) | τ (s) | m | Firmness (N) | Consistency (mJ) | Adhesiveness (mJ) | Cohesiveness | |
| F1 | 13.92 ± 2.36 | 1.64 ± 0.13 | 0.74 ± 0.00 | 0.074 | 0.088 | 0.156 | 0.748 |
| F2 | 7.59 ± 0.04 | 1.72 ± 0.04 | 0.68 ± 0.01 | 0.074 | 0.055 | 0.129 | 0.688 |
Publisher’s Note: MDPI stays neutral with regard to jurisdictional claims in published maps and institutional affiliations. |
© 2022 by the authors. Licensee MDPI, Basel, Switzerland. This article is an open access article distributed under the terms and conditions of the Creative Commons Attribution (CC BY) license (https://creativecommons.org/licenses/by/4.0/).
Share and Cite
Baptista, S.; Pereira, J.R.; Gil, C.V.; Torres, C.A.V.; Reis, M.A.M.; Freitas, F. Development of Olive Oil and α-Tocopherol Containing Emulsions Stabilized by FucoPol: Rheological and Textural Analyses. Polymers 2022, 14, 2349. https://doi.org/10.3390/polym14122349
Baptista S, Pereira JR, Gil CV, Torres CAV, Reis MAM, Freitas F. Development of Olive Oil and α-Tocopherol Containing Emulsions Stabilized by FucoPol: Rheological and Textural Analyses. Polymers. 2022; 14(12):2349. https://doi.org/10.3390/polym14122349
Chicago/Turabian StyleBaptista, Sílvia, João R. Pereira, Cátia V. Gil, Cristiana A. V. Torres, Maria A. M. Reis, and Filomena Freitas. 2022. "Development of Olive Oil and α-Tocopherol Containing Emulsions Stabilized by FucoPol: Rheological and Textural Analyses" Polymers 14, no. 12: 2349. https://doi.org/10.3390/polym14122349
APA StyleBaptista, S., Pereira, J. R., Gil, C. V., Torres, C. A. V., Reis, M. A. M., & Freitas, F. (2022). Development of Olive Oil and α-Tocopherol Containing Emulsions Stabilized by FucoPol: Rheological and Textural Analyses. Polymers, 14(12), 2349. https://doi.org/10.3390/polym14122349

