Dual Transient Networks of Polymer and Micellar Chains: Structure and Viscoelastic Synergy
Abstract
:1. Introduction
2. Materials and Methods
2.1. Materials
2.2. Preparation of Samples
2.3. Phase Behavior
2.4. Small-Angle Neutron Scattering (SANS)
2.5. Rheology
2.6. NMR Spectroscopy
3. Results and Discussion
3.1. Critical Concentrations of HPG and Surfactants Solutions
3.2. Phase Behavior of HPG/Surfactant System
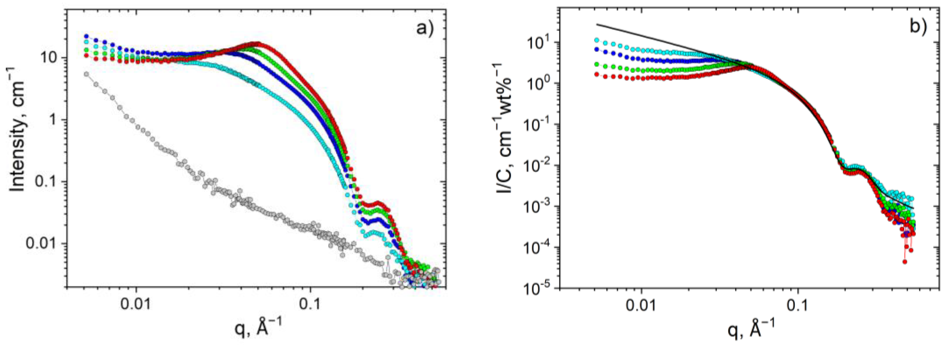
3.3. Structure of HPG/Surfactant System
3.4. Rheological Properties
4. Conclusions
Author Contributions
Funding
Institutional Review Board Statement
Informed Consent Statement
Data Availability Statement
Acknowledgments
Conflicts of Interest
References
- Zana, R.; Kaler, E.W. Giant Micelles: Properties and Applications; CRC Press: Boca Raton, FL, USA, 2007. [Google Scholar] [CrossRef]
- Feng, Y.; Chu, Z.; Dreiss, C.A. Smart Wormlike Micelles: Design, Characteristics and Applications; Springer: Berlin/Heidelberg, Germany, 2015. [Google Scholar] [CrossRef]
- Dreiss, C.A.; Feng, Y. Wormlike Micelles: Advances in Systems, Characterisation and Applications; The Royal Society of Chemistry: London, UK, 2017. [Google Scholar] [CrossRef]
- Chu, Z.; Dreiss, C.A.; Feng, Y. Smart wormlike micelles. Chem. Soc. Rev. 2013, 42, 7174–7203. [Google Scholar] [CrossRef] [PubMed]
- Molchanov, V.S.; Philippova, O.E.; Khokhlov, A.R.; Kovalev, Y.A.; Kuklin, A.I. Self-assembled networks highly responsive to hydrocarbons. Langmuir 2007, 23, 105–111. [Google Scholar] [CrossRef]
- Shibaev, A.V.; Tamm, M.V.; Molchanov, V.S.; Rogachev, A.V.; Kuklin, A.I.; Dormidontova, E.E.; Philippova, O.E. How a viscoelastic solution of wormlike micelles transforms into a microemulsion upon absorption of hydrocarbon: New insight. Langmuir 2014, 30, 3705–3714. [Google Scholar] [CrossRef] [PubMed]
- Fu, H.; Duan, W.; Zhang, T.; Xu, K.; Zhao, H.; Yang, L.; Zheng, C. Preparation and mechanism of pH and temperature stimulus-responsive wormlike micelles. Colloids Surf. A Physicochem. Eng. Asp. 2021, 624, 126788. [Google Scholar] [CrossRef]
- Liu, Q.; Lv, D.; Zhang, J.; Huang, C.; Yin, B.; Wei, X.; Li, J. Triple-responsive wormlike micelles based on cationic surfactant and sodium trans-o-methoxycinnamic acid. J. Mol. Liq. 2021, 324, 114680. [Google Scholar] [CrossRef]
- Yang, J. Viscoelastic wormlike micelles and their applications. Curr. Opin. Colloid Interface Sci. 2002, 7, 276–281. [Google Scholar] [CrossRef]
- Philippova, O.E.; Khokhlov, A.R. Smart polymers for oil production. Pet. Chem. 2010, 50, 266–270. [Google Scholar] [CrossRef]
- Zhao, J.; Fan, J.; Mao, J.; Yang, X.; Zhang, H.; Zhang, W. High performance clean fracturing fluid using a new tri-cationic surfactant. Polymers 2018, 10, 535. [Google Scholar] [CrossRef] [Green Version]
- Shibaev, A.V.; Aleshina, A.L.; Arkharova, N.A.; Orekhov, A.S.; Kuklin, A.I.; Philippova, O.E. Disruption of cationic/anionic viscoelastic surfactant micellar networks by hydrocarbon as a basis of enhanced fracturing fluids clean-up. Nanomaterials 2020, 10, 2353. [Google Scholar] [CrossRef] [PubMed]
- Gong, L.; Liao, G.; Luan, H.; Chen, Q.; Nie, X.; Liu, D.; Feng, Y. Oil solubilization in sodium dodecylbenzenesulfonate micelles: New insights into surfactant enhanced oil recovery. J. Colloid Interface Sci. 2020, 569, 219–228. [Google Scholar] [CrossRef]
- Couillet, I.; Hughes, T.; Maitland, G.; Candau, F. Synergistic effects in aqueous solutions of mixed wormlike micelles and hydrophobically modified polymers. Macromolecules 2005, 38, 5271–5282. [Google Scholar] [CrossRef]
- Shashkina, J.A.; Philippova, O.E.; Zaroslov, Y.D.; Khokhlov, A.R.; Pryakhina, T.A.; Blagodatskikh, I.V. Rheology of viscoelastic solutions of cationic surfactant. Effect of added associating polymer. Langmuir 2005, 21, 1524–1530. [Google Scholar] [CrossRef] [PubMed]
- Nakamura, K.; Shikata, T. Anionic hybrid threadlike micelle formation in an aqueous solution. J. Phys. Chem. B 2006, 110, 24802–24805. [Google Scholar] [CrossRef]
- Yoshida, T.; Taribagil, R.; Hillmyer, M.A.; Lodge, T.P. Viscoelastic synergy in aqueous mixtures of wormlike micelles and model amphiphilic triblock copolymers. Macromolecules 2007, 40, 1615–1623. [Google Scholar] [CrossRef]
- Ramos, L.; Ligoure, C. Structure of a new type of transient network: Entangled wormlike micelles bridged by telechelic polymers. Macromolecules 2007, 40, 1248–1251. [Google Scholar] [CrossRef]
- Hoffmann, I.; Heunemann, P.; Prévost, S.; Schweins, R.; Wagner, N.J.; Gradzielski, M. Self-aggregation of mixtures of oppositely charged polyelectrolytes and surfactants studied by rheology, dynamic light scattering and small-angle neutron scattering. Langmuir 2011, 27, 4386–4396. [Google Scholar] [CrossRef] [PubMed]
- Oikonomou, E.; Bokias, G.; Kallitsis, J.K.; Iliopoulos, I. Formation of hybrid wormlike micelles upon mixing cetyl trimethylammonium bromide with poly(methyl methacrylate-co-sodium styrene sulfonate) copolymers in aqueous solution. Langmuir 2011, 27, 5054–5061. [Google Scholar] [CrossRef]
- Mei, Y.; Han, Y.; Wang, H.; Xie, L.; Zhou, H. Electrostatic effect on synergism of wormlike micelles and hydrophobically modified polyacrylic acid. J. Surf. Deterg. 2014, 17, 323–330. [Google Scholar] [CrossRef]
- Chen, F.; Wu, Y.; Wang, M.; Zha, R. Self-assembly networks of wormlike micelles and hydrophobically modified polyacrylamide with high performance in fracturing fluid application. Colloid Polym. Sci. 2015, 293, 687–697. [Google Scholar] [CrossRef]
- Jiang, G.; Jiang, Q.; Sun, Y.; Liu, P.; Zhang, Z.; Ni, X.; Yang, L.; Wang, C. Supramolecular-structure-associating weak gel of wormlike micelles of erucoylamidopropyl hydroxy sulfobetaine and hydrophobically modified polymers. Energy Fuels 2017, 31, 4780–4790. [Google Scholar] [CrossRef]
- Sharma, H.; Dormidontova, E.E. Polymer-threaded and polymer-wrapped wormlike micelle solutions: Molecular dynamics simulations. Macromolecules 2019, 52, 7016–7027. [Google Scholar] [CrossRef]
- Shibaev, A.V.; Mityuk, D.Y.; Muravlev, D.A.; Philippova, O.E. Viscoelastic solutions of wormlike micelles of a cationic surfactant and a stiff-chain anionic polyelectrolyte. Polym. Sci. Ser. A 2019, 61, 765–772. [Google Scholar] [CrossRef]
- Brackman, J.C.; Engberts, J.B.F.N. Influence of polymers on the micellization of cetyltrimethylammonium salts. Langmuir 1991, 7, 2097–2102. [Google Scholar] [CrossRef]
- Li, X.; Lin, Z.; Cai, J.; Scriven, L.E.; Davis, H.T. Polymer-induced microstructural transitions in surfactant solutions. J. Phys. Chem. 1995, 99, 10865–10878. [Google Scholar] [CrossRef]
- Lin, Z.; Eads, C.D. Polymer-induced structural transitions in oleate solutions: Microscopy, rheology, and nuclear magnetic resonance studies. Langmuir 1997, 13, 2647–2654. [Google Scholar] [CrossRef]
- Francisco, K.R.; Da Silva, M.A.; Sabadini, E.; Karlsson, G.; Dreiss, C.A. Effect of monomeric and polymeric co-solutes on cetyltrimethylammonium bromide wormlike micelles: Rheology, cryo-TEM and small-angle neutron scattering. J. Colloid Interface Sci. 2010, 345, 351–359. [Google Scholar] [CrossRef]
- Shibaev, A.V.; Abrashitova, K.A.; Kuklin, A.I.; Orekhov, A.S.; Vasiliev, A.L.; Iliopoulos, I.; Philippova, O.E. Viscoelastic synergy and microstructure formation in aqueous mixtures of nonionic hydrophilic polymer and charged wormlike surfactant micelles. Macromolecules 2017, 50, 339–348. [Google Scholar] [CrossRef]
- Shibaev, A.V.; Makarov, A.V.; Kuklin, A.I.; Iliopoulos, I.; Philippova, O.E. Role of charge of micellar worms in modulating structure and rheological properties of their mixtures with nonionic polymer. Macromolecules 2018, 51, 213–221. [Google Scholar] [CrossRef]
- Castro, R.H.; Llanos, S.; Rodriguez, J.; Quintero, H.I.; Manrique, E. Polymers for EOR application in high temperature and high viscosity oils: Rock–fluid behavior. Energies 2020, 13, 5944. [Google Scholar] [CrossRef]
- Davarpanah, A. Parametric study of polymer-nanoparticles-assisted injectivity performance for axisymmetric two-phase flow in EOR processes. Nanomaterials 2020, 10, 1818. [Google Scholar] [CrossRef]
- Bai, Y.; Liu, S.; Liang, G.; Liu, Y.; Chen, Y.; Bao, Y.; Shen, Y. Wormlike micelles properties and oil displacement efficiency of a salt-tolerant C22-tailed amidosulfobetaine surfactant. Energy Explor. Exploit. 2021, 39, 1057–1075. [Google Scholar] [CrossRef]
- Farajzadeh, R.; Kahrobaei, S.; Eftekhari, A.A.; Mjeni, R.A.; Boersma, D.; Bruining, J. Chemical enhanced oil recovery and the dilemma of more and cleaner energy. Sci. Rep. 2021, 11, 829. [Google Scholar] [CrossRef]
- Hasan, A.M.A.; Abdel-Raouf, M.E. Applications of guar gum and its derivatives in petroleum industry: A review. Egypt. J. Pet. 2018, 27, 1043–1050. [Google Scholar] [CrossRef]
- Crescenzi, V.; Dentini, M.; Risica, D.; Spadoni, S.; Skjåk-Bræk, G.; Capitani, D.; Mannina, L.; Viel, S. C(6)-Oxidation followed by C(5)-epimerization of guar gum studied by high field NMR. Biomacromolecules 2004, 5, 537–546. [Google Scholar] [CrossRef]
- Xia, S.; Zhang, L.; Davletshin, A.; Li, Z.; You, J.; Tan, S. Application of polysaccharide biopolymer in petroleum recovery. Polymers 2020, 12, 1860. [Google Scholar] [CrossRef] [PubMed]
- Risica, D.; Barbetta, A.; Vischetti, L.; Cametti, C.; Dentini, M. Rheological properties of guar and its methyl, hydroxypropyl and hydroxypropyl-methyl derivatives in semidilute and concentrated aqueous solutions. Polymer 2010, 51, 1972–1982. [Google Scholar] [CrossRef]
- Szopinski, D.; Kulicke, W.-M.; Luinstra, G.A. Structure–property relationships of carboxymethyl hydroxypropyl guar gum in water and a hyperentanglement parameter. Carbohydr. Polym. 2015, 119, 159–166. [Google Scholar] [CrossRef]
- Cheng, Y.; Brown, K.M.; Prud’homme, R.K. Characterization and intermolecular interactions of hydroxypropyl guar solutions. Biomacromolecules 2002, 3, 456–461. [Google Scholar] [CrossRef]
- Lu, H.; Shi, Q.; Huang, Z. pH-Responsive anionic wormlike micelle based on sodium oleate induced by NaCl. J. Phys. Chem. B 2014, 118, 12511–12517. [Google Scholar] [CrossRef]
- Kanicky, J.R.; Shah, D.O. Effect of degree, type, and position of unsaturation on the pKa of long-chain fatty acids. J. Colloid Interface Sci. 2002, 256, 201–207. [Google Scholar] [CrossRef] [PubMed]
- Lieutenant, K.; Lindner, P.; Gähler, R. A new design for the standard pinhole small-angle neutron scattering instrument D11. J. Appl. Cryst. 2007, 40, 1056–1063. [Google Scholar] [CrossRef]
- Brûlet, A.; Lairez, D.; Lapp, A.; Cotton, J.-P. Improvement of data treatment in small-angle neutron scattering. J. Appl. Cryst. 2007, 40, 165–177. [Google Scholar] [CrossRef]
- Könnecke, M.; Akeroyd, F.A.; Bernstein, H.J.; Brewster, A.S.; Campbell, S.I.; Clausen, B.; Cottrell, S.; Hoffmann, J.U.; Jemian, P.R.; Männicke, D.; et al. The NeXus data format. J. Appl. Cryst. 2015, 48, 301–305. [Google Scholar] [CrossRef] [Green Version]
- Schmidt, I.; Cousin, F.; Huchon, C.; Boué, F.; Axelos, M.A.V. Spatial structure and composition of polysaccharide−protein complexes from small angle neutron scattering. Biomacromolecules 2009, 10, 1346–1357. [Google Scholar] [CrossRef] [Green Version]
- Philippova, O.E.; Shibaev, A.V.; Muravlev, D.A.; Mityuk, D.Y. Structure and rheology of solutions and gels of stiff polyelectrolyte at high salt concentration. Macromolecules 2016, 49, 6031–6040. [Google Scholar] [CrossRef]
- Shibaev, A.V.; Muravlev, D.A.; Muravleva, A.K.; Matveev, V.V.; Chalykh, A.E.; Philippova, O.E. pH-dependent gelation of a stiff anionic polysaccharide in the presence of metal ions. Polymers 2020, 12, 868. [Google Scholar] [CrossRef]
- Ospennikov, A.S.; Gavrilov, A.A.; Artykulnyi, O.P.; Kuklin, A.I.; Novikov, V.V.; Shibaev, A.V.; Philippova, O.E. Transformations of wormlike surfactant micelles induced by a water-soluble monomer. J. Colloid Interface Sci. 2021, 602, 590–601. [Google Scholar] [CrossRef]
- Glasoe, P.K.; Long, F.A. Use of glass electrodes to measure acidities in deuterium oxide. J. Phys. Chem. 1960, 64, 188–190. [Google Scholar] [CrossRef]
- Colby, R.H. Structure and linear viscoelasticity of flexible polymer solutions: Comparison of polyelectrolyte and neutral polymer solutions. Rheol. Acta 2010, 49, 425–442. [Google Scholar] [CrossRef]
- Aubry, T.; Moan, M. Rheological behavior of a hydrophobically associating water soluble polymer. J. Rheol. 1994, 38, 1681–1692. [Google Scholar] [CrossRef]
- Lapasin, R.; De Lorenzi, L.; Pricl, S.; Torriano, G. Flow properties of hydroxypropyl guar gum and its long-chain hydrophobic derivatives. Carbohydr. Polym. 1995, 28, 195–202. [Google Scholar] [CrossRef]
- Raghavan, S.R.; Fritz, G.; Kaler, E.W. Wormlike micelles formed by synergistic self-assembly in mixtures of anionic and cationic surfactants. Langmuir 2002, 18, 3797–3803. [Google Scholar] [CrossRef]
- Robeson, L. Historical perspective of advances in the science and technology of polymer blends. Polymers 2014, 6, 1251–1265. [Google Scholar] [CrossRef] [Green Version]
- Lewandowska, K.; Staszewska, D.U.; Miloslav Bohdanecký, M. The Huggins viscosity coefficient of aqueous solution of poly(vinyl alcohol). Eur. Polym. J. 2001, 37, 25–32. [Google Scholar] [CrossRef]
- Shibaev, A.V.; Molchanov, V.S.; Philippova, O.E. Rheological behavior of oil-swollen wormlike surfactant micelles. J. Phys. Chem. B 2015, 119, 15938–15946. [Google Scholar] [CrossRef] [PubMed]
- Stradner, A.; Sedgwick, H.; Cardinaux, F.; Poon, W.C.K.; Egelhaaf, S.U.; Schurtenberger, P. Equilibrium cluster formation in concentrated protein solutions and colloid. Nature 2004, 432, 492–495. [Google Scholar] [CrossRef] [Green Version]
- Sommer, C.; Pedersen, J.S.; Egelhaaf, S.U.; Cannavacciuolo, L.; Kohlbrecher, J.; Schurtenberger, P. Wormlike micelles as “equilibrium polyelectrolytes”: Light and neutron scattering experiments. Langmuir 2002, 18, 2495–2505. [Google Scholar] [CrossRef]
- Gamez-Corrales, R.; Berret, J.F.; Walker, L.M.; Oberdisse, J. Shear-thickening dilute surfactant solutions: Equilibrium structure as studied by small-angle neutron scattering. Langmuir 1999, 15, 6755–6763. [Google Scholar] [CrossRef]
- Shibaev, A.; Gervais, M.; Iliopoulos, I.; Matsarskaia, O.; Miquelard-Garnier, G.; Philippova, O.; Roland, S.; Sollogoub, C. Microphase Separation in Double Networks Comprised of Polymer and Micellar Chains; Institute Laue-Langevin (ILL): Grenoble, France, 2021. [Google Scholar] [CrossRef]
- Sharp, M.A.; Pranzas, P.K.; Schreyer, A. Going ultra: How we can increase the length scales studied in small-angle neutron scattering. Adv. Eng. Mater. 2009, 11, 441–445. [Google Scholar] [CrossRef] [Green Version]
- Wignall, G.D.; Alamo, R.G.; Londono, J.D.; Mandelkern, L.; Stehling, F.C. Small-angle neutron scattering investigations of liquid-liquid phase separation in heterogeneous linear low-density polyethylene. Macromolecules 1996, 29, 5332–5335. [Google Scholar] [CrossRef]
- Helgeson, M.E.; Gao, Y.X.; Moran, S.E.; Lee, J.K.; Godfrin, M.; Tripathi, A.; Bose, A.; Doyle, P.S. Homogeneous percolation versus arrested phase separation in attractively-driven nanoemulsion colloidal gels. Soft Matter 2014, 10, 3122–3133. [Google Scholar] [CrossRef] [Green Version]
- Xi, Y.Y.; Lankone, R.S.; Sung, L.P.; Liu, Y. Tunable thermo-reversible bicontinuous nanoparticle gel driven by the binary solvent segregation. Nat. Commun. 2021, 12, 910. [Google Scholar] [CrossRef]
- Xi, Y.Y.; Leao, J.B.; Ye, Q.; Lankone, R.S.; Sung, L.P.; Liu, Y. Controlling bicontinuous structures through a solvent segregation-driven gel. Langmuir 2021, 37, 2170–2178. [Google Scholar] [CrossRef]
- Dreiss, C.A. Wormlike micelles: Where do we stand? Recent developments, linear rheology and scattering techniques. Soft Matter 2007, 3, 956–970. [Google Scholar] [CrossRef]








| Peak ** | Position, ppm | Integral | ||
|---|---|---|---|---|
| HPG/Potassium Oleate/C8TAB | HPG | Potassium Oleate/C8TAB | ||
| 18, 8′ | 0.85–0.89 | 7.06 | 7.01 | |
| HPG hydroxypropyl | 1.15 | 3.32 | 2.92 | |
| 3′–7′, 4–7, 12–17 | 1.26–1.29 | 42.09 | 42.21 | |
| 3 | 1.52 | 3.48 | 3.57 | |
| 2′ | 1.72 | 1.32 | 1.39 | |
| 8, 11 | 2.00 | 6.65 | 6.68 | |
| 2 | 2.10 | 3.42 | 3.44 | |
| N-CH3 | 3.10 | 6.13 | 6.17 | |
| 1′ | 3.25 | 1.38 | 1.37 | |
| HPG CH2 CH | 3.45–4.11 | 10.72 | 10.73 | |
| HPG m1 | 4.73 | 0.60 | 0.60 | |
| HPG g1 | 5.01 | 0.40 | 0.39 | |
| HPG g1 | 5.18 | 0.09 | 0.07 | |
| 9, 10 | 5.32 | 3.31 | 3.31 | |
Publisher’s Note: MDPI stays neutral with regard to jurisdictional claims in published maps and institutional affiliations. |
© 2021 by the authors. Licensee MDPI, Basel, Switzerland. This article is an open access article distributed under the terms and conditions of the Creative Commons Attribution (CC BY) license (https://creativecommons.org/licenses/by/4.0/).
Share and Cite
Roland, S.; Miquelard-Garnier, G.; Shibaev, A.V.; Aleshina, A.L.; Chennevière, A.; Matsarskaia, O.; Sollogoub, C.; Philippova, O.E.; Iliopoulos, I. Dual Transient Networks of Polymer and Micellar Chains: Structure and Viscoelastic Synergy. Polymers 2021, 13, 4255. https://doi.org/10.3390/polym13234255
Roland S, Miquelard-Garnier G, Shibaev AV, Aleshina AL, Chennevière A, Matsarskaia O, Sollogoub C, Philippova OE, Iliopoulos I. Dual Transient Networks of Polymer and Micellar Chains: Structure and Viscoelastic Synergy. Polymers. 2021; 13(23):4255. https://doi.org/10.3390/polym13234255
Chicago/Turabian StyleRoland, Sébastien, Guillaume Miquelard-Garnier, Andrey V. Shibaev, Anna L. Aleshina, Alexis Chennevière, Olga Matsarskaia, Cyrille Sollogoub, Olga E. Philippova, and Ilias Iliopoulos. 2021. "Dual Transient Networks of Polymer and Micellar Chains: Structure and Viscoelastic Synergy" Polymers 13, no. 23: 4255. https://doi.org/10.3390/polym13234255
APA StyleRoland, S., Miquelard-Garnier, G., Shibaev, A. V., Aleshina, A. L., Chennevière, A., Matsarskaia, O., Sollogoub, C., Philippova, O. E., & Iliopoulos, I. (2021). Dual Transient Networks of Polymer and Micellar Chains: Structure and Viscoelastic Synergy. Polymers, 13(23), 4255. https://doi.org/10.3390/polym13234255

