Wastes from Agricultural Silage Film Recycling Line as a Potential Polymer Materials
Abstract
1. Introduction
2. Materials and Methods
2.1. Materials
2.2. Sample Preparation
2.3. Measurements
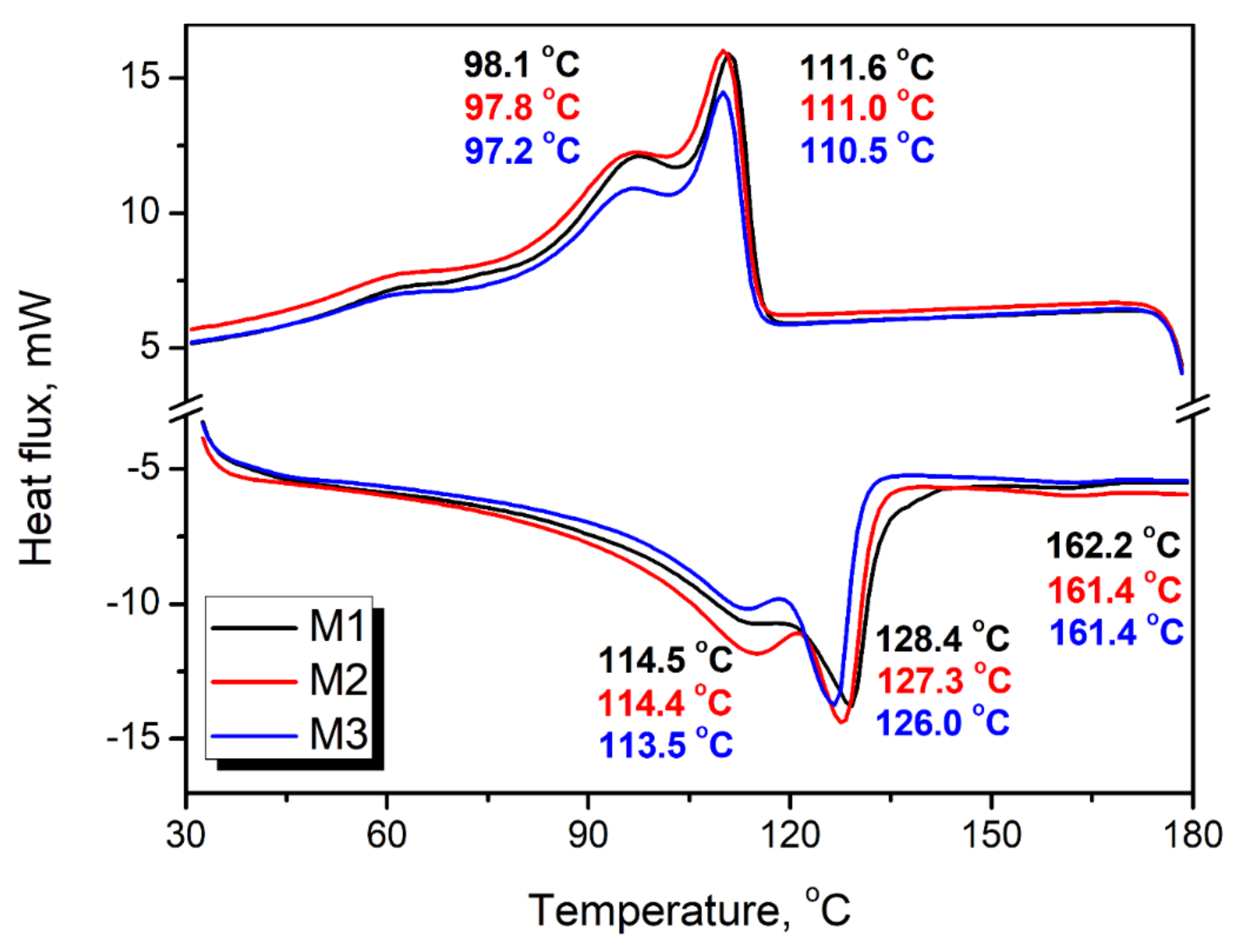
3. Results
3.1. Characterization of Applied Wastes
3.2. Compatibilization of Wastes
4. Conclusions and Future Directions of Research
Author Contributions
Funding
Institutional Review Board Statement
Informed Consent Statement
Data Availability Statement
Conflicts of Interest
References
- Scarascia-Mugnozza, G.; Sica, C.; Russo, G. Plastic Materials in European Agriculture: Actual Use and Perspectives. J. Agric. Eng. 2012, 42, 15–28. [Google Scholar] [CrossRef]
- Espí, E.; Salmerón, A.; Fontecha, A.; García, Y.; Real, A.I. Plastic films for agricultural applications. J. Plast. Film Sheeting 2006, 22, 85–102. [Google Scholar] [CrossRef]
- Serrano-Ruiz, H.; Martin-Closas, L.; Pelacho, A.M. Biodegradable plastic mulches: Impact on the agricultural biotic environment. Sci. Total Environ. 2020, 750, 141228. [Google Scholar] [CrossRef] [PubMed]
- Pazienza, P.; De Lucia, C. For a new plastics economy in agriculture: Policy reflections on the EU strategy from a local perspective. J. Clean. Prod. 2020, 253, 119844. [Google Scholar] [CrossRef]
- Snell, H.G.J.; Oberndorfer, C.; Lucke, W.; Van den Weghe, H.F.A. Effects of the colour and thickness of polyethylene film on ensiling conditions and silage quality of chopped maize, as investigated under ambient conditions and in mini-silos. Grass Forage Sci. 2002, 57, 342–350. [Google Scholar] [CrossRef]
- Hancock, D.W.; Collins, M. Forage Preservation Method Influences Alfalfa Nutritive Value and Feeding Characteristics. Crop Sci. 2006, 46, 688. [Google Scholar] [CrossRef]
- Wilkinson, J.M.; Muck, R.E. Ensiling in 2050: Some challenges and opportunities. Grass Forage Sci. 2019, 74, 178–187. [Google Scholar] [CrossRef]
- Chen, Y.; Sharma-Shivappa, R.R.; Chen, C. Ensiling Agricultural Residues for Bioethanol Production. Appl. Biochem. Biotechnol. 2007, 143, 80–92. [Google Scholar] [CrossRef] [PubMed]
- Yang, N.; Sun, Z.X.; Feng, L.S.; Zheng, M.Z.; Chi, D.C.; Meng, W.Z.; Hou, Z.Y.; Bai, W.; Li, K.Y. Plastic Film Mulching for Water-Efficient Agricultural Applications and Degradable Films Materials Development Research. Mater. Manuf. Process. 2014, 30, 143–154. [Google Scholar] [CrossRef]
- Zhou, B.; Wang, J.; Zhang, H.; Shi, H.; Fei, Y.; Huang, S.; Tong, Y.; Wei, D.; Luo, Y.; Barceló, D. Microplastics in agricultural soils on the coastal plain of Hangzhou Bay, east China: Multiple sources other than plastic mulching film. J. Hazard. Mater. 2019, 388, 121814. [Google Scholar] [CrossRef]
- Koitabashi, M.; Sameshima-Yamashita, Y.; Watanabe, T.; Shinozaki, Y.; Kitamoto, H. Phylloplane Fungal Enzyme Accelerate Decomposition of Biodegradable Plastic Film in Agricultural Settings. JARQ Jpn. Agric. Res. Q. 2016, 50, 229–234. [Google Scholar] [CrossRef]
- Briassoulis, D.; Aristopoulou, A.; Bonora, M.; Verlodt, I. Degradation Characterisation of Agricultural Low-density Polyethylene Films. Biosyst. Eng. 2004, 88, 131–143. [Google Scholar] [CrossRef]
- San Miguel, G.; Serrano, D.P.; Aguado, J. Valorization of Waste Agricultural Polyethylene Film by Sequential Pyrolysis and Catalytic Reforming. Ind. Eng. Chem. Res. 2009, 48, 8697–8703. [Google Scholar] [CrossRef]
- Briassoulis, D.; Hiskakis, M.; Babou, E. Technical specifications for mechanical recycling of agricultural plastic waste. Waste Manag. 2013, 33, 1516–1530. [Google Scholar] [CrossRef] [PubMed]
- Ramos, L.; Berenstein, G.; Hughes, E.A.; Zalts, A.; Montserrat, J.M. Polyethylene film incorporation into the horticultural soil of small periurban production units in Argentina. Sci. Total Environ. 2015, 523, 74–81. [Google Scholar] [CrossRef]
- Plastics Europe. Association of Plastic Manufacturers. Plastics—The Facts. 2018. Available online: https://www.plasticseurope.org/application/files/6315/4510/9658/Plastics_the_facts_2018_AF_web.pdf (accessed on 20 March 2020).
- Shah, F.; Wu, W. Use of plastic mulch in agriculture and strategies to mitigate the associated environmental concerns. Adv. Agronom. 2020, 164, 231–287. [Google Scholar] [CrossRef]
- Goldberger, J.R.; DeVetter, L.W.; Dentzman, K.E. Polyethylene and Biodegradable Plastic Mulches for Strawberry Production in the United States: Experiences and Opinions of Growers in Three Regions. Hort Technol. 2019, 29, 619–628. [Google Scholar] [CrossRef]
- Geyer, R.; Jambeck, J.R.; Law, K.L. Production, use, and fate of all plastics ever made. Sci. Adv. 2017, 3, e1700782. [Google Scholar] [CrossRef]
- Wong, J.K.H.; Lee, K.K.; Tang, K.H.D.; Yap, P.S. Microplastics in the freshwater and terrestrial environments: Prevalence, fates, impacts and sustainable solutions. Sci. Total Environ. 2020, 719, 137512. [Google Scholar] [CrossRef]
- Hayes, D.G.; Anunciado, M.B.; DeBruyn, J.M.; Bandopadhyay, S.; Schaeffer, S.; English, M.; Ghimire, S.; Miles, C.; Flury, M.; Sintim, H.Y. Biodegradable plastic mulch films for sustainable specialty crop production. In Polymers for Agri-Food Applications; Gutiérrez, T.J., Ed.; Springer: Cham, Switzerland, 2019; pp. 183–213. [Google Scholar] [CrossRef]
- Qi, R.; Jones, D.L.; Li, Z.; Liu, Q.; Yan, C. Behavior of microplastics and plastic film residues in the soil environment: A critical review. Sci. Total Environ. 2019, 703, 134722. [Google Scholar] [CrossRef]
- Qi, Y.; Ossowicki, A.; Yang, X.; Lwanga, E.H.; Dini-andreote, F.; Geissen, V.; Garbeva, P. Effects of plastic mulch film residues on wheat rhizosphere and soil properties. J. Hazard. Mater. 2020, 387, 121711. [Google Scholar] [CrossRef] [PubMed]
- Le Moine, B.; Ferry, X. Plasticulture: Economy of resources. Acta Hortic. 2019, 1252, 121–130. [Google Scholar] [CrossRef]
- Prata, J.C.; Silva, A.L.P.; da Costa, J.P.; Mouneyrac, C.; Walker, T.R.; Duarte, A.C.; Rocha-Santos, T. Solutions and Integrated Strategies for the Control and Mitigation of Plastic and Microplastic Pollution. Int. J. Environ. Res. Public Health 2019, 16, 2411. [Google Scholar] [CrossRef]
- Singh, N.; Hui, D.; Singh, R.; Ahuja, I.P.S.; Feo, L.; Fraternali, F. Recycling of plastic solid waste: A state of art review and future applications. Compos. Part B Eng. 2017, 115, 409–422. [Google Scholar] [CrossRef]
- Sobczak, L.; Brüggemann, O.; Putz, R.F. Polyolefin composites with natural fibers and wood-modification of the fiber/filler-matrix interaction. J. Appl. Polym. Sci. 2012, 127, 1–17. [Google Scholar] [CrossRef]
- Lu, J.Z.; Wu, Q.; Negulescu, I.I. Wood-fiber/high-density-polyethylene composites: Coupling agent performance. J. Appl. Polym. Sci. 2005, 96, 93–102. [Google Scholar] [CrossRef]
- Rayaz Khan, M.Z.; Srivastava, S.K.; Gupta, M.K. A state-of-the-art review on particulate wood polymer composites: Processing, properties and applications. Polym. Test. 2020, 89, 106721. [Google Scholar] [CrossRef]
- Ellis, W.D. Wood-Polymer Composites: Review of Processes and Properties. Mol. Cryst. Liq. Crys. A 2020, 353, 75–84. [Google Scholar] [CrossRef]
- Saratale, R.G.; Cho, S.K.; Saratale, G.D.; Kadam, A.A.; Ghodake, G.S.; Kumar, M.; Bharagava, R.N.; Kumar, G.; Kim, D.S.; Mulla, S.I.; et al. A comprehensive overview and recent advances on polyhydroxyalkanoates (PHA) production using various organic waste streams. Bioresour. Technol. 2021, 325, 124685. [Google Scholar] [CrossRef]
- Drelich, J.; Miller, J.D. A critical review of wetting and adhesion phenomena in the preparation of polymer-mineral composites. Min. Metall. Explor. 1995, 12, 197–204. [Google Scholar] [CrossRef]
- Chen, Z.; Shahrajabian, H.; Bagherzadeh, S.A.; Maleki, A.; Bach, Q.W. The impact energy analysis by genetic algorithm and response surface methods to study the plastic composite, compatibilizer, and recycled poly effects. J. Therm. Anal. Calorim. 2020, 141, 421–433. [Google Scholar] [CrossRef]
- Koning, C. Strategies for compatibilization of polymer blends. Progress Polym. Sci. 1998, 23, 707–757. [Google Scholar] [CrossRef]
- Pracella, M.; Haque, M.M.U.; Alvarez, V. Functionalization, Compatibilization and Properties of Polyolefin Composites with Natural Fibers. Polymers 2010, 2, 554–574. [Google Scholar] [CrossRef]
- Bula, K.; Jesionowski, T. Effect of Polyethylene Functionalization on Mechanical Properties and Morphology of PE/SiO2 Composites. Compos. Interfaces 2010, 17, 603–614. [Google Scholar] [CrossRef]
- Keener, T.; Stuart, R.; Brown, T. Maleated coupling agents for natural fibre composites. Compos. Part A Appl. Sci. Manuf. 2004, 35, 357–362. [Google Scholar] [CrossRef]
- Soto, J.M.; Martín-Lara, M.A.; Blázquez, G.; Godoy, V.; Quesada, L.; Calero, M. Novel pre-treatment of dirty post-consumer polyethylene film for its mechanical recycling. Process Saf. Environ. 2020, 139, 315–324. [Google Scholar] [CrossRef]
- Picuno, C.; Alassali, A.; Sundermann, M.; Godosi, Z.; Picuno, P.; Kuchta, K. Decontamination and recycling of agrochemical plastic packaging waste. J. Hazard. Mater. 2020, 381, 120965. [Google Scholar] [CrossRef] [PubMed]
- Korol, J.; Lenża, J.; Formela, K. Manufacture and research of TPS/PE biocomposites properties. Compos. Part B Eng. 2015, 68, 310–316. [Google Scholar] [CrossRef]
- Rodrigues Passos Severino, P.; Larissa do Amaral Montanheiro, T.; Ferro, O.; Roberto Passador, F.; Stieven Montagna, L. Protective Low-Density Polyethylene Residues from Prepreg for the Development of New Nanocomposites with Montmorillonite: Recycling and Characterization. Recycling 2019, 4, 45. [Google Scholar] [CrossRef]
- Jung, M.R.; Horgen, F.D.; Orski, S.V.; Rodriguez, C.V.; Beers, K.L.; Balazs, G.H.; Todd Jones, T.; Work, T.M.; Brignac, K.C.; Royer, S.J.; et al. Validation of ATR FT-IR to identify polymers of plastic marine debris, including those ingested by marine organisms. Mar. Pollut. Bull. 2018, 127, 704–716. [Google Scholar] [CrossRef]
- Gulmine, J.; Janissek, P.; Heise, H.; Akcelrud, L. Polyethylene characterization by FTIR. Polym. Test. 2002, 21, 557–563. [Google Scholar] [CrossRef]
- Nishikida, K.; Coates, J. Infrared and Raman Analysis of Polymers. In Handbook of Plastics Analysis; Lobo, H., Bonilla, J.V., Eds.; Marcel Dekker Inc.: New York, NY, USA, 2001; pp. 186–316. [Google Scholar]
- Barczewski, M.; Szostak, M.; Nowak, D.; Piasecki, A. Effect of wood flour addition and modification of its surface on the properties of rotationally molded polypropylene composites. Polimery 2018, 63, 772–784. [Google Scholar] [CrossRef]
- Guillou, F.L.; Wetterlind, W.; Viscarra Rossel, R.A.; Hicks, W.; Grundy, M.; Tuomi, S. How does grinding affect the mid-infrared spectra of soil and their multivariate calibrations to texture and organic carbon? Soil Res. 2015, 53, 913. [Google Scholar] [CrossRef]
- Bruckman, V.J.; Wriessnig, K. Improved soil carbonate determination by FT-IR and X-ray analysis. Environ. Chem. Lett. 2012, 11, 65–70. [Google Scholar] [CrossRef] [PubMed]
- Benítez, A.; Sánchez, J.J.; Arnal, M.L.; Müller, A.J.; Rodríguez, O.; Morales, G. Abiotic degradation of LDPE and LLDPE formulated with a pro-oxidant additive. Polym. Degrad. Stabil. 2013, 98, 490–501. [Google Scholar] [CrossRef]
- Ali, S.S.; Qazi, I.A.; Arshad, M.; Khan, Z.; Voice, T.C.; Mehmood, C.T. Photocatalytic degradation of low density polyethylene (LDPE) films using titania nanotubes. Environ. Nanotechnol. Monit. Manag. 2016, 5, 44–53. [Google Scholar] [CrossRef]
- Elanmugilan, M.; Sreekumar, P.A.; Singha, N.; De, S.K.; Al-Harthi, M. Natural weather aging of low density polyethylene: Effect of prodegradant additive. Plast. Rubber Compos. 2014, 43, 347–353. [Google Scholar] [CrossRef]
- Almond, J.; Sugumaar, P.; Wenzel, M.; Hill, G.; Wallis, C. Determination of the carbonyl index of polyethylene and polypropylene using specified area under band methodology with ATR-FTIR spectroscopy. e-Polymers 2020, 20, 369–381. [Google Scholar] [CrossRef]
- Moldovan, A.; Patachia, S.; Buican, R.; Tierean, M.H. Characterization of polyolefins wastes by FTIR spectroscopy. Bull. Transilv. Univ. Brasov Ser. I Eng. Sci. 2012, 5, 65–72. [Google Scholar]
- Maalihan, R.D.; Pajarito, B.B. Effect of colorant, thickness, and pro-oxidant loading on degradation of low-density polyethylene films during thermal aging. J. Plast. Film Sheeting 2015, 32, 124–129. [Google Scholar] [CrossRef]
- Gulmine, J.V.; Janissek, P.R.; Heise, H.M.; Akcelrud, L. Degradation profile of polyethylene after artificial accelerated weathering. Polym. Degrad. Stabil. 2003, 79, 385–397. [Google Scholar] [CrossRef]
- Albertsson, A.C.; Barenstedt, C.; Karlsson, S.; Lindberg, T. Degradation product pattern and morphology changes as means to differentiate abiotically and biotically aged degradable polyethylene. Polymer 1995, 36, 3075–3083. [Google Scholar] [CrossRef]
- Bonhomme, S.; Cuer, A.; Delort, A.M.; Lemaire, J.; Sancelme, M.; Scott, G. Environmental biodegradation of polyethylene. Polym. Degrad. Stabil. 2003, 81, 441–452. [Google Scholar] [CrossRef]
- Anour, S.; Abdalah, K.; Rabea, E.; Shalh, A.; Hassan, E.; Elhari, W. The Influence of LDPE Content on the Mechanical Properties of HDPE/LDPE Blends. Res. Dev. Material. Sci. 2018, 7. [Google Scholar] [CrossRef]
- Li, D.; Zhou, L.; Wang, X.; He, L.; Yang, X. Effect of Crystallinity of Polyethylene with Different Densities on Breakdown Strength and Conductance Property. Materials 2019, 12, 1746. [Google Scholar] [CrossRef] [PubMed]
- Jaziri, M.; Barhoumi, N.; Massardier, V.; Mélis, F. Blending PP with PA6 industrial wastes: Effect of the composition and the compatibilization. J. Appl. Polym. Sci. 2007, 107, 3451–3458. [Google Scholar] [CrossRef]
- Munaro, M.; Akcelrud, L. Correlations between composition and crystallinity of LDPE/HDPE blends. J. Polym. Res. 2007, 15, 83–88. [Google Scholar] [CrossRef]
- Fonseca, C.A.; Harrison, I.R. An investigation of co-crystallization in LDPE/HDPE blends using DSC and TREF. Thermochim. Acta 1998, 313, 37–41. [Google Scholar] [CrossRef]
- Furukawa, T.; Sato, H.; Kita, Y.; Matsukawa, K.; Yamaguchi, H.; Ochiai, S.; Siesler, H.W.; Ozaki, Y. Molecular Structure, Crystallinity and Morphology of Polyethylene/Polypropylene Blends Studied by Raman Mapping, Scanning Electron Microscopy, Wide Angle X-ray Diffraction, and Differential Scanning Calorimetry. Polym. J. 2006, 38, 1127–1136. [Google Scholar] [CrossRef]
- El Hajj, N.; Seif, S.; Zgheib, N. Recycling of poly(propylene)-based car bumpers as carrier resin for short glass fiber composites. J. Mater. Cycles Waste Manag. 2021, 23, 288–300. [Google Scholar] [CrossRef]
- Kargin, V.A.; Sogolova, T.I.; Shaposhnikova, T.K. The mechanism of the nucleation effect of solid particles in crystallizing polymers. Polym. Sci. USSR 1965, 7, 423–428. [Google Scholar] [CrossRef]
- Mengeloglu, F.; Karakus, K. Thermal Degradation, Mechanical Properties and Morphology of Wheat Straw Flour Filled Recycled Thermoplastic Composites. Sensors 2008, 8, 500–519. [Google Scholar] [CrossRef] [PubMed]
- Vanreppelen, K.; Vanderheyden, S.; Kuppens, T.; Schreurs, S.; Yperman, J.; Carleer, R. Activated carbon from pyrolysis of brewer’s spent grain: Production and adsorption properties. Waste Manag. Res. 2014, 32, 634–645. [Google Scholar] [CrossRef]
- Aboulkas, A.; El Harfi, K.; El Bouadili, A. Thermal degradation behaviors of polyethylene and polypropylene. Part I: Pyrolysis kinetics and mechanisms. Energ. Conv. Manag. 2010, 51, 1363–1369. [Google Scholar] [CrossRef]
- Contat-Rodrigo, L.; Ribes-Greus, A.; Imrie, C.T. Thermal analysis of high-density polyethylene and low-density polyethylene with enhanced biodegradability. J. Appl. Polym. Sci. 2002, 86, 764–772. [Google Scholar] [CrossRef]
- Das, P.; Tiwari, P. Valorization of packaging plastic waste by slow pyrolysis. Resour. Conserv. Recy. 2018, 128, 69–77. [Google Scholar] [CrossRef]
- Rego, A.; Silva, A.S.; Grillo, A.V.; Santos, B.F. Thermogravimetric Study of Raw and Recycled Polyethylene Using Genetic Algorithm for Kinetic Parameters Estimation. Chem. Eng. Trans. 2019, 74, 145–150. [Google Scholar] [CrossRef]
- Shafigullin, L.N.; Romanova, N.V.; Gumerov, I.F.; Gabrakhmanov, A.T.; Sarimov, D.R. Thermal properties of polypropylene and polyethylene blends (PP/LDPE). IOP Conf. Ser. Mater. Sci. Eng. 2018, 412, 12070. [Google Scholar] [CrossRef]
- Sombatsompop, N.; Yotinwattanakumtorn, C.; Thongpin, C. Influence of type and concentration of maleic anhydride grafted polypropylene and impact modifiers on mechanical properties of PP/wood sawdust composites. J. Appl. Polym. Sci. 2005, 97, 475–484. [Google Scholar] [CrossRef]
- AbdulKadir, H.K.; Jaya, H.; Noriman, N.Z.; Dahham, O.S.; Mazelan, A.H.; Latip, N.A.; Aini, A.K. The Effects of Phthalic Anhydride On R-Hdpe/Eva/Cff Composites: Tensile and Physical Properties. IOP Conf. Ser-Mat. Sci. 2018, 454, 12191. [Google Scholar] [CrossRef]
- Yap, S.Y.; Sreekantan, S.; Hassan, M.; Sudesh, K.; Ong, M.T. Characterization and Biodegradability of Rice Husk-Filled Polymer Composites. Polymers 2021, 13, 104. [Google Scholar] [CrossRef] [PubMed]
- Srebrenkoska, V.; Bogova-Gaceva, G.; Dimeski, D. Preparation and recycling of polymer eco-composites I. comparison of the conventional molding techniques for preparation of polymer eco-composites. Maced. J. Chem. Chem. Eng. 2009, 28, 99–109. [Google Scholar] [CrossRef]
- Huang, D.; Chen, Z.; Hwang, J.-Y. Studies on Glass Fiber-Reinforced Poly(Ethylene-Grafted-Styrene)-Based Cation Exchange Membrane Composite. Materials 2020, 13, 5597. [Google Scholar] [CrossRef] [PubMed]
- Wang, Y.J.; Liu, W.; Sun, Z. Effects of glycerol and PE-g-MA on morphology, thermal and tensile properties of LDPE and rice starch blends. J. Appl. Polym. Sci. 2004, 92, 344–350. [Google Scholar] [CrossRef]
- Denac, M.; Musil, V.; Šmit, I. Polypropylene/talc/SEBS (SEBS-g-MA) composites. Part 2. Mechanical properties. Compos. Part A Appl. Sci. Manuf. 2005, 36, 1282–1290. [Google Scholar] [CrossRef]
- Wang, K.; Deng, Q. The Thermal and Mechanical Properties of Poly(ethylene-co-vinyl acetate) Random Copolymers (PEVA) and its Covalently Crosslinked Analogues (cPEVA). Polymers 2019, 11, 1055. [Google Scholar] [CrossRef]
- Borisova, B.; Kressler, J. Environmental Stress-Cracking Resistance of LDPE/EVA Blends. Macromol. Mater. Eng. 2003, 288, 509–515. [Google Scholar] [CrossRef]
- Faker, M.; Razavi Aghjeh, M.K.; Ghaffari, M.; Seyyedi, S.A. Rheology, morphology and mechanical properties of polyethylene/ethylene vinyl acetate copolymer (PE/EVA) blends. Eur. Polym. J. 2008, 44, 1834–1842. [Google Scholar] [CrossRef]
- Švab, I.; Pustak, A.; Denac, M.; Sever Škapin, A.; Leskovac, M.; Musil, V.; Šmit, I. Polypropylene Blends with m-EPR Copolymers: Mechanical and Rheological Properties. Acta Chim. Slov. 2018, 65, 344–353. [Google Scholar] [CrossRef] [PubMed]
- Wang, X.; Hu, S.; Guo, Y.; Li, G.; Xu, R. Toughened High-Flow Polypropylene with Polyolefin-Based Elastomers. Polymers 2019, 11, 1976. [Google Scholar] [CrossRef]
- Chen, J.; Cui, X.; Sui, K.; Zhu, Y.; Jiang, W. Balance the electrical properties and mechanical properties of carbon black filled immiscible polymer blends with a double percolation structure. Compos. Sci. Technol. 2017, 140, 99–105. [Google Scholar] [CrossRef]
- Banerjee, S.S.; Burbine, S.; Kodihalli Shivaprakash, N.; Mead, J. 3D-Printable PP/SEBS Thermoplastic Elastomeric Blends: Preparation and Properties. Polymers 2019, 11, 347. [Google Scholar] [CrossRef]
- Parameswaranpillai, J.; Jose, S.; Siengchin, S.; Hameed, N. Phase morphology, mechanical, dynamic mechanical, crystallization, and thermal degradation properties of PP and PP/PS blends modified with SEBS elastomer. Int. J. Plast. Technol. 2017, 21, 79–95. [Google Scholar] [CrossRef]
- Alanalp, M.B.; Durmus, A. Quantifying microstructural, thermal, mechanical and solid-state viscoelastic properties of polyolefin blend type thermoplastic elastomer compounds. Polymer 2018, 142, 267–276. [Google Scholar] [CrossRef]
- Pham, T.H.N.; Le, T.M.H.; Zhang, X.W. Effect of Ethylene Vinyl Axetate (EVA) on the Mechanical Properties of Low-Density Polyethylene/EVA Blends. Appl. Mech. Mater. 2019, 889, 223–230. [Google Scholar] [CrossRef]
- Su, B.; Zhou, Y.G.; Wu, H.H. Influence of mechanical properties of polypropylene/low-density polyethylene nanocomposites. Nanomater. Nanotechnol. 2017, 7. [Google Scholar] [CrossRef]
- Entezam, M.; Aghjeh, M.K.R.; Ghaffari, M. Electron beam irradiation induced compatibilization of immiscible polyethylene/ethylene vinyl acetate (PE/EVA) blends: Mechanical properties and morphology stability. Radiat. Phys. Chem. 2017, 131, 22–27. [Google Scholar] [CrossRef]
- Popelka, A.; Sobolčiak, P.; Mrlík, M.; Nogellova, Z.; Chodak, I.; Ouederni, M.; Al-Maadeed, M.A.; Krupa, I. Foamy phase change materials based on linear low-density polyethylene and paraffin wax blends. Emergent Mater. 2018, 1, 47–54. [Google Scholar] [CrossRef]
- Brito, G.F.; de Oliveira, A.D.; Araújo, E.M.; de Melo, T.J.A.; Barbosa, R.; Ito, E.N. Nanocompósitos de polietileno/argila bentonita nacional: Influência da argila e do agente compatibilizante PE-g-MA nas propriedades mecânicas e de inflamabilidade. Polímeros 2008, 18, 170–177. [Google Scholar] [CrossRef]
- Bassani, A.; Pessan, L.A.; Hage, E. Toughening of polypropylene with styrene/ethylene-butylene/styrene tri-block copolymer: Effects of mixing condition and elastomer content. J. Appl. Polym. Sci. 2001, 82, 2185–2193. [Google Scholar] [CrossRef]
- Elnahas, H.H.; Abdou, S.M.; El-Zahed, H.; Abdeldaym, A. Structural, morphological and mechanical properties of gamma irradiated low density polyethylene/paraffin wax blends. Rad. Phys. Chem. 2018, 151, 217–224. [Google Scholar] [CrossRef]
- Mpanza, H.S.; Luyt, A.S. Comparison of different waxes as processing agents for low-density polyethylene. Polym. Test. 2006, 25, 436–442. [Google Scholar] [CrossRef]
- Alothman, O.Y. Processing and Characterization of High Density Polyethylene/Ethylene Vinyl Acetate Blends with Different VA Contents. Adv. Mater. Sci. Eng. 2012, 2012, 1–10. [Google Scholar] [CrossRef]
- Lima, P.S.; Trocolli, R.; Wellen, R.M.R.; Rojo, L.; Lopez-Manchado, M.A.; Fook, M.V.L.; Silva, S.M.L. HDPE/Chitosan Composites Modified with PE-g-MA. Thermal, Morphological and Antibacterial Analysis. Polymers 2019, 11, 1559. [Google Scholar] [CrossRef]
- Denac, M.; Šmit, I.; Musil, V. Polypropylene/talc/SEBS (SEBS-g-MA) composites. Part 1. Structure. Compos. Part A Appl. Sci. Manuf. 2005, 36, 1094–1101. [Google Scholar] [CrossRef]
- Karger-Kocsis, J.; Kallo, A.; Szafner, A.; Bodor, G.; Senyei, Z. Morphological study on the effect of elastomeric impact 0modifiers in polypropylene systems. Polymer 1979, 20, 37–43. [Google Scholar] [CrossRef]
- Dong, W.; Wang, X.; Jiang, Z.; Tian, B.; Liu, Y.; Yang, J.; Zhou, W. Acetylated SEBS Enhanced DC Insulation Performances of Polyethylene. Polymers 2019, 11, 1033. [Google Scholar] [CrossRef] [PubMed]
- Lu, Y.; Sun, Y.; Li, L.; Men, Y. Influence of propylene-based elastomer on stress-whitening for impact copolymer. J. Appl. Polym. Sci. 2017, 134. [Google Scholar] [CrossRef]
- Mpanza, H.S.; Luyt, A.S. Influence of Different Waxes on the Physical Properties of Linear Low-density Polyethylene. S. Afr. J. Chem. 2006, 59, 48–54. [Google Scholar]
- Dalai, S.; Wenxiu, C. Radiation effects on HDPE/EVA blends. J. Appl. Polym. Sci. 2002, 86, 553–558. [Google Scholar] [CrossRef]
- Riva, A.; Zanetti, M.; Braglia, M.; Camino, G.; Falqui, L. Thermal degradation and rheological behaviour of EVA/montmorillonite nanocomposites. Polym. Degrad. Stabil. 2002, 77, 299–304. [Google Scholar] [CrossRef]
- Helal, E.; Demarquette, N.R.; David, E.; Fréchette, M.F. Polyethylene/styrenic block copolymer blends: Morphology and dielectric properties. In Proceedings of the 2014 IEEE Conference on Electrical Insulation and Dielectric Phenomena (CEIDP), Des Moines, IA, USA, 19–22 October 2014. [Google Scholar] [CrossRef]
- Banerjee, R.; Ray, S.; Ghosh, A. Microstructure Development and Its Influence on the Properties of Styrene-Ethylene-Butylene-Styrene/Polystyrene Blends. Polymers 2018, 10, 400. [Google Scholar] [CrossRef] [PubMed]
- Chang, Y.W.; Shin, J.Y.; Ryu, S.H. Preparation and properties of styrene–ethylene/butylene–styrene(SEBS)–clay hybrids. Polym. Int. 2004, 53, 1047–1051. [Google Scholar] [CrossRef]

















| Trade Name | Abbreviation | Chemical Composition | Producer |
|---|---|---|---|
| Linocene PEMA 4351 | PE-g-MA | Maleic anhydride grafted PE (~7% of MA) | Clariant (Muttenz, Switzerland) |
| Exxelor PO1015 | PP-g-MA 0.38 | Maleic anhydride grafted PP (0.38% of MA) | ExxonMobil (Irving, TX, USA) |
| Exxelor PO1020 | PP-g-MA 0.75 | Maleic anhydride grafted PP (0.75% of MA) | ExxonMobil (Irving, TX, USA) |
| Vistamaxx 6202 | PP-co-PE 15 | Isotactic PP/PE copolymer (15% of PE) | ExxonMobil (Irving, TX, USA) |
| Vistamaxx 3588FL | PP-co-PE 4 | Isotactic PP/PE copolymer (4% of PE) | ExxonMobil (Irving, TX, USA) |
| Escorene UL 5540 | EVA | Ethylene-vinyl acetate (39% of VA) | ExxonMobil (Irving, TX, USA) |
| Taipol 6150 | SEBS | SEBS block copolymer (29% of styrene) | Dow (Midland, TX, USA) |
| Taipol 7126 | SEBS-g-MA | Maleic anhydride grafted SEBS (1.5% of MA) | Dow (Midland, TX, USA) |
| Sarawax SX105 | Paraffin | Hard paraffin wax | Shell (Houston, TX, USA) |
| Wavenumber, cm−1 | Sample | ||
| M1 | M2 | M3 | |
| Absorbance | |||
| 720 | 0.1948 | 0.2147 | 0.2324 |
| 1380 | 0.0697 | 0.0667 | 0.0637 |
| 1460 | 0.1666 | 0.1817 | 0.1964 |
| 1720 | 0.0298 | 0.0248 | 0.0211 |
| Calculation Method | Carbonyl Index | ||
| Height 1720/720 [48] | 0.153 | 0.116 | 0.091 |
| Height 1720/1380 [49] | 0.428 | 0.372 | 0.331 |
| Height 1720/1460 [50] | 0.179 | 0.136 | 0.107 |
| Area (1850–1650)/(1500–1420) [51] | 0.694 | 0.548 | 0.425 |
| Area (1850–1630)/1380 [52] | 2.640 | 2.177 | 1.840 |
| Area (1700–1780)/1460 [53] | 0.279 | 0.225 | 0.184 |
| Sample | T−2%, °C | T−5%, °C | T−10%, °C | T−50%, °C | Residue at 900 °C, wt % | Tmax1, °C | Tmax2, °C |
|---|---|---|---|---|---|---|---|
| M1 | 280.0 | 303.9 | 322.5 | 461.4 | 5.22 | 324.0 | 473.7 |
| M2 | 290.2 | 309.8 | 361.5 | 472.6 | 4.60 | 306.5 | 481.7 |
| M3 | 292.0 | 313.8 | 375.0 | 475.9 | 3.35 | 308.5 | 483.7 |
| Material | Compatibilizer | TmLDPE, °C | TmHDPE, °C | XcrPE, % | TmPP, °C | XcrPP, % | TcrLDPE, °C | TcrHDPE, °C |
|---|---|---|---|---|---|---|---|---|
| M1 | - | 114.5 | 128.4 | 29.73 | 162.2 | 0.61 | 98.1 | 111.6 |
| PE-g-MA | 115.2 | 127.1 | 30.15 | 162.6 | 0.49 | 98.4 | 110.3 | |
| PP-g-MA 0.38 | 111.8 | 124.2 | 27.15 | 159.7 | 0.51 | 98.4 | 111.9 | |
| PP-g-MA 0.75 | 113.3 | 126.0 | 26.42 | 160.8 | 0.52 | 98.5 | 110.8 | |
| PP-co-PE 15 | 113.2 | 126.1 | 26.06 | 161.1 | 0.44 | 97.3 | 110.6 | |
| PP-co-PE 4 | 112.1 | 125.3 | 26.27 | 160.3 | 0.50 | 98.0 | 111.7 | |
| EVA | 111.7 | 124.5 | 26.94 | 161.7 | 0.43 | 98.1 | 111.7 | |
| SEBS | 113.0 | 126.1 | 25.68 | 161.8 | 0.51 | 97.7 | 111.1 | |
| SEBS-g-MA | 112.4 | 124.7 | 26.49 | 161.7 | 0.48 | 98.2 | 111.0 | |
| Paraffin | 112.4 | 125.2 | 26.70 | 162.1 | 0.34 | 98.0 | 111.1 | |
| M2 | - | 114.4 | 127.3 | 30.99 | 161.4 | 0.40 | 97.8 | 111.0 |
| PE-g-MA | 114.4 | 126.9 | 32.63 | 161.5 | 0.38 | 99.5 | 111.0 | |
| PP-g-MA 0.38 | 113.3 | 125.7 | 27.92 | 159.5 | 0.28 | 98.5 | 111.3 | |
| PP-g-MA 0.75 | 112.8 | 125.2 | 27.90 | 159.3 | 0.34 | 99.2 | 111.6 | |
| PP-co-PE 15 | 113.6 | 126.5 | 28.02 | 161.9 | 0.32 | 97.7 | 111.2 | |
| PP-co-PE 4 | 113.3 | 126.3 | 27.31 | 159.3 | 0.30 | 97.7 | 111.2 | |
| EVA | 113.0 | 125.5 | 26.37 | 161.0 | 0.35 | 97.8 | 111.3 | |
| SEBS | 113.4 | 126.6 | 26.22 | 161.3 | 0.29 | 98.1 | 111.3 | |
| SEBS-g-MA | 113.2 | 125.6 | 26.80 | 160.5 | 0.36 | 98.3 | 111.2 | |
| Paraffin | 112.0 | 125.4 | 28.11 | 159.5 | 0.46 | 98.8 | 112.2 | |
| M3 | - | 113.5 | 126.0 | 25.53 | 161.4 | 0.36 | 97.2 | 110.5 |
| PE-g-MA | 112.4 | 124.9 | 27.06 | 161.1 | 0.36 | 98.9 | 111.5 | |
| PP-g-MA 0.38 | 112.2 | 125.6 | 21.95 | 159.3 | 0.38 | 98.3 | 111.1 | |
| PP-g-MA 0.75 | 112.9 | 126.1 | 21.87 | 161.0 | 0.40 | 98.6 | 110.8 | |
| PP-co-PE 15 | 112.9 | 126.3 | 21.46 | 161.2 | 0.29 | 97.3 | 110.6 | |
| PP-co-PE 4 | 111.7 | 125.3 | 21.51 | 161.0 | 0.28 | 97.8 | 111.1 | |
| EVA | 112.0 | 125.3 | 21.57 | 161.1 | 0.36 | 97.8 | 110.9 | |
| SEBS | 113.1 | 126.0 | 21.35 | 161.9 | 0.35 | 97.6 | 110.7 | |
| SEBS-g-MA | 112.4 | 125.6 | 21.92 | 161.7 | 0.35 | 97.9 | 110.9 | |
| Paraffin | 112.0 | 126.2 | 23.35 | 160.9 | 0.36 | 98.2 | 111.1 |
| Material | Compatibilizer | T−2%, °C | T−5%, °C | T−10%, °C | T−50%, °C | Residue at 900 °C, wt % | Tmax1, °C | Tmax2, °C | Tmax3, °C |
|---|---|---|---|---|---|---|---|---|---|
| M1 | - | 280.0 | 303.9 | 322.5 | 461.4 | 5.22 | 324.0 | - | 473.7 |
| PE-g-MA | 279.3 | 304.7 | 324.5 | 468.6 | 6.03 | 320.3 | - | 480.6 | |
| PP-g-MA 0.38 | 280.5 | 304.2 | 324.1 | 453.5 | 4.78 | 321.9 | 428.0 | 484.4 | |
| PP-g-MA 0.75 | 274.5 | 302.6 | 322.5 | 449.3 | 5.03 | 322.3 | 431.7 | 476.8 | |
| PP-co-PE 15 | 278.3 | 302.3 | 321.7 | 456.4 | 5.33 | 325.8 | 446.5 | 478.7 | |
| PP-co-PE 4 | 279.1 | 302.0 | 320.3 | 451.4 | 5.39 | 319.8 | 441.3 | 478.3 | |
| EVA | 274.3 | 301.7 | 320.9 | 454.4 | 4.56 | 321.3 | 446.2 | 478.5 | |
| SEBS | 276.8 | 303.2 | 323.2 | 457.2 | 5.10 | 324.7 | 442.6 | 483.7 | |
| SEBS-g-MA | 276.3 | 304.1 | 323.3 | 454.8 | 5.05 | 322.9 | 445.2 | 479.7 | |
| Paraffin | 278.8 | 304.5 | 324.6 | 458.9 | 5.28 | 328.1 | 436.3 | 484.2 | |
| M2 | - | 290.2 | 309.8 | 361.5 | 472.6 | 4.60 | 306.5 | - | 481.7 |
| PE-g-MA | 289.8 | 307.3 | 351.8 | 470.5 | 4.29 | 303.1 | - | 480.8 | |
| PP-g-MA 0.38 | 288.9 | 309.8 | 356.6 | 458.0 | 4.77 | 308.4 | 440.4 | 479.6 | |
| PP-g-MA 0.75 | 285.0 | 308.3 | 354.9 | 451.2 | 3.69 | 308.1 | 440.8 | 475.8 | |
| PP-co-PE 15 | 291.1 | 310.3 | 356.1 | 460.6 | 4.08 | 307.3 | 443.0 | 486.0 | |
| PP-co-PE 4 | 291.0 | 312.1 | 358.3 | 455.7 | 3.83 | 309.8 | 441.4 | 481.6 | |
| EVA | 289.0 | 309.2 | 353.6 | 457.5 | 3.79 | 308.1 | 433.3 | 478.8 | |
| SEBS | 290.8 | 305.1 | 357.1 | 461.0 | 3.88 | 308.5 | 435.0 | 481.6 | |
| SEBS-g-MA | 292.4 | 312.1 | 353.5 | 459.5 | 4.12 | 306.5 | 437.0 | 484.5 | |
| Paraffin | 289.1 | 310.5 | 352.8 | 461.1 | 3.80 | 311.8 | 436.0 | 486.3 | |
| M3 | - | 292.0 | 313.8 | 375.0 | 475.9 | 3.35 | 308.5 | - | 483.7 |
| PE-g-MA | 291.9 | 311.2 | 371.5 | 475.0 | 3.25 | 308.3 | - | 484.4 | |
| PP-g-MA 0.38 | 286.3 | 310.5 | 362.0 | 463.0 | 3.50 | 309.1 | 432.2 | 479.4 | |
| PP-g-MA 0.75 | 289.5 | 312.6 | 371.4 | 454.5 | 2.84 | 310.1 | 441.4 | 487.6 | |
| PP-co-PE 15 | 292.4 | 311.5 | 361.2 | 465.3 | 2.86 | 310.1 | 442.3 | 482.7 | |
| PP-co-PE 4 | 294.0 | 313.9 | 372.7 | 458.0 | 2.79 | 310.8 | 436.1 | 482.3 | |
| EVA | 292.8 | 311.2 | 360.9 | 460.2 | 2.71 | 309.5 | 438.6 | 483.8 | |
| SEBS | 292.2 | 312.1 | 365.7 | 464.7 | 2.84 | 309.4 | 439.5 | 486.6 | |
| SEBS-g-MA | 294.7 | 312.1 | 362.3 | 463.6 | 3.05 | 311.3 | 437.1 | 482.8 | |
| Paraffin | 294.0 | 313.7 | 361.1 | 465.1 | 2.91 | 313.2 | 439.5 | 488.6 |
Publisher’s Note: MDPI stays neutral with regard to jurisdictional claims in published maps and institutional affiliations. |
© 2021 by the authors. Licensee MDPI, Basel, Switzerland. This article is an open access article distributed under the terms and conditions of the Creative Commons Attribution (CC BY) license (https://creativecommons.org/licenses/by/4.0/).
Share and Cite
Korol, J.; Hejna, A.; Wypiór, K.; Mijalski, K.; Chmielnicka, E. Wastes from Agricultural Silage Film Recycling Line as a Potential Polymer Materials. Polymers 2021, 13, 1383. https://doi.org/10.3390/polym13091383
Korol J, Hejna A, Wypiór K, Mijalski K, Chmielnicka E. Wastes from Agricultural Silage Film Recycling Line as a Potential Polymer Materials. Polymers. 2021; 13(9):1383. https://doi.org/10.3390/polym13091383
Chicago/Turabian StyleKorol, Jerzy, Aleksander Hejna, Klaudiusz Wypiór, Krzysztof Mijalski, and Ewelina Chmielnicka. 2021. "Wastes from Agricultural Silage Film Recycling Line as a Potential Polymer Materials" Polymers 13, no. 9: 1383. https://doi.org/10.3390/polym13091383
APA StyleKorol, J., Hejna, A., Wypiór, K., Mijalski, K., & Chmielnicka, E. (2021). Wastes from Agricultural Silage Film Recycling Line as a Potential Polymer Materials. Polymers, 13(9), 1383. https://doi.org/10.3390/polym13091383

