Effect of Surfactant Molecular Structure on Emulsion Stability Investigated by Interfacial Dilatational Rheology
Abstract
1. Introduction
2. Materials and Methods
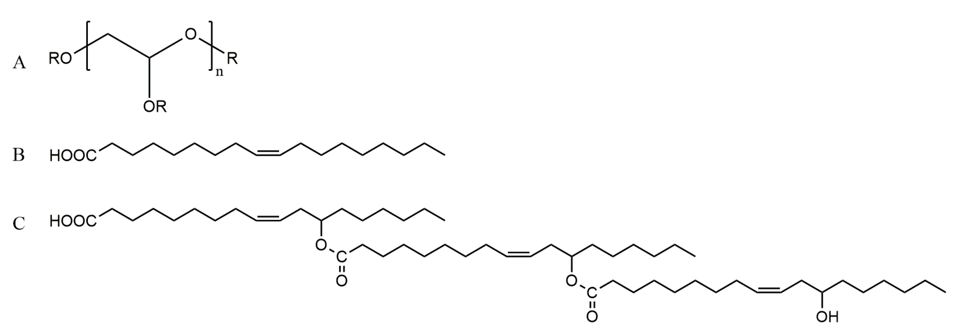
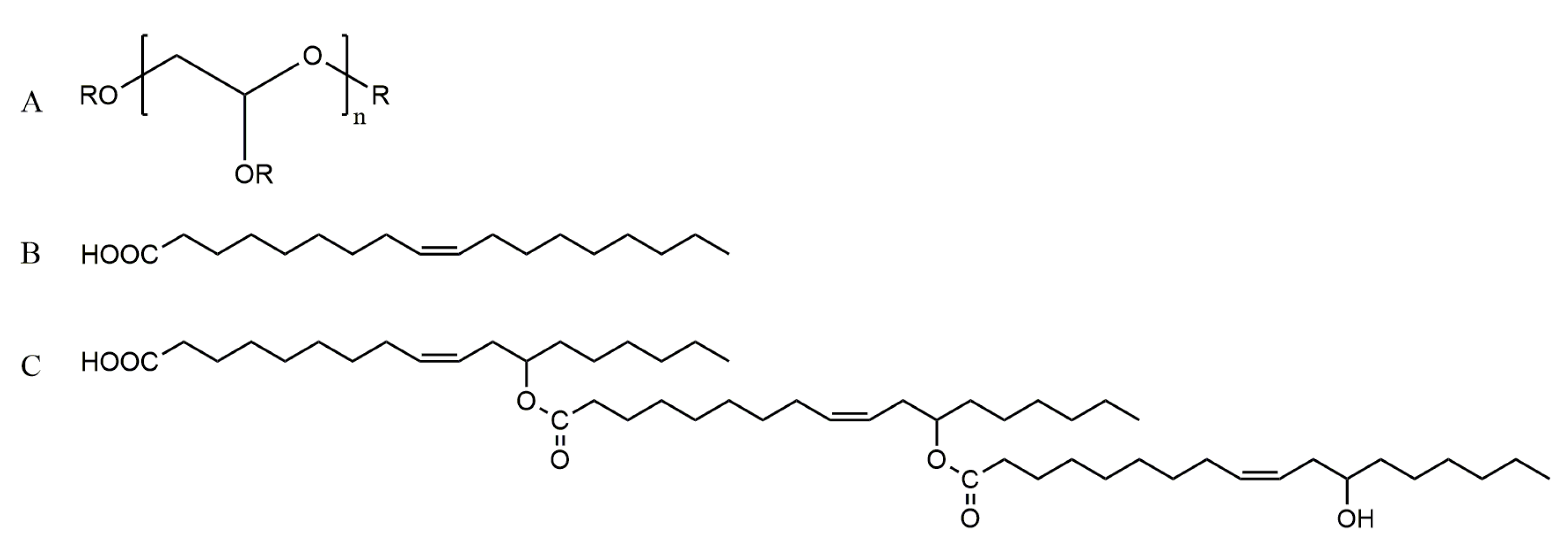
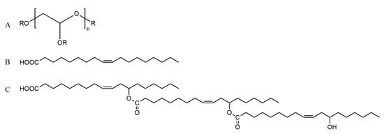
2.1. Materials
2.2. Emulsions Preparation
2.3. Emulsions Microstructure
2.4. Interfacial Tension-Area (π-A) Isotherm
2.5. Interfacial Dilatational Rheology
2.5.1. Amplitude Sweep
2.5.2. Frequency Sweep
2.6. Emulsion Stability
2.7. Statistical Analyses
3. Results and Discussion
3.1. Interfacial Tension-Area (π-A) Isotherm of Emulsifier
3.2. Interfacial Dilatational Rheological Properties of Surfactant
3.2.1. Amplitude Sweep
3.2.2. Frequency Sweeps
3.3. Emulsion Stability
3.4. Influence of Surfactant Molecular Structure on Emulsion Stability
4. Conclusions
Author Contributions
Funding
Institutional Review Board Statement
Informed Consent Statement
Data Availability Statement
Conflicts of Interest
References
- Kang, W.; Xu, B.; Wang, Y.; Li, Y.; Shan, X.; An, F.; Liu, J. Stability mechanism of W/O crude oil emulsion stabilized by polymer and surfactant. Colloids Surf. A Physicochem. Eng. Asp. 2011, 384, 555–560. [Google Scholar] [CrossRef]
- Kumar, N.; Mandal, A. Oil-in-water nanoemulsion stabilized by polymeric surfactant: Characterization and properties evaluation for enhanced oil recovery. Eur. Polym. J. 2018, 109, 265–276. [Google Scholar] [CrossRef]
- Tadros, T.F. Colloid Aspects of Cosmetic Formulations with Particular Reference to Polymeric Surfactants. In Colloids in Cosmetics and Personal Care; Tadros, T.F., Ed.; Wiley-VCH: Hoboken, NJ, USA, 2011; pp. 1–34. ISBN 9783527314645. [Google Scholar]
- Vazaios, A.; Touris, A.; Echeverria, M.; Zorba, G.; Pitsikalis, M. Micellization behaviour of linear and nonlinear block copolymers based on poly(n-hexyl isocyanate) in selective solvents. Polymers 2020, 12, 1678. [Google Scholar] [CrossRef]
- Ghosh, S.; Rousseau, D. Fat crystals and water-in-oil emulsion stability. Curr. Opin. Colloid Interface Sci. 2011, 16, 421–431. [Google Scholar] [CrossRef]
- Ngoc, L.T.N.; Van Tran, V.; Moon, J.; Chae, M.; Park, D. Recent Trends of Sunscreen Cosmetic: An Update Review. Cosmetics 2019, 6, 1–15. [Google Scholar] [CrossRef]
- Blomberg, E.; Claesson, P.; Poptoshev, E. Surface Forces and Emulsion Stability. In Food Emulsions; CRC Press: Boca Raton, FL, USA, 2003. [Google Scholar]
- Ravera, F.; Dziza, K.; Santini, E.; Cristofolini, L.; Liggieri, L. Emulsification and emulsion stability: The role of the interfacial properties. Adv. Colloid Interface Sci. 2021, 288, 102344. [Google Scholar] [CrossRef]
- Atanase, L.I.; Riess, G. Block copolymers as polymeric stabilizers in non-aqueous emulsion polymerization. Polym. Int. 2011, 60, 1563–1573. [Google Scholar] [CrossRef]
- Garoff, S. Molecular structure and interfacial properties of surfactant-coated surfaces. Thin Solid Film. 1987, 152, 49–66. [Google Scholar] [CrossRef]
- Atanase, L.I.; Bistac, S.; Riess, G. Effect of poly(vinyl alcohol-co-vinyl acetate) copolymer blockiness on the dynamic interfacial tension and dilational viscoelasticity of polymer-anionic surfactant complex at the water-1-chlorobutane interface. Soft Matter 2015, 11, 2665–2672. [Google Scholar] [CrossRef]
- Biviano, M.D.; Böni, L.J.; Berry, J.D.; Fischer, P.; Dagastine, R.R. Viscoelastic characterization of the crosslinking of β-lactoglobulin on emulsion drops via microcapsule compression and interfacial dilational and shear rheology. J. Colloid Interface Sci. 2021, 583, 404–413. [Google Scholar] [CrossRef]
- Lei, J.; Gao, Y.; Ma, Y.; Zhao, K.; Du, F. Improving the emulsion stability by regulation of dilational rheology properties. Colloids Surf. A Physicochem. Eng. Asp. 2019, 583, 123906. [Google Scholar] [CrossRef]
- Nash, J.J.; Erk, K.A. Stability and interfacial viscoelasticity of oil-water nanoemulsions stabilized by soy lecithin and Tween 20 for the encapsulation of bioactive carvacrol. Colloids Surf. A Physicochem. Eng. Asp. 2017, 517, 1–11. [Google Scholar] [CrossRef]
- Meinders, M.B.J.; Van Vliet, T. The role of interfacial rheological properties on ostwald ripening in emulsions. Adv. Colloid Interface Sci. 2004, 108–109, 119–126. [Google Scholar] [CrossRef] [PubMed]
- Prime, E.L.; Tran, D.N.; Leung, A.H.; Sunartio, D.; Qiao, G.G.; Solomon, D.H. Formation of Dynamic Duolayer Systems at the Air/Water Interface by using Non-ionic Hydrophilic Polymers. Aust. J. Chem. 2013, 66, 807–813. [Google Scholar] [CrossRef]
- Lucero Caro, A.; Rodríguez Niño, M.R.; Rodríguez Patino, J.M. The effect of pH on surface dilatational and shear properties of phospholipid monolayers. Colloids Surf. A Physicochem. Eng. Asp. 2008, 327, 79–89. [Google Scholar] [CrossRef]
- Sagis, L.M.C.; Fischer, P. Nonlinear rheology of complex fluid-fluid interfaces. Curr. Opin. Colloid Interface Sci. 2014, 19, 520–529. [Google Scholar] [CrossRef]
- Georgieva, D.; Schmitt, V.; Leal-Calderon, F.; Langevin, D. On the possible role of surface elasticity in emulsion stability. Langmuir 2009, 25, 5565–5573. [Google Scholar] [CrossRef] [PubMed]
- Gülseren, I.; Corredig, M. Interactions between polyglycerol polyricinoleate (PGPR) and pectins at the oil-water interface and their influence on the stability of water-in-oil emulsions. Food Hydrocoll. 2014, 34, 154–160. [Google Scholar] [CrossRef]
- Okuro, P.K.; Gomes, A.; Costa, A.L.R.; Adame, M.A.; Cunha, R.L. Formation and stability of W/O-high internal phase emulsions (HIPEs) and derived O/W emulsions stabilized by PGPR and lecithin. Food Res. Int. 2019, 122, 252–262. [Google Scholar] [CrossRef]
- Lisuzzo, L.; Hueckel, T.; Cavallaro, G.; Sacanna, S.; Lazzara, G. Pickering Emulsions Based on Wax and Halloysite Nanotubes: An Ecofriendly Protocol for the Treatment of Archeological Woods. ACS Appl. Mater. Interfaces 2021, 13, 1651–1661. [Google Scholar] [CrossRef]
- Bastida-rodríguez, J. The Food Additive Polyglycerol Polyricinoleate (E-476): Structure, Applications, and Production Methods. Int. Sch. Res. Not. 2013, 2013. [Google Scholar] [CrossRef]
- Wang, F.C.; Marangoni, A.G. Advances in the application of food emulsifier α-gel phases: Saturated monoglycerides, polyglycerol fatty acid esters, and their derivatives. J. Colloid Interface Sci. 2016, 483, 394–403. [Google Scholar] [CrossRef] [PubMed]
- Rühs, P.A.; Affolter, C.; Windhab, E.J.; Fischer, P. Shear and dilatational linear and nonlinear subphase controlled interfacial rheology of β-lactoglobulin fibrils and their derivatives. J. Rheol. 2013, 57, 1003–1022. [Google Scholar] [CrossRef]
- Panel, J.; Benjamins, E.H.; Lucassen-Reynders, A. Links open overlay Surface dilational rheology of proteins adsorbed at air/water and oil/water interfaces. Stud. Interface Sci. 1998, 7, 341–384. [Google Scholar] [CrossRef]
- Van Kempen, S.E.H.J.; Schols, H.A.; Van Der Linden, E.; Sagis, L.M.C. Non-linear surface dilatational rheology as a tool for understanding microstructures of air/water interfaces stabilized by oligofructose fatty acid esters. Soft Matter 2013, 9, 9579–9592. [Google Scholar] [CrossRef]
- Ghosh, S.; Rousseau, D. Triacylglycerol interfacial crystallization and shear structuring in water-in-oil emulsions. Cryst. Growth Des. 2012, 12, 4944–4954. [Google Scholar] [CrossRef]
- Ushikubo, F.Y.; Cunha, R.L. Stability mechanisms of liquid water-in-oil emulsions. Food Hydrocoll. 2014, 34, 145–153. [Google Scholar] [CrossRef]
- Maldonado-Valderrama, J.; Martín-Rodriguez, A.; Gálvez-Ruiz, M.J.; Miller, R.; Langevin, D.; Cabrerizo-Vílchez, M.A. Foams and emulsions of β-casein examined by interfacial rheology. Colloids Surf. A Physicochem. Eng. Asp. 2008, 323, 116–122. [Google Scholar] [CrossRef]
- Day, L.; Xu, M.; Lundin, L.; Wooster, T.J. Interfacial properties of deamidated wheat protein in relation to its ability to stabilise oil-in-water emulsions. Food Hydrocoll. 2009, 23, 2158–2167. [Google Scholar] [CrossRef]
- Sjoblom, J. Emulsions and Emulsion Stability: Surfactant Science Series/61; CRC Press: Boca Raton, FL, USA, 2005; ISBN 0-8247-0967-5. [Google Scholar]
- Green, N.L.; Euston, S.R.; Rousseau, D. Interfacial ordering of tristearin induced by glycerol monooleate and PGPR: A coarse-grained molecular dynamics study. Colloids Surf. B Biointerfaces 2019, 179, 107–113. [Google Scholar] [CrossRef]
- Wang, Z.L.; Jin, Y.X.; Wang, T.; Xu, Z.C.; Gong, Q.T.; Jin, Z.Q.; Zhang, L.; Zhang, L. Effect of branched chain and polyoxyethylene group on surface dilational rheology of cationic surfactants. Colloids Surf. A Physicochem. Eng. Asp. 2019, 577, 249–256. [Google Scholar] [CrossRef]
- Gupta, M.; Van Hooghten, R.; Fischer, P.; Gunes, D.Z.; Vermant, J. Limiting coalescence by interfacial rheology: Over-compressed polyglycerol ester layers. Rheol. Acta 2016, 55, 537–546. [Google Scholar] [CrossRef]
- Zhou, W.W.; Cao, X.L.; Guo, L.L.; Zhang, L.; Zhu, Y.; Zhang, L. Interfacial dilational properties of polyether demulsifiers: Effect of branching. Colloids Surf. A Physicochem. Eng. Asp. 2018, 556, 120–126. [Google Scholar] [CrossRef]
- Santini, E.; Ravera, F.; Ferrari, M.; Stubenrauch, C.; Makievski, A.; Krägel, J. A surface rheological study of non-ionic surfactants at the water-air interface and the stability of the corresponding thin foam films. Colloids Surf. A Physicochem. Eng. Asp. 2007, 298, 12–21. [Google Scholar] [CrossRef]
- Wang, H.; Wei, X.; Du, Y.; Wang, D. Experimental investigation on the dilatational interfacial rheology of dust-suppressing foam and its effect on foam performance. Process Saf. Environ. Prot. 2019, 123, 351–357. [Google Scholar] [CrossRef]
- MacRitchie, F. Desorption of Proteins from the Air/Water Interface. J. Colloid Interface Sci. 1985, 105, 3–7. [Google Scholar] [CrossRef]
- Pereira, I.; Zielińska, A.; Ferreira, N.R.; Silva, A.M.; Souto, E.B. Optimization of linalool-loaded solid lipid nanoparticles using experimental factorial design and long-term stability studies with a new centrifugal sedimentation method. Int. J. Pharm. 2018, 549, 261–270. [Google Scholar] [CrossRef]
- Mengual, O.; Meunier, G.; Cayre, I.; Puech, K.; Snabre, P. Characterisation of instability of concentrated dispersions by a new optical analyser: The TURBISCAN MA 1000. Colloids Surf. A Physicochem. Eng. Asp. 1999, 152, 111–123. [Google Scholar] [CrossRef]






Publisher’s Note: MDPI stays neutral with regard to jurisdictional claims in published maps and institutional affiliations. |
© 2021 by the authors. Licensee MDPI, Basel, Switzerland. This article is an open access article distributed under the terms and conditions of the Creative Commons Attribution (CC BY) license (https://creativecommons.org/licenses/by/4.0/).
Share and Cite
Jin, Y.; Liu, D.; Hu, J. Effect of Surfactant Molecular Structure on Emulsion Stability Investigated by Interfacial Dilatational Rheology. Polymers 2021, 13, 1127. https://doi.org/10.3390/polym13071127
Jin Y, Liu D, Hu J. Effect of Surfactant Molecular Structure on Emulsion Stability Investigated by Interfacial Dilatational Rheology. Polymers. 2021; 13(7):1127. https://doi.org/10.3390/polym13071127
Chicago/Turabian StyleJin, Yuejie, Dingrong Liu, and Jinhua Hu. 2021. "Effect of Surfactant Molecular Structure on Emulsion Stability Investigated by Interfacial Dilatational Rheology" Polymers 13, no. 7: 1127. https://doi.org/10.3390/polym13071127
APA StyleJin, Y., Liu, D., & Hu, J. (2021). Effect of Surfactant Molecular Structure on Emulsion Stability Investigated by Interfacial Dilatational Rheology. Polymers, 13(7), 1127. https://doi.org/10.3390/polym13071127

