Non-Fickian Moisture Absorption in Vegetable Fiber Reinforced Polymer Composites: The Effect of the Mass Diffusivity
Abstract
1. Introduction
2. Methodology
2.1. The Physical Problem and Geometry
2.2. The Mathematical Model
2.3. Numerical Solution
2.3.1. Free Water Molecules Concentration
2.3.2. Entrapped Water Molecules Concentration
2.3.3. Local and Average Moisture Contents
2.4. Computational Simulation
2.5. Evaluated Cases
3. Results and Discussions
- (a)
- It can be applied to different vegetable-fiber-reinforced polymer composite.
- (b)
- There are restrictions for the use of vegetable fiber. This way, any vegetable fiber can be used as reinforcement, for example, sisal, ramie, hemp, kenaf, jute, caroá, curauá and many others. However, it is recommended to use treated fiber in order to reduce the effects of water absorption in the composite, such as weak adhesion between fiber surface and matrix surface, which strongly affect the mechanical performance of this material.
- (c)
- There are no restrictions for the use of polymer matrix. However, it is recommended to use unsaturated thermoset resin, for example, polyester. This resin is most appropriate for this purpose, due to its low cost and satisfactory mechanical properties.
- (d)
- Since the one-dimensional approach was proposed, restrictions to sample shape are not applied. Results are only dependent on the sample thickness.
- (e)
- Since homogeneous material is assumed in the proposed model, fiber arrangement in the matrix must be directed for this consideration. This way, it is recommended to use a random arrangement of short fiber in the resin.
4. Conclusions
- (a)
- The water layer thickness influences the water absorption kinetics. When the values of the water layer thickness are equal, a difference is observed between the cases evaluated at the initial times, up to approximately 250 h. For the cases where the values of the water layer thickness are different, there is a change in the water absorption kinetics, due to the smaller contact area between the water and the composite; the most significant differences in values of the average moisture content were observed after about 250 h of the process.
- (b)
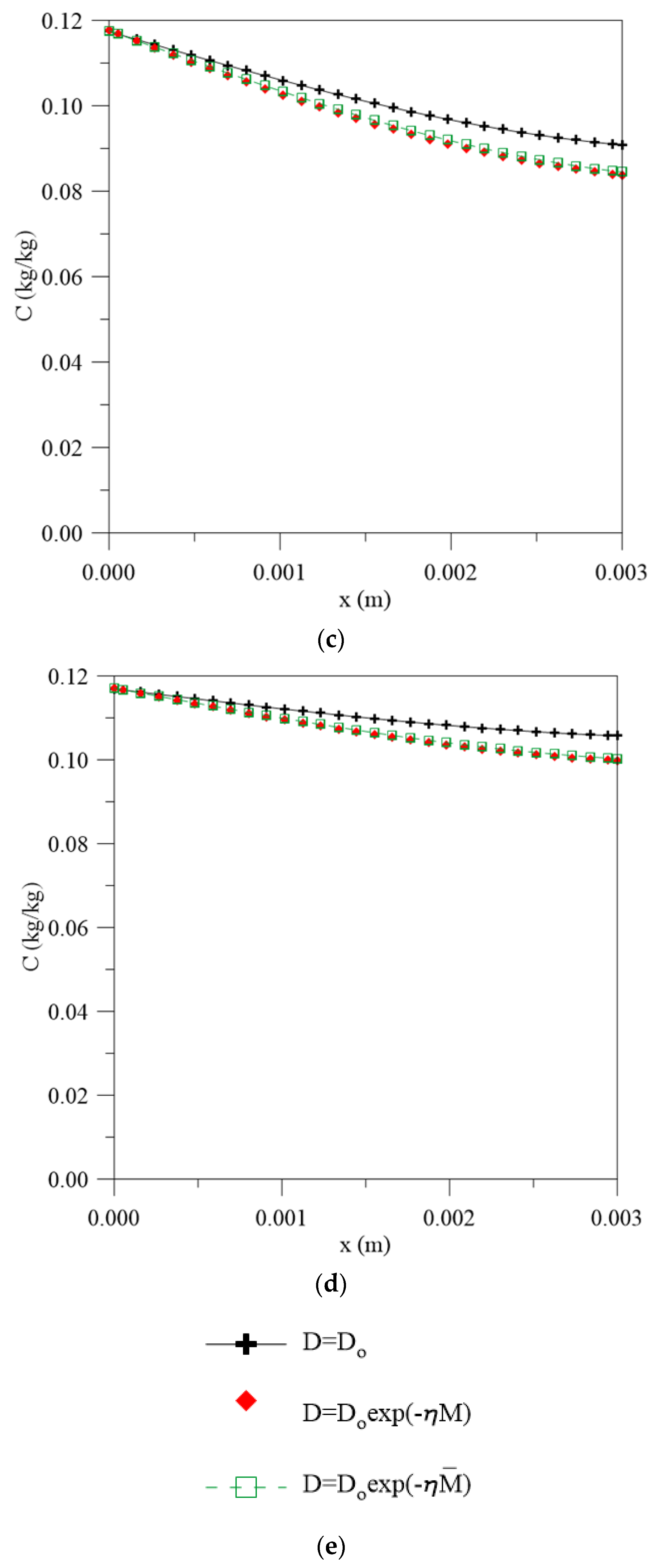
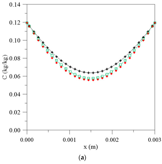
- When the mass diffusion coefficient is considered constant, the water absorption process is faster, whereas, for cases where the mass diffusion coefficient varies with the average and local moisture content, the water migration velocity changes with an increasing average and local moisture content inside the composite.
- (c)
- The largest concentration gradients of free and entrapped water molecules are found on the material surface and decrease towards the central region, and with increasing immersion time. The biggest differences between the values obtained from these parameters for each condition of the mass diffusion coefficient (constant and variable) are found in the initial stages of the process.
- (d)
- Considering constant water mass diffusion coefficient and equal water layer thickness at all faces of the polymer composite, a difference of about 16% is obtained in the moisture content values in comparison with those obtained when considering the mass diffusivity varying with the local moisture content at time t = 22.2 h. For the case where the geometric parameters are different, this difference is about 6%; however, the material reaches maximum absorption more quickly at t = 20.8 h.
Author Contributions
Funding
Institutional Review Board Statement
Informed Consent Statement
Data Availability Statement
Acknowledgments
Conflicts of Interest
References
- Adekomaya, O.; Jamiru, T.; Sadiku, R.; Huan, Z. A review on the sustainability of natural fiber in matrix reinforcement–A practical perspective. J. Reinf. Plast. Compos. 2016, 35, 3–7. [Google Scholar] [CrossRef]
- Pandey, J.; Nagarajan, V.; Mohanty, A.; Misra, M. Commercial potential and competitiveness of natural fiber composites. In Biocomposites; Misra, M., Pandey, J., Mohanty, A., Eds.; Elsevier: Cambridge, UK, 2015; pp. 1–15. [Google Scholar]
- Cerbu, C.; Wang, H.; Botis, M.F.; Huang, Z.; Plescan, C. Temperature effects on the mechanical properties of hybrid composites reinforced with vegetable and glass fibers. Mech. Mater. 2020, 149, 103538. [Google Scholar] [CrossRef]
- Berges, M.; Léger, R.; Placet, V.; Person, V.; Corn, S.; Gabrion, X.; Rousseau, J.; Ramasso, E.; Ienny, P.; Fontaine, S. Influence of moisture uptake on the static, cyclic and dynamic behaviour of unidirectional flax fibre-reinforced epoxy laminates. Compos. Part A Appl. Sci. Manuf. 2016, 88, 165–177. [Google Scholar] [CrossRef]
- Moudood, A.; Rahman, A.; Khanlou, H.M.; Hall, W.; Öchsner, A.; Francucci, G. Environmental effects on the durability and the mechanical performance of flax fiber/bio-epoxy composites. Compos. Part B Eng. 2019, 171, 284–293. [Google Scholar] [CrossRef]
- Cerbu, C.; Cosereanu, C. Moisture effects on the mechanical behavior of fir wood flour/glass reinforced epoxy composite. BioResources 2016, 11, 8364–8385. [Google Scholar] [CrossRef]
- Habibi, M.; Laperrière, L.; Hassanabadi, H.M. Effect of moisture absorption and temperature on quasi-static and fatigue behavior of nonwoven flax epoxy composite. Compos. Part B Eng. 2019, 166, 31–40. [Google Scholar] [CrossRef]
- JA, M.H.; Majid, M.A.; Afendi, M.; Marzuki, H.; Hilmi, E.A.; Fahmi, I.; Gibson, A. Effects of water absorption on Napier grass fibre/polyester composites. Compos. Struct. 2016, 144, 138–146. [Google Scholar]
- Yan, L.; Chouw, N.; Jayaraman, K. Effect of UV and water spraying on the mechanical properties of flax fabric reinforced polymer composites used for civil engineering applications. Mater. Des. 2015, 71, 17–25. [Google Scholar] [CrossRef]
- Živković, I.; Fragassa, C.; Pavlović, A.; Brugo, T. Influence of moisture absorption on the impact properties of flax, basalt and hybrid flax/basalt fiber reinforced green composites. Compos. Part B Eng. 2017, 111, 148–164. [Google Scholar] [CrossRef]
- Chilali, A.; Assarar, M.; Zouari, W.; Kebir, H.; Ayad, R. Effect of geometric dimensions and fibre orientation on 3D moisture diffusion in flax fibre reinforced thermoplastic and thermosetting composites. Compos. Part A Appl. Sci. Manuf. 2017, 95, 75–86. [Google Scholar] [CrossRef]
- Devnani, G.; Mittal, V.; Sinha, S. Mathematical modelling of water absorption behavior of bagasse fiber reinforced epoxy composite material. Mater. Today Proc. 2018, 5, 16912–16918. [Google Scholar] [CrossRef]
- Guloglu, G.E.; Hamidi, Y.K.; Altan, M.C. Moisture absorption of composites with interfacial storage. Compos. Part A Appl. Sci. Manuf. 2020, 134, 105908. [Google Scholar] [CrossRef]
- Saidane, E.H.; Scida, D.; Assarar, M.; Ayad, R. Assessment of 3D moisture diffusion parameters on flax/epoxy composites. Compos. Part A Appl. Sci. Manuf. 2016, 80, 53–60. [Google Scholar] [CrossRef]
- Wang, J.; Dai, F.; Ma, L. A multi-scale moisture diffusion coupled with stress model for composite materials. Compos. Struct. 2017, 171, 345–359. [Google Scholar] [CrossRef]
- Wang, W.; Sain, M.; Cooper, P. Study of moisture absorption in natural fiber plastic composites. Compos. Sci. Technol. 2006, 66, 379–386. [Google Scholar] [CrossRef]
- Zouari, W.; Assarar, M.; Chilali, A.; Ayad, R.; Kebir, H. Numerical Modelling of the Transient Hygroscopic Behavior of Flax-Epoxy Composite. J. Renew. Mater. 2019, 7, 839–853. [Google Scholar] [CrossRef]
- Placette, M.D.; Fan, X.; Zhao, J.-H.; Edwards, D. A dual stage model of anomalous moisture diffusion and desorption in epoxy mold compounds. In Proceedings of the 2011 12th International Conference on Thermal, Mechanical & Multi-Physics Simulation and Experiments in Microelectronics and Microsystems, Linz, Austria, 18–20 April 2011. [Google Scholar]
- Ardebili, H.; Zhang, J.; Pecht, M.M. Encapsulation Technologies for Electronic Applications; Deans, M., Ed.; William Andrew: Oxford, UK, 2018. [Google Scholar]
- Carter, H.G.; Kibler, K.G. Langmuir-type model for anomalous moisture diffusion in composite resins. J. Compos. Mater. 1978, 12, 118–131. [Google Scholar] [CrossRef]
- Regazzi, A.; Léger, R.; Corn, S.; Ienny, P. Modeling of hydrothermal aging of short flax fiber reinforced composites. Compos. Part A Appl. Sci. Manuf. 2016, 90, 559–566. [Google Scholar] [CrossRef]
- Santos, W.R.G.D.; Brito, M.K.T.D.; Lima, A.G.B.D. Study of the Moisture Absorption in Polymer Composites Reinforced with Vegetal Fiber Using Langmuir’s Model. Mater. Res. 2019, 22, 1–8. [Google Scholar] [CrossRef]
- Melo, R.Q.; Lia Fook, M.V.; de Lima, A.G. Non-Fickian Moisture Transport in Vegetable-Fiber-Reinforced Polymer Composites Using a Langmuir-Type Model. Polymers 2020, 12, 2503. [Google Scholar] [CrossRef]
- Brito, M.K.T.D.; Santos, W.R.G.D.; Correia, B.R.D.B.; Queiroz, R.A.D.; Tavares, F.V.D.S.; Oliveira Neto, G.L.D.; Lima, A.G.B.D. Moisture Absorption in Polymer Composites Reinforced with Vegetable Fiber: A Three-Dimensional Investigation via Langmuir Model. Polymers 2019, 11, 1847. [Google Scholar] [CrossRef] [PubMed]
- Grace, L.R.; Altan, M. Characterization of anisotropic moisture absorption in polymeric composites using hindered diffusion model. Compos. Part A Appl. Sci. Manuf. 2012, 43, 1187–1196. [Google Scholar] [CrossRef]
- Joliff, Y.; Bélec, L.; Chailan, J.F. Modified water diffusion kinetics in an unidirectional glass/fibre composite due to the interphase area: Experimental, analytical and numerical approach. Compos. Struct. 2013, 97, 296–303. [Google Scholar] [CrossRef]
- Ghanbar, A.; Michael, D.; Ojo, O. Influence of variable diffusion coefficient on solid-liquid interface migration kinetics during transient liquid phase bonding. Philos. Mag. 2019, 99, 2169–2184. [Google Scholar] [CrossRef]
- Cavalcanti, W.S.; de Lima, A.G.; Carvalho, L.H.D. Water sorption in unsaturated polyester composites reinforced with jute and jute/glass fiber fabrics: Modeling, simulation and experimentation. Polimeros 2010, 20, 78–83. [Google Scholar] [CrossRef][Green Version]
- De Almeida Cruz, V.; Delgado, J.; Barbosa de Lima, A.G.; Silva Nóbrega, M.; De Carvalho, L.; Cavalcanti, W. Moisture Diffusion in Unsaturated Polyester Composites Reinforced with Macambira Natural Fiber: A Finite-volume Approach. Diffus. Found. 2015, 3, 89–101. [Google Scholar] [CrossRef]
- Nóbrega, M.; Cavalcanti, W.; Carvalho, L.; de Lima, A. Water absorption in unsaturated polyester composites reinforced with caroá fiber fabrics: Modeling and simulation. Mater. Und Werkst. 2010, 41, 300–305. [Google Scholar] [CrossRef]
- Silva, C.; de Andrade, T.; Silva, E.; de Lima, A.G.B. Water Absorption in Composites Reinforced with Caroá Fiber Fabrics: Modeling and Simulation via ANSYS CFX®. Defect Diffus. Forum 2014, 353, 84–89. [Google Scholar] [CrossRef]
- Silva, C.; de Lima, A.; da Silva, E.G.; de Andrade, T.F.; da Costa Melo, R. Water Absorption in Caroá-Fiber Reinforced Polymer Composite at Different Temperatures: A Theoretical Investigation. Diffus. Found. 2017, 10, 16–27. [Google Scholar] [CrossRef]
- Da Silva, W.; e Silva, C.; da Silva, L.; Lins, M. Comparison between models with constant and variable diffusivity to describe water absorption by composite materials. Mater. Und Werkst. 2012, 43, 825–831. [Google Scholar] [CrossRef]
- Merdas, I.; Thominette, F.; Tcharkhtchi, A.; Verdu, J. Factors governing water absorption by composite matrices. Compos. Sci. Technol. 2002, 62, 487–492. [Google Scholar] [CrossRef]
- Kaboorani, A. Characterizing water sorption and diffusion properties of wood/plastic composites as a function of formulation design. Constr. Build. Mater. 2017, 136, 164–172. [Google Scholar] [CrossRef]
- La Saponara, V. Environmental and chemical degradation of carbon/epoxy and structural adhesive for aerospace applications: Fickian and anomalous diffusion, Arrhenius kinetics. Compos. Struct. 2011, 93, 2180–2195. [Google Scholar] [CrossRef]






















| Case | Parameter | |||||||
|---|---|---|---|---|---|---|---|---|
| Water | Composite | |||||||
| Te (°C) | To (°C) | 2a (m) | μ (10−6 s−1) | λ (10−6 s−1) | D (m2 s−1) | |||
| Constant | Variable 1 | |||||||
| Do | f(M) | f(M) | ||||||
| η | η | |||||||
| L1 = 0.100 m L2 = 0.100 m | 25 | 25 | 0.003 | 5 | 1 | 0 | 0 | |
| 25 | 25 | 0.003 | 5 | 1 | 2 | 0 | ||
| 25 | 25 | 0.003 | 5 | 1 | 0 | 2 | ||
| L1 = 0.100 m L2 = 0.001 m | 25 | 25 | 0.003 | 5 | 1 | 0 | 0 | |
| 25 | 25 | 0.003 | 5 | 1 | 2 | 0 | ||
| 25 | 25 | 0.003 | 5 | 1 | 0 | 2 | ||
| Case | D | t (h) | C (kg/kg) | ∂C/∂t | t (h) | S (kg/kg) | ∂S/∂t | t (h) | M (kg/kg) | ∂M/∂t |
|---|---|---|---|---|---|---|---|---|---|---|
| L1 = 0.100 m L2 = 0.100 m | Constant | 20.8 | 0.019 | 0.00166 | 83.3 | 0.008 | 0.000148 | 23.6 | 0.0240 | 0.00171 |
| 22.2 | 0.018 | 0.00141 | 97.2 | 0.009 | 0.000128 | 23.6 | 0.0200 | 0.00147 | ||
| 22.2 | 0.016 | 0.00148 | 83.3 | 0.008 | 0.000136 | 23.6 | 0.0210 | 0.00153 | ||
| L1 = 0.100 m L2 = 0.001 m | Constant | 20.8 | 0.017 | 0.00140 | 69.4 | 0.0053 | 0.00011 | 20.8 | 0.0173 | 0.00145 |
| 20.8 | 0.014 | 0.00123 | 83.3 | 0.0062 | 0.00010 | 22.2 | 0.0167 | 0.00127 | ||
| 22.2 | 0.017 | 0.0127 | 83.3 | 0.0063 | 0.00010 | 22.2 | 0.0174 | 0.00132 |
Publisher’s Note: MDPI stays neutral with regard to jurisdictional claims in published maps and institutional affiliations. |
© 2021 by the authors. Licensee MDPI, Basel, Switzerland. This article is an open access article distributed under the terms and conditions of the Creative Commons Attribution (CC BY) license (http://creativecommons.org/licenses/by/4.0/).
Share and Cite
Melo, R.Q.C.; Fook, M.V.L.; Lima, A.G.B. Non-Fickian Moisture Absorption in Vegetable Fiber Reinforced Polymer Composites: The Effect of the Mass Diffusivity. Polymers 2021, 13, 761. https://doi.org/10.3390/polym13050761
Melo RQC, Fook MVL, Lima AGB. Non-Fickian Moisture Absorption in Vegetable Fiber Reinforced Polymer Composites: The Effect of the Mass Diffusivity. Polymers. 2021; 13(5):761. https://doi.org/10.3390/polym13050761
Chicago/Turabian StyleMelo, Rafaela Q. C., Marcus V. Lia Fook, and Antonio G. B. Lima. 2021. "Non-Fickian Moisture Absorption in Vegetable Fiber Reinforced Polymer Composites: The Effect of the Mass Diffusivity" Polymers 13, no. 5: 761. https://doi.org/10.3390/polym13050761
APA StyleMelo, R. Q. C., Fook, M. V. L., & Lima, A. G. B. (2021). Non-Fickian Moisture Absorption in Vegetable Fiber Reinforced Polymer Composites: The Effect of the Mass Diffusivity. Polymers, 13(5), 761. https://doi.org/10.3390/polym13050761

