Electrospun Composite Nanofiltration Membranes for Arsenic Removal
Abstract
:1. Introduction
2. Materials and Methods
2.1. Materials
2.2. Membrane Preparation
2.3. Characterization of Membranes
2.4. Permeation Tests and Arsenic Rejection Experiments
3. Results and Discussions
3.1. Characterization of the Electrospun NF Membranes
3.1.1. Morphology Study
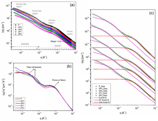
3.1.2. SANS and USANS Study
3.1.3. FTIR Analysis
3.1.4. XRD Analysis
3.1.5. XPS Analysis
3.1.6. Brunauer–Emmett–Teller (BET) Surface Area Analysis
3.1.7. Contact Angle and Surface Charge Analysis
3.2. Evaluation of Synthetic NF Membranes on the Rejection of Arsenic
3.2.1. Water Permeability of Membrane
3.2.2. Rejection of As(III) and As(V)
4. Conclusions
Author Contributions
Funding
Institutional Review Board Statement
Informed Consent Statement
Data Availability Statement
Acknowledgments
Conflicts of Interest
References
- WHO. Preventing Disease through Healthy Environments: Exposure to Cadmium: A Major Public Health Concern; World Health Organization: Geneva, Switzerland, 2019. [Google Scholar]
- Neil, C.W.; Yang, Y.J.; Schupp, D.; Jun, Y.-S. Water chemistry impacts on arsenic mobilization from arsenopyrite dissolution and secondary mineral precipitation: Implications for managed aquifer recharge. Environ. Sci. Technol. 2014, 48, 4395–4405. [Google Scholar] [CrossRef] [PubMed]
- Biswas, A.; Majumder, S.; Neidhardt, H.; Halder, D.; Bhowmick, S.; Mukherjee-Goswami, A.; Kundu, A.; Saha, D.; Berner, Z.; Chatterjee, D. Groundwater chemistry and redox processes: Depth dependent arsenic release mechanism. Appl. Geochem. 2011, 26, 516–525. [Google Scholar] [CrossRef]
- Maharjan, M.; Watanabe, C.; Ahmad, S.A.; Ohtsuka, R. Arsenic contamination in drinking water and skin manifestations in lowland Nepal: The first community-based survey. Am. J. Trop. Med. Hyg. 2005, 73, 477–479. [Google Scholar] [CrossRef] [PubMed] [Green Version]
- Jadhav, S.V.; Bringas, E.; Yadav, G.D.; Rathod, V.K.; Ortiz, I.; Marathe, K.V. Arsenic and fluoride contaminated groundwaters: A review of current technologies for contaminants removal. J. Environ. Manag. 2015, 162, 306–325. [Google Scholar] [CrossRef] [PubMed]
- Regis, A.O.; Vanneste, J.; Acker, S.; Martínez, G.; Ticona, J.; García, V.; Alejo, F.D.; Zea, J.; Krahenbuhl, R.; Vanzin, G.; et al. Pressure-driven membrane processes for boron and arsenic removal: pH and synergistic effects. Desalination 2022, 522, 115441. [Google Scholar] [CrossRef]
- Wang, B.; Guo, X.; Bai, P. Removal technology of boron dissolved in aqueous solutions—A review. Colloids Surf. A 2014, 444, 338–344. [Google Scholar] [CrossRef]
- Ghosh, S.; Debsarkar, A.; Dutta, A. Technology alternatives for decontamination of arsenic-rich groundwater—A critical review. Environ. Technol. Innov. 2019, 13, 277–303. [Google Scholar] [CrossRef]
- Figoli, A.; Cassano, A.; Criscuoli, A.; Mozumder, M.S.I.; Uddin, M.T.; Islam, M.A.; Drioli, E. Influence of operating parameters on the arsenic removal by nanofiltration. Water Res. 2010, 44, 97–104. [Google Scholar] [CrossRef]
- Xia, S.; Dong, B.; Zhang, Q.; Xu, B.; Gao, N.; Causseranda, C. Study of arsenic removal by nanofiltration and its application in China. Desalination 2007, 204, 374–379. [Google Scholar] [CrossRef]
- Shih, M.-C. An overview of arsenic removal by pressure-drivenmembrane processes. Desalination 2005, 172, 85–97. [Google Scholar] [CrossRef]
- Jye, L.W.; Ismail, A.F. Nanofiltration Membranes: Synthesis, Characterization, and Applications, 1st ed.; CRC Press: Boca Raton, FL, USA, 2016. [Google Scholar]
- Wang, J.; Zhang, S.; Wu, P.; Shi, W.; Wang, Z.; Hu, Y. In situ surface modification of thin-film composite polyamide membrane with zwitterions for enhanced chlorine resistance and transport properties. ACS Appl. Mater. Interfaces 2019, 11, 12043–12052. [Google Scholar] [CrossRef] [PubMed]
- Lau, W.; Ismail, A.; Misdan, N.; Kassim, M. A recent progress in thin film composite membrane: A review. Desalination 2012, 287, 190–199. [Google Scholar] [CrossRef] [Green Version]
- Siddique, T.; Dutta, N.K.; Roy Choudhury, N. Nanofiltration for arsenic removal: Challenges, recent developments, and perspectives. Nanomaterials 2020, 10, 1323. [Google Scholar] [CrossRef] [PubMed]
- Shao, L.; Wang, Z.X.; Zhang, Y.L.; Jiang, Z.X.; Liu, Y.Y. A facile strategy to enhance PVDF ultrafiltration membrane performance via self-polymerized polydopamine followed by hydrolysis of ammonium fluotitanate. J. Membr. Sci. 2014, 461, 10–21. [Google Scholar] [CrossRef]
- Lin, X.; Wang, K.; Feng, Y.; Liu, J.Z.; Fang, X.; Xu, T.; Wang, H. Composite ultrafiltration membranes from polymer and its quaternary phosphonium-functionalized derivative with enhanced water flux. J. Membr. Sci. 2015, 482, 67–75. [Google Scholar] [CrossRef]
- Shi, X.; Tal, G.; Hankins, N.P.; Gitis, V. Fouling and cleaning of ultrafiltration membranes: A review. J. Water Process Eng. 2014, 1, 121–138. [Google Scholar] [CrossRef]
- Shi, Q.; Su, Y.; Zhu, S.; Li, C.; Zhao, Y.; Jiang, Z. A facile method for synthesis of pegylated polyethersulfone and its application in fabrication of antifouling ultrafiltration membrane. J. Membr. Sci. 2007, 303, 204–212. [Google Scholar] [CrossRef]
- Susanto, H.; Ulbricht, M. High-performance thin-layer hydrogel composite membranes for ultrafiltration of natural organic matter. Water Res. 2008, 42, 2827–2835. [Google Scholar] [CrossRef]
- Li, Q.; Imbrogno, J.; Belfort, G.; Wang, X.L. Making polymeric membranes antifouling via “grafting from” polymerization of zwitterions. J. Appl. Polym. Sci. 2015, 132, 41781. [Google Scholar] [CrossRef]
- Seman, M.A.; Khayet, M.; Hilal, N. Comparison of two different UV-grafted nanofiltration membranes prepared for reduction of humic acid fouling using acrylic acid and N-vinylpyrrolidone. Desalination 2012, 287, 19–29. [Google Scholar] [CrossRef]
- Rahimpour, A. UV photo-grafting of hydrophilic monomers onto the surface of nano-porous PES membranes for improving surface properties. Desalination 2011, 265, 93–101. [Google Scholar] [CrossRef]
- Peyravi, M.; Rahimpour, A.; Jahanshahi, M.; Javadi, A.; Shockravi, A. Tailoring the surface properties of PES ultrafiltration membranes to reduce the fouling resistance using synthesized hydrophilic copolymer. Microporous Mesoporous Mater. 2012, 160, 114–125. [Google Scholar] [CrossRef]
- Ba, C.; Ladner, D.A.; Economy, J. Using polyelectrolyte coatings to improve fouling resistance of a positively charged nanofiltration membrane. J. Membr. Sci. 2010, 347, 250–259. [Google Scholar] [CrossRef]
- Susanti, R.F.; Han, Y.S.; Kim, J.; Lee, Y.H.; Carbonell, R.G. A new strategy for ultralow biofouling membranes: Uniform and ultrathin hydrophilic coatings using liquid carbon dioxide. J. Membr. Sci. 2013, 440, 88–97. [Google Scholar] [CrossRef]
- Schrotter, J.C.; Bozkaya-Schrotter, B. Current and emerging membrane processes for water treatment. In Membrane Technology: Membranes for Water Treatment, 1st ed.; Peinemann, K.V., Nunes, S.P., Eds.; John Wiley & Sons: Great Britan, UK, 2010; Volume 4, pp. 53–91. [Google Scholar]
- Siddique, T.; Dutta, N.K.; Choudhury, N.R. Mixed-Matrix Membrane Fabrication for Water Treatment. Membranes 2021, 11, 557. [Google Scholar] [CrossRef]
- Rahimi, Z.; Zinatizadeh, A.; Zinadini, S. Preparation of high antibiofouling amino functionalized MWCNTs/PES nanocomposite ultrafiltration membrane for application in membrane bioreactor. J. Ind. Eng. Chem. 2015, 29, 366–374. [Google Scholar] [CrossRef]
- Zhang, X.; Wang, Y.; Liu, Y.; Xu, J.; Han, Y.; Xu, X. Preparation, performances of PVDF/ZnO hybrid membranes and their applications in the removal of copper ions. Appl. Surf. Sci. 2014, 316, 333–340. [Google Scholar] [CrossRef]
- Muhamad, M.S.; Salim, M.R.; Lau, W.-J. Preparation and characterization of PES/SiO2 composite ultrafiltration membrane for advanced water treatment. Korean J. Chem. Eng. 2015, 32, 2319–2329. [Google Scholar] [CrossRef]
- Rajabi, H.; Ghaemi, N.; Madaeni, S.S.; Daraei, P.; Astinchap, B.; Zinadini, S.; Razavizadeh, S.H. Nano-ZnO embedded mixed matrix polyethersulfone (PES) membrane: Influence of nanofiller shape on characterization and fouling resistance. Appl. Surf. Sci. 2015, 349, 66–77. [Google Scholar] [CrossRef]
- Durthi, C.P.; Rajulapati, S.B.; Palliparambi, A.A.; Anand, K.K.; Sonawane, S.H. Studies on removal of arsenic using cellulose acetate–zinc oxide nanoparticle mixed matrix membrane. Int. Nano Lett. 2018, 8, 201–211. [Google Scholar] [CrossRef] [Green Version]
- Maghami, M.; Abdelrasoul, A. Zeolites-mixed-matrix nanofiltration membranes for the next generation of water purification. In Nanofiltration; Farrukh, M.A., Ed.; IntechOpen: London, UK, 2018. [Google Scholar]
- Zornoza, B.; Seoane, B.; Zamaro, J.M.; Téllez, C.; Coronas, J. Combination of MOFs and zeolites for mixed-matrix membranes. ChemPhysChem 2011, 12, 2781–2785. [Google Scholar] [CrossRef] [PubMed]
- Bandehali, S.; Moghadassi, A.; Parvizian, F.; Zhang, Y.; Hosseini, S.M.; Shen, J. New mixed matrix PEI nanofiltration membrane decorated by glycidyl-POSS functionalized graphene oxide nanoplates with enhanced separation and antifouling behaviour: Heavy metal ions removal. Sep. Purif. Technol. 2020, 242, 116745. [Google Scholar] [CrossRef]
- Ali, M.; Zafar, M.; Jamil, T.; Butt, M.T.Z. Influence of glycol additives on the structure and performance of cellulose acetate/zinc oxide blend membranes. Desalination 2011, 270, 98–104. [Google Scholar] [CrossRef]
- Wang, Y.; Yang, L.; Luo, G.; Dai, Y. Preparation of cellulose acetate membrane filled with metal oxide particles for the pervaporation separation of methanol/methyl tert-butyl ether mixtures. Chem. Eng. J. 2009, 146, 6–10. [Google Scholar] [CrossRef]
- Leo, C.P.; Cathie Lee, W.P.; Ahmad, A.L.; Mohammad, A.W. Polysulfone membranes blended with ZnO nanoparticles for reducing fouling by oleic acid. Sep. Purif. Technol. 2012, 89, 51–56. [Google Scholar] [CrossRef]
- Jin, F.; Lv, W.; Zhang, C.; Li, Z.; Su, R.; Qi, W.; Yang, Q.-H.; He, Z. High-performance ultrafiltration membranes based on polyethersulfone–graphene oxide composites. RSC Adv. 2013, 3, 21394–21397. [Google Scholar] [CrossRef]
- Kumar, M.; McGlade, D.; Ulbricht, M.; Lawler, J. Quaternized polysulfone and graphene oxide nanosheet derived low fouling novel positively charged hybrid ultrafiltration membranes for protein separation. RSC Adv. 2015, 5, 51208–51219. [Google Scholar] [CrossRef] [Green Version]
- Zhang, F.; Fan, J.B.; Wang, S. Interfacial polymerization: From chemistry to functional materials. Angew. Chem. Int. Ed. 2020, 59, 21840–21856. [Google Scholar] [CrossRef]
- Cheng, S.; Oatley, D.L.; Williams, P.M.; Wright, C.J. Positively charged nanofiltration membranes: Review of current fabrication methods and introduction of a novel approach. Adv. Colloid Interface Sci. 2011, 164, 12–20. [Google Scholar] [CrossRef]
- Wood, K.; Mata, J.P.; Garvey, C.J.; Wu, C.-M.; Hamilton, W.A.; Abbeywick, P.; Bartlett, D.; Bartsch, F.; Baxter, P.; Booth, N.; et al. QUOKKA, the pinhole small-angle neutron scattering instrument at the OPAL Research Reactor, Australia: Design, performance, operation and scientific highlights. J. Appl. Crystallogr. 2018, 51, 294–314. [Google Scholar] [CrossRef]
- Rehm, C.; de Campo, L.; Brule, A.; Darmann, F.; Bartsch, F.; Berry, A. Design and performance of the variable-wavelength Bonse-Hart ultra-small-angle neutron scattering diffractometer KOOKABURRA at ANSTO. J. Appl. Crystallogr. 2018, 51, 1–8. [Google Scholar] [CrossRef] [Green Version]
- Dorishetty, P.; Balu, R.; Gelmi, A.; Mata, J.P.; Dutta, N.K.; Choudhury, N.R. 3D printable soy/silk hybrid hydrogels for tissue engineering applications. Biomacromolecules 2021, 22, 3668–3678. [Google Scholar] [CrossRef] [PubMed]
- Dorishetty, P.; Balu, R.; Athukoralalage, S.S.; Greaves, T.L.; Mata, J.; de Campo, L.; Saha, N.; Zannettino, A.C.W.; Dutta, N.K.; Choudhury, N.R. Tunable biomimetic hydrogels from silk fibroin and nanocellulose. ACS Sustain. Chem. Eng. 2020, 8, 2375–2389. [Google Scholar] [CrossRef]
- Ravishankar, H.; Christy, J.; Jegatheesan, V. Graphene oxide (GO)-blended polysulfone (PSf) ultrafiltration membranes for lead ion rejection. Membranes 2018, 8, 77. [Google Scholar] [CrossRef] [PubMed] [Green Version]
- Zinadini, S.; Zinatizadeh, A.A.; Rahimi, M.; Vatanpour, V.; Zangeneh, H. Preparation of a novel antifouling mixed matrix PES membrane by embedding graphene oxide nanoplates. J. Membr. Sci. 2014, 453, 292–301. [Google Scholar] [CrossRef]
- Leaper, S.; Avendaño Cáceres, E.O.; Luque-Alled, J.M.; Cartmell, S.H.; Gorgojo, P. POSS-functionalized graphene oxide/PVDF electrospun membranes for complete arsenic removal using membrane distillation. ACS Appl. Polym. Mater. 2021, 3, 1854–1865. [Google Scholar] [CrossRef]
- Ng, L.Y.; Leo, C.P.; Mohammad, A.W. Optimizing the incorporation of silica nanoparticles in polysulfone/poly (vinyl alcohol) membranes with response surface methodology. J. Appl. Polym. Sci. 2011, 121, 1804–1814. [Google Scholar] [CrossRef]
- Xu, Z.; Yu, L.; Han, L. Polymer-nanoinorganic particles composite membranes: A brief overview. Front. Chem. Eng. China 2009, 3, 318–329. [Google Scholar] [CrossRef]
- Yuan, X.; Zhang, Y.; Dong, C.; Sheng, J. Morphology of ultrafine polysulfone fibers prepared by electrospinning. Polym. Int. 2004, 53, 1704–1710. [Google Scholar] [CrossRef]
- Gopal, R.; Kaur, S.; Feng, C.Y.; Chan, C.; Ramakrishna, S.; Tabe, S.; Matsuura, T. Electrospun nanofibrous polysulfone membranes as pre-filters: Particulate removal. J. Membr. Sci. 2007, 289, 210–219. [Google Scholar] [CrossRef]
- Angammana, C.J.; Jayaram, S.H. Analysis of the Effects of solution conductivity on electrospinning process and fiber morphology. IEEE Trans. Ind. Appl. 2011, 47, 1109–1117. [Google Scholar] [CrossRef]
- Son, W.K.; Youk, J.H.; Lee, T.S.; Park, W.H. Electrospinning of ultrafine cellulose acetate fibers: Studies of a new solvent system and deacetylation of ultrafine cellulose acetate fibers. J. Polym. Sci. Part B Polym. Phys. 2004, 42, 5–11. [Google Scholar] [CrossRef]
- Jin, H.-J.; Fridrikh, S.V.; Rutledge, G.C.; Kaplan, D.L. Electrospinning Bombyx mori silk with poly (ethylene oxide). Biomacromolecules 2002, 3, 1233–1239. [Google Scholar] [CrossRef]
- Huang, Z.-M.; Zhang, Y.-Z.; Kotaki, M.; Ramakrishna, S. A review on polymer nanofibers by electrospinning and their applications in nanocomposites. Compos. Sci. Technol. 2003, 63, 2223–2253. [Google Scholar] [CrossRef]
- Habiba, U.; Afifi, A.M.; Salleh, A.; Ang, B.C. Chitosan/(polyvinyl alcohol)/zeolite electrospun composite nanofibrous membrane for adsorption of Cr6+, Fe3+ and Ni2+. J. Hazard. Mater. 2017, 322, 182–194. [Google Scholar] [CrossRef]
- Putnam, C.D.; Hammel, M.; Hura, G.L.; Tainer, J.A. X-ray solution scattering (SAXS) combined with crystallography and computation: Defining accurate macromolecular structures, conformations and assemblies in solution. Q. Rev. Biophys. 2007, 40, 191–285. [Google Scholar] [CrossRef]
- Debye, P.; Bueche, A.M. Scattering by an Inhomogeneous Solid. J. Appl. Phys. 1949, 20, 518–525. [Google Scholar] [CrossRef]
- Hammouda, B. A new Guinier–Porod model. J. Appl. Crystallogr. 2010, 43, 716–719. [Google Scholar] [CrossRef]
- Balta, S.; Sotto, A.; Luis, P.; Benea, L.; Van der Bruggen, B.; Kim, J. A new outlook on membrane enhancement with nanoparticles: The alternative of ZnO. J. Membr. Sci. 2012, 389, 155–161. [Google Scholar] [CrossRef]
- Hwang, T.; Oh, J.-S.; Yim, W.; Nam, J.-D.; Bae, C.; Kim, H.; Kim, K.J. Ultrafiltration using graphene oxide surface-embedded polysulfone membranes. Sep. Purif. Technol. 2016, 166, 41–47. [Google Scholar] [CrossRef] [Green Version]
- Zhang, Y.; Shan, L.; Tu, Z.; Zhang, Y. Preparation and characterization of novel Ce-doped nonstoichiometric nanosilica/polysulfone composite membranes. Sep. Purif. Technol. 2008, 63, 207–212. [Google Scholar] [CrossRef]
- Ionita, M.; Pandele, A.M.; Crica, L.; Pilan, L. Improving the thermal and mechanical properties of polysulfone by incorporation of graphene oxide. Compos. Part B 2014, 59, 133–139. [Google Scholar] [CrossRef]
- Ionita, M.; Vasile, E.; Crica, L.E.; Voicu, S.I.; Pandele, A.M.; Dinescu, S.; Predoiu, L.; Galateanu, B.; Hermenean, A.; Costache, M. Synthesis, characterization and in vitro studies of polysulfone/graphene oxide composite membranes. Compos. Part B 2015, 72, 108–115. [Google Scholar] [CrossRef]
- Ionita, M.; Pandele, M.A.; Iovu, H. Sodium alginate/graphene oxide composite films with enhanced thermal and mechanical properties. Carbohydr. Polym. 2013, 94, 339–344. [Google Scholar] [CrossRef]
- Bouchareb, S.; Doufnoune, R.; Riahi, F.; Cherif-Silini, H.; Belbahri, L. High performance of polysulfone/graphene oxide-silver nanocomposites with excellent antibacterial capability for medical applications. Mater. Today Commun. 2021, 27, 102297. [Google Scholar] [CrossRef]
- Johra, F.T.; Lee, J.-W.; Jung, W.-G. Facile and safe graphene preparation on solution based platform. J. Ind. Eng. Chem. 2014, 20, 2883–2887. [Google Scholar] [CrossRef]
- Zhao, H.; Wu, L.; Zhou, Z.; Zhang, L.; Chen, H. Improving the antifouling property of polysulfone ultrafiltration membrane by incorporation of isocyanate-treated graphene oxide. Phys. Chem. Chem. Phys. 2013, 15, 9084–9092. [Google Scholar] [CrossRef]
- Mahlambi, M.; Vilakati, G.D.; Mamba, B. Synthesis, characterization, and visible light degradation of rhodamine B dye by carbon-covered alumina supported Pd-TiO2/polysulfone membranes. Sep. Sci. Technol. 2014, 49, 2124–2134. [Google Scholar] [CrossRef]
- Pintilie, S.C.; Tiron, L.G.; Lazar, A.L.; Vlad, M.; Birsan, I.G.; Balta, S. The influence of ZnO/TiO2 nanohybrid blending on the Uutrafiltration polysulfone membranes. Mater. Plast. 2018, 55, 54. [Google Scholar] [CrossRef]
- Moradihamedani, P.; Ibrahim, N.A.; Ramimoghadam, D.; Yunus, W.M.Z.W.; Yusof, N.A. Polysulfone/zinc oxide nanoparticle mixed matrix membranes for CO2/CH4 separation. J. Appl. Polym. Sci. 2014, 131, 39745. [Google Scholar] [CrossRef]
- Alhoshan, M.; Alam, J.; Dass, L.A.; Al-Homaidi, N. Fabrication of polysulfone/ZnO membrane: Influence of ZnO nanoparticles on membrane characteristics. Adv. Polym. Technol. 2013, 32, 21369. [Google Scholar] [CrossRef]
- Yu, L.; Zhang, Y.; Zhang, B.; Liu, J.; Zhang, H.; Song, C. Preparation and characterization of HPEI-GO/PES ultrafiltration membrane with antifouling and antibacterial properties. J. Membr. Sci. 2013, 447, 452–462. [Google Scholar] [CrossRef]
- Arribas, P.; Khayet, M.; García-Payo, M.C.; Gil, L. Self-sustained electro-spun polysulfone nano-fibrous membranes and their surface modification by interfacial polymerization for micro- and ultra-filtration. Sep. Purif. Technol. 2014, 138, 118–129. [Google Scholar] [CrossRef]
- Rezaee, R.; Nasseri, S.; Mahvi, A.H.; Nabizadeh, R.; Mousavi, S.A.; Rashidi, A.; Jafari, A.; Nazmara, S. Fabrication and characterization of a polysulfone-graphene oxide nanocomposite membrane for arsenate rejection from water. J. Environ. Health Sci. Eng. 2015, 13, 61. [Google Scholar] [CrossRef] [Green Version]
- Suja, P.S.; Reshmi, C.R.; Sagitha, P.; Sujith, A. Electrospun Nanofibrous Membranes for Water Purification. Polym. Rev. 2017, 57, 467–504. [Google Scholar] [CrossRef]
- Zambare, R.S.; Dhopte, K.B.; Nemade, P.R.; Tang, C.Y. Effect of oxidation degree of GO nanosheets on microstructure and performance of polysulfone-GO mixed matrix membranes. Sep. Purif. Technol. 2020, 244, 116865. [Google Scholar] [CrossRef]
- Möckel, D.; Staude, E.; Dal-Cin, M.; Darcovich, K.; Guiver, M. Tangential flow streaming potential measurements: Hydrodynamic cell characterization and zeta potentials of carboxylated polysulfone membranes. J. Membr. Sci. 1998, 145, 211–222. [Google Scholar] [CrossRef] [Green Version]
- Bahmani, P.; Maleki, A.; Daraei, H.; Rezaee, R.; Khamforoush, M.; Dehestani Athar, S.; Gharibi, F.; Ziaee, A.H.; McKay, G. Application of modified electrospun nanofiber membranes with α-Fe2O3 nanoparticles in arsenate removal from aqueous media. Environ. Sci. Pollut. Res. 2019, 26, 21993–22009. [Google Scholar] [CrossRef]
- Zeeshan, M.H.; Khan, R.U.; Shafiq, M.; Sabir, A. Polyamide intercalated nanofiltration membrane modified with biofunctionalized core shell composite for efficient removal of arsenic and selenium from wastewater. J. Water Process Eng. 2020, 34, 101175. [Google Scholar] [CrossRef]
- Smedley, P.; Kinniburgh, D. Source and behaviour of arsenic in natural waters. In United Nations Synthesis Report on Arsenic in Drinking-Water; British Geological Survey: Wallingford, UK, 2001. [Google Scholar]
- Seidel, A.; Waypa, J.J.; Elimelech, M. Role of charge (Donnan) exclusion in removal of arsenic from water by a negatively charged porous nanofiltration membrane. Environ. Eng. Sci. 2001, 18, 105–113. [Google Scholar] [CrossRef]
- Tanne, N.; Xu, R.; Zhou, M.; Zhang, P.; Wang, X.; Wen, X. Influence of pore size and membrane surface properties on arsenic removal by nanofiltration membranes. Front. Environ. Sci. Eng. 2019, 13, 19. [Google Scholar] [CrossRef]










| Membranes | Polymer | Filler | Applied Voltage (kV) | Flow Rate (mL/h) | Distance between Collector and Needle Tip (cm) | Conductivity at 25 °C (mS/cm) | Viscosity at 25 °C (Pa.s) |
|---|---|---|---|---|---|---|---|
| P | 20% PSf | --- | 15 | 1.5 | 15 | 177 | 1.608 |
| GP1 | 0.01% GO | 15 | 1.5 | 15 | 111 | 1.48 | |
| GP2 | 0.1% GO | 17.25 | 1.5 | 15 | 186 | 1.887 | |
| ZP1 | 0.5% ZnO | 13.5 | 1.5 | 15 | 241 | 1.137 | |
| ZP2 | 1% ZnO | 17.25 | 1.5 | 15 | 230 | 1.316 |
| Functional Group | Peak Position in Terms of Wavelength (cm−1) | ||||
|---|---|---|---|---|---|
| P | GP-1 | GP-2 | ZP-1 | ZP-2 | |
| –OH | --- | 3000 | 3310 | --- | --- |
| C=O | --- | 1643 | 1637 | --- | --- |
| Benzene ring | 1584 | 1584 | 1584 | 1584 | 1584 |
| C–OH | --- | 1403 | 1403 | --- | --- |
| C–O–C | 1241 | 1241 | 1241 | 1241 | 1244 |
| O–S–O | 1149 | 1149 | 1152 | 1149 | 1149 |
| C–O | --- | 1104 | 1104 | --- | --- |
| C–H | 1013 | 1015 | 1015 | 1015 | 1012 |
| C–H | 834 | 834 | 834 | 834 | 834 |
| Zn–O | --- | --- | --- | 588 | 591 |
| Zn–O | --- | --- | --- | 1118 | 1118 |
| Elements (Atomic wt%) | P | GP-1 | GP-2 | ZP-1 | ZP-2 |
|---|---|---|---|---|---|
| C | 84.9 | 84.8 | 84.5 | 83.5 | 83.2 |
| O | 12.4 | 12.2 | 11.9 | 12.8 | 13.0 |
| S | 2.7 | 3.1 | 3.6 | 3.4 | 3.6 |
| Zn | N/A | N/A | N/A | 0.3 | 0.2 |
| Deconvoluted Peaks (Atomic wt%) | P | GP-1 | GP-2 | ZP-1 | ZP-2 |
|---|---|---|---|---|---|
| C=C | 71.7 | 68.3 | 63.6 | 65.2 | 64.7 |
| C–C | 13.1 | 11 | 4.8 | 20.3 | 15.5 |
| C–S | 8.1 | 0.6 | 0.4 | 1.6 | 3.7 |
| C–O–C | 7.1 | 12.6 | 22 | 12.9 | 16.1 |
| O–C=O | --- | 7.5 | 9.3 | --- | --- |
| Membrane | Average Fiber Diameter (nm) | Surface Area (m2/g) | Porosity (%) | Pore Size (nm) | Contact Angle (°) | |
|---|---|---|---|---|---|---|
| BET | Pore | |||||
| P | 387 | 55.1 | 73.3 | 57.09 | 0.65 | 125 ± 2 |
| GP-1 | 251 | 20.88 | 72.98 | 77.76 | 1.83 | 100 ± 3 |
| GP-2 | 216 | 6.39 | 39.27 | 86 | 1.75 | 97 ± 2 |
| ZP-1 | 218 | 57.65 | 64.96 | 52.98 | 0.66 | 124 ± 1 |
| ZP-2 | 341 | 16.82 | 62.95 | 78.92 | 1.71 | 119 ± 6 |
| Membrane | Water Permeability (L hr−1 m−2 bar−1) | As(III) Removal (%) | As(V) Removal (%) | ||
|---|---|---|---|---|---|
| Pure Water | As(III)- Contaminated Water | As(V)- Contaminated Water | |||
| P | 15 | 8 | 7 | 27 | 30 |
| GP-1 | 1 | 1 | 0.8 | 24 | 13 |
| GP-2 | 1.3 | 0.8 | 0.4 | 19 | 60 |
| ZP-1 | 0.3 | 0.1 | 0.1 | 8 | 17 |
| ZP-2 | 13 | 13 | 11 | 27 | 71 |
Publisher’s Note: MDPI stays neutral with regard to jurisdictional claims in published maps and institutional affiliations. |
© 2022 by the authors. Licensee MDPI, Basel, Switzerland. This article is an open access article distributed under the terms and conditions of the Creative Commons Attribution (CC BY) license (https://creativecommons.org/licenses/by/4.0/).
Share and Cite
Siddique, T.; Balu, R.; Mata, J.; Dutta, N.K.; Roy Choudhury, N. Electrospun Composite Nanofiltration Membranes for Arsenic Removal. Polymers 2022, 14, 1980. https://doi.org/10.3390/polym14101980
Siddique T, Balu R, Mata J, Dutta NK, Roy Choudhury N. Electrospun Composite Nanofiltration Membranes for Arsenic Removal. Polymers. 2022; 14(10):1980. https://doi.org/10.3390/polym14101980
Chicago/Turabian StyleSiddique, Tawsif, Rajkamal Balu, Jitendra Mata, Naba K. Dutta, and Namita Roy Choudhury. 2022. "Electrospun Composite Nanofiltration Membranes for Arsenic Removal" Polymers 14, no. 10: 1980. https://doi.org/10.3390/polym14101980
APA StyleSiddique, T., Balu, R., Mata, J., Dutta, N. K., & Roy Choudhury, N. (2022). Electrospun Composite Nanofiltration Membranes for Arsenic Removal. Polymers, 14(10), 1980. https://doi.org/10.3390/polym14101980

