Abstract
Original perfluoropolyether (PFPE)-based oligomeric polyurethanes (FOPUs) with different macromolecular architecture were synthesized (in one step) as low-surface-energy materials. It is demonstrated that the oligomers, especially the ones terminated with CF3 moieties, can be employed as safer replacements to long-chain perfluoroalkyl substances/additives. The FOPU macromolecules, when added to an engineering thermoplastic (polyethylene terephthalate, PET) film, readily migrate to the film surface and bring significant water and oil repellency to the thermoplastic boundary. The best performing FOPU/PET films have reached the level of oil wettability and surface energy significantly lower than that of polytetrafluoroethylene, a fully perfluorinated polymer. Specifically, the highest level of the repellency is observed with an oligomeric additive, which was made using aromatic diisocyanate as a comonomer and has CF3 end-group. This semicrystalline oligomer has a glass transition temperature (Tg) well above room temperature, and we associate the superiority of the material in achieving low water and oil wettability with its ability to effectively retain CF3 and CF2 moieties in contact with the test wetting liquids.
1. Introduction
This work focuses on attaining water and oil repellency of engineering thermoplastics, such as polyethylene terephthalate (PET), with the addition of perfluoropolyethers (PFPEs)-based oligomeric polyurethanes. Repellency has been one of the critical targets in designing practical polymer-based materials contacting with aqueous and/or oily liquid media [1,2,3]. To this end, a number of engineering thermoplastics have low wettability by water and demonstrate significant water repellency [4,5,6,7]. In contrast to hydrophobic polymers, only fluorinated polymers demonstrate some level of oil repellency [4,8,9,10,11,12]. However, with a few exceptions (e.g., polytetrafluoroethylene and polyvinylidenefluoride), the higher cost of these polymers and/or their mechanical properties generally prevents their widespread applications as engineering materials.
For decades, long-chain perfluoroalkyl (LCPFAs, CnF2n+1, n ≥ 7) containing chemicals have been widely used as additives or (co)monomers to obtain materials with low levels of oil wettability [2,3,13,14]. However, LCPFAs (sometimes referred to as “forever chemicals” [15] in popular media) have been phased out of industrial applications and production due to their persistency in the environment and toxicological/bioaccumulative impact on humans and wildlife [3,16,17,18]. In this respect, this paper concentrates on enhancing hydrophobicity and oleophobicity of engineering thermoplastics via the addition of PFPE-based polyurethane oligomers, which do not contain LCPFAs. PFPEs are macromolecules possessing –CF2–, –CF2–CF2–, and –CF(CF3) –CF2– molecular fragments in their backbone that are separated by oxygen atoms. Currently, PFPEs are considered as potentially safer replacements for LCPFAs [3,19,20,21]. PFPEs have numerous advantages, such as high chemical inertness and radiation resistance, low surface tension (20–22 mN/m) [22], nonflammability, low toxicity, optical transparency, and low volatility [22,23,24]. However, as pure materials, they cannot serve as effective water/oil repellent additives for engineering thermoplastics because of their immiscibility and incompatibility with polymer matrices [22,25].
To this end, perfluoropolyether derived (co)polymers and cross-linked materials have been shown in our previous works and that of others to have the ability to serve as hydrophobic/lyophobic materials and interfaces [20,21,22,23,25,26,27,28,29,30,31,32,33,34,35,36,37]. In particular, we have found that when PFPE-based triblock polyesters [20,21,37] or methacrylic molecular brushes [36] are added to engineering thermoplastic (PET, nylon 6, or polymethyl methacrylate) films, they readily migrate to the film surface, imparting significant water and oil repellency to the thermoplastic boundary. Specifically, the macromolecular additives populated the boundary with PFPE segments terminated with C4F9-perfluoroalkyl moiety, which cannot yield unsafe long-chain perfluoroalkyl carboxylic acids. The lowest wettability was demonstrated by the additives, where a significant mismatch in the affinity between the C4F9-PFPE segments and host matrix (preferring interaction with other parts of the macromolecules) promoted stretching and densification of the PFPE segments delivering the low surface energy C4F9- functionality to the material boundary.
While the additives reported by us were remarkably effective in delivering the low surface energy CF3 (γ ≈ 6 mN/m) [9,10] and CF2 (γ ≈ 18 mN/m) [9,10] moieties to the material surface, it was necessary to employ an elaborated multistep synthetic procedure to obtain the macromolecules (molecular brushes and triblock polyesters). With this in mind, we now report on the synthesis, properties, and wettability of the original PFPE-based polyurethane oligomers (FOPUs) designed to serve as (easy-to-make in one step) low-surface energy non-LCPFA additives to impart water and oil repellency to engineering thermoplastics. We targeted the synthesis of lower molecular weight macromolecules to ensure their better compatibility with host matrices and potentially having higher rates of diffusion and, therefore, migrating more readily to the material boundary. The synthesis of low-surface energy fluorinated polyurethanes (many of them are produced commercially) is well established and allows manipulation of their structure and properties in a wide range [30,38,39,40,41,42,43,44,45,46,47,48,49,50,51,52,53,54,55,56,57].
Four different FOPUs with and without C4F9-PFPE end-segments were obtained and contrasted. To vary the properties of the materials, we used two different (alkyl and aromatic) diisocyanate comonomers. FOPUs were solvent-blended with PET to access their efficiency as water/oil repellent additives to the engineering thermoplastic. In general, the obtained blended films demonstrated low wettability with water and hexadecane depending on the oligomer composition, confirming the efficiency of our polymer modification strategy. We expect that this surface modification method can be readily transferred to a number of other essential thermoplastic polymers.
2. Results and Discussion
2.1. Synthesis and Characterization of FOPUs
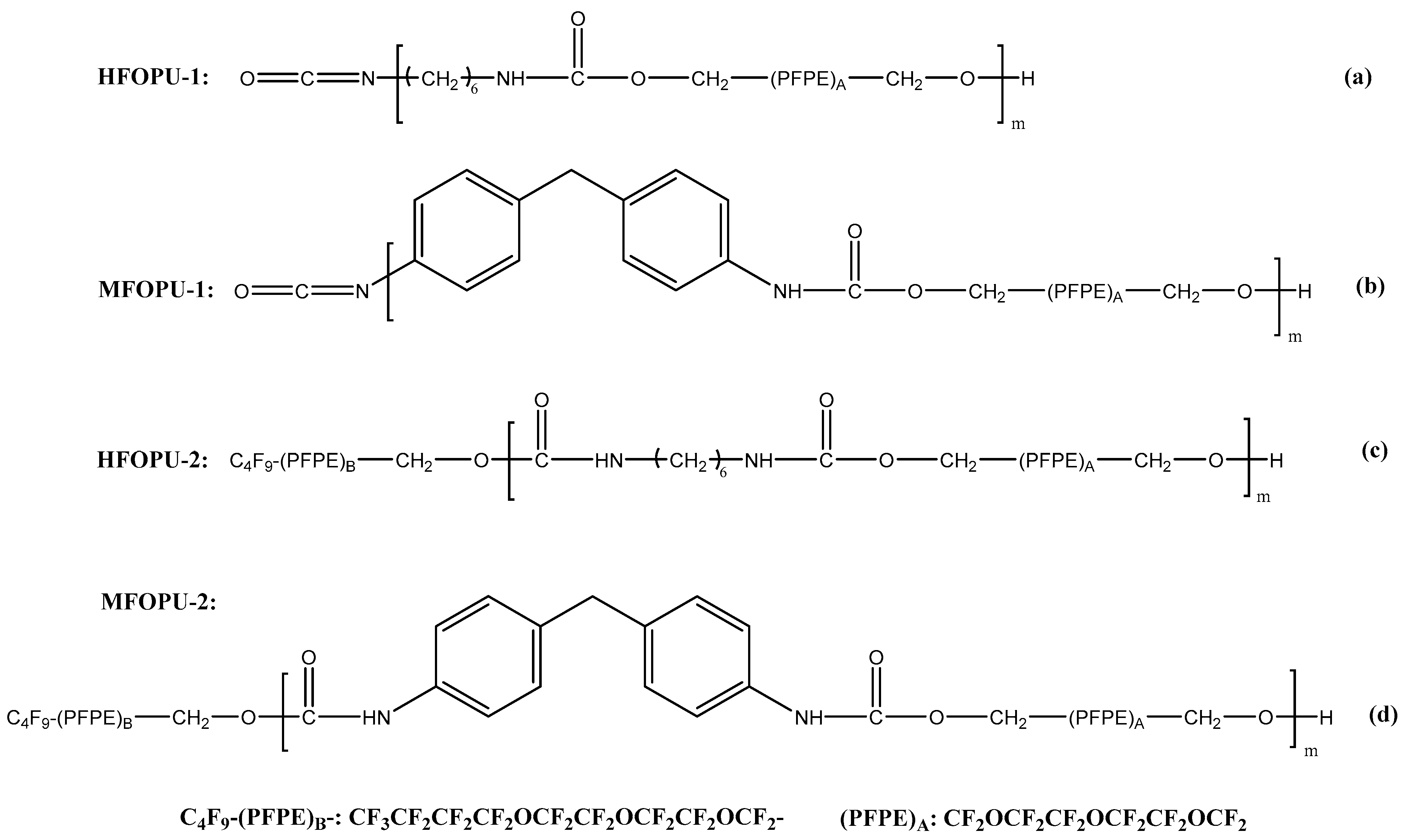
Figure 1 depicts the chemical structure of FOPUs. Four distinct polyurethanes were synthesized from two different diisocyanates (alkyl-based 1, 6 hexamethylene diisocyanate, HDI and aromatic-based 4,4′-methylenebis(phenyl isocyanate), MDI) via step-growth polymerization. As the comonomer and end-segment fluorinated ether alcohols 1H, 1H, 11H, 11H- fluorinated-3,6,9-trioxaundecane-1,11-diol (PFPE-diol) and 1H, 1H-fluorinated-3,6,9-trioxatridecan-1-ol (C4F9-PFPE-OH) were used, respectively. The materials and experimental details for FOPUs synthesis and structural characterization are provided in Supporting Information (SI: S1–S3). Attenuated total reflectance Fourier transform infrared spectroscopy (ATR-FTIR) and 19F nuclear magnetic resonance (NMR) were performed to confirm the chemical structure of the obtained FOPUs. In general, the IR and NMR results (SI: S3, Figures S2–S4, and Table S1) indicated that targeted FOPUs were obtained by the synthetic procedure employed. The molecular weight and polydispersity index (PDI) for FOPUs were determined by GPC analysis (SI: Table S2). The data obtained revealed that FOPU oligomers with weight average molecular weight (Mw) between 2500–4000 g/mol and PDI between 1.2–1.8 were obtained. Based on the oligomer structure, we estimated that the number of repeating units for HFOPU-1, MFOPU-1, HFOPU-2, and MFOPU-2 chain was ~5, 4, 6, and 3, respectively. Based on the structure of end-groups, Mw, and number of repeating units for HFOPU-1, MFOPU-1, HFOPU-2, and MFOPU-2 macromolecules, we estimated that the atomic concentration of fluorine in the oligomeric chains is quite close and is about 23% for HFOPU-1, 21% for MFOPU-1, 25% for HFOPU-2, and 25% for MFOUPU-2. It is necessary to point out that during the storage at ambient conditions, the isocyanate end-group of HFOPU-1 and MFOPU-1 can react with water present in the air. As a result, the end-group can be transformed into amino group, as reported elsewhere [58,59]. This possible transformation was not investigated here. However, we suggest that this process cannot significantly alter the material’s surface properties, since one high surface energy polar isocyanate group is replaced with another high surface energy amino group.
Figure 1.
Chemical structure of (a) HFOPU-1 polyurethane, (b) MFOPU-1 polyurethane, (c) HFOPU-2 polyurethane, and (d) MFOPU-2 polyurethane.
Thermogravimetric analysis, TGA showed (SI: Figure S5) that the monomers are entirely consumed during the polycondensation. Though PU fractions of lower molecular weight (with the thermal stability between 160 °C and 200 °C) is present in FOPUs, the major fraction (>80%) of the obtained oligomers exhibits a decomposition temperature (Td) between 230 and 320 °C, indicating significant thermal stability of the higher molecular weight materials. DSC (differential scanning calorimetry) analysis was used to determine the glass transition temperature (Tg) and melting temperature (Tm) for the oligomers (SI: Figure S6 and Table S2). The results indicate that FOPUs have both Tg and Tm; therefore, they are semicrystalline materials with a degree of crystallinity on the level of 30–35% (SI: S4 and Table S2). It is necessary to point that the presence of C4F9-PFPE-end-segment in the polyurethane structure does not significantly influence the thermal transitions. The midpoint Tg for HFOPUs is ~−30 °C, while Tm (at maximum) is 60–64 °C. The thermal transitions for MFOPUs are occurring at significantly higher temperatures. Specifically, the midpoint Tg is approximately 45 °C and Tm is ~125 °C. We connect these differences with the chemical structure of oligomers. HFOPUs possess more flexible aliphatic polyurethane segments in the backbone, while the presence of the rigid phenyl rings in MFOPUs increases their thermal transition temperatures [7,60,61].
2.2. Wettability of FOPUs
We evaluated the extent of water and oil repellency of the annealed pure FOPU films using static contact angles of water (WCA) and hexadecane (HDCA), respectively. FOPU films were prepared by dip coating, dried at ambient conditions for 16 h, and then annealed at 140 °C for 3 h under vacuum. The annealing temperature was selected to be above the FOPUs’ thermal transitions. Prior to the contact angle measurement, we evaluated the solubility of the oligomers in the wetting liquids and found out that FOPUs are not soluble in water and hexadecane. In addition to CA measurements, the surface energy (σ) of FOPUs was also estimated from HDCA and WCA data using the Owens–Wendt method (SI: S7) [62]. The measured WCA, HCA, and surface energy values for annealed pure FOPU films are presented in Table 1. One can see that the materials possess significant levels of water and oil repellency. The repellency is on par with or exceeding that of fully fluorinated polytetrafluoroethylene (PTFE, TEFLON). In fact, under our experimental conditions, we measured WCA and HCA for PTFE as 118° and 51°, respectively, which correlated well with the values reported in the scientific literature [63,64]. The PTFE surface energy of 17.5 mN/m, calculated by the Owens–Wendt method from our experimentally measured contact angles, was also close to the one typically reported [9,10].
Table 1.
Wettability and surface energy of perfluoropolyether (PFPE)-based oligomeric polyurethanes (FOPUs), FOPU/polyethylene terephthalate (PET), PET, and polytetrafluoroethylene (PTFE) films.
In general, materials containing C4F9-PFPE- end-segments showed significantly lower wettability and surface energy than the oligomers having the same polyurethane chain, which was not terminated with the perfluoroalkyl short moiety. This superiority of materials containing C4F9– groups can be expected, since the films’ surface is always preferentially occupied by the fragments of the molecular chains with the lowest surface energy [7]. Indeed, CF3– groups possess the lowest surface energy of ~6 mN/m. Therefore, the oligomers with perfluoroalkyl end-groups showed higher CA values.
2.2.1. Water and Oil Repellency of HFOPU-1 and MFOPU-1
We note that HFOPU oligomers containing aliphatic PU chain demonstrated somewhat lower oil and water repellency than MFOPU having aromatic groups in the polyurethane backbone. The difference could be connected to the surface energy of the repeating units constituting macromolecular chains. To this end, we estimated surface energies and their (polar and dispersive) components (SI: S6) for the molecular segments constituting FOPUs using algorithms reported elsewhere [20,36]. The calculated values are presented in SI, Table S4. One can see that the HFOPU repeating unit has lower surface energy than MFOPU and, in principle, has to demonstrate lower wettability by water and HD. The opposite behavior observed is connected to specific conformations of the FOPUs chains located at the material surface. Specifically, MFOPU chains expose a significantly higher number of low surface energy fluorinated groups (-CF2-) to the material boundary. It is especially evident from the analysis of HDCA, since HD has much lower surface energy (26.4 mN/m [65]) than water (72 mN/m [5]) and, thus, is more sensitive to the presence of the low surface energy fluorinated groups on the surface. In general, it was shown that liquids with bulky molecules like hexadecane are rather suitable for contact angle measurements to characterize energetics of fluorinated polymer surfaces [66,67].
The classical Young’s equation allows simple estimation of a solid surface wettability by a liquid [5]:
where γ1, γ2, and γ12 represent the surface/interfacial tension at solid–vapor, liquid–vapor, and solid–liquid boundaries. It is evident that for material to demonstrate a 60° contact angle with hexadecane, having a surface energy of 26.4 mN/m, its surface energy less liquid–surface interfacial tension has to be on the level of 13.2 mN/m. In the case of hydrocarbon oils that have polar contributions to the surface tension equal to zero [5,65], the interfacial tension can be estimated via the following equation [68,69]:
where the d subscripts refer to the dispersive contributions to the surface tensions γ. Table S4 (SI) shows, estimated by us, surface energy and its components for PFPE segments present in both HFOPU and MFOPU backbones. We can approximate that interfacial tension at PFPE/HD contact is about 9.5 mN/m and calculated HDCA is, therefore, about ~43 degrees. This result indicated that the surface of HFOPU-1 and MFOPU-1 is occupied by low surface energy –CF2– groups, which are typically reported to have a surface energy of ~18 mN/m. This value was determined in classical works by Zisman et al. using homologous series of n-alkanes as wetting liquids and polytetrafluoroethylene consisting of –CF2–CF2- monomeric units as a substrate [8,10]. Specifically, γ1 = 18.5 mN/m was measured for PTFE by Zisman with coworkers. Dispersive contributions to the surface tension of PTFE (γd) is about 17.0 mN/m (as calculated from the fraction of dispersive contribution to γ1 that is equal to 0.92 for PTFE [5]). Interfacial tension at PTFE/HD contact calculated by Equation (2) is then about 3.5 mN/m and has HDCA estimated by Equation (1) to be ~55 degrees.
Figure 2a shows HDCA versus surface energy for a range of hypothetical polymeric surfaces with a fraction of dispersive contribution to γ1 on the same level as PTFE (0.92) calculated using Equations (1) and (2). Based on this graph, HFOPU-1 has a surface energy of ~17.8 mN/m, while MFOPU-1 has a surface energy of ~15.9 mN/m (Table 1). The surface energy values estimated from the contact angle of hexadecane are close, but to some extent different from the ones obtained by the Owens–Wendt method utilizing both WCA and HDCA. We associate this difference with the differences in the size of the wetting liquids, which plays a significant role in the wettability of polymer surfaces [20,21,36]. Based on molecular weight and chemical structure, the size of water molecule is about an order of magnitude smaller than that of hexadecane. Specifically, the molecular volumes for water and hexadecane at 20 °C are 30 and 458 Å3, respectively [70]. Therefore, water can penetrate to a greater degree into the layer of fluorinated polyurethanes and contact with more moieties compared to hexadecane.
Figure 2.
(a) HDCA vs. surface energy for a range of hypothetical polymeric surfaces with a fraction of dispersive contribution to γ1 on the same level as PTFE (0.92). (b) HDCA dependence on the composition of surface occupied by a mixture of CF3 and CF2 functionalities.
From values of HD contact angle, we can suggest that hexadecane contacting only -CF2– groups on the surface of HFOPU-1/MFOPU-1 and that effective surface energy of the groups in the PFPE based polyurethanes is lower than the one in PTFE. It also appears that the effective energy of –CF2– groups in the aromatic-based FOPU is lower than that in the aliphatic-based material. We associate this phenomenon with higher density (and lower mobility) of the amorphous part of MFOPU-1 material, which is (in contrast to HFOPU-1) well below Tg at ambient temperature. Indeed, according to the free volume theory of glass transition and experimental observations, Tg is the iso-free-volume state of macromolecular materials, where all materials have approximately the same fractional free volume at the transition [7]. The volume coefficient of thermal expansion of polymers is about two times higher above Tg than the one below Tg. Obviously, the density of HFOPU-1, which is 55 °C above Tg, is significantly lower than the density of MFOPU-1. The packing density increase with an associated decrease in mobility of the fluorinated moieties results in surface immobilization of –CF2– groups. Note that the interfacial tension between –CF2– groups and HD (estimated by Equations (1) and (2)) is ~3.7 mN/m, while interfacial tension between the adjacent –CH2– groups and HD is only ~0.4 mN/m (SI: S6). Due to the thermodynamic condition of surface/interfacial energy minimization, mobile –CF2– groups are reorienting in an attempt to avoid contact with the wetting oil that prefer contacts with –CH2– groups. Hence, we suggest that the restricted mobility of the low surface energy –CF2– group is a key parameter causing higher oleophobicity of MFOPU-1.
2.2.2. Water and Oil Repellency of HFOPU-2 and MFOPU-2
When C4F9-PFPE- end-segments are incorporated into the FOPU macromolecules, glassy/semicrystalline MFOPU-2 material has lower WCA, HDCA, and surface energy than the rubbery/semicrystalline aliphatic HFOPU-2 (Table 1). As noted above, the higher level of water and oil repellency is connected to the lower mobility of the MFOPU backbone in the amorphous phase that supports effective localization of not only CF2, but also CF3 moieties at the material surface. In fact, the interfacial tension between CF3 and HD is ~14 mN/m ((SI: S6)), and CF3/HD contact is even more thermodynamically unfavorable than the CF2/HD one. Based on Figure 2a, the surface energy of HFOPU-2 and MFOPU-2 calculated from HDCA are 15 mN/m and 13.1 mN/m, respectively. The decrease in surface energy can only be associated with lower surface energy (~6 mN/m) of CF3 moieties [9,10]. Indeed, significant fractions of the surface have to be occupied by CF3 terminal groups that have to be in contact with the wetting oil to obtain high contact angles.
To comprehend and visualize the situation, we show in Figure 2b HDCA dependence on the composition of surface occupied by a mixture of CF3 and CF2 functionalities. To populate the graph Israelachvili and Gee equation for the contact angle on chemically heterogeneous surfaces was employed [71,72,73]:
where θ is a contact angle of a liquid on a heterogeneous surface composed of f1 and f2 fraction of chemical groups type 1 and type 2, where θ1 and θ2 are the HD contact angles on the pure homogeneous surface 1 and 2, respectively. The angles were estimated from Figure 2a using typically reported values for CF3 (~6 mN/m) and CF2 (~18 mN/m) surface energies. Figure 2b shows that CF3:CF2 ratio for HFOPU-2 and MFOPU-2 is about 0.26:0.74 and 0.42:0.58, respectively. It is necessary to point that CF3 groups (with a molar weight of 39 g/mol) constitute only 1–2.5 wt% of the fluorinated polyurethanes. However, their surface localization is more than an order of magnitude higher than this value.
2.3. Morphology of FOPU/PET Films
PET films blended with 5 wt% of FOPU materials were prepared by dip coating, dried at ambient conditions for 16 h, and then annealed at 140 °C for 3 h under vacuum. The annealing temperature was above the FOPUs’ thermal transitions and the Tg of PET (70–80 °C [7,60,61]), yet below the melting temperature of PET (250–260 °C [7,60,61]). The micro/nanoscale morphology of the blended films along with the film made from pure PET was visualized using atomic force microscopy (AFM) topographical imaging (Figure 3). It was observed that the films fabricated from solutions are without visible crystal formation. It was also apparent that PET and FOPU oligomers are, to some extent, immiscible and appear to be phase-separated on the AFM topographical images. The annealing significantly influenced the surface morphology of FOPU/PET and PET films. PET crystalline structures are visible on the surface of pure PET films after the thermal treatment. We also noted that, for the annealed FOPU/PET films, PET crystalline structures and phase separation are not clearly observed on the topographical images. It appears that FOPUs spread over the PET surface, forming a continuous layer as a lower surface energy component for thermodynamical reasons [7].
Figure 3.
AFM (10 µm × 10 µm) topographical images of polymer films before (a,c–f) and after (b,g–k) annealing. Pure PET (a,b), and 5% FOPU/PET films (c–k). Before annealing: (a) Pure PET (RMS = 0.3 nm), (c) HFOPU-1/PET (RMS = 13.5 nm), (d) HFOPU-2/PET (RMS = 15.0 nm), (e) MFOPU-1/PET (RMS = 8.0 nm), and (f) MFOPU-2/PET (RMS = 17.0 nm). After annealing: (b) Pure PET (RMS = 8.0 nm), (g) HFOPU-1/PET (RMS = 9.0 nm), (h) HFOPU-2/PET (RMS = 16.0 nm), (i) MFOPU-1/PET (RMS = 8.5 nm), and (k) MFOPU-2/PET (RMS = 11.0 nm). RMS is the root-mean-square roughness determined using AFM software from the topographical images.
AFM phase images (Figure 4) were employed to clarify this matter, since they are particularly sensitive to heterogeneity in surface composition [20,74]. The phase images did not show the top surface layer as discontinuous and only partially covering the film surface. This indicates that, upon the thermal treatment, FOPU spreads over the PET surface and forms a continuous layer. Namely, the entire surface of the FOPU/PET films is covered with nanoscale fluorinated polyurethane oligomer layers.
Figure 4.
AFM (10 µm × 10 µm) phase images of annealed polymer films of pure PET (a) and 5 wt% FOPU/PET films (b–e). (b) HFOPU-1/PET, (c) HFOPU-2/PET, (d) MFOPU-1/PET, and (e) MFOPU-2/PET films. The scale is in degree.
2.4. Wettability of FOPU/PET Films
We evaluated the extent of water and oil repellency of the annealed FOPU/PET films using static WCA and HDCA. In addition, a pure PET film was also prepared and annealed at the same conditions to identify its wettability with water and oil. The wettability results are displayed in Table 1. It is obvious that the pure PET film is nearly completely wettable with hexadecane (HDCA < 5°) and partially wettable with water (WCA ≈ 58°). We found that the addition of 5% of FOPU to the PET significantly increases both HDCA and WCA. However, the contact angles’ values are slightly lower than the contact angles measured for the films made from pure FOPUs. This result indicates that the wetting liquids penetrate into/through the polyurethane layer and contact (FOPU/PET) moieties having higher surface energy than CF3 and CF2 groups. It is noticeable that the surface wettability of the blended films depends on the chemical structure of the fluorinated polyurethane oligomers. For instance, the HDCA of FOPU/PET films without C4F9-PFPE- end-segments (HFOPU-1 and MFOPU-1) was on the level of 53–55° and WCA on the level of 90–100°. When HFOPU-2 with aliphatic urethane segments and C4F9-PFPE-end-groups was added to PET, the HDCA of the films increased from 0–5° (HDCA of PET) to 67°, and WCA was increased from 58° (WCA of PET) to 88°. The highest HDCA and WCA were about 72° and 116°, respectively, and were reached with the addition of MFOPU-2, which possesses aromatic urethane linkage and C4F9-PFPE-end-segments in the oligomeric chains. The oil repellency of MFOPU/PET film is higher than that of PTFE (HDCA = 51°), while the film’s water repellency is practically the same as the repellency of PTFE (WCA = 118°).
In addition to CA measurements, the surface energy was also estimated to characterize further the surface properties of the FOPU blended films. First of all, the values were calculated from HDCA and WCA data using the Owens–Wendt method (SI: S7). Table 1 shows that pure PET films possess relatively high surface energy around 46 mN/m. A major surface energy decrease is observed for 5 wt% FOPU modified PET films. The surface energy for the films is about 22.3 and 21.3 mN/m for HFOPU-1 and HFOPU-2, respectively. For the PET films blended with MFOPU-1, the surface energy (~19.2 mN/m) is approaching the PTFE level (~17.5 mN/m). As can be anticipated from CA data, the MFOPU-2/PET system has a lower surface energy (~12 mN/m) than that of PTFE. In addition, we also determine the surface energy from HDCA using Figure 2a as a calibration graph (Table 1). The comparison between the surface energy values obtained by the two different methodologies indicates that rubbery/semicrystalline HFOPU macromolecules allow water molecules to penetrate into/through the polymer layer and contact moieties with higher surface energy. In contrast, glassy/semicrystalline MFOPU macromolecules do not allow for such penetration.
Based on the wettability of the MFOPU-1/PET and HFOPU-1/PET surfaces with hexadecane, we can estimate the fraction of the surface occupied by CF2 moieties using Equation (3), where the contact angle for all other than CF2 groups is considered to be zero. The calculations show that CF2 groups occupy ~95 and 91% of the surface for HFOPU-1/PET and MFOPU-1/PET, respectively. Extending Equation (3) to the three-component surface and assuming that the CF2:(other moieties) ratio does not change significantly, we can estimate that CF3:CF2:(other moieties) ratio is 0.27:0.69:0.04 and 0.41:0.52:0.07 for HFOPU-2/PET and MFOPU-2/PET, respectively. The calculations show that only a very small fraction of the surface is not shielded by the fluorinated moieties and that the surface concentration of CF3 groups is practically the same in FOPU/PET films and the films made from the pure polyurethanes.
3. Conclusions
In summary, we demonstrate that perfluoropolyether-based polyurethane oligomers, especially the ones terminated with CF3 moieties, can be employed as safer replacements to long-chain perfluoroalkyl substances/additives. These materials are synthesized in a single-step procedure from commercially available reactants and possess low levels of water and oil wettability. The FOPU macromolecules, when added to an engineering thermoplastic (PET) film, readily migrate to the film surface and bring significant water and oil repellency to the thermoplastic boundary. The best performing FOPU/PET films reached levels of oil wettability and surface energies significantly lower than that of polytetrafluoroethylene, a fully perfluorinated polymer. Specifically, the highest level of the repellency is observed with MFOPU-2 oligomeric additive, which is made using aromatic diisocyanates as comonomers and having CF3 end-groups. This semicrystalline oligomer has a Tg well above room temperature, and we associate the superiority of this material in achieving low water and oil wettability with its ability to better retain CF3 and CF2 moieties in contact with the test wetting liquids.
Supplementary Materials
The following are available online at https://www.mdpi.com/article/10.3390/polym13071128/s1, S1: Materials, S2: Synthesis of FOPUs, S3: Characterization of FOPUs, S4: Estimation of FOPU heat of fusion and degree of crystallinity, S5: Polymer film preparation, S6: Calculation of surface and interfacial energy, S7. Estimation of surface energy Owens–Wendt method, S8. References.
Author Contributions
Conceptualization, I.L.; methodology, L.W., T.D.C. and I.L.; software, L.W.; validation, L.W. and I.L.; formal analysis, L.W. and T.D.C.; investigation, L.W. and I.L.; resources, L.W. and I.L.; data curation, L.W. and I.L.; writing—original draft preparation, L.W. and I.L.; writing—review and editing, L.W., T.D.C., P.J.B. and I.L.; visualization, I.L.; supervision, P.J.B. and I.L.; project administration, P.J.B. and I.L.; funding acquisition, P.J.B. and I.L. All authors have read and agreed to the published version of the manuscript.
Funding
The research reported was partially supported by the National Science Foundation via EPSCoR OIA-1655740 and I/UCRC-1034979.
Informed Consent Statement
Not applicable.
Data Availability Statement
The data presented in this study are available on request from the corresponding author.
Acknowledgments
The authors gratefully acknowledge Kimberly Ivey (Clemson University) for her help and advice.
Conflicts of Interest
The authors declare no conflict of interest.
References
- Gugliuzza, A.; Drioli, E. A review on membrane engineering for innovation in wearable fabrics and protective textiles. J. Membr. Sci. 2013, 446, 350–375. [Google Scholar] [CrossRef]
- Walters, K.B.; Schwark, D.W.; Hirt, D.E. Surface characterization of linear low-density polyethylene films modified with fluorinated additives. Langmuir 2003, 19, 5851–5860. [Google Scholar] [CrossRef]
- Buck, R.C.; Franklin, J.; Berger, U.; Conder, J.M.; Cousins, I.T.; de Voogt, P.; Jensen, A.A.; Kannan, K.; Mabury, S.A.; van Leeuwen, S.P.J. Perfluoroalkyl and polyfluoroalkyl substances in the environment: Terminology, classification, and origins. Integr. Environ. Assess. Manag. 2011, 7, 513–541. [Google Scholar] [CrossRef] [PubMed]
- Chan, C.-M. Polymer Surface Modification and Characterization; Hanser Publishers: Munich, Germany; Hanser/Gardner Publications: Cincinnati, OH, USA, 1994; p. 285. [Google Scholar]
- Van Krevelen, D.W. Properties of Polymers: Their Correlation with Chemical Structure; Their Numerical Estimation and Prediction from Additive Group Contributions, 3rd ed.; Elsevier: Amsterdam, The Netherlands, 2000; p. 875. [Google Scholar]
- Bicerano, J. Prediction of Polymer Properties; Marcel Dekker: New York, NY, USA; Basel, Switzerland, 2002; p. 736. [Google Scholar]
- Sperling, L. Introduction to Physical Polymer Science, 4th ed.; Wiley-Interscience: Hoboken, NJ, USA, 2006; p. 845. [Google Scholar] [CrossRef]
- Fox, H.W.; Zisman, W.A. The spreading of liquids on low energy surfaces. I. polytetrafluoroethylene. J. Colloid Sci. 1950, 5, 514–531. [Google Scholar] [CrossRef]
- Hare, E.F.; Shafrin, E.G.; Zisman, W.A. Properties of Films of Adsorbed Fluorinated Acids. J. Phys. Chem. 1954, 58, 236–239. [Google Scholar] [CrossRef]
- Zisman, W.A. Relation of the Equilibrium Contact Angle to Liquid and Solid Constitution. In Contact Angle, Wettability and Adhesion; American Chemical Society (ACS): Washington, DC, USA, 1964; pp. 1–51. [Google Scholar]
- Ameduri, B.; Sawada, H. (Eds.) Fluorinated Polymers: Volume 1: Synthesis, Properties, Processing and Simulation; The Royal Society of Chemistry: Cambridge, UK, 2017; p. 392. [Google Scholar] [CrossRef]
- Ameduri, B.; Sawada, H. (Eds.) Fluorinated Polymers: Volume 2: Applications; The Royal Society of Chemistry: Cambridge, UK, 2017; p. 372. [Google Scholar] [CrossRef]
- Kissa, E. Fluorinated Surfactants and Repellents; Surfactant Science Series; Marcel Dekker: New York, NY, USA, 2001; Volume 97, p. 616. [Google Scholar]
- Soto, D.; Ugur, A.; Farnham, T.A.; Gleason, K.K.; Varanasi, K.K. Short-Fluorinated iCVD Coatings for Nonwetting Fabrics. Adv. Funct. Mater. 2018, 28, 1707355. [Google Scholar] [CrossRef]
- Available online: https://www.nationalgeographic.com/science/2020/01/pfas-contamination-safe-drinking-water-study/ (accessed on 23 November 2020).
- Guo, J.; Resnick, P.; Efimenko, K.; Genzer, J.; DeSimone, J.M. Alternative Fluoropolymers to Avoid the Challenges Associated with Perfluorooctanoic Acid. Ind. Eng. Chem. Res. 2008, 47, 502–508. [Google Scholar] [CrossRef]
- Conder, J.M.; Hoke, R.A.; De Wolf, W.; Russell, M.H.; Buck, R.C. Are PFCAs Bioaccumulative? A Critical Review and Comparison with Regulatory Criteria and Persistent Lipophilic Compounds. Environ. Sci. Technol. 2008, 42, 995–1003. [Google Scholar] [CrossRef]
- US Environmental Protection Agency: Long-Chain Perfluorinated Chemicals (PFCs) Action Plan. Available online: https://www.epa.gov/assessing-and-managing-chemicals-under-tsca/long-chain-perfluorinated-chemicals-pfcs-action-plan (accessed on 23 November 2020).
- Camaiti, M.; Brizi, L.; Bortolotti, V.; Papacchini, A.; Salvini, A.; Fantazzini, P. An environmental friendly fluorinated Oligoamide for producing nonwetting coatings with high performance on porous surfaces. ACS Appl. Mater. Interfaces 2017, 9, 37279–37288. [Google Scholar] [CrossRef]
- Wei, L.; Demir, T.; Grant, A.M.; Tsukruk, V.V.; Brown, P.J.; Luzinov, I. Attainment of water and oil repellency for engineering thermoplastics without long-chain perfluoroalkyls: Perfluoropolyether-based triblock polyester additives. Langmuir 2018, 34, 12934–12946. [Google Scholar] [CrossRef]
- Demir, T.; Wei, L.; Nitta, N.; Yushin, G.; Brown, P.J.; Luzinov, I. Toward a Long-Chain Perfluoroalkyl Replacement: Water and Oil Repellency of Polyethylene Terephthalate (PET) Films Modified with Perfluoropolyether-Based Polyesters. ACS Appl. Mater. Interfaces 2017, 9, 24318–24330. [Google Scholar] [CrossRef] [PubMed]
- Toselli, M.; Messori, M.; Bongiovanni, R.; Malucelli, G.; Priola, A.; Pilati, F.; Tonelli, C. Poly(ϵ-caprolactone)-poly(fluoroalkylene oxide)-poly(ϵ-caprolactone) block copolymers. 2. Thermal and surface properties. Polymers 2001, 42, 1771–1779. [Google Scholar] [CrossRef]
- Jellali, R.; Paullier, P.; Fleury, M.-J.; Leclerc, E. Liver and kidney cells cultures in a new perfluoropolyether biochip. Sens. Actuators B Chem. 2016, 229, 396–407. [Google Scholar] [CrossRef]
- Lopez, G.; Ameduri, B.; Habas, J.-P. A Versatile Strategy to Synthesize Perfluoropolyether-Based Thermoplastic Fluoropolymers by Alkyne-Azide Step-Growth Polymerization. Macromol. Rapid Commun. 2016, 37, 711–717. [Google Scholar] [CrossRef] [PubMed]
- Toselli, M.; Pilati, F.; Fusari, M.; Tonelli, C.; Castiglioni, C. Fluorinated poly(butylene terephthalate): Preparation and properties. J. Appl. Polym. Sci. 1994, 54, 2101–2106. [Google Scholar] [CrossRef]
- Credi, C.; Levi, M.; Turri, S.; Simeone, G. Stereolithography of perfluoropolyethers for the microfabrication of robust omniphobic surfaces. Appl. Surf. Sci. 2017, 404, 268–275. [Google Scholar] [CrossRef]
- Fabbri, E.; Fabbri, P.; Messori, M.; Pilati, F.; Tonelli, C.; Toselli, M. Surface modification of unsaturated polyester resins with perfluoropolyethers. Polimery 2004, 49, 785–789. [Google Scholar] [CrossRef][Green Version]
- Pilati, F.; Toselli, M.; Vallieri, A.; Tonelli, C. Synthesis of polyesters-perfluoropolyethers block copolymers. Polym. Bull. 1992, 28, 151–157. [Google Scholar] [CrossRef]
- Turri, S.; Barchiesi, E.; Levi, M. NMR of perfluoropolyether diols and their acetal copolymers. Macromolecules 1995, 28, 7271–7275. [Google Scholar] [CrossRef]
- Turri, S.; Radice, S.; Canteri, R.; Speranza, G.; Anderle, M. Surface study of perfluoropolyether-urethane cross-linked polymers. Surf. Interface Anal. 2000, 29, 873–886. [Google Scholar] [CrossRef]
- Drysdale, N.E.; Brun, Y.; Mccord, E.F.; Nederberg, F. Melt Derived Blocky Copolyesters: New Design Features for Polycondensation. Macromolecules 2012, 45, 8245–8256. [Google Scholar] [CrossRef]
- Vaidya, A.; Chaudhury, M.K. Synthesis and Surface Properties of Environmentally Responsive Segmented Polyurethanes. J. Colloid Interface Sci. 2002, 249, 235–245. [Google Scholar] [CrossRef]
- Wang, Z.; Macosko, C.W.; Bates, F.S. Fluorine-Enriched Melt-Blown Fibers from Polymer Blends of Poly(butylene terephthalate) and a Fluorinated Multiblock Copolyester. ACS Appl. Mater. Interfaces 2015, 8, 754–761. [Google Scholar] [CrossRef] [PubMed]
- Valsecchi, R.; Turri, S.; Tonelli, C.; Meroni, G.; Metta, M. Surface properties modification of thermoplastic polymers by compounding with perfluoropolyether additives. Chim. Oggi Chem. Today 2007, 25, 11–13. [Google Scholar]
- Bongiovanni, R.; Malucelli, G.; Lombardi, V.; Priola, A.; Siracusa, V.; Tonelli, C.; Di Meo, A. Surface properties of methacrylic copolymers containing a perfluoropolyether structure. Polymers 2001, 42, 2299–2305. [Google Scholar] [CrossRef]
- Wei, L.; Caliskan, T.D.; Tu, S.; Choudhury, C.K.; Kuksenok, O.; Luzinov, I. Highly Oil-Repellent Thermoplastic Boundaries via Surface Delivery of CF3 Groups by Molecular Bottlebrush Additives. ACS Appl. Mater. Interfaces 2020, 12, 38626–38637. [Google Scholar] [CrossRef] [PubMed]
- Caliskan, T.D.; Luzinov, I. Effect of number of –CF3 groups in tails of polyester on surface wettability of coatings: Synthesis and characterization of PFPE based polyesters with three -CF3 groups in tails. J. Polym. Res. 2020, 27, 128. [Google Scholar] [CrossRef]
- Smirnova, O.; Glazkov, A.; Yarosh, A.; Sakharov, A. Fluorinated Polyurethanes, Synthesis and Properties. Molecules 2016, 21, 904. [Google Scholar] [CrossRef]
- Wang, P.-C.; Lu, D.; Wang, H.; Bai, R.-K. A New Strategy for the Synthesis of Fluorinated Polyurethane. Polymers 2019, 11, 1440. [Google Scholar] [CrossRef]
- Zhu, Q.; Han, C.C. Study of telechelic polyurethane with perfluoropolyether tails. Polymers 2010, 51, 877–882. [Google Scholar] [CrossRef]
- Khayet, M.; García-Payo, C.; Matsuura, T. Superhydrophobic nanofibers electrospun by surface segregating fluorinated amphiphilic additive for membrane distillation. J. Membr. Sci. 2019, 588, 117215. [Google Scholar] [CrossRef]
- Game, P.; Sage, D.; Chapel, J.-P. Surface Mobility of Polyurethane Networks Containing Fluorinated Amphiphilic Reactive Additives. Macromolecules 2002, 35, 917–923. [Google Scholar] [CrossRef]
- Ho, T.; Wynne, K.J. A new fluorinated polyurethane: Polymerization, characterization, and mechanical properties. Macromolecules 1992, 25, 3521–3527. [Google Scholar] [CrossRef]
- Manvi, G.N.; Singh, A.R.; Jagtap, R.N.; Kothari, D. Isocyanurate based fluorinated polyurethane dispersion for anti-graffiti coatings. Prog. Org. Coat. 2012, 75, 139–146. [Google Scholar] [CrossRef]
- Jiang, G.; Tuo, X.; Wang, D.; Li, Q. Preparation, characterization, and properties of fluorinated polyurethanes. J. Polym. Sci. Part A Polym. Chem. 2009, 47, 3248–3256. [Google Scholar] [CrossRef]
- Ge, Z.; Zhang, X.Y.; Dai, J.B.; Li, W.H.; Luo, Y.J. Synthesis and characterization of fluorinated polyurethane with fluorine-containing pendent groups. Chin. Chem. Lett. 2008, 19, 1293–1296. [Google Scholar] [CrossRef]
- Zhao, M.; Li, H.; Wen, L.; Yu, Z.; Zhang, S.; Han, Z. Synthesis and characterization of fluorine-containing polyurethane-acrylate core-shell emulsion. J. Appl. Polym. Sci. 2016, 133, 43357. [Google Scholar] [CrossRef]
- Chen, K.-Y.; Kuo, J.-F. Synthesis and properties of novel fluorinated aliphatic polyurethanes with fluoro chain extenders. Macromol. Chem. Phys. 2000, 201, 2676–2686. [Google Scholar] [CrossRef]
- Ge, Z.; Zhang, X.; Dai, J.; Li, W.; Luo, Y. Synthesis, characterization and properties of a novel fluorinated polyurethane. Eur. Polym. J. 2009, 45, 530–536. [Google Scholar] [CrossRef]
- Yoon, S.C.; Ratner, B.D. Surface and bulk structure of segmented poly(ether urethanes) with perfluoro chain extenders. 3. Effects of annealing, casting solvent, and casting conditions. Macromolecules 1988, 21, 2401–2404. [Google Scholar] [CrossRef]
- Tonelli, C.; Trombetta, T.; Scicchitano, M.; Simeone, G.; Ajroldi, G. New fluorinated thermoplastic elastomers. J. Appl. Polym. Sci. 1996, 59, 311–327. [Google Scholar] [CrossRef]
- Tonelli, C.; Ajroldi, G. New fluoro-modified thermoplastic polyurethanes. J. Appl. Polym. Sci. 2003, 87, 2279–2294. [Google Scholar] [CrossRef]
- Yoon, S.C.; Ratner, B.D. Surface and bulk structure of segmented poly (ether urethanes) with perfluoro chain extenders. 2. FTIR, DSC, and X-ray photoelectron spectroscopic studies. Macromolecules 1988, 21, 2392–2400. [Google Scholar] [CrossRef]
- Yang, W.; Cheng, X.; Wang, H.; Liu, Y.; Du, Z. Surface and mechanical properties of waterborne polyurethane films reinforced by hydroxyl-terminated poly(fluoroalkyl methacrylates). Polymers 2017, 133, 68–77. [Google Scholar] [CrossRef]
- Liu, T.; Ye, L. Synthesis and properties of fluorinated thermoplastic polyurethane elastomer. J. Fluor. Chem. 2010, 131, 36–41. [Google Scholar] [CrossRef]
- Wu, D.; Ming, W.; van Benthem, R.A.T.M.; de With, G.B. Superhydrophobic Fluorinated Polyurethane Films. J. Adhes. Sci. Technol. 2008, 22, 1869–1881. [Google Scholar] [CrossRef]
- Wang, X.; Hu, J.; Li, Y.; Zhang, J.; Ding, Y. The surface properties and corrosion resistance of fluorinated polyurethane coatings. J. Fluor. Chem. 2015, 176, 14–19. [Google Scholar] [CrossRef]
- Bernardini, J.; Licursi, D.; Anguillesi, I.; Cinelli, P.; Coltelli, M.-B.; Antonetti, C.; Galletti, A.M.R.; Lazzeri, A. Exploitation of Arundo donax L. Hydrolysis Residue for the Green Synthesis of Flexible Polyurethane Foams. Bioresources 2017, 12, 3630–3655. [Google Scholar] [CrossRef]
- Delebecq, E.; Pascault, J.-P.; Boutevin, B.; Ganachaud, F. On the Versatility of Urethane/Urea Bonds: Reversibility, Blocked Isocyanate, and Non-isocyanate Polyurethane. Chem. Rev. 2013, 113, 80–118. [Google Scholar] [CrossRef]
- Hiemenz, P.C.; Lodge, T.P. Polymer Chemistry; CRC Press: Boca Raton, FL, USA, 2007. [Google Scholar]
- Fried, J.R. Polymer Science and Technology, 2nd ed.; Prentice Hall: Upper Saddle River, NJ, USA, 2003; p. 582. [Google Scholar]
- Owens, D.K.; Wendt, R.C. Estimation of the surface free energy of polymers. J. Appl. Polym. Sci. 1969, 13, 1741–1747. [Google Scholar] [CrossRef]
- Sullivan, D.E. Surface tension and contact angle of a liquid–solid interface. J. Chem. Phys. 1981, 74, 2604–2615. [Google Scholar] [CrossRef]
- Zhang, J.; Li, J.; Han, Y. Superhydrophobic PTFE Surfaces by Extension. Macromol. Rapid Commun. 2004, 25, 1105–1108. [Google Scholar] [CrossRef]
- Jańczuk, B.; Wójcik, W.; Zdziennicka, A.; Bruque, J.M. Components of the surface free energy of low rank coals in the presence of n-alkanes. Powder Technol. 1996, 86, 229–238. [Google Scholar] [CrossRef]
- Tavana, H.; Jehnichen, D.; Grundke, K.; Hair, M.L.; Neumann, A.W. Contact angle hysteresis on fluoropolymer surfaces. Adv. Colloid Interface Sci. 2007, 134–135, 236–248. [Google Scholar] [CrossRef] [PubMed]
- Tavana, H.; Lam, C.N.C.; Grundke, K.; Friedel, P.; Kwok, D.Y.; Hair, M.L.; Neumann, A.W. Contact angle measurements with liquids consisting of bulky molecules. J. Colloid Interface Sci. 2004, 279, 493–502. [Google Scholar] [CrossRef] [PubMed]
- Luzinov, I.; Xi, K.; Pagnoulle, C.; Huynh-Ba, G.; Jérôme, R. Composition effect on the core–shell morphology and mechanical properties of ternary polystyrene/styrene–butadiene rubber/polyethylene blends. Polymers 1999, 40, 2511–2520. [Google Scholar] [CrossRef]
- Wu, S. Calculation of interfacial tension in polymer systems. J. Polym. Sci. Part C Polym. Symp. 1971, 34, 19–30. [Google Scholar] [CrossRef]
- Shafrin, E.G.; Zisman, W.A. Upper limits for the contact angles of liquids on solids. In Contact Angle, Wettability, and Adhesion; ACS Advances in Chemistry Series; American Chemical Society: Washington, DC, USA, 1964; Volume 43, pp. 145–157. [Google Scholar]
- Israelachvili, J.N.; Gee, M.L. Contact angles on chemically heterogeneous surfaces. Langmuir 1989, 5, 288–289. [Google Scholar] [CrossRef]
- Lee, H.-H.; Gavutis, M.; Ruželė, Ž.; Valiokas, R.; Liedberg, B. Mixed Self-Assembled Monolayers with Terminal Deuterated Anchors: Characterization and Probing of Model Lipid Membrane Formation. J. Phys. Chem. B 2018, 122, 8201–8210. [Google Scholar] [CrossRef] [PubMed]
- Lilge, I.; Schönherr, H. Control of Cell Attachment and Spreading on Poly(acrylamide) Brushes with Varied Grafting Density. Langmuir 2016, 32, 838–847. [Google Scholar] [CrossRef]
- Luzinov, I.; Julthongpiput, D.; Tsukruk, V.V. Thermoplastic elastomer monolayers grafted to a functionalized silicon surface. Macromolecules 2000, 33, 7629–7638. [Google Scholar] [CrossRef]
Publisher’s Note: MDPI stays neutral with regard to jurisdictional claims in published maps and institutional affiliations. |
© 2021 by the authors. Licensee MDPI, Basel, Switzerland. This article is an open access article distributed under the terms and conditions of the Creative Commons Attribution (CC BY) license (https://creativecommons.org/licenses/by/4.0/).



