Nonlinear Electrical Conduction in Polymer Composites for Field Grading in High-Voltage Applications: A Review
Abstract
1. Introduction
2. Electric-Field Grading in HV Applications
3. State-of-the-Art of Particle Properties
4. Polymer Composites with a Single Particle Type
4.1. ZnO-Based Composites
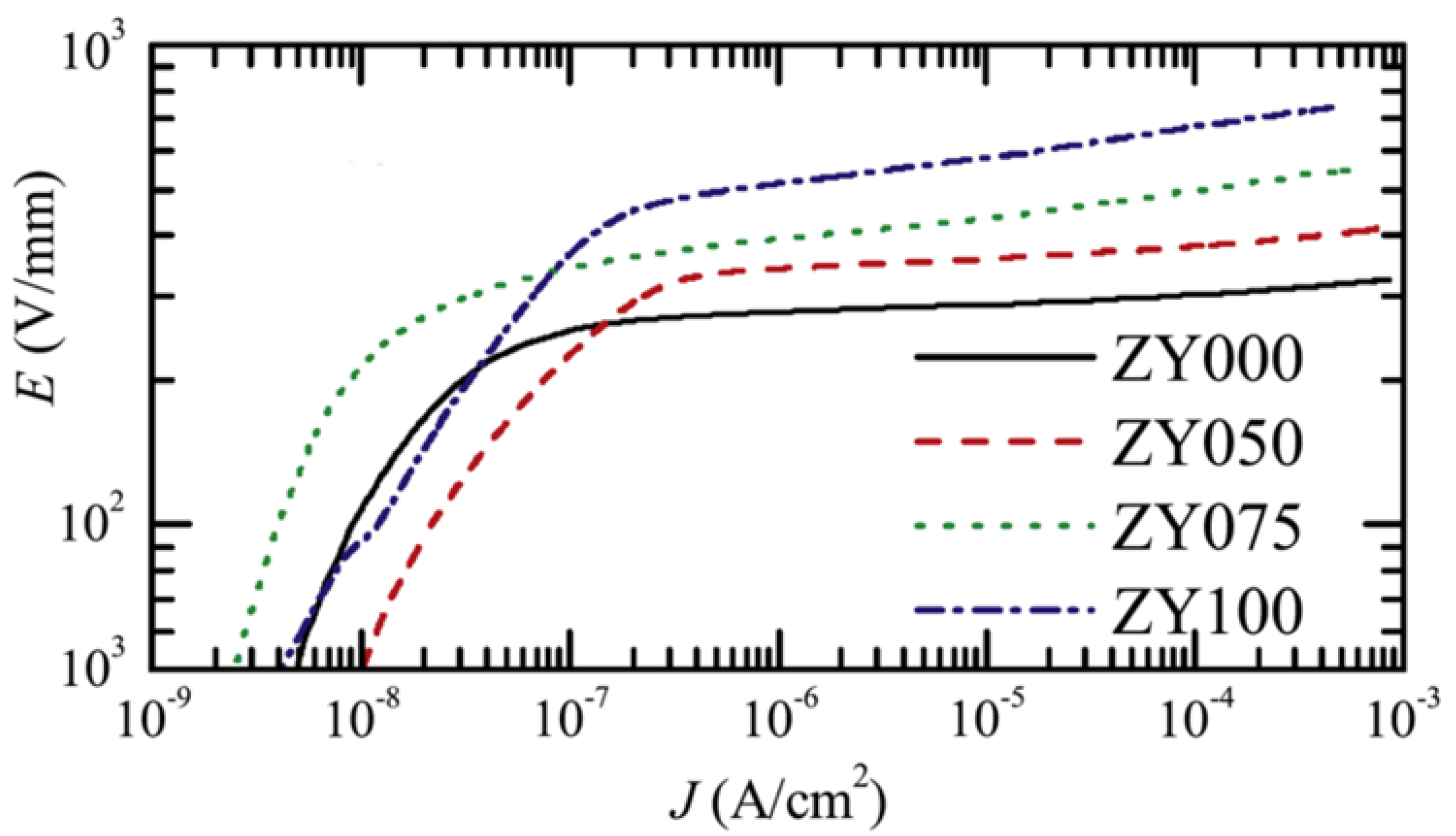
4.1.1. Effect of Filler Concentration
4.1.2. Effect of Filler Shape and Size
4.1.3. Effect of Chemical Treatment
4.2. SiC-Based Composites
4.2.1. Effect of Filler Concentration
4.2.2. Effect of Filler Shape and Size
4.2.3. Effect of Chemical Treatment
4.3. Composites Based on Carbon Allotropes
4.3.1. Composites Based on Amorphous Carbon
4.3.2. Composites Based on Carbon Nanotubes
4.3.3. Composites Based on Graphite and Modified Graphite
5. Polymer Composites with Multiple Particle Types
6. Anisotropic and Nonlinear Polymer Composites
7. Current Applications of Nonlinear Polymer Composites in HV Engineering
8. Concluding Remarks
Author Contributions
Funding
Institutional Review Board Statement
Informed Consent Statement
Conflicts of Interest
References
- Li, Z.; Okamoto, K.; Ohki, Y.; Tanaka, T. Effects of nano-filler addition on partial discharge resistance and dielectric breakdown strength of Micro-Al2O3 Epoxy composite. IEEE Trans. Dielectr. Electr. Insul. 2010, 17, 653–661. [Google Scholar] [CrossRef]
- Fabian, J.H.; Hartmann, S.; Hamidi, A. Analysis of insulation failure modes in high power IGBT modules. In Proceedings of the Fourtieth IAS Annual Meeting Conference Record of the 2005 Industry Applications Conference, Hong Kong, China, 2–6 October 2005; pp. 799–805. [Google Scholar]
- Mitic, G.; Licht, T.; Lefranc, G. IGBT module technology with high partial discharge resistance. In Proceedings of the Conference Record of the 2001 IEEE Industry Applications Conference 36th IAS Annual Meeting, Chicago, IL, USA, 30 September–4 October 2001; pp. 1899–1904. [Google Scholar]
- Prosr, P.; Mentlik, V.; Polansky, R. A new method of lifetime estimation for high-voltage insulating systems in rotating machines. In Proceedings of the 2011 Annual Report Conference on Electrical Insulation and Dielectric Phenomena, Cancun, Mexico, 16–19 October 2011; pp. 607–610. [Google Scholar]
- Pascoli, G.; Kral, C.; Pirke, F.; Pokorny, N. Experiences with Online Partial Discharge Diagnoses on Turbogenerators. In Proceedings of the 4th IEEE International Symposium on Diagnostics for Electric Machines, Power Electronics and Drives, Atlanta, GA, USA, 24–26 August 2003; pp. 20–24. [Google Scholar]
- Lenko, D.; Schlögl, S.; Bichler, S.; Lemesch, G.; Ramsauer, F.; Ladstätter, W.; Rosc, J.; Kern, W. New approaches towards the investigation on defects and failure mechanisms of insulating composites used in high voltage applications. Compos. Part B Eng. 2014, 58, 83–90. [Google Scholar] [CrossRef]
- Brütsch, R.; Tari, M.; Fröhlich, K.; Weiers, T.; Vogelsang, R. Insulation Failure Mechanisms of Power Generators. IEEE Electr. Insul. Mag. 2008, 24, 17–25. [Google Scholar] [CrossRef]
- Srinivas, M.B.; Ramu, T.S. Multifactor aging of HV generator stator insulation including mechanical vibrations. IEEE Trans. Electr. Insul. 1992, 27, 1009–1021. [Google Scholar] [CrossRef]
- Kaufhold, M.; Schäfer, K.; Bauer, K.; Bethge, A.; Risse, J. Interface phenomena in stator winding insulation—challenges in design, diagnosis, and service experience. IEEE Electr. Insul. Mag. 2002, 18, 27–36. [Google Scholar] [CrossRef]
- Kimura, K.; Kaneda, Y. The role of microscopic defects in multistress aging of micaceous insulation. IEEE Trans. Dielectr. Electr. Insul. 1995, 2, 426–432. [Google Scholar] [CrossRef]
- Hoof, M.; Lanz, S. PD diagnostics on rotating machines. Possibilities and limitations. In Proceedings of the Electrical Insulation Conference and Electrical Manufacturing and Coil Winding Conference, Cincinnati, OH, USA, 28 October 1999; pp. 195–200. [Google Scholar]
- Hoshino, T.; Maeda, M.; Takada, T. Measurement of electric field distributions in polymer insulating materials under high DC voltage stress. In Proceedings of the 3rd International Conference on Conduction and Breakdown in Solid Dielectrics, Trondheim, Norway, 3–6 July 1989; pp. 239–243. [Google Scholar]
- Farahani, M.; Borsi, H.; Gockenbach, E.; Kaufhold, M. Partial discharge and dissipation factor behavior of model insulating systems for high voltage rotating machines under different stresses. IEEE Electr. Insul. Mag. 2005, 21, 5–19. [Google Scholar] [CrossRef]
- Farahani, M.; Borsi, H.; Gockenbach, E.; Kaufhold, M. Partial discharge and dielectric response behaviour of insulation systems for high voltage rotating machines under electrical stress. In Proceedings of the 17th Annual Meeting of the IEEE Lasers and Electro.-Optics Society, Boulder, CO, USA, 20 October 2004; pp. 271–274. [Google Scholar]
- Sundhar, S.; Bernstorf, A.; Goch, W.; Linson, D.; Huntsman, L. Polymer insulating materials and insulators for high voltage outdoor applications. In Proceedings of the Conference Record of the 1992 IEEE International Symposium on Electrical Insulation, Baltimore, MD, USA, 7–10 June 1992; pp. 222–228. [Google Scholar]
- Mizutani, T. Electrical properties of polymers: Space-charge behaviour in insulating polymers under high-voltage direct current. Polym. Int. 2002, 51, 1164–1171. [Google Scholar] [CrossRef]
- Alquié, C.; Ditchi, T.; Lewiner, J. Measurement of charge distributions in insulating materials for high voltage cables. In Proceedings of the Second International Conference on Properties and Applications of Dielectric Materials, Beijing, China, 12–16 September 1988; pp. 434–437. [Google Scholar]
- Song, S.W.; Li, Z.; Zhao, H.; Zhang, P.; Han, B.; Fu, M.; Hou, S. Electric field control in DC cable test termination by nano silicone rubber composite. AIP Adv. 2017, 7, 075105. [Google Scholar] [CrossRef]
- Lee, C.-H.; Chiu, M.-Y.; Huang, C.-H.; Yen, S.-S.; Chen, K.-K. The study on diagnostics for aging trend of cable termination. In Proceedings of the 2008 International Conference on Condition Monitoring and Diagnosis, Beijing, China, 21–24 April 2008; pp. 336–339. [Google Scholar]
- Rivenc, J.P.; Lebey, T. An overview of electrical properties for stress grading optimization. IEEE Trans. Dielectr. Electr. Insul. 1999, 6, 309–318. [Google Scholar] [CrossRef]
- Roberts, A. Stress grading for high voltage motor and generator coils. IEEE Electr. Insul. Mag. 1995, 11, 26–31. [Google Scholar] [CrossRef]
- Eigner, A.; Semino, S. 50 years of electrical-stress control in cable accessories. IEEE Electr. Insul. Mag. 2013, 29, 47–55. [Google Scholar] [CrossRef]
- Boucher, S.; Chambard, R.; Hassanzadeh, M.; Castellon, J.; Metz, R. Study of the influence of nonlinear parameters on the efficiency of a resistive field grading tube for cable termination. IEEE Trans. Dielectr. Electr. Insul. 2018, 25, 2413–2420. [Google Scholar] [CrossRef]
- Anton, A. New developments in resin rich insulating systems for high voltage rotating machines. In Proceedings of the Electrical Insulation Conference and Electrical Manufacturing and Coil Winding Conference, Rosemont, IL, USA, 25 September 1997; pp. 607–618. [Google Scholar]
- Farahani, M.; Borsi, H.; Gockenbach, E. Study of Capacitance and Dissipation Factor Tip-Up to Evaluate the Condition of Insulating Systems for High Voltage Rotating Machines. Electr. Eng. 2007, 89, 263–270. [Google Scholar] [CrossRef]
- Thorsen, O.V.; Dalva, M. A survey of faults on induction motors in offshore oil industry, petrochemical industry, gas terminals, and oil refineries. IEEE Trans. Ind. Appl. 1995, 31, 1186–1196. [Google Scholar] [CrossRef]
- Chen, X.; Cheng, Y.; Yue, B.; Xie, H. Study of epoxy/mica insulation deterioration in generator stator using ultra-wide band partial discharge testing technique. Polym. Test. 2006, 25, 724–730. [Google Scholar] [CrossRef]
- Schmerling, R.; Jenau, F.; Staubach, C.; Pohlmann, F. Investigations of modified nonlinear electrical materials for end corona protection in large rotating machines. In Proceedings of the IEEE 2012 47th International Universities Power Engineering Conference (UPEC), London, UK, 4–7 September 2012; pp. 1–5. [Google Scholar]
- El-Kishky, H.; Abdel-Salam, M.; Wedaa, H.; Sayed, Y. Time-Domain Analysis of Nonlinear Stress-Grading System for High Voltage Rotating Machines. In Proceedings of the 2003 Annual Report Conference on Electrical Insulation and Dielectric Phenomena, Albuquerque, NM, USA, 19–22 October 2003; pp. 482–485. [Google Scholar]
- Hoeer, M.; Meissner, M.; Filsecker, F.; Bernet, S. Online temperature estimation of a high-power 4. 5 kV IGBT module based on the gate-emitter threshold voltage. In Proceedings of the 2015 17th European Conference on Power Electronics and Applications, Geneva, Switzerland, 8–10 September 2015; pp. 1–8. [Google Scholar]
- Chen, S.; He, J.; Wang, H.; Sheng, K. Fabrication and testing of 3500V/15A SiC JFET based power module for high-voltage, high-frequency applications. In Proceedings of the 2015 IEEE Applied Power Electronics Conference and Exposition (APEC), Charlotte, NC, USA, 15–19 March 2015; pp. 2488–2491. [Google Scholar]
- Wang, J.; de Haan, S.W.H.; Ferreira, J.A. Electric field reduction in the high voltage multiplier module in medical X-ray machines. In Proceedings of the 2014 16th European Conference on Power Electronics and Applications, Lappeenranta, Finland, 26–28 August 2014; pp. 1–10. [Google Scholar]
- Donzel, L.; Schuderer, J. Nonlinear resistive electric field control for power electronic modules. IEEE Trans. Dielectr. Electr. Insul. 2012, 19, 955–959. [Google Scholar] [CrossRef]
- Mitic, G.; Lefranc, G. Localization of electrical-insulation and partial-discharge failures of IGBT modules. IEEE Trans. Ind. Appl. 2002, 38, 175–180. [Google Scholar] [CrossRef]
- Christen, T.; Donzel, L.; Greuter, F. Nonlinear resistive electric field grading part 1: Theory and simulation. IEEE Electr. Insul. Mag. 2010, 26, 47–59. [Google Scholar] [CrossRef]
- Strobl, R.; Haverkamp, W.; Malin, G.; Fitzgerald, F. Evolution of stress control systems in medium voltage cable accessories. In Proceedings of the 2001 IEEE/PES Transmission and Distribution Conference and Exposition Developing New Perspectives, Atlanta, GA, USA, 2 November 2001; pp. 843–848. [Google Scholar]
- Ghorbani, H.; Jeroense, M.; Olsson, C.; Saltzer, M. HVDC Cable Systems—Highlighting Extruded Technology. IEEE Trans. Power Deliv. 2014, 29, 414–421. [Google Scholar] [CrossRef]
- Donzel, L.; Christen, T.; Kessler, R.; Greuter, F.; Gramespacher, H. Silicone composites for HV applications based on microvaristors. In Proceedings of the 2004 IEEE International Conference on Solid Dielectrics, Toulouse, France, 5–9 July 2004; pp. 403–406. [Google Scholar]
- Li, N.; Peng, Z. Modeling of electric stress control in HV bushing using field grading material. In Proceedings of the 2014 IEEE Conference on Electrical Insulation and Dielectric Phenomena (CEIDP), Des Moines, IA, USA, 19–22 October 2014; pp. 550–553. [Google Scholar]
- Naeini, A.; Cherney, E.A.; Jayaram, S.H. Effect of Stress Grading Tape Conductivity on the Electric Field Distribution in Stress Grading System of an Inverter-Fed Rotating Machine. In Proceedings of the 2018 IEEE Electrical Insulation Conference (EIC), San Antonio, TX, USA, 17–20 June 2018; pp. 14–17. [Google Scholar]
- Umemoto, T.; Tsurimoto, T.; Kisakibaru, T.; Sakurai, T.; Tsuda, T.; Karasawa, K. Novel evaluation methods of end-turn stress grading materials for converter-fed high voltage rotating machines. In Proceedings of the 2016 IEEE Conference on Electrical Insulation and Dielectric Phenomena (CEIDP), Toronto, ON, Canada, 16–19 October 2016; pp. 307–310. [Google Scholar]
- Donzel, L.; Greuter, F.; Christen, T. Nonlinear resistive electric field grading Part 2: Materials and applications. IEEE Electr. Insul. Mag. 2011, 27, 18–29. [Google Scholar] [CrossRef]
- Tavernier, K.; Auckland, D.W.; Varlow, B.R. Improvement in the electrical performance of electrical insulation by non-linear fillers. In Proceedings of the ICSD’98 1998 IEEE 6th International Conference on Conduction and Breakdown in Solid Dielectrics, Vasteras, Sweden, 22–25 June 1998; pp. 533–538. [Google Scholar]
- Tavernier, K.; Varlow, B.R.; Auckland, D.W.; Ugur, M. Improvement in electrical insulators by nonlinear fillers. IEE Proc. Sci. Meas. Technol. 1999, 146, 88–94. [Google Scholar] [CrossRef]
- Varlow, B.R.; Robertson, J.; Donnelly, K.P. Nonlinear fillers in electrical insulating materials. IET Sci. Meas. Technol. 2007, 1, 96–102. [Google Scholar] [CrossRef]
- Tian, J.; Xu, R.; He, H.; Feng, Y. Influence of ZnO filler size on the nonlinear electrical properties of ZnO ceramic-epoxy composite material. J. Mater. Sci. Mater. Electron. 2017, 28, 5102–5105. [Google Scholar] [CrossRef]
- Matsuoka, N.; Komesu, D.; Mori, M.; Kozako, M.; Hikita, M.; Ishibe, S. Electric field grading of gas insulated switchgears with microvaristor composites. In Proceedings of the 2015 IEEE 11th International Conference on the Properties and Applications of Dielectric Materials (ICPADM), Sydney, NSW, Australia, 19–22 July 2015; pp. 332–335. [Google Scholar]
- Auckland, D.W.; Brown, N.E.; Varlow, B.R. Non-linear conductivity in electrical insulation. In Proceedings of the IEEE 1997 Annual Report Conference on Electrical Insulation and Dielectric Phenomena, Minneapolis, MN, USA, 19–22 October 1997; pp. 186–189. [Google Scholar]
- Hong, J.I.; Schadler, L.S.; Siegel, R.W.; Mårtensson, E. Electrical behavior of low density polyethylene containing an inhomogeneous distribution of ZnO nanoparticles. J. Mater. Sci. 2006, 41, 5810–5814. [Google Scholar] [CrossRef]
- Lin, C.-C.; Lee, W.-S.; Sun, C.-C.; Whu, W.-H. A varistor–polymer composite with nonlinear electrical-thermal switching properties. Ceram. Int. 2008, 34, 131–136. [Google Scholar] [CrossRef]
- Glatz-Reichenbach, J.; Meyer, B.; Strümpler, R.; Kluge-Weiss, P.; Greuter, F. New low-voltage varistor composites. J. Mater. Sci. 1996, 31, 5941–5944. [Google Scholar] [CrossRef]
- Yang, X.; Zhao, X.; Hu, J.; He, J. Grading electric field in high voltage insulation using composite materials. IEEE Electr. Insul. Mag. 2018, 34, 15–25. [Google Scholar] [CrossRef]
- Pradhan, M.; Greijer, H.; Eriksson, G.; Unge, M. Functional behaviors of electric field grading composite materials. IEEE Trans. Dielectr. Electr. Insul. 2015, 23, 768–778. [Google Scholar] [CrossRef]
- Yang, X.; He, J.; Hu, J. Tailoring the nonlinear conducting behavior of silicone composites by ZnO microvaristor fillers. J. Appl. Polym. Sci. 2015, 132, 42645. [Google Scholar] [CrossRef]
- Gao, L.; Yang, X.; Hu, J.; He, J. ZnO microvaristors doped polymer composites with electrical field dependent nonlinear conductive and dielectric characteristics. Mater. Lett. 2016, 171, 1–4. [Google Scholar] [CrossRef]
- Yang, X.; Meng, P.; Zhao, X.; Li, Q.; Hu, J.; He, J. How nonlinear V-I characteristics of single ZnO microvaristor influences the performance of its silicone rubber composite. IEEE Trans. Dielectr. Electr. Insul. 2018, 25, 623–630. [Google Scholar] [CrossRef]
- Ahmad, H.; Haddad, A.; Griffiths, H.; Robson, S.; Nishimura, T.; Tsukamoto, N. Electrical characterisation of ZnO microvaristor materials and compounds. In Proceedings of the 2015 IEEE Conference on Electrical Insulation and Dielectric Phenomena (CEIDP), Ann Arbor, MI, USA, 18–21 October 2015; pp. 688–692. [Google Scholar]
- Wang, X.; Herth, S.; Hugener, T.; Siegel, R.W.; Nelson, J.K.; Schadler, L.S.; Hillborg, H.; Auletta, T. Nonlinear Electrical Behavior of Treated ZnO-EPDM Nanocomposites. In Proceedings of the 2006 IEEE Conference on Electrical Insulation and Dielectric Phenomena, Kansas City, MO, USA, 15–18 October 2006; pp. 421–424. [Google Scholar]
- Du, B.X.; Li, Z.L.; Yang, Z.R. Field-dependent conductivity and space charge behavior of silicone rubber/SiC composites. IEEE Trans. Dielectr. Electr. Insul. 2016, 23, 3108–3116. [Google Scholar] [CrossRef]
- Du, B.X.; Yang, Z.R.; Li, Z.L.; Li, J. Surface charge behavior of silicone rubber/SiC composites with field-dependent conductivity. IEEE Trans. Dielectr. Electr. Insul. 2017, 24, 1340–1348. [Google Scholar] [CrossRef]
- Li, J.; Du, B.X.; Kong, X.X.; Li, Z.L. Nonlinear conductivity and interface charge behaviors between LDPE and EPDM/SiC composite for HVDC cable accessory. IEEE Trans. Dielectr. Electr. Insul. 2017, 24, 1566–1573. [Google Scholar] [CrossRef]
- Onneby, C.; Martensson, E.; Gafvert, U.; Gustafsson, A.; Palmqvist, L. Electrical properties of field grading materials influenced by the silicon carbide grain size. In Proceedings of the 2001 IEEE 7th International Conference on Solid Dielectrics, Eindhoven, The Netherlands, 25–29 June 2001; pp. 43–45. [Google Scholar]
- Vanga-Bouanga, C.; Reid, T.F.; David, E.; Fréchette, M.F.; Savoie, S. Tailoring of the electrical properties of silicon carbide for field grading application. In Proceedings of the 2013 IEEE Electrical Insulation Conference (EIC), Ottawa, ON, Canada, 2–5 June 2013; pp. 263–266. [Google Scholar]
- Mårtensson, E.; Gäfvert, U.; Lindefelt, U. Direct current conduction in SiC powders. J. Appl. Phys. 2001, 90, 2862–2869. [Google Scholar] [CrossRef]
- Gartner, J.; Gockenbach, E.; Borsi, H. Field-grading with semi-conducting materials based on silicon carbide (SiC). In Proceedings of the 1998 IEEE International Symposium on Electrical Insulation, Arlington, VA, USA, 7–10 June 1998; pp. 202–205. [Google Scholar]
- Nakamura, S.; Saito, K.; Sawa, G.; Kitagawa, K. Percolation Threshold of Carbon Black-Polyethylene Composites. Jpn. J. Appl. Phys. 1997, 36, 5163–5168. [Google Scholar] [CrossRef]
- Tang, H.; Chen, X.; Tang, A.; Luo, Y. Studies on the electrical conductivity of carbon black filled polymers. J. Appl. Polym. Sci. 1996, 59, 383–387. [Google Scholar] [CrossRef]
- He, L.X.; Tjong, S.C. Direct Current Conductivity of Carbon Nanofiber-Based Conductive Polymer Composites: Effects of Temperature and Electric Field. J. Nanosci. Nanotechnol. 2011, 11, 3916–3921. [Google Scholar] [CrossRef] [PubMed]
- De Pablo, P.J.; Gómez-Navarro, C.; Colchero, J.; Serena, P.A.; Gómez-Herrero, J.; Baró, A.M. Nonlinear resistance versus length in single-walled carbon nanotubes. Phys. Rev. Lett. 2002, 88, 036804. [Google Scholar] [CrossRef] [PubMed]
- Subačius, L.; Seliuta, D.; Niaura, G.; Kašalynas, I.; Shuba, M.V.; Paddubskaya, A.G.; Kuzhir, P.P.; Maksimenko, S.A.; Valušis, G. Single walled carbon nanotubes films: Strong electric field induced nonlinear effects in electrical conductivity. In Proceedings of the 2013 International Conference on Electromagnetics in Advanced Applications (ICEAA), Torino, Italy, 9–13 September 2013; pp. 514–516. [Google Scholar]
- Bliznyuk, V.; Singamaneni, S.; Kattumenu, R.; Atashbar, M. Surface electrical conductivity in ultrathin single-wall carbon nanotube/polymer nanocomposite films. Appl. Phys. Lett. 2006, 88, 164101. [Google Scholar] [CrossRef]
- Liu, C.H.; Fan, S.S. Nonlinear electrical conducting behavior of carbon nanotube networks in silicone elastomer. Appl. Phys. Lett. 2007, 90, 041905. [Google Scholar] [CrossRef]
- Lin, H.; Lu, W.; Chen, G. Nonlinear DC conduction behavior in epoxy resin/graphite nanosheets composites. Phys. B Condens. Matter 2007, 400, 229–236. [Google Scholar] [CrossRef]
- Gaska, K.; Xu, X.; Gubanski, S.; Kádár, R. Electrical, mechanical, and thermal properties of LDPE graphene nanoplatelets composites produced by means of melt extrusion process. Polymers 2017, 9, 11. [Google Scholar] [CrossRef] [PubMed]
- Wang, Z.; Nelson, J.K.; Hillborg, H.; Zhao, S.; Schadler, L.S. Nonlinear conductivity and dielectric response of graphene oxide filled silicone rubber nanocomposites. In Proceedings of the 2012 Annual Report Conference on Electrical Insulation and Dielectric Phenomena, Montreal, QC, Canada, 14–17 October 2012; pp. 40–43. [Google Scholar]
- Li, W.; Gedde, U.W.; Hillborg, H. Structure and electrical properties of silicone rubber filled with thermally reduced graphene oxide. IEEE Trans. Dielectr. Electr. Insul. 2016, 23, 1156–1163. [Google Scholar] [CrossRef]
- Auckland, D.W.; Su, W.; Varlow, B.R. Non-linear fillers in electrical insulation. In Proceedings of the Seventh International Conference on Dielectric Materials, Measurements and Applications, Bath, UK, 23–26 September 1996; pp. 90–95. [Google Scholar]
- Auckland, D.W.; Su, W.; Varlow, B.R. Nonlinear fillers in electrical insulation. IEE Proc. Sci. Meas. Technol. 1997, 144, 127–133. [Google Scholar] [CrossRef]
- He, J.; Liu, J.; Hu, J.; Long, W. AC ageing characteristics of Y2O3-doped ZnO varistors with high voltage gradient. Mater. Lett. 2011, 65, 2595–2597. [Google Scholar] [CrossRef]
- Köckritz, T.; Jansen, I.; Beyer, E. Integration of carbon allotropes into polydimethylsiloxane to control the electrical conductivity for novel fields of application. Int. J. Adhes. Adhes. 2018, 82, 240–253. [Google Scholar] [CrossRef]
- Zhang, N.; Zhang, Y.; Yang, M.-Q.; Tang, Z.-R.; Xu, Y.-J. A critical and benchmark comparison on graphene-, carbon nanotube-, and fullerene-semiconductor nanocomposites as visible light photocatalysts for selective oxidation. J. Catal. 2013, 299, 210–221. [Google Scholar] [CrossRef]
- Falcao, E.H.L.; Wudl, F. Carbon allotropes: Beyond graphite and diamond. J. Chem. Technol. Biotechnol. 2007, 82, 524–531. [Google Scholar] [CrossRef]
- Van Beek, L.K.H.; Van Pul, B.I.C.F. Internal field emission in carbon black-loaded natural rubber vulcanizates. J. Appl. Polym. Sci. 1962, 6, 651–655. [Google Scholar] [CrossRef]
- Van Beek, L.K.H.; Van Pul, B.I.C.F. Non-ohmic behavior of carbon black-loaded rubbers. Carbon 1964, 2, 121–126. [Google Scholar] [CrossRef]
- Iijima, S. Helical microtubules of graphitic carbon. Nature 1991, 354, 56–58. [Google Scholar] [CrossRef]
- Afzal, A.; Kausar, A.; Siddiq, M. Perspectives of Polystyrene Composite with Fullerene, Carbon Black, Graphene, and Carbon Nanotube: A Review. Polym. Plast. Technol. Eng. 2016, 55, 1988–2011. [Google Scholar] [CrossRef]
- Sengupta, R.; Bhattacharya, M.; Bandyopadhyay, S.; Bhowmick, A.K. A review on the mechanical and electrical properties of graphite and modified graphite reinforced polymer composites. Prog. Polym. Sci. 2011, 36, 638–670. [Google Scholar] [CrossRef]
- Wang, Z.; Nelson, J.K.; Hillborg, H.; Zhao, S.; Schadler, L.S. Graphene oxide filled nanocomposite with novel electrical and dielectric properties. Adv. Mater. 2012, 24, 3134–3137. [Google Scholar] [CrossRef]
- Yu, A.; Ramesh, P.; Sun, X.; Bekyarova, E.; Itkis, M.E.; Haddon, R.C. Enhanced Thermal Conductivity in a Hybrid Graphite Nanoplatelet—Carbon Nanotube Filler for Epoxy Composites. Adv. Mater. 2008, 20, 4740–4744. [Google Scholar] [CrossRef]
- Anandhavelu, S.; Thambidurai, S. Single step synthesis of chitin/chitosan-based graphene oxide–ZnO hybrid composites for better electrical conductivity and optical properties. Electrochim. Acta 2013, 90, 194–202. [Google Scholar] [CrossRef]
- Ioannou, G.; Patsidis, A.; Psarras, G.C. Dielectric and functional properties of polymer matrix/ZnO/BaTiO3 hybrid composites. Compos. Part A Appl. Sci. Manuf. 2011, 42, 104–110. [Google Scholar] [CrossRef]
- Ouyang, Q.; Xu, Z.; Lei, Z.; Dong, H.; Yu, H.; Qi, L.; Li, C.; Chen, Y. Enhanced nonlinear optical and optical limiting properties of graphene/ZnO hybrid organic glasses. Carbon 2014, 67, 214–220. [Google Scholar] [CrossRef]
- Lee, G.-W.; Park, M.; Kim, J.; Lee, J.I.; Yoon, H.G. Enhanced thermal conductivity of polymer composites filled with hybrid filler. Compos. Part A Appl. Sci. Manuf. 2006, 37, 727–734. [Google Scholar] [CrossRef]
- Mårtensson, E.; Nettelbled, B.; Gäfvert, U.; Palmqvist, L. Electrical properties of field grading materials with silicon carbide and carbon black. In Proceedings of the 1998 IEEE 6th International Conference on Conduction and Breakdown in Solid Dielectrics, Vasteras, Sweden, 22–25 June 1998; pp. 548–552. [Google Scholar]
- Hu, H.; Zhang, X.; Zhang, D.; Gao, J.; Hu, C.; Wang, Y. Study on the Nonlinear Conductivity of SiC/ZnO/Epoxy Resin Micro- and Nanocomposite Materials. Materials 2019, 12, 761. [Google Scholar] [CrossRef]
- Watanabe, Y.; Yamanaka, N.; Fukui, Y. Control of composition gradient in a metal-ceramic functionally graded material manufactured by the centrifugal method. Compos. Part A Appl. Sci. Manuf. 1998, 29, 595–601. [Google Scholar] [CrossRef]
- Qasim, S.A.; Gupta, N. Functionally graded material composites for effective stress control in insulators. In Proceedings of the 2015 IEEE 11th International Conference on the Properties and Applications of Dielectric Materials (ICPADM), Sydney, NSW, Australia, 19–22 July 2015; pp. 232–235. [Google Scholar]
- Parida, S.P.; Jena, P.C. An Overview: Different Manufacturing Techniques used for Fabricating Functionally Graded Material. Mater. Today Proc. 2019, 18, 2942–2951. [Google Scholar] [CrossRef]
- Naebe, M.; Shirvanimoghaddam, K. Functionally graded materials: A review of fabrication and properties. Appl. Mater. Today 2016, 5, 223–245. [Google Scholar] [CrossRef]
- Kurimoto, M.; Sawada, T.; Kato, T.; Suzuoki, Y. 3D Printing of 2 layered permittivity-graded material using UV-cured-resin/alumina composite. In Proceedings of the 2018 12th International Conference on the Properties and Applications of Dielectric Materials (ICPADM), Xi’an, China, 20–24 May 2018; pp. 1010–1013. [Google Scholar]
- Kurimoto, M. Topology Optimization and 3D Printing: Toward a Functionally Graded Solid Insulator. In Proceedings of the 2020 International Symposium on Electrical Insulating Materials (ISEIM), Tokyo, Japan, 13–17 September 2020; pp. 107–110. [Google Scholar]
- Liu, Z.; Li, W.-D.; Zhang, L.-Y.; Li, X.-R.; Deng, J.-B.; Zhang, G.-J. Simulation design and 3D-printing fabrication of conductivity graded insulator. In Proceedings of the 1st International Conference on Electrical Materials and Power Equipment (ICEMPE), Xi’an, China, 14–17 May 2017; pp. 171–174. [Google Scholar]
- Li, W.-D.; Zhao, J.-W.; Chen, Y.; Wei, Y.-H.; Jiang, Z.-H.; Wang, C.; Lan, H.-B.; Deng, J.-B.; Zhang, G.-J. Surface Insulation Performance of 3D Printed Functionally Graded Insulator Fabricated by Active-Mixing Fused Deposition Modeling (AM-FDM). In Proceedings of the 2020 IEEE International Conference on High. Voltage Engineering and Application (ICHVE), Beijing, China, 6–10 September 2020; pp. 1–4. [Google Scholar]
- Li, X.-R.; Liu, Z.; Li, W.-D.; Sun, G.-Y.; Xue, J.-Y.; Wang, C.; Zhang, G.-J. 3D printing fabrication of conductivity non-uniform insulator for surface flashover mitigation. IEEE Trans. Dielectr. Electr. Insul. 2019, 26, 1172–1180. [Google Scholar] [CrossRef]
- Badini, C. SiC whiskers-aluminium 6061 composite: Microstructure and mechanical characteristic anisotropy. J. Mater. Sci. 1990, 25, 2607–2614. [Google Scholar] [CrossRef]
- Qu, M.; Nilsson, F.; Schubert, D.W. Effect of Filler Orientation on the Electrical Conductivity of Carbon Fiber/PMMA Composites. Fibers 2018, 6, 3. [Google Scholar] [CrossRef]
- Dombovari, A.; Halonen, N.; Sapi, A.; Szabo, M.; Toth, G.; Mäklin, J.; Kordas, K.; Juuti, J.; Jantunen, H.; Kukovecz, A.; et al. Moderate anisotropy in the electrical conductivity of bulk MWCNT/epoxy composites. Carbon 2010, 48, 1918–1925. [Google Scholar] [CrossRef]
- Yang, J.; Downes, R.; Schrand, A.; Park, J.G.; Liang, R.; Xu, C. High electrical conductivity and anisotropy of aligned carbon nanotube nanocomposites reinforced by silicon carbonitride. Scr. Mater. 2016, 124, 21–25. [Google Scholar] [CrossRef]
- Ladani, R.B.; Wu, S.; Kinloch, A.J.; Ghorbani, K.; Zhang, J.; Mouritz, A.P.; Wang, C.H. Improving the toughness and electrical conductivity of epoxy nanocomposites by using aligned carbon nanofibres. Compos. Sci. Technol. 2015, 117, 146–158. [Google Scholar] [CrossRef]
- Komesu, D.; Mori, M.; Ishibe, S.; Kozako, M.; Hikita, M. Simulation on the microvaristor chain formation in liquid epoxy under electric field. IEEE Trans. Dielectr. Electr. Insul. 2016, 23, 216–221. [Google Scholar] [CrossRef]
- Larijani, M.M.; Khamse, E.J.; Asadollahi, Z.; Asadi, M. Effect of aligned carbon nanotubes on electrical conductivity behaviour in polycarbonate matrix. Bull. Mater. Sci. 2012, 35, 305–311. [Google Scholar] [CrossRef]
- Martin, C.A.; Sandler, J.K.W.; Windle, A.H.; Schwarz, M.-K.; Bauhofer, W.; Schulte, K.; Shaffer, M.S.P. Electric field-induced aligned multi-wall carbon nanotube networks in epoxy composites. Polymer 2005, 46, 877–886. [Google Scholar] [CrossRef]
- Prasse, T.; Cavaillé, J.-Y.; Bauhofer, W. Electric anisotropy of carbon nanofibre/epoxy resin composites due to electric field induced alignment. Compos. Sci. Technol. 2003, 63, 1835–1841. [Google Scholar] [CrossRef]
- Ladani, R.B.; Wu, S.; Kinloch, A.J.; Ghorbani, K.; Zhang, J.; Mouritz, A.P.; Wang, C.H. Multifunctional properties of epoxy nanocomposites reinforced by aligned nanoscale carbon. Mater. Des. 2016, 94, 554–564. [Google Scholar] [CrossRef]
- Nardi, T.; Mora, N.; Rachidi, F.; Leterrier, Y. Graded-permittivity polymer nanocomposites as superior dielectrics. Compos. Sci. Technol. 2016, 129, 1–9. [Google Scholar] [CrossRef]
- Shimomura, J.; Fujii, Y.; Hayakawa, N.; Hanai, M.; Okubo, H. Fabrication technique of permittivity graded materials using particle movement simulation. In Proceedings of the 2010 Annual Report Conference on Electrical Insulation and Dielectic Phenomena, West Lafayette, IN, USA, 17–20 October 2010; pp. 1–4. [Google Scholar]
- Hayakawa, N.; Ishiguro, J.; Kojima, H.; Kato, K.; Okubo, H. Fabrication and simulation of permittivity graded materials for electric field grading of gas insulated power apparatus. IEEE Trans. Dielectr. Electr. Insul. 2016, 23, 547–554. [Google Scholar] [CrossRef]
- Fernandes Nascimento, J.; Ezquerra, T.A.; Baltà-Calleja, F.J.; Seferis, J.C. Anisotropy of electrical conductivity and structure in polymer-carbon fiber composite materials. Polym. Compos. 1995, 16, 109–113. [Google Scholar] [CrossRef]
- Belijar, G.; Hermette, L.; Kozako, M.; Hikita, M. Impedance Network Modeling of non-linear Restistive Material. In Proceedings of the 2018 IEEE 2nd International Conference on Dielectrics (ICD), Budapest, Hungary, 1–5 July 2018; pp. 1–4. [Google Scholar]
- Ma, C.; Zhang, W.; Zhu, Y.; Ji, L.; Zhang, R.; Koratkar, N.; Liang, J. Alignment and dispersion of functionalized carbon nanotubes in polymer composites induced by an electric field. Carbon 2008, 46, 706–710. [Google Scholar] [CrossRef]
- Kurimoto, M.; Kato, K.; Hanai, M.; Hoshina, Y.; Takei, M.; Okubo, H. Application of functionally graded material for reducing electric field on electrode and spacer interface. IEEE Trans. Dielectr. Electr. Insul. 2010, 17, 256–263. [Google Scholar] [CrossRef]
- Lee, N.J.; Jang, J.; Park, M.; Choe, C.R. Characterization of functionally gradient epoxy/carbon fibre composite prepared under centrifugal force. J. Mater. Sci. 1997, 32, 2013–2020. [Google Scholar] [CrossRef]
- Funabashi, M. Gradient composites of nickel coated carbon fibre filled epoxy resin moulded under centrifugal force. Compos. Part A Appl. Sci. Manuf. 1997, 28, 731–737. [Google Scholar] [CrossRef]
- Tsotra, P.; Friedrich, K. Electrical and mechanical properties of functionally graded epoxy-resin/carbon fibre composites. Compos. Part A Appl. Sci. Manuf. 2003, 34, 75–82. [Google Scholar] [CrossRef]
- Zhao, X.; Yang, X.; Hu, J.; Wang, H.; Yang, H.; Li, Q.; He, J.; Xu, Z.; Li, X. Grading of electric field distribution of AC polymeric outdoor insulators using field grading material. IEEE Trans. Dielectr. Electr. Insul. 2019, 26, 1253–1260. [Google Scholar] [CrossRef]
- Baferani, M.A.; Shahsavarian, T.; Li, C.; Tefferi, M.; Jovanovic, I.; Cao, Y. Electric field tailoring in HVDC cable joints utilizing electro-thermal simulation: Effect of field grading materials. In Proceedings of the 2020 IEEE Electrical Insulation Conference (EIC), Knoxville, TN, USA, 22 June–3 July 2020; pp. 400–404. [Google Scholar]
- Kato, K.; Kurimoto, M.; Shumiya, H.; Adachi, H.; Sakuma, S.; Okubo, H. Application of functionally graded material for solid insulator in gaseous insulation system. IEEE Trans. Dielectr. Electr. Insul. 2006, 13, 362–372. [Google Scholar] [CrossRef]
- Hayakawa, N.; Oishi, R.; Kojima, H.; Kato, K.; Zebouchi, N. Electric Field Grading by Functionally Graded Materials (FGM) for HVDC Gas Insulated Power Apparatus. In Proceedings of the 2018 IEEE Conference on Electrical Insulation and Dielectric Phenomena (CEIDP), Cancun, Mexico, 21–24 October 2018; pp. 309–312. [Google Scholar]
- Rachmawati; Izu, A.; Nakane, R.; Kojima, H.; Kato, K.; Zebouchi, N.; Hayakawa, N. Electric Field Grading by Permittivity and Conductivity Graded Materials (ε/σ-FGM) for HVDC Gas Insulated Power Apparatus. In Proceedings of the 2020 International Symposium on Electrical Insulating Materials (ISEIM), Tokyo, Japan, 13–17 September 2020; pp. 421–424. [Google Scholar]
- Zhang, Y.-F.; Fu, A.-M.-L.; Luo, A.-B.; Hui, A.-B.-J.; Hou, A.-S.; Nie, A.-Y.-J.; Zhou, F.-S.; Feng, B. Simulation of Functionally Graded Material (FGM) for Cable Joint in AC and DC Field Optimization. In Proceedings of the 2020 IEEE International Conference on High. Voltage Engineering and Application (ICHVE), Beijing, China, 6–10 September 2020; pp. 1–4. [Google Scholar]
- Al-Gheilani, A.; Li, Y.; Wong, K.L.; Rowe, W.S.T. Electric Field Reduction by Multi-layer Functionally Graded Material with Controlled Permittivity and Conductivity Distribution. In Proceedings of the 2019 IEEE Conference on Electrical Insulation and Dielectric Phenomena (CEIDP), Richland, WA, USA, 20–23 October 2019; pp. 86–89. [Google Scholar]

























































| Matrix | Filler | Characteristic | Size | Ref. |
|---|---|---|---|---|
| Polyester | ZnO | - | ~6 μm (granule size) | [43,44] |
| Epoxy resin | ZnO | Undoped, 99.9% purity | 1 μm | [45] |
| ZnO | 99 mol % ZnO + 1 mol % K2CO3 | 50–300 μm | [46] | |
| Microvaristor | - | 21.3–38.2 μm | [47] | |
| Low-density polyethylene | ZnO | - | 1 μm (diameter) | [48] |
| ZnO | Nanoparticles | ~49 nm | [49] | |
| ZnO | Boundary formers (Bi2O3 + Sb2O3). Conductivity enhancers (CoO + MnO). Shape (almost spherical) | 0.1–1 μm (diameter) | [50] | |
| Polyethylene | ZnO | Varistor powder, polycrystalline filler, spherical shape | 60–160 μm | [51] |
| Silicone rubber | ZnO | Microvaristor, spherical, and irregular particles | 50–150 μm for spherical (diameter). 20–125 μm for irregular. | [52] |
| ZnO | Microvaristor + other particles | 60.5 μm (Average diameter) | [53] | |
| ZnO | Varistor, 95 mol % ZnO + 1.0 mol % Bi2O3 + 0.5 mol % MnO2 + 1.0 mol % Co2O3 + 0.4 mol % Cr2O3 + 1 mol % Sb2O3 + 1.0 mol % SiO2 + 0.1 mol % Al2O3 | 50–150 μm (microspheres) | [54] | |
| ZnO | 120 μm (microspheres) 9.5 μm (grains) | [55] | ||
| ZnO | Spherical, grain size in the range of 10–15, 5–8, and 1–4 μm. | [56] | ||
| ZnO | Microvaristor (spherical) | 15–100 μm | [57] | |
| Ethylene propylene diene monomer | ZnO | Nanoparticles modified on SnF2 or SnCl2 | 63 nm | [58] |
| Matrix | Filler | Characteristic | Size | Ref. |
|---|---|---|---|---|
| Silicone rubber | SiC | Spherical conformed by α-SiC hexagonal crystal | Diameter of 0.45–0.50 μm | [59,60] |
| EPDM | SiC | β-crystal | Diameter of 0.50 μm | [61] |
| SiC | Green, n-type, with N | 22.8, 9.3, 3.0, and 0.7 μm | [62] | |
| x | SiC | Black, purity of 99.9% | From 2.06 to 50.6 µm | [63] |
| x | SiC | Green, n-type, with 5 × 1024/m3 of N and 4–6 × 1024/m3 of Al | Grain diameters of 22.8, 9.3, and 3.0 µm | [64] |
| Black, p-type, with ≈1026/m3 of Al | Grain diameters of 9.3 µm | |||
| x | SiC | Undoping, gray | 125, 63, 36.5, 6.5 μm | [65] |
| Doping with Al, p-type, black | ||||
| Doping with N, n-type, green |
| Matrix | Filler | Characteristic | Size | Ref. |
|---|---|---|---|---|
| Polyethylene | Carbon black (CB) | Surface area of 19 m2/g | 90 nm | [66] |
| High-density polyethylene | CB | Surface area of 230 m2/g | 50 nm (average) | [67] |
| Carbon nanofiber | - | Diameter of 100–200 nm | [68] | |
| - | Single wall carbon nanotubes (SWCNT) | - | Diameter of 2 nm Length 300–1100 nm | [69] |
| - | SWCNT | Produced by electric-arc-discharge | Diameter of 1.2–1.5 nm | [70] |
| Polystyrene | SWCNT | 70% pure with some Ni and Yt catalysts residue | Diameter of 1.3 nm | [71] |
| Polyurethane | SWCNT | [71] | ||
| Polydimethylsiloxane rubber | multi-walled carbon nanotubes (MWCNT) | Grown by chemical vapor deposition (CVD) | Diameters around 10 nm Lengths around 10 μm | [72] |
| Epoxy resin | Graphite nanosheet | The number of sheets in the platelets is 150 | Thickness of 50 nm Diameter of 12 μm | [73] |
| LDPE | Graphene nanoplatelets | Surface area of 120–160 m2/g Density of 2.2 g/cm3 | Diameter of 25 μm, Thickness of 6–8 nm | [74] |
| Poly(dimethyl siloxane) | Graphene oxide (GO) | Mostly monolayer GO Study of the effect of thermal reduction | Lateral dimension of 500 nm, thickness of 1.1 nm | [75] |
| Silicone rubber | GO | Study of the effect of thermal reduction | - | [76] |
| Matrix | Filler (vol.%) | Eb (V/mm) | Ref. | |
|---|---|---|---|---|
| PE | 20 | 600–800 | 9 | [51] |
| 35 | 200 | 9 | ||
| 45 | 180 | 9 | ||
| 50 | 190 | 9 | ||
| LLDPE | 14.10 | X | X | [50] |
| 24.71 | 924 | 32 | ||
| 32.99 | 589 | 31 | ||
| 39.63 | 427 | 22 | ||
| 45.01 | 263 | 18 |
| Matrix | Filler | Content (vol.%) | Size (μm) | Eb (V/mm) | α | Ref. |
|---|---|---|---|---|---|---|
| Epoxy resin | ZnO | 20 | 50–100 | 500 | 14.98 | [46] |
| 100–150 | 120 | 15.56 | ||||
| 150–200 | 70 | 15.82 | ||||
| 200–300 | 50 | 16.08 | ||||
| Silicone rubber | ZnO microspherical | 39 | 50–75 | 826.5 | 10.2 | [54] |
| 75–100 | 780.8 | 10.3 | ||||
| 100–125 | 575.1 | 10.0 | ||||
| 125–150 | 506.7 | 10.8 | ||||
| 46.5 | 50–75 | 522.8 | 10.2 | |||
| 75–100 | 419.2 | 12.6 | ||||
| 100–125 | 408.0 | 12.7 | ||||
| 125–150 | 329.4 | 17.5 | ||||
| ZnO spherical | 46.5 | 50 to 75 | 600 | 11 | [52] | |
| 75 to 100 | 541 | 11 | ||||
| 100 to 125 | 458 | 12 | ||||
| 125 to 150 | 325 | 13 | ||||
| ZnO irregular | 46.5 | 20 to 35 | 1731 | 15 | ||
| 35 to 50 | 1538 | 15 | ||||
| 50 to 75 | 1288 | 14 | ||||
| 75 to 125 | 1331 | 15 | ||||
| ZnO spherical (75–125 μm) | 39 | Grain size 10–15 μm, (Z1) | 360 | 12.3 | [56] | |
| 46 | 321 | 15.6 | ||||
| 100 (filler) | 250 | 21.4 | ||||
| 39 | Grain size 5–8 μm, (Z2) | 523 | 14.9 | |||
| 46 | 471 | 15.6 | ||||
| 100 (filler) | 463 | 22.6 | ||||
| 39 | Grain size 1–4 μm, (Z3) | 1563 | 14.5 | |||
| 46 | 1462 | 16.2 | ||||
| 100 (filler) | 1440 | 22.5 |
| Sample | Y2O3 (mol %) | Grain size (μm) | Eb (V/mm) | |
|---|---|---|---|---|
| ZY000 | 0 | 10.13 | 315.6 | 35.1 |
| ZY050 | 0.50 | 7.22 | 402.2 | 29.8 |
| ZY075 | 0.75 | 6.85 | 505.5 | 21.6 |
| ZY100 | 1.00 | 6.03 | 737.4 | 15.4 |
| Matrix | Filler | Size (μm) | Content (wt.%) | Eb (kV/mm) | α | Ref. |
|---|---|---|---|---|---|---|
| Silicone rubber | SiC | 0.45 | 0 | 20 | x | [59,60] |
| 10 | 17 | x | ||||
| 30 | 3.0–3.8 | 0.97 | ||||
| 50 | 1.4 | 1.04 | ||||
| 100 | 0.9 | 1.07 | ||||
| EPDM | SiC | 0.5 | 10 | 12 | x | [61] |
| 30 | 9 | x | ||||
| 50 | 7 | x |
| GN (vol.%) | Eb (V/cm) |
|---|---|
| 1.800 | 6.65 |
| 2.055 | 7.95 |
| 2.356 | 8.69 |
| 2.555 | 10.30 |
| 2.704 | 10.54 |
| 3.051 | 12.10 |
| Material (vol.%) | SiR P401/20 (vol.%) | ZnO (vol.%) | Al(OH)3 (vol.%) | SiR R570/50 (vol.%) | Oil (vol.%) | Cross-Linking Agent (vol.%) | Eb (V/m) |
|---|---|---|---|---|---|---|---|
| FGM01 | 62 | 38 | 0 | 0 | 0 | 0 | 3 × 104 |
| FGM02 | 52 | 20 | 25 | 0 | 1 | 2 | 1 × 106 |
| FGM03 | 75 | 20 | 0 | 5 | 0 | 0 | 1 × 106 |
| FGM04 | 47 | 20 | 25 | 5 | 1 | 2 | 1 × 106 |
| FGM05 | 77 | 20 (Ag) | 0 | 0 | 1 | 2 | 1 × 105 |
| FGM06 | 49 | 30 | 17 | 0 | 1 | 3 | 1 × 104 |
| SiR | 100 | 0 | 0 | 0 | 0 | 0 | N/A |
| Sequence Number | Sample | Nano-ZnOwt.% | Micro-ZnOwt.% | Nano-SiCwt.% | Eb (kV/mm) | Sample Category | |
|---|---|---|---|---|---|---|---|
| 1 | EP | - | - | - | 5.27 | 0.12 | EP |
| 2 | ZnO#1Q | 1 | - | - | 6.40 | 0.52 | ZnO/EP nanocomposites |
| 3 | ZnO#3Q | 3 | - | - | 5.84 | 0.65 | |
| 4 | ZnO#5Q | 5 | - | - | 2.32 | 0.64 | |
| 5 | ZnO#1Z | - | 1 | - | 3.15 | 0.46 | ZnO/EP microcomposites |
| 6 | ZnO#3Z | - | 3 | - | 2.90 | 0.78 | |
| 7 | ZnO#5Z | - | 5 | - | 2.16 | 0.98 | |
| 8 | SiC#1 | - | - | 1 | 5.39 | 0.58 | SiC/EP nanocomposites |
| 9 | SiC#3 | - | - | 3 | 2.23 | 1.70 | |
| 10 | SiC#5 | - | - | 5 | 1.14 | 1.69 | |
| 11 | ZnO#1Q&SiC#4 | 1 | - | 4 | 2.45 | 2.32 | SiC/ZnO/EP nanocomposites |
| 12 | ZnO#2Q&SiC#3 | 2 | - | 3 | 4.69 | 2.96 | |
| 13 | ZnO#3Q&SiC#2 | 3 | - | 2 | 6.28 | 2.05 | |
| 14 | ZnO#4Q&SiC#1 | 4 | - | 1 | 6.26 | 1.44 | |
| 15 | ZnO#1Z&SiC#4 | - | 1 | 4 | X | 2.57 | SiC/ZnO/EP micro/nanocomposites |
| 16 | ZnO#2Z&SiC#3 | - | 2 | 3 | 1.51 | 3.50 | |
| 17 | ZnO#3Z&SiC#2 | - | 3 | 2 | 1.52 | 2.31 | |
| 18 | ZnO#4Z&SiC#1 | - | 4 | 1 | 1.56 | NA |
Publisher’s Note: MDPI stays neutral with regard to jurisdictional claims in published maps and institutional affiliations. |
© 2021 by the authors. Licensee MDPI, Basel, Switzerland. This article is an open access article distributed under the terms and conditions of the Creative Commons Attribution (CC BY) license (https://creativecommons.org/licenses/by/4.0/).
Share and Cite
Can-Ortiz, A.; Laudebat, L.; Valdez-Nava, Z.; Diaham, S. Nonlinear Electrical Conduction in Polymer Composites for Field Grading in High-Voltage Applications: A Review. Polymers 2021, 13, 1370. https://doi.org/10.3390/polym13091370
Can-Ortiz A, Laudebat L, Valdez-Nava Z, Diaham S. Nonlinear Electrical Conduction in Polymer Composites for Field Grading in High-Voltage Applications: A Review. Polymers. 2021; 13(9):1370. https://doi.org/10.3390/polym13091370
Chicago/Turabian StyleCan-Ortiz, Alejandro, Lionel Laudebat, Zarel Valdez-Nava, and Sombel Diaham. 2021. "Nonlinear Electrical Conduction in Polymer Composites for Field Grading in High-Voltage Applications: A Review" Polymers 13, no. 9: 1370. https://doi.org/10.3390/polym13091370
APA StyleCan-Ortiz, A., Laudebat, L., Valdez-Nava, Z., & Diaham, S. (2021). Nonlinear Electrical Conduction in Polymer Composites for Field Grading in High-Voltage Applications: A Review. Polymers, 13(9), 1370. https://doi.org/10.3390/polym13091370

