Effects of Organic Based Heat Stabilizer on Properties of Polyvinyl Chloride for Pipe Applications: A Comparative Study with Pb and CaZn Systems
Abstract
:1. Introduction
2. Materials and Methods
2.1. Materials
2.2. Sample Preparation
2.3. Research Methods
2.3.1. Physical Property
2.3.2. Mechanical Property
2.3.3. Thermal Degradation Analysis
2.3.4. Kinetic Analysis and Methods
- 2
3. Results
3.1. Fusion Characteristics of PVC Compounds Stabilized with Various Heat Stabilizers
3.2. Static Thermal Stability of PVC Stabilized with Various Heat Stabilizers
3.3. Thermal Degradation Behaviors of PVC Stabilized with Various Heat Stabilizers
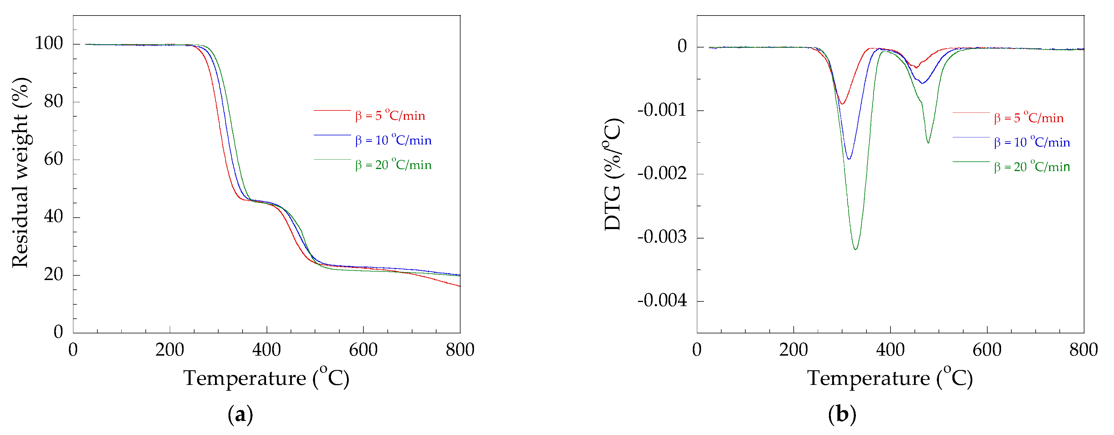
3.3.1. Thermogravimetric Analysis (TGA)
3.3.2. Thermal Degradation Kinetics Analysis
3.4. Effect of Repeated Processing Cycles on Gelation Behavior of PVC Stabilized with Various Heat Stabilizers
3.5. Mechanical Property as a Function of Repeated Processing Cycle of Rigid PVC Stabilized with Various Heat Stabilizers
3.6. Heat Distortion Temperature as a Function of Repeated Processing Cycle of Rigid PVC Stabilized with Various Heat Stabilizers
4. Conclusions
Author Contributions
Funding
Institutional Review Board Statement
Informed Consent Statement
Data Availability Statement
Conflicts of Interest
References
- Wilkes, C.E.; Summers, J.W.; Daniels, C.A. PVC Handbook; Carl Hanser Verlag: Munich, Germany, 2005; pp. 95–166. [Google Scholar]
- Asawakosinchai, A.; Jubsilp, C.; Mora, P.; Rimdusit, S. Organic heat stabilizers for polyvinyl chloride (PVC): A synergistic behavior of eugenol and uracil derivative. J. Mater. Eng. Perform. 2017, 26, 4781–4788. [Google Scholar] [CrossRef]
- Ye, F.; Ye, Q.; Zhan, H.; Ge, Y.; Ma, X.; Xu, Y.; Wang, X. Synthesis and study of zinc orotate and its synergistic effect with commercial stabilizers for stabilizing poly(vinyl chloride). Polymers 2019, 11, 194. [Google Scholar] [CrossRef] [Green Version]
- Turner, A.; Filella, M. Hazardous metal additives in plastics and their environmental impacts. Environ. Int. 2021, 156, 106622. [Google Scholar] [CrossRef] [PubMed]
- Vrandecic, N.S.; Klaric, I.; Roje, U. Effect of Ca/Zn stabilizer on thermal degradation of poly(vinyl chloride)/chlorimated polyethylene blends. Polym. Degrad. Stab. 2001, 74, 203–212. [Google Scholar] [CrossRef]
- Lunde, K.E.; Leadbitter, J.; Schiller, M. Sustainability assessment of stabilizer systems for use in PVC pipes. Plast. Rubber Compos. 2005, 34, 155–160. [Google Scholar] [CrossRef]
- Crompton Vinyl Additives GmbH. Organic based for rigid heat PVC. Plast. Addit. Compd. 2001, 3, 26–30. [Google Scholar] [CrossRef]
- Galwey, A.K.; Brown, M.E. A theoretical justification for the application of the Arrhenius equation to kinetics of solid state reactions (mainly ionic crystals). Proc. R. Soc. A Math. Phys. Eng. Sci. 1995, 450, 501–512. [Google Scholar] [CrossRef]
- Galwey, A.K.; Brown, M.E. Characterization of measuring instruments. In Handbook of Thermal Analysis and Calorimetry; Kinetic Background to Thermal Analysis and Calorimetry; Brown, M.E., Gallagher, P.K., Eds.; Elsevier Science Inc.: Amsterdam, The Netherlands, 1998; Volume 1, pp. 31–36. [Google Scholar]
- Kissinger, H.E. Reaction kinetics in differential thermal analysis. Anal. Chem. 1957, 29, 1702–1706. [Google Scholar] [CrossRef]
- Bao, X.; Wu, F.; Wang, J. Thermal Degradation Behavior of Epoxy Resin Containing Modified Carbon Nanotubes. Polymers 2021, 13, 3332. [Google Scholar] [CrossRef]
- Li, H.; Wang, N.; Han, X.; Yuan, H.; Xie, J. Mechanism Identification and Kinetics Analysis of Thermal Degradation for Carbon Fiber/Epoxy Resin. Polymers 2021, 13, 569. [Google Scholar] [CrossRef]
- Tiptipakorn, S.; Damrongsakkul, S.; Ando, S.; Hemvichian, K.; Rimdusit, S. Thermal degradation behaviors of polybenzoxazine and silicon-containing polyimide blends. Polym. Degrad. Stab. 2007, 92, 1265–1278. [Google Scholar] [CrossRef]
- Dueramae, I.; Jubsilp, C.; Takeichi, T.; Rimdusit, S. Thermal degradation mechanism of highly filled nano-SiO2 and polybenzoxazine. J. Therm. Anal. Calorim. 2014, 116, 435–446. [Google Scholar] [CrossRef]
- Tomaszewska, J.; Sterzyński, T.; Piszczek, K. Rigid poly(vinyl chloride) (PVC) gelation in the brabender measuring mixer. I. equilibrium state between sliding, breaking, and gelation of PVC. J. Appl. Polym. Sci. 2004, 93, 966–971. [Google Scholar] [CrossRef]
- Xu, X.; Chen, S.; Tang, W.; Qu, Y.; Wang, X. Synthesis and application of uracil derivatives as novel thermal stabilizers for rigid poly(vinyl chloride). Polym. Degrad. Stab. 2013, 98, 659–665. [Google Scholar] [CrossRef]
- Tomaszewska, J.; Sterzyński, T.; Walczak, D. Thermal stability of nanosilica-modified poly(vinyl chloride). Polymers 2021, 13, 2057. [Google Scholar] [CrossRef] [PubMed]
- Yu, J.; Sun, L.; Ma, C.; Qiao, Y.; Yao, H. Thermal degradation of PVC: A review. Waste Manag. 2016, 48, 300–314. [Google Scholar] [CrossRef] [PubMed]
- Hjertberg, T.; Sörvik, E.M. Thermal degradation of PVC. In Degradation and Stabilisation of PVC, 1st ed.; Owen, E.D., Ed.; Elsevier Applied Science Publishers: London, UK, 1984; pp. 21–80. [Google Scholar]
- Folarin, O.M.; Sadidu, E.R. Thermal stabilizers for poly(vinyl chloride). Int. J. Phys. Sci. 2011, 6, 4323–4330. [Google Scholar]
- Zweifel, H.; Maier, R.D.; Schiller, M. Plastics Additives Handbook, 6th ed.; Hanser: Munich, Germany, 2009; pp. 425–513. [Google Scholar]
- Zhang, B.-F. A Kind of OBS Organic Stabilizer and Preparation Method Thereof. CN110408166A, 5 November 2019. Available online: https://patents.google.com/patent/CN110408166A/en (accessed on 18 December 2021).
- Sabaa, M.W.; Mohamed, R.R. Organic thermal stabilizers for rigid poly(vinyl chloride). Part XIII: Eugenol (4-allyl-2-methoxy-phenol). Polym. Degrad. Stab. 2007, 92, 587–595. [Google Scholar] [CrossRef]
- van Krevelen, D.W.; te Nijenhuis, K. Properties of Polymers, 4th ed.; Elsevier: Amsterdam, The Netherlands, 2009; pp. 847–874. [Google Scholar]
- Cruz, P.P.R.; da Silva, L.C.; Fiuza, R.A., Jr.; Polli, H. Thermal dehydrochlorination of pure PVC polymer: Part I—thermal degradation kinetics by thermogravimetric analysis. J. Appl. Polym. Sci. 2021, 138, 50598. [Google Scholar] [CrossRef]
- Ye, Q.; Ma, X.; Li, B.; Jin, Z.; Xu, Y.; Fang, C.; Zhou, X.; Ge, Y.; Ye, F. Development and investigation of lanthanum sulfadiazine with calcium stearate and epoxidised soyabean oil as complex thermal stabilizers for stabilizing Poly(vinyl chloride). Polymers 2019, 11, 531. [Google Scholar] [CrossRef] [Green Version]
- Nisar, J.; Khan, M.S.; Iqbal, M.; Shah, A.; Ali, G.; Sayed, M.; Khan, R.A.; Shah, F.; Mahmood, T. Thermal decomposition study of polyvinyl chloride in the presence of commercially available oxides catalysts. Adv. Polym. Technol. 2018, 37, 2336–2343. [Google Scholar] [CrossRef]
- Guangbao, W.; Shangsuo, Y.; Jijun, X. Thermal degradation kinetics of calcium stearate/PVC composite. Results Mater. 2020, 8, 100123. [Google Scholar] [CrossRef]
- Fangling, G.; Meng, F.; Chungui, Z.; Shimin, Z.; Mingshu, Y. Thermal properties of poly(vinyl chloride)/montmorillonite nanocomposites. Polym. Degrad. Stab. 2004, 84, 289–294. [Google Scholar]
- Teh, J.W.; Cooper, A.A.; Rudin, A.; Batiste, J.L.H. Interpretation of DSC measurements of the degree of fusion of rigid PVC. J. Vinyl Technol. 1989, 11, 33–41. [Google Scholar] [CrossRef]
- Hassan, A.; Haworth, B. Impact properties of acrylate rubber-modified PVC: Influence of temperature. J. Mater. Process. Technol. 2006, 172, 341–345. [Google Scholar] [CrossRef] [Green Version]
- GF Piping Systems: Vinyl Catalog and Technical Information 2019. Available online: https://www.aciplas.com.br/assets/catalogo_vinis_georg_fischer_2019.pdf (accessed on 27 November 2021).
- Physical and Mechanical Properties of Thai Pipe, uPVC Pipe and Fitting. Available online: https://www.thaipipe.co.th/demos/product/content-01/01/pic-b/05.pdf (accessed on 27 November 2021).













| PVC Compound | Brabender Plasticorder Value | Torque (Nm) | Time (s) | Stock Temp. (°C) | Gelation Speed (Nm/min) | Fusion Time (A–X) (s) |
|---|---|---|---|---|---|---|
| PVC/Pb | Loading peak, A Minimum, B Inflection point, G Maximum, X End, E | 40 8.5 19 31.0 27.5 | 10 135 290 330 600 | 150 178 187 193 202 | 5.64 | 320 |
| PVC/CaZn | Loading peak, A Minimum, B Inflection point, G Maximum, X End, E | 39 6.5 18.5 31.5 26.5 | 8 82 420 460 900 | 148.5 172.5 185 192 201 | 4.11 | 452 |
| PVC/OBS | Loading peak, A Minimum, B Inflection point, G Maximum, X End, E | 33.5 6.5 16.5 26.7 23.0 | 5 135 527 586 900 | 143.5 174 187 193 198.5 | 2.73 | 581 |
Publisher’s Note: MDPI stays neutral with regard to jurisdictional claims in published maps and institutional affiliations. |
© 2021 by the authors. Licensee MDPI, Basel, Switzerland. This article is an open access article distributed under the terms and conditions of the Creative Commons Attribution (CC BY) license (https://creativecommons.org/licenses/by/4.0/).
Share and Cite
Jubsilp, C.; Asawakosinchai, A.; Mora, P.; Saramas, D.; Rimdusit, S. Effects of Organic Based Heat Stabilizer on Properties of Polyvinyl Chloride for Pipe Applications: A Comparative Study with Pb and CaZn Systems. Polymers 2022, 14, 133. https://doi.org/10.3390/polym14010133
Jubsilp C, Asawakosinchai A, Mora P, Saramas D, Rimdusit S. Effects of Organic Based Heat Stabilizer on Properties of Polyvinyl Chloride for Pipe Applications: A Comparative Study with Pb and CaZn Systems. Polymers. 2022; 14(1):133. https://doi.org/10.3390/polym14010133
Chicago/Turabian StyleJubsilp, Chanchira, Aran Asawakosinchai, Phattarin Mora, Duangporn Saramas, and Sarawut Rimdusit. 2022. "Effects of Organic Based Heat Stabilizer on Properties of Polyvinyl Chloride for Pipe Applications: A Comparative Study with Pb and CaZn Systems" Polymers 14, no. 1: 133. https://doi.org/10.3390/polym14010133
APA StyleJubsilp, C., Asawakosinchai, A., Mora, P., Saramas, D., & Rimdusit, S. (2022). Effects of Organic Based Heat Stabilizer on Properties of Polyvinyl Chloride for Pipe Applications: A Comparative Study with Pb and CaZn Systems. Polymers, 14(1), 133. https://doi.org/10.3390/polym14010133

