Analysis of Sheep Wool-Based Composites for Building Insulation
Abstract
:1. Introduction
2. Materials and Methods of Investigation
2.1. Materials
2.2. Samples Preparation
2.3. Investigation Methods
3. Results
3.1. Thermal Conductivity and Thermal Resistance
3.1.1. Effect of Sample Thickness
3.1.2. Effect of Sample Density
3.1.3. Effect of Binder Type
3.1.4. Effect of Binder Percentage
3.2. Microscopic Analysis
3.3. Chemical Characteristics
3.4. Water Absorption
3.5. Action of Microorganisms
3.6. Water Vapour Transmission
3.7. Hygroscopic Adsorption Characteristics
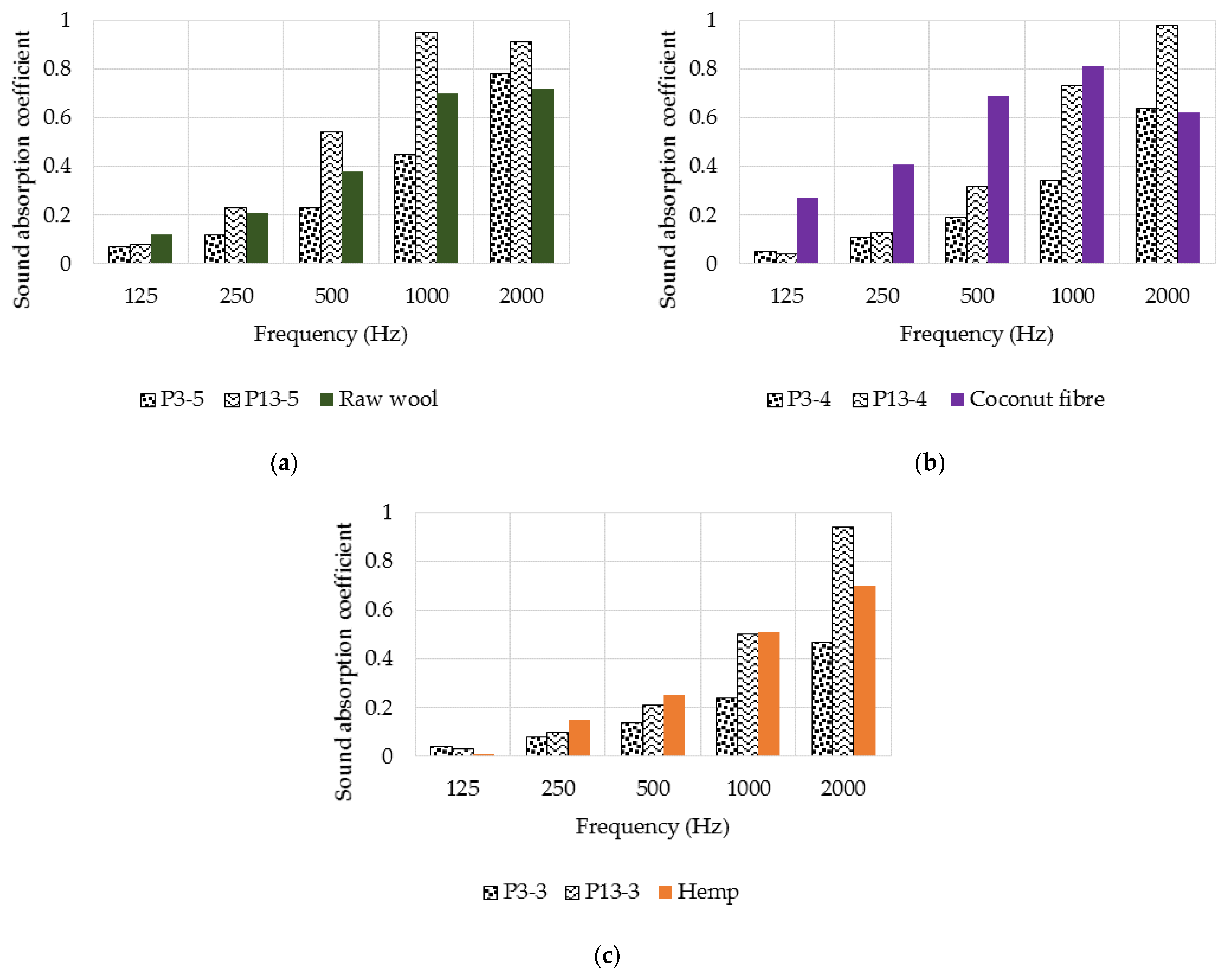
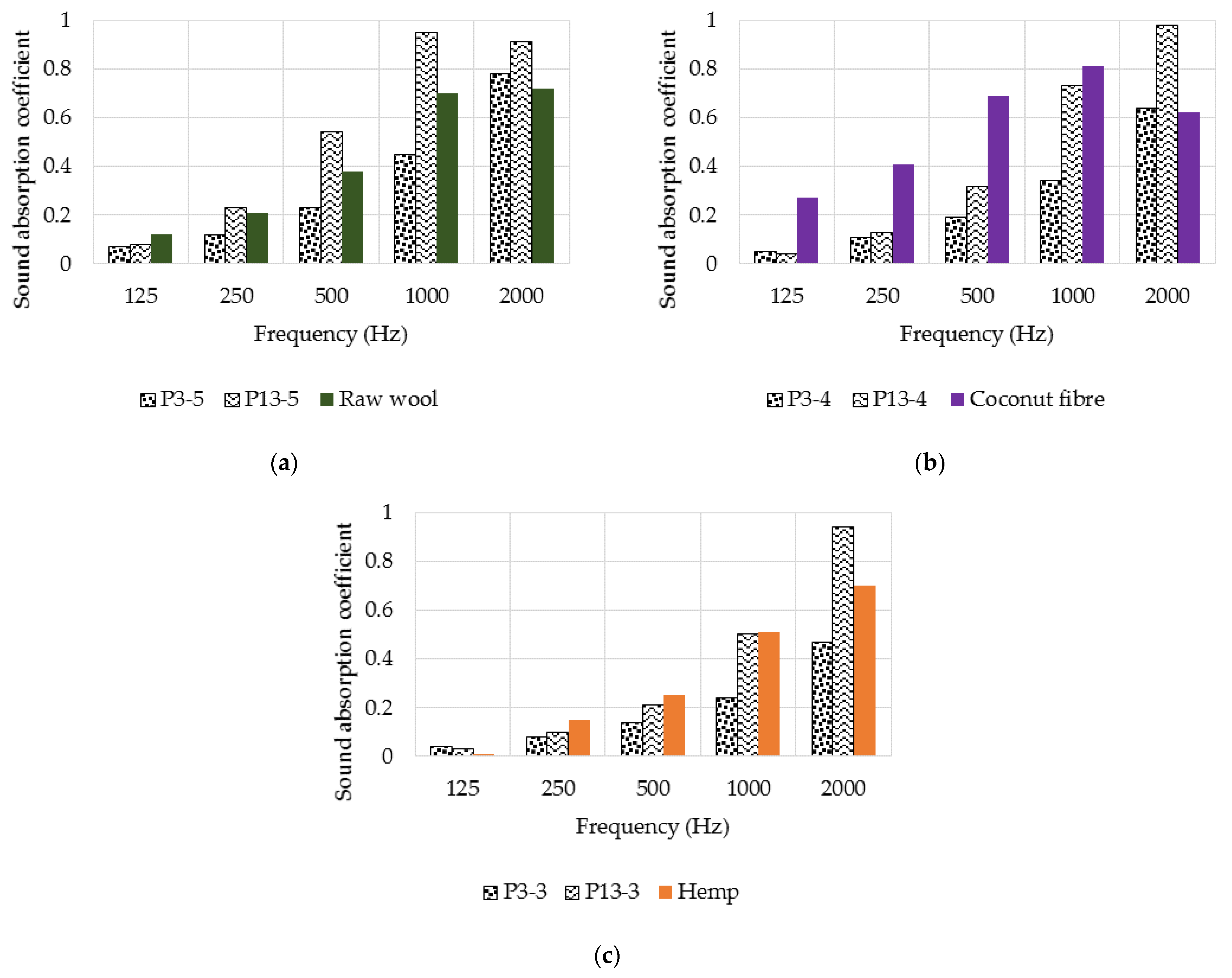
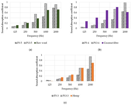
3.8. Sound Absorption
4. Discussion
4.1. Thermal Conductivity
4.2. Water Vapour Transmission
4.3. Hygroscopic Adsorption Characteristics
4.4. Sound Absorption
5. Conclusions
- Increasing density has a different effect on the two types of binder: two minimum conductivity points were recorded for latex (at densities of 62.03 and 116.27 kg/m3), while one minimum point was measured for resin (at a density of 98.27 kg/m3);
- In general, resin leads to higher thermal conductivity values compared to latex;
- The increase in thermal conductivity is proportional to the increase in binder percentage;
- The minimum values of thermal conductivity were measured for the samples prepared with latex, having high density, with low binder percentage: 0.0324 W/mK (for sample P19 made by mixing the fibres with latex, in percentage of fibre/binder of 1/2, with density of 116 kg/m3) and 0.0331 W/mK (for sample P23 made by mixing fibres with latex, in percentage of fibre/binder of 1/2, with density of 138.74 kg/m3);
- Based on the criteria established in the national normative C107/2-2005 regarding the necessary values of thermal conductivity and thermal resistance (thermal conductivity less than 0.065 W/mK and thermal resistance greater than 0.50 m2K/W) [7] of a thermal insulating material, it is observed that all samples prepared and analysed in this study meet these criteria;
- Microscopic and chemical analysis confirmed the dispersion of the binder on the fibres;
- Water absorption is higher in the resin sample;
- The materials tested are susceptible to attack by microorganisms;
- The water vapour diffusion resistance factor is higher for the wool–resin sample;
- The wool–resin sample shows high sound absorption over the whole frequency range analysed, while the wool–latex sample is more efficient at high frequencies.
Author Contributions
Funding
Institutional Review Board Statement
Informed Consent Statement
Data Availability Statement
Acknowledgments
Conflicts of Interest
References
- Michaelides, E.E. Alternative Energy Sources; Springer: Dordrecht, The Netherlands, 2012; ISBN 9781608054220. [Google Scholar]
- Li, Y.; Chen, X.; Wang, X.; Xu, Y.; Chen, P.-H. A review of studies on green building assessment methods by comparative analysis. Energy Build. 2017, 146, 152–159. [Google Scholar] [CrossRef]
- UN Environment Programme. Global Status Report for Buildings and Construction Sector. 2019. Available online: https://www.unenvironment.org/resources/publication/2019-global-status-report-buildings-and-construction-sector (accessed on 17 May 2020).
- Darko, A.; Chan, A.P.C. Review of barriers to green building adoption. Sustain. Dev. 2017, 25, 167–179. [Google Scholar] [CrossRef]
- Zhang, H. Heat-insulating materials and sound-absorbing materials. In Building Materials in Civil Engineering; Woodhead Publishing Limited: Cambridge, UK, 2011; pp. 304–315. [Google Scholar]
- Dylewski, R.; Adamczyk, J. Life cycle assessment (LCA) of building thermal insulation materials. In Eco-Efficient Construction and Building Materials; Woodhead Publishing Limited: Cambridge, UK, 2014; pp. 267–286. ISBN 9780857094247. [Google Scholar]
- C107/2-2005. Normativ Privind Calculul Termotehnic al Elementelor de Construcţie ale Clădirilor. Partea a 2-a: Normativ Privind Calculul Coeficienţilor Globali de Izolare Termică la Clădirile cu altă Destinaţie Decât cea de Locuire. Available online: http://www.stim.ugal.ro/crios/Support/IEACA/Anexe/C107-1-3-2005.pdf (accessed on 18 April 2022). (In Romanian).
- Asdrubali, F.; D’Alessandro, F.; Schiavoni, S. A review of unconventional sustainable building insulation materials. Sustain. Mater. Technol. 2015, 4, 1–17. [Google Scholar] [CrossRef]
- Bessa, J.; Souza, J.; Lopes, J.B.; Sampaio, J.; Mota, C.; Cunha, F.; Fangueiro, R. Characterization of thermal and acoustic insulation of chicken feather reinforced composites. Procedia Eng. 2017, 200, 472–479. [Google Scholar] [CrossRef]
- Hossu, I.N.; Grosu, M.C.; Horga, G.; Iosub, A. Modelling and simulation of heat transfer through Turcana wool insulated walls/Modelarea şi simularea transferului termic prin pereţi izolaţi cu lână Ţurcană. Industria Text. 2015, 66, 48. [Google Scholar]
- The Green Age. The Advantages of Sheep Wool Insulation. Available online: https://www.thegreenage.co.uk/advantages-sheep-wool-insulation/ (accessed on 23 January 2019).
- Schiavoni, S.; D’Alessandro, F.; Bianchi, F.; Asdrubali, F. Insulation materials for the building sector: A review and comparative analysis. Renew. Sustain. Energy Rev. 2016, 62, 988–1011. [Google Scholar] [CrossRef]
- Millington, K.R.; Rippon, J.A. Wool as a high-performance fibe. In Structure and Properties of High-Performance Fibers; Woodhead Publishing: Cambridge, UK, 2017; pp. 367–408. [Google Scholar]
- Hearle, J.W.S. Physical properties of wool. In Wool: Science and Technology; Woodhead Publishing: Cambridge, UK, 2002; pp. 80–129. [Google Scholar]
- Mansour, E.; Curling, S.F.; Ormondroyd, G.A. Absorption of formaldehyde by different wool types. In Proceedings of the International Panel Products Symposium, Llandudno, UK, 7–8 October 2015. [Google Scholar]
- Corscadden, K.W.; Biggs, J.N.; Stiles, D.K. Sheep’s wool insulation: A sustainable alternative use for a renewable resource? Resour. Conserv. Recycl. 2014, 86, 9–15. [Google Scholar] [CrossRef]
- Patnaik, A.; Mvubu, M.; Muniyasamy, S.; Botha, A.; Anandjiwala, R.D. Thermal and sound insulation materials from waste wool and recycled polyester fibers and their biodegradation studies. Energy Build. 2015, 92, 161–169. [Google Scholar] [CrossRef]
- Bosia, D.; Savio, L.; Thiebat, F.; Patrucco, A.; Fantucci, S.; Piccablotto, G.; Marino, D. Sheep wool for sustainable architecture. Energy Procedia 2015, 78, 315–320. [Google Scholar] [CrossRef] [Green Version]
- Rubino, C.; Bonet-Aracil, M.; Liuzzi, S.; Martellotta, F.; Stefanizzi, P. Thermal characterization of innovative sustainable building materials from wool textile fibers waste. Tec. Ital. Ital. J. Eng. Sci. 2019, 63, 277–283. [Google Scholar] [CrossRef]
- Guna, V.; Ilangovan, M.; Vighnesh, H.R.; Sreehari, B.R.; Abhijith, S.; Sachin, H.E.; Mohan, C.B.; Reddy, N. Engineering sustainable waste wool biocomposites with high flame resistance and noise insulation for green building and automotive applications. J. Nat. Fibers 2019, 18, 1–11. [Google Scholar] [CrossRef]
- Mounir, S.; Khabbazi, A.; Maaloufa, Y.; Khaldoun, A.; Hamdouni, Y.E. Experimental approach for measuring thermal properties for ecological materials based on additives cork or wool and illite. J. Therm. Sci. Eng. Appl. 2016, 8, 021012. [Google Scholar] [CrossRef]
- Therma Fleece. FAQs. Available online: https://www.thermafleece.com/resources/faqs (accessed on 19 August 2019).
- Crawshaw, G.H.; Russell, S.J. Carpets, felts and nonwoven fabrics. In Wool: Science and Technology; Woodhead Publishing Limited: Cambridge, UK, 2002; pp. 290–313. [Google Scholar]
- Köber Profesional ECOLAC. Technical Data Sheet. (In Romanian). Available online: https://i.dedeman.ro/media/file/file/f/i/fisa_tehnica-ul3000-sectia_lv-l8301w_lac_pentru_parchet_si_mobila_in_dispersie_apoasa_ecolac.pdf (accessed on 25 November 2020).
- Prochima Latex. Technical Data Sheet. (In Italian). Available online: https://www.prochima.it/files/LATEX.pdf (accessed on 25 November 2020).
- ISO. Thermal Performance of Building Materials and Products. Determination of Thermal Resistance by Means of Guarded Hot Plate and Heat Flow Meter Methods. Products of High and Medium Thermal Resistance; EN 12667:2001; ISO: Geneva, Switzerland, 2001. [Google Scholar]
- ISO. Thermal Insulating Products for Building Applications. Determination of Long Term Water Absorption by Immersion; EN 12087:2013; ISO: Geneva, Switzerland, 2013. [Google Scholar]
- ISO. Plastics. Evaluation of the Action of Microorganisms; EN 846:2019; ISO: Geneva, Switzerland, 2019. [Google Scholar]
- ISO. Thermal Insulating Products for Building Applications. Determination of Water Vapour Transmission Properties; EN 12086:2013; ISO: Geneva, Switzerland, 2013. [Google Scholar]
- ISO. Hygrothermal Performance of Building Materials and Products. Determination of Hygroscopic Sorption Properties; EN 12571:2013; ISO: Geneva, Switzerland, 2013. [Google Scholar]
- ISO. Acoustics. Determination of Sound Absorption Coefficient and Impedance in Impedances Tubes Part 2: Transfer-Function Method (ISO 10534-2:1998); EN 10534-2:2002; ISO: Geneva, Switzerland, 2002. [Google Scholar]
- ASTM Standard. C423 Standard Test Method for Sound Absorption and Sound Absorption Coefficients by the Reverberation Room Method; ASTM: West Conshohocken, PA, USA, 2017. [Google Scholar]
- Nguyen, D.M.; Grillet, A.-C.; Diep, T.M.H.; Bui, Q.B.; Woloszyn, M. Influence of thermo-pressing conditions on insulation materials from bamboo fibers and proteins based bone glue. Ind. Crops Prod. 2018, 111, 834–845. [Google Scholar] [CrossRef]
- Wei, K.; Lv, C.; Chen, M.; Zhou, X.; Dai, Z.; Shen, D. Development and performance evaluation of a new thermal insulation material from rice straw using high frequency hot-pressing. Energy Build. 2015, 87, 116–122. [Google Scholar] [CrossRef]
- Iștoan, R.; Tămaș-Gavrea, D.R.; Manea, D.L. Experimental investigations on the performances of composite building materials based on industrial crops and volcanic rocks. Crystals 2020, 10, 102. [Google Scholar] [CrossRef] [Green Version]
- Zakriya, G.M.; Ramakrishnan, G. Insulation and mechanical properties of jute and hollow conjugated polyester reinforced nonwoven composite. Energy Build. 2018, 158, 1544–1552. [Google Scholar] [CrossRef]
- Bourdot, A.; Moussa, T.; Gacoin, A.; Maalouf, C.; Vazquez, P.; Thomachot-Schneider, C.; Bliard, C.; Merabtine, A.; Lachi, M.; Douzane, O.; et al. Characterization of a hemp-based agro-material: Influence of starch ratio and hemp shive size on physical, mechanical, and hygrothermal properties. Energy Build. 2017, 153, 501–512. [Google Scholar] [CrossRef]
- Pruteanu, M. Investigations regarding the thermal conductivity of straw. Bul. Institutului Politeh. Lasi 2010, 56, 9. [Google Scholar]
- Asdrubali, F.; Bianchi, F.; Cotana, F.; D’Alessandro, F.; Pertosa, M.; Pisello, A.L.; Schiavoni, S. Experimental thermo-acoustic characterization of innovative common reed bio-based panels for building envelope. Build. Environ. 2016, 102, 217–229. [Google Scholar] [CrossRef]
- Ye, Z.; Wells, C.M.; Carrington, C.G.; Hewitt, N.J. Thermal conductivity of wool and wool-hemp insulation. Int. J. Energy Res. 2006, 30, 37–49. [Google Scholar] [CrossRef]
- Dieckmann, E.; Onsiong, R.; Nagy, B.; Sheldrick, L.; Cheeseman, C. Valorization of waste feathers in the production of new thermal insulation materials. Waste Biomass Valoriz. 2021, 12, 1119–1131. [Google Scholar] [CrossRef] [Green Version]
- Hegyi, A.; Bulacu, C.; Szilagyi, H.; Lăzărescu, A.-V.; Colbu, D.E.; Sandu, M. Waste management in the context of the development of sustainable thermal insulation products for the construction sector. Int. J. Conserv. Sci. 2021, 12, 225–236. [Google Scholar]
- Hussain, M.; Tao, W.Q. Numerical prediction of effective thermal conductivity of ceramic fiber board using lattice Boltzmann method. Numer. Heat Transf. Part A Appl. 2018, 74, 1285–1300. [Google Scholar] [CrossRef]
- Zhang, S.; Li, Y.; Zheng, Z. Effect of physiochemical structure on energy absorption properties of plant fibers reinforced composites: Dielectric, thermal insulation, and sound absorption properties. Compos. Commun. 2018, 10, 163–167. [Google Scholar] [CrossRef]
- Subrahmanyam, B.V.; Krishna, S.V.G.; Kumar, R.J.; Devireddy, S.B.R. Experimental and micromechanical thermal characteristics of jute fiber reinforced polyester composites. Mater. Today Proc. 2019, 18, 350–356. [Google Scholar] [CrossRef]
- Kosiński, P.; Brzyski, P.; Szewczyk, A.; Motacki, W. Thermal properties of raw hemp fiber as a loose-fill insulation material. J. Nat. Fibers 2018, 15, 717–730. [Google Scholar] [CrossRef]
- Stapulionienė, R.; Vaitkus, S.; Vėjelis, S.; Sankauskaitė, A. Investigation of thermal conductivity of natural fibres processed by different mechanical methods. Int. J. Precis. Eng. Manuf. 2016, 17, 1371–1381. [Google Scholar] [CrossRef]
- Karamanos, A.; Papadopoulos, A.; Anastasellos, D. Heat transfer phenomena in fibrous insulating materials. In Proceedings of the 2004 WSEAS/IASME International Conference on Heat and Mass Transfer, Corfu, Greece, 16–19 August 2004; pp. 17–19. [Google Scholar]
- Nakaya, T.; Yamasaki, M.; Fukuta, S.; Matsuda, Y.; Sasaki, Y. Thermal conductivity of low-density wood composite mats. For. Prod. J. 2019, 69, 322–328. [Google Scholar] [CrossRef]
- Bosia, D.; Giordano, R.; Savio, L. A sustainable building product: Advanced insulation panels obtained by recycling regional sheep’s wool. TECHNE J. Technol. Archit. Environ. 2011, 1, 110–115. [Google Scholar]
- Orlik-Kożdoń, B.; Steidl, T. Experimental and analytical determination of water vapour transmission properties of recyclable insulation material. Constr. Build. Mater. 2018, 192, 798–807. [Google Scholar] [CrossRef]
- Collet, F.; Achchaq, F.; Djellab, K.; Marmoret, L.; Beji, H. Water vapor properties of two hemp wools manufactured with different treatments. Constr. Build. Mater. 2011, 25, 1079–1085. [Google Scholar] [CrossRef]
- Hegyi, A.; Dico, C.; Szilagyi, H. Sheep wool thermal insulating mattresses behaviour in the water vapours presence. Procedia Manuf. 2020, 46, 410–417. [Google Scholar] [CrossRef]
- Tuzcu, T.M. Hygro-Thermal Properties of Sheep Wool Insulation. Ph.D. Thesis, Delft University of Technology, Delft, The Netherlands, 2007. [Google Scholar]
- Broda, J.; Bączek, M. Acoustic properties of multi-layer wool nonwoven structures. J. Nat. Fibers 2020, 17, 1567–1581. [Google Scholar] [CrossRef]
- Berardi, U.; Iannace, G.; Gabriele, M.D. Characterization of sheep wool panels for room acoustic applications. Proc. Mtgs. Acoust. 2016, 28, 015001. [Google Scholar] [CrossRef] [Green Version]
- Salinah, D.; Fadzlita, M.T.; Habibah, G.; Ayog, L.J.; Adriana, A.; Hassanel, A. Effect of thickness acoustic panels utilizing coconut coir. In Proceedings of the 6th International Conference on Geotechnique, Construction Materials and Environment, Bangkok, Thailand, 14–16 November 2016. [Google Scholar]
- Berardi, U.; Iannace, G. Acoustic characterization of natural fibers for sound absorption applications. Build. Environ. 2015, 94, 840–852. [Google Scholar] [CrossRef]






















| Property | Latex | Resin |
|---|---|---|
| pH | 9.8–10.8 | 7.5–8 |
| Water solubility | Yes | Yes |
| Density | 0.976 g/cm3 | 1.035–1.045 g/cm3 |
| Solids content | 60.5% | - |
| Ammonia content | 0.6% | - |
| Content of non-volatile substances | - | 30 ± 1% |
| Content of volatile organic compounds | - | 70 g/L |
| Recipe | Preparation Method | Wool Fibre Density in the Composite (g/cm3) | Binder Type | Fibre:Binder Weight Percentage |
|---|---|---|---|---|
| P1 | Spraying | 0.030 | Resin | 1:2 |
| P2 | 1:4 | |||
| P3 | Latex | 1:2 | ||
| P4 | 1:4 | |||
| P5 | 0.050 | Resin | 1:2 | |
| P6 | 1:4 | |||
| P7 | Latex | 1:2 | ||
| P8 | 1:4 | |||
| P9 | 0.070 | Resin | 1:2 | |
| P10 | 1:4 | |||
| P11 | Latex | 1:2 | ||
| P12 | 1:4 | |||
| P13 | Mixing | 0.078 | Resin | 1:2 |
| P14 | 1:4 | |||
| P15 | Latex | 1:2 | ||
| P16 | 1:4 | |||
| P17 | 0.096 | Resin | 1:2 | |
| P18 | 1:4 | |||
| P19 | Latex | 1:2 | ||
| P20 | 1:4 | |||
| P21 | 0.114 | Resin | 1:2 | |
| P22 | 1:4 | |||
| P23 | Latex | 1:2 | ||
| P24 | 1:4 |
| Sample | g (mg/m2·h) | W (mg/m2·h·Pa) | Z (m2·h·Pa/mg) | δ (mg/m·h·Pa) | μ | sd (m) |
|---|---|---|---|---|---|---|
| P3 | 1.11·104 | 9.16 | 0.1092 | 0.45 | 1.6 | 7.75·10−2 |
| P13 | 6.00·103 | 4.96 | 0.2015 | 0.24 | 2.9 | 1.43·10−1 |
| Sample | Moisture Content, u (kg/kg) | |||||||
|---|---|---|---|---|---|---|---|---|
| Sorption | Desorption | |||||||
| 30% | 50% | 80% | 95% | 95% | 80% | 50% | 30% | |
| P3-3 | 0.0065 | 0.0380 | 0.0645 | 0.0780 | 0.0780 | 0.0695 | 0.0350 | 0.0160 |
| P3-4 | 0.0045 | 0.0345 | 0.0630 | 0.0770 | 0.0770 | 0.0685 | 0.0330 | 0.0140 |
| P3-5 | 0.0050 | 0.0350 | 0.0635 | 0.0775 | 0.0775 | 0.0685 | 0.0335 | 0.0145 |
| P13-3 | 0.0090 | 0.0335 | 0.0620 | 0.0745 | 0.0745 | 0.0555 | 0.0150 | 0.0070 |
| P13-4 | 0.0095 | 0.0330 | 0.0625 | 0.0755 | 0.0755 | 0.0620 | 0.0255 | 0.0105 |
| P13-5 | 0.0100 | 0.0335 | 0.0630 | 0.0750 | 0.0750 | 0.0590 | 0.0200 | 0.0090 |
| Parameter | P3-3 | P3-4 | P3-5 | P13-3 | P13-4 | P13-5 |
|---|---|---|---|---|---|---|
| αmax | 0.636 | 0.762 | 0.830 | 0.966 | 0.988 | 0.999 |
| Frequency of αmax (Hz) | 3200 | 3200 | 3200 | 2364 | 1864 | 1436 |
| NRC * | 0.234 | 0.321 | 0.394 | 0.437 | 0.540 | 0.657 |
| Material | Thickness (mm) | Frequency (Hz) | NRC | Ref. | ||||
|---|---|---|---|---|---|---|---|---|
| 125 | 250 | 500 | 1000 | 2000 | ||||
| P3-5 | 50 | 0.07 | 0.12 | 0.23 | 0.45 | 0.78 | 0.39 | This study |
| P13-5 | 50 | 0.08 | 0.23 | 0.54 | 0.95 | 0.91 | 0.66 | |
| P3-4 | 40 | 0.05 | 0.11 | 0.19 | 0.34 | 0.64 | 0.32 | |
| P13-4 | 40 | 0.04 | 0.13 | 0.32 | 0.73 | 0.98 | 0.54 | |
| P3-3 | 30 | 0.04 | 0.08 | 0.14 | 0.24 | 0.47 | 0.23 | |
| P13-3 | 30 | 0.03 | 0.10 | 0.21 | 0.50 | 0.94 | 0.44 | |
| Raw wool | 50 | 0.12 | 0.21 | 0.38 | 0.70 | 0.72 | 0.50 | [56] |
| Coconut fibre | 40 | 0.27 | 0.41 | 0.69 | 0.81 | 0.62 | 0.63 | [57] |
| Hemp | 30 | 0.01 | 0.15 | 0.25 | 0.51 | 0.70 | 0.40 | [58] |
Publisher’s Note: MDPI stays neutral with regard to jurisdictional claims in published maps and institutional affiliations. |
© 2022 by the authors. Licensee MDPI, Basel, Switzerland. This article is an open access article distributed under the terms and conditions of the Creative Commons Attribution (CC BY) license (https://creativecommons.org/licenses/by/4.0/).
Share and Cite
Dénes, T.-O.; Iştoan, R.; Tǎmaş-Gavrea, D.R.; Manea, D.L.; Hegyi, A.; Popa, F.; Vasile, O. Analysis of Sheep Wool-Based Composites for Building Insulation. Polymers 2022, 14, 2109. https://doi.org/10.3390/polym14102109
Dénes T-O, Iştoan R, Tǎmaş-Gavrea DR, Manea DL, Hegyi A, Popa F, Vasile O. Analysis of Sheep Wool-Based Composites for Building Insulation. Polymers. 2022; 14(10):2109. https://doi.org/10.3390/polym14102109
Chicago/Turabian StyleDénes, Tünde-Orsolya, Raluca Iştoan, Daniela Roxana Tǎmaş-Gavrea, Daniela Lucia Manea, Andreea Hegyi, Florin Popa, and Ovidiu Vasile. 2022. "Analysis of Sheep Wool-Based Composites for Building Insulation" Polymers 14, no. 10: 2109. https://doi.org/10.3390/polym14102109
APA StyleDénes, T.-O., Iştoan, R., Tǎmaş-Gavrea, D. R., Manea, D. L., Hegyi, A., Popa, F., & Vasile, O. (2022). Analysis of Sheep Wool-Based Composites for Building Insulation. Polymers, 14(10), 2109. https://doi.org/10.3390/polym14102109

