Effects of Color Modifier on Degree of Monomer Conversion, Biaxial Flexural Strength, Surface Microhardness, and Water Sorption/Solubility of Resin Composites
Abstract
:1. Introduction
2. Materials and Methods
2.1. Materials Preparation
2.2. Degree of Monomer Conversion (DC)
2.3. Surface Microhardness (SH)
2.4. Biaxial Flexural Strength (BFS) and Modulus (BFM)
2.5. Water Sorption (Wsp) and Water Solubility (Wsl)
2.6. Statistical Analysis
3. Results
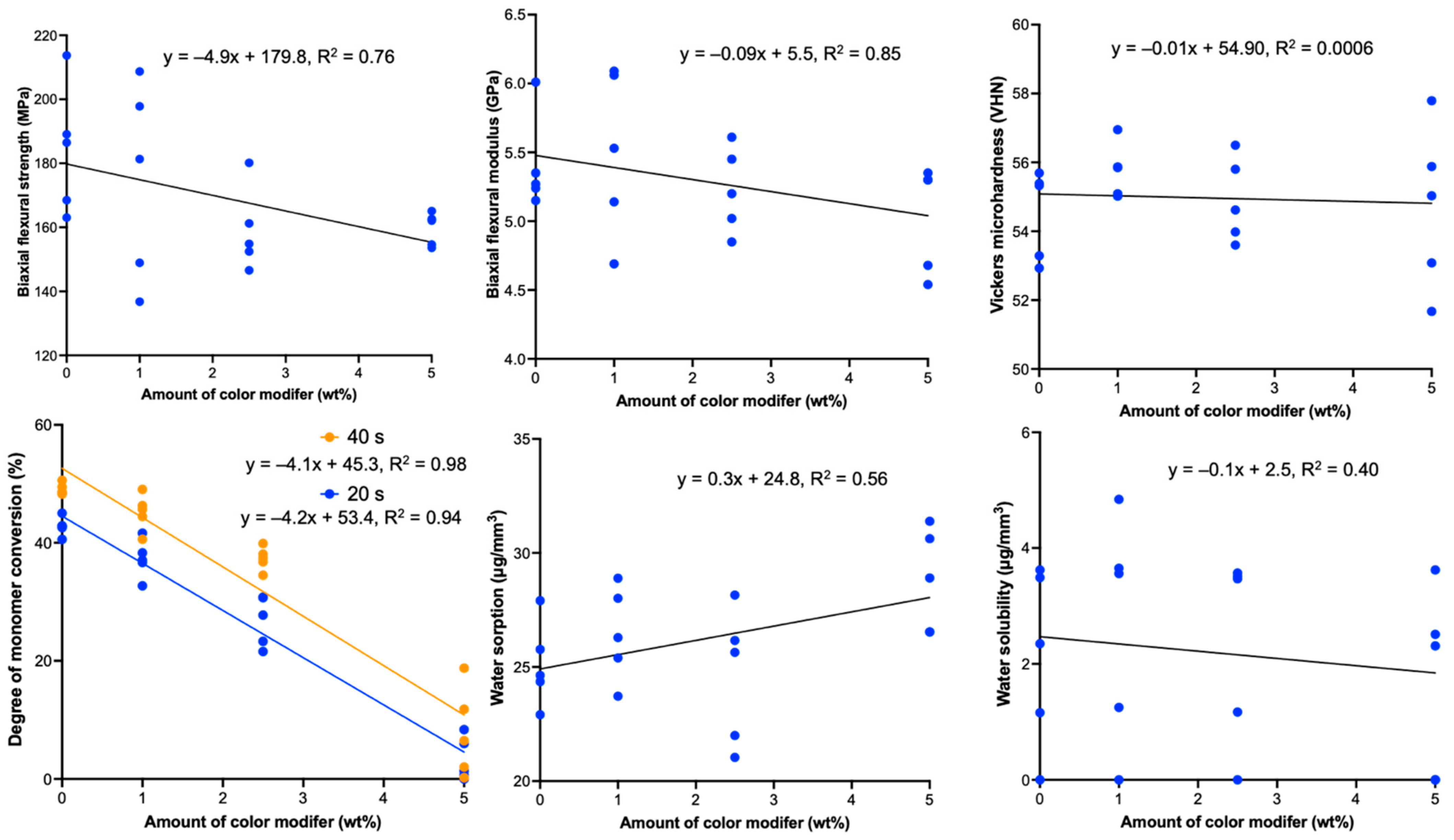
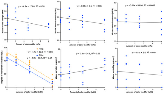
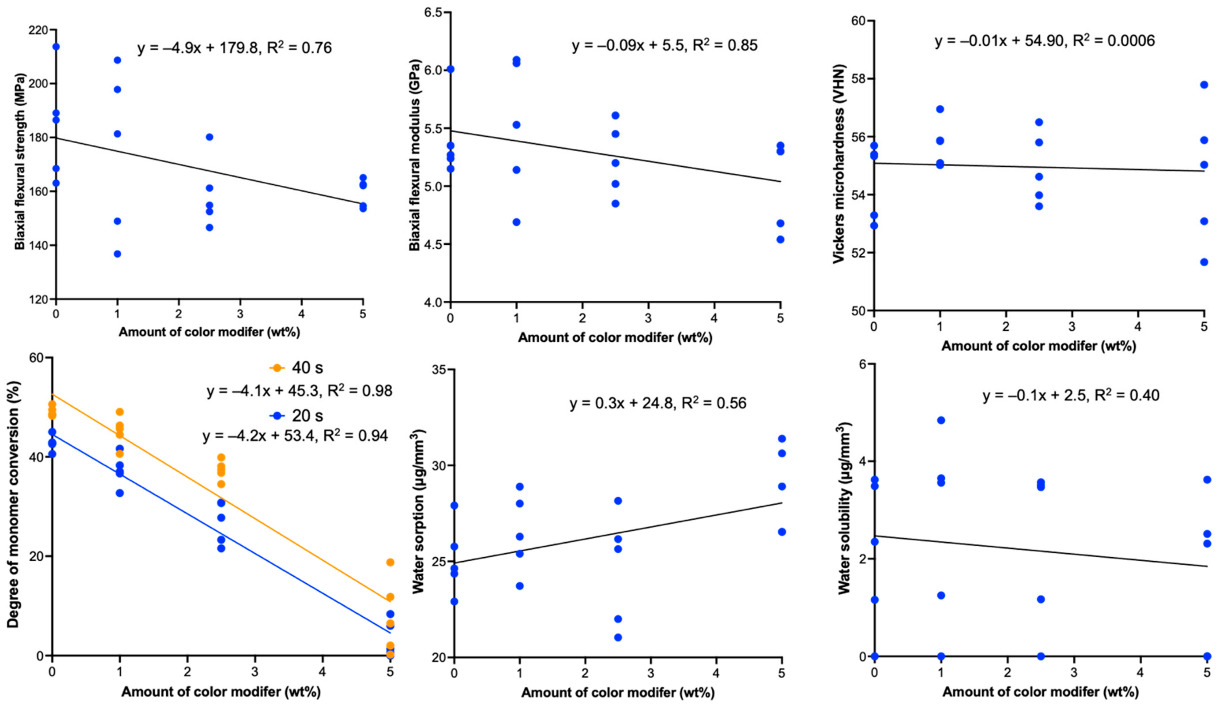
3.1. Degree of Monomer Conversion (DC)
3.2. Surface Microhardness
3.3. Biaxial Flexural Strength (BFS) and Modulus (BFM)
3.4. Water Sorption (Wsp) and Water Solubility (Wsl)
4. Discussion
5. Conclusions
- − - The composites containing different concentrations of color modifier (1, 2.5, or 5 wt%) exhibited no significant differences in biaxial flexural strength/modulus, surface microhardness, water sorption, and water solubility;
- − - The increase in color modifier concentration was correlated with a reduction in the degree of monomer conversion and the biaxial flexural strength of the composites. Additionally, the increase in color modifier concentration was correlated with an increase in the water sorption of the materials;
- − - The increase in light-curing time from 20 to 40 s significantly enhanced the degree of monomer conversion of the composites that were mixed with the color modifier.
Author Contributions
Funding
Institutional Review Board Statement
Informed Consent Statement
Data Availability Statement
Acknowledgments
Conflicts of Interest
References
- Enabulele, J.E.; Chukwumah, N.M.; Enabulele, O. Tetracycline use in children and knowledge of its oral implications among nursing mothers. Pediatr. Dent. J. 2020, 30, 224–230. [Google Scholar] [CrossRef]
- Faus-Matoses, V.; Faus-Matoses, I.; Ruiz-Bell, E.; Faus-Llacer, V.J. Severe tetracycline dental discoloration: Restoration with conventional feldspathic ceramic veneers. A clinical report. J. Clin. Exp. Dent. 2017, 9, e1379–e1382. [Google Scholar] [CrossRef] [PubMed]
- Finkelstein, D.L.; Calamia, J. Restoring Tetracycline-Stained Teeth with Feldspathic Porcelain Veneers. JCD 2019, 35, 60–70. [Google Scholar]
- Araujo, E.; Perdigão, J. Anterior Veneer Restorations-An Evidence-based Minimal-Intervention Perspective. J. Adhes. Dent. 2021, 23, 91–110. [Google Scholar] [PubMed]
- Yanikian, C.; Yanikian, F.; Sundfeld, D.; Lins, R.; Martins, L. Direct Composite Resin Veneers in Nonvital Teeth: A Still Viable Alternative to Mask Dark Substrates. Oper. Dent. 2019, 44, E159–E166. [Google Scholar] [CrossRef] [PubMed]
- Huhtala, M.F.R.L.; Pagani, C.; Torres, C.R.G.; Vallittu, P.K.; Matinlinna, J.P. Aesthetic Veneers: What Are They and How to Handle Them. In Modern Operative Dentistry; Springer: Cham, Switzerland, 2020; pp. 667–690. [Google Scholar]
- Pucci, C.R.; Barcellos, D.C.; Palazon, M.T.; Borges, A.B.; da Silva, M.A.; de Paiva Gonçalves, S.E. Evaluation of the cohesive strength between resin composite and light-curing characterizing materials. J. Adhes. Dent. 2012, 14, 69–73. [Google Scholar] [CrossRef]
- Lima, G.S.; Albino, L.; Dos Santos, C.S.; Cenci, M.S.; Pereira-Cenci, T. Occlusal and Esthetic Enhancement: A Noninvasive Approach to an Old Dilemma. Oper. Dent. 2020, 45, 467–472. [Google Scholar] [CrossRef]
- Fanfoni, L.; De Biasi, M.; Antollovich, G.; Di Lenarda, R.; Angerame, D. Evaluation of degree of conversion, rate of cure, microhardness, depth of cure, and contraction stress of new nanohybrid composites containing pre-polymerized spherical filler. J. Mater. Sci. Mater. Med. 2020, 31, 127. [Google Scholar] [CrossRef] [PubMed]
- Fonseca, A.S.; Labruna Moreira, A.D.; de Albuquerque, P.P.; de Menezes, L.R.; Pfeifer, C.S.; Schneider, L.F. Effect of monomer type on the CC degree of conversion, water sorption and solubility, and color stability of model dental composites. Dent. Mater. Off. Publ. Acad. Dent. Mater. 2017, 33, 394–401. [Google Scholar] [CrossRef]
- Al-Rawas, M.; Johari, Y.; Mohamad, D.; Khamis, M.F.; Ahmad, W.M.A.W.; Ariffin, Z.; Husein, A. Water sorption, solubility, degree of conversion, and surface hardness and topography of flowable composite utilizing nano silica from rice husk. J. Mater. Res. Technol. 2021, 15, 4173–4184. [Google Scholar] [CrossRef]
- Reidelbach, C.; Garcia-Kaufer, M.; Wingert, N.; Arif, A.; Vach, K.; Hellwig, E.; Gminski, R.; Polydorou, O. Cytotoxicity and estrogenicity in simulated dental wastewater after grinding of resin-based materials. Dent. Mater. Off. Publ. Acad. Dent. Mater. 2021, 37, 1486–1497. [Google Scholar] [CrossRef]
- Al-Qudah, A.A.; Mitchell, C.A.; Biagioni, P.A.; Hussey, D.L. Effect of composite shade, increment thickness and curing light on temperature rise during photocuring. J. Dent. 2007, 35, 238–245. [Google Scholar] [CrossRef]
- Jabr, N.A.B.; Al-Saidi, W.N.; Jabr, I.A.B.; Al-Bounni, R.S. Effect of Polymerization Time and Shade on the Depth of Cure of Nano-Hybrid Resin Composites. Eur. Dent. Res. Biomater. J. 2021, 2, 28–33. [Google Scholar] [CrossRef]
- Mehdawi, I.M.; Pratten, J.; Spratt, D.A.; Knowles, J.C.; Young, A.M. High strength re-mineralizing, antibacterial dental composites with reactive calcium phosphates. Dent. Mater. 2013, 29, 473–484. [Google Scholar] [CrossRef] [PubMed]
- Alrahlah, A.; Al-Odayni, A.B.; Al-Mutairi, H.F.; Almousa, B.M.; Alsubaie, F.S.; Khan, R.; Saeed, W.S. A Low-Viscosity BisGMA Derivative for Resin Composites: Synthesis, Characterization, and Evaluation of Its Rheological Properties. Materials 2021, 14, 338. [Google Scholar] [CrossRef] [PubMed]
- Potiprapanpong, W.; Thepveera, W.; Khamsuk, C.; Channasanon, S.; Tanodekaew, S.; Patntirapong, S.; Monmaturapoj, N.; Panpisut, P. Monomer Conversion, Dimensional Stability, Biaxial Flexural Strength, Ion Release, and Cytotoxicity of Resin-Modified Glass Ionomer Cements Containing Methacrylate-Functionalized Polyacids and Spherical Pre-Reacted Glass Fillers. Polymers 2021, 13, 2742. [Google Scholar] [CrossRef]
- Wang, R.; Wang, Y. Depth-dependence of Degree of Conversion and Microhardness for Dual-cure and Light-cure Composites. Oper. Dent. 2020, 45, 396–406. [Google Scholar] [CrossRef] [PubMed]
- Delgado, A.H.S.; Young, A.M. Methacrylate peak determination and selection recommendations using ATR-FTIR to investigate polymerisation of dental methacrylate mixtures. PLoS ONE 2021, 16, e0252999. [Google Scholar] [CrossRef] [PubMed]
- Thepveera, W.; Potiprapanpong, W.; Toneluck, A.; Channasanon, S.; Khamsuk, C.; Monmaturapoj, N.; Tanodekaew, S.; Panpisut, P. Rheological Properties, Surface Microhardness, and Dentin Shear Bond Strength of Resin-Modified Glass Ionomer Cements Containing Methacrylate-Functionalized Polyacids and Spherical Pre-Reacted Glass Fillers. J. Funct. Biomater. 2021, 12, 42. [Google Scholar] [CrossRef] [PubMed]
- Poskus, L.T.; Latempa, A.M.; Chagas, M.A.; Silva, E.M.; Leal, M.P.; Guimaraes, J.G. Influence of post-cure treatments on hardness and marginal adaptation of composite resin inlay restorations: An in vitro study. J. Appl. Oral. Sci. 2009, 17, 617–622. [Google Scholar] [CrossRef] [PubMed]
- Panpisut, P.; Liaqat, S.; Zacharaki, E.; Xia, W.; Petridis, H.; Young, A.M. Dental composites with calcium/strontium phosphates and polylysine. PLoS ONE 2016, 11, e0164653. [Google Scholar] [CrossRef] [PubMed]
- Panpisut, P.; Suppapatpong, T.; Rattanapan, A.; Wongwarawut, P. Monomer conversion, biaxial flexural strength, apatite forming ability of experimental dual-cured and self-adhesive dental composites containing calcium phosphate and nisin. Dent. Mater. J. 2021, 40, 399–406. [Google Scholar] [CrossRef]
- British Standard. BS EN ISO 4049:2019. In Dentistry-Polymer- based Restorative Materials; BSI Standards: London, United Kingdom, 2019. [Google Scholar]
- Faul, F.; Erdfelder, E.; Lang, A.G.; Buchner, A. G*Power 3: A flexible statistical power analysis program for the social, behavioral, and biomedical sciences. Behav. Res. Methods 2007, 39, 175–191. [Google Scholar] [CrossRef] [PubMed]
- Panpisut, P.; Khan, M.A.; Main, K.; Arshad, M.; Xia, W.; Petridis, H.; Young, A.M. Polymerization kinetics stability, volumetric changes, apatite precipitation, strontium release and fatigue of novel bone composites for vertebroplasty. PLoS ONE 2019, 14, e0207965. [Google Scholar] [CrossRef] [Green Version]
- Sigusch, B.W.; Pflaum, T.; Volpel, A.; Gretsch, K.; Hoy, S.; Watts, D.C.; Jandt, K.D. Resin-composite cytotoxicity varies with shade and irradiance. Dent. Mater. Off. Publ. Acad. Dent. Mater. 2012, 28, 312–319. [Google Scholar] [CrossRef]
- Ilie, N.; Furtos, G. A Comparative Study of Light Transmission by Various Dental Restorative Materials and the Tooth Structure. Oper. Dent. 2020, 45, 442–452. [Google Scholar] [CrossRef] [PubMed]
- Gaglianone, L.A.; Lima, A.F.; Araujo, L.S.; Cavalcanti, A.N.; Marchi, G.M. Influence of different shades and LED irradiance on the degree of conversion of composite resins. Braz. Oral. Res. 2012, 26, 165–169. [Google Scholar] [CrossRef] [PubMed]
- Aljabo, A.; Xia, W.; Liaqat, S.; Khan, M.A.; Knowles, J.C.; Ashley, P.; Young, A.M. Conversion, shrinkage, water sorption, flexural strength and modulus of re-mineralizing dental composites. Dent. Mater. Off. Publ. Acad. Dent. Mater. 2015, 31, 1279–1289. [Google Scholar] [CrossRef] [PubMed] [Green Version]
- Walters, N.J.; Xia, W.; Salih, V.; Ashley, P.F.; Young, A.M. Poly(propylene glycol) and urethane dimethacrylates improve conversion of dental composites and reveal complexity of cytocompatibility testing. Dent. Mater. Off. Publ. Acad. Dent. Mater. 2016, 32, 264–277. [Google Scholar] [CrossRef] [Green Version]
- Moldovan, M.; Balazsi, R.; Soanca, A.; Roman, A.; Sarosi, C.; Prodan, D.; Vlassa, M.; Cojocaru, I.; Saceleanu, V.; Cristescu, I. Evaluation of the Degree of Conversion, Residual Monomers and Mechanical Properties of Some Light-Cured Dental Resin Composites. Materials 2019, 12, 2109. [Google Scholar] [CrossRef] [PubMed] [Green Version]
- Ebner, C.; Mitterer, J.; Gonzalez-Gutierrez, J.; Riess, G.; Kern, W. Resins for Frontal Photopolymerization: Combining Depth-Cure and Tunable Mechanical Properties. Materials 2021, 14, 743. [Google Scholar] [CrossRef]
- Watts, D.C. Reaction kinetics and mechanics in photo-polymerised networks. Dent. Mater. Off. Publ. Acad. Dent. Mater. 2005, 21, 27–35. [Google Scholar] [CrossRef] [PubMed]
- Guiraldo, R.D.; Consani, S.; Consani, R.L.; Berger, S.B.; Mendes, W.B.; Sinhoreti, M.A. Light energy transmission through composite influenced by material shades. Bull. Tokyo Dent. Coll. 2009, 50, 183–190. [Google Scholar] [CrossRef] [PubMed] [Green Version]
- Mousavinasab, S.-M.; Atai, M.; Salehi, N.; Salehi, A. Effect of Shade and Light Curing Mode on the Degree of Conversion of Silorane-Based and Methacrylate-Based Resin Composites. J. Dent. Biomater. 2016, 3, 299–305. [Google Scholar]
- Queiroz, R.S.; de Lima, J.P.M.; Malta, D.A.M.P.; Rastelli, A.N.D.; Cuin, A.; Porto, S.D. Changes on Transmittance Mode of Different Composite Resins. Mater. RES-IBERO-AM J. 2009, 12, 127–132. [Google Scholar] [CrossRef]
- Azhar, G.; Haas, K.; Wood, D.J.; van Noort, R.; Moharamzadeh, K. The Effects of Colored Pigments on the Translucency of Experimental Dental Resin Composites. Eur. J. Prosthodont. Restor. Dent. 2019, 27, 3–9. [Google Scholar] [CrossRef]
- Cuevas-Suarez, C.E.; Meereis, C.T.W.; D’Accorso, N.; Macchi, R.; Ancona-Meza, A.L.; Zamarripa-Calderon, E. Effect of radiant exposure and UV accelerated aging on physico-chemical and mechanical properties of composite resins. J. Appl. Oral. Sci. 2019, 27, e20180075. [Google Scholar] [CrossRef] [PubMed] [Green Version]
- Calheiros, F.C.; Kawano, Y.; Stansbury, J.W.; Braga, R.R. Influence of radiant exposure on contraction stress, degree of conversion and mechanical properties of resin composites. Dent. Mater. Off. Publ. Acad. Dent. Mater. 2006, 22, 799–803. [Google Scholar] [CrossRef] [PubMed]
- Calheiros, F.C.; Daronch, M.; Rueggeberg, F.A.; Braga, R.R. Degree of conversion and mechanical properties of a BisGMA:TEGDMA composite as a function of the applied radiant exposure. J. Biomed. Mater. Res. B Appl. Biomater. 2008, 84, 503–509. [Google Scholar] [CrossRef] [PubMed]
- Strazzi-Sahyon, H.B.; Rocha, E.P.; Assuncao, W.G.; Dos Santos, P.H. Influence of Light-Curing Intensity on Color Stability and Microhardness of Composite Resins. Int. J. Periodontics Restor. Dent. 2020, 40, 129–134. [Google Scholar] [CrossRef] [PubMed]
- Al-Odayni, A.-B.; Saeed, W.S.; Khan, R.; Al-Kahtani, A.; Aouak, T.; Almutairi, K.; Alrahlah, A. Viscosity, Degree of Polymerization, Water Uptake, and Water Solubility Studies on Experimental Dichloro-BisGMA-Based Dental Composites. Appl. Sci. 2021, 11, 3577. [Google Scholar] [CrossRef]
- Sideridou, I.; Tserki, V.; Papanastasiou, G. Study of water sorption, solubility and modulus of elasticity of light-cured dimethacrylate-based dental resins. Biomaterials 2003, 24, 655–665. [Google Scholar] [CrossRef]
- Ferracane, J.L. Hygroscopic and hydrolytic effects in dental polymer networks. Dent. Mater. Off. Publ. Acad. Dent. Mater. 2006, 22, 211–222. [Google Scholar] [CrossRef]
- Kim, H.J.; Bagheri, R.; Kim, Y.K.; Son, J.S.; Kwon, T.Y. Influence of Curing Mode on the Surface Energy and Sorption/Solubility of Dental Self-Adhesive Resin Cements. Materials 2017, 10, 129. [Google Scholar] [CrossRef] [PubMed] [Green Version]
- Wendler, M.; Stenger, A.; Ripper, J.; Priewich, E.; Belli, R.; Lohbauer, U. Mechanical degradation of contemporary CAD/CAM resin composite materials after water ageing. Dent. Mater. Off. Publ. Acad. Dent. Mater. 2021, 37, 1156–1167. [Google Scholar] [CrossRef] [PubMed]







| Materials | Composition | Suppliers |
|---|---|---|
| Harmonize (Shade A3) | - Poly(oxy-1,2-ethanediyl) and α,α’-[(1- methylethylidene)di-4,1-phenylene]bis[ω-[(2- methyl-1-oxo-2-propen-1-yl)oxy] (25–50 wt%) - 3-trimethoxysilylpropyl methacrylate (<5 wt%) - 2,2’-ethylenedioxydiethyl dimethacrylate (<3 wt%) - Barium glass | Kerr Corporation, Orange, CA, USA |
| Kolor Plus (Shade brown) | - Silanated barium borosilicate glass (30–60 wt%), - Triethylene glycol dimethacrylate (< 10 wt%) - Fume silica treated (1–5 wt%) - Fumed silica (1–5 wt%) - Titanium dioxide (1–5 wt%) - 2-ethylhexyl-4-(dimethylamino) benzoate (<1 wt%) - 2-hydroxy-4-methoxybenzophenone (<1 wt%) - 2,6-di-(tert-butyl)-4-methylphenol (<1 wt%) | Kerr Corporation, Orange, CA, USA |
| Materials/Properties | 1. DC 20 s (%) | 2. DC 40 s (%) | 3. BFS (MPa) | 4. BFM (GPa) | 5. SH (VHN) | 6. Wsp (μg/mm3) | 7. Wsl (μg/mm3) |
|---|---|---|---|---|---|---|---|
| Group 1 (Control group) | 42.8 (1.6) a,b,A | 49.1 (1.0) a,b,A | 184.2 (20.0) | 5.4 (0.3) | 54.2 (1.7) | 25.1 (1.9) | 2.1 (1.5) |
| Group 2 (1 wt%) | 37.3 (3.2) c,d,B | 45.2 (3.1) c,d,B | 174.7 (31.0) | 5.5 (0.6) | 55.8 (0.8) | 26.5 (2.1) | 2.7 (1.7) |
| Group 3 (2.5 wt%) | 26.8 (4.2) a,c,e,C | 37.3 (2.0) a,c,e,C | 159.1 (12.9) | 5.2 (0.3) | 54.9 (1.2) | 24.6 (3.0) | 2.3 (1.5) |
| Group 4 (5 wt%) | 3.3 (3.7) b,d,e,D | 7.9 (7.6) a,c,e,D | 159.6 (5.1) | 5.0 (0.4) | 54.7 (2.4) | 28.8 (2.3) | 1.7 (1.4) |
| p-value from correlation analysis | <0.0001 | <0.0001 | 0.0476 | 0.0887 | 0.7686 | 0.0487 | 0.5275 |
Publisher’s Note: MDPI stays neutral with regard to jurisdictional claims in published maps and institutional affiliations. |
© 2021 by the authors. Licensee MDPI, Basel, Switzerland. This article is an open access article distributed under the terms and conditions of the Creative Commons Attribution (CC BY) license (https://creativecommons.org/licenses/by/4.0/).
Share and Cite
Saikaew, P.; Phimolthares, P.; Phitakthanaakul, P.; Sirikul, P.; Mekrakseree, S.; Panpisut, P. Effects of Color Modifier on Degree of Monomer Conversion, Biaxial Flexural Strength, Surface Microhardness, and Water Sorption/Solubility of Resin Composites. Polymers 2021, 13, 3902. https://doi.org/10.3390/polym13223902
Saikaew P, Phimolthares P, Phitakthanaakul P, Sirikul P, Mekrakseree S, Panpisut P. Effects of Color Modifier on Degree of Monomer Conversion, Biaxial Flexural Strength, Surface Microhardness, and Water Sorption/Solubility of Resin Composites. Polymers. 2021; 13(22):3902. https://doi.org/10.3390/polym13223902
Chicago/Turabian StyleSaikaew, Pipop, Patchara Phimolthares, Pheeratas Phitakthanaakul, Panthira Sirikul, Suwannee Mekrakseree, and Piyaphong Panpisut. 2021. "Effects of Color Modifier on Degree of Monomer Conversion, Biaxial Flexural Strength, Surface Microhardness, and Water Sorption/Solubility of Resin Composites" Polymers 13, no. 22: 3902. https://doi.org/10.3390/polym13223902
APA StyleSaikaew, P., Phimolthares, P., Phitakthanaakul, P., Sirikul, P., Mekrakseree, S., & Panpisut, P. (2021). Effects of Color Modifier on Degree of Monomer Conversion, Biaxial Flexural Strength, Surface Microhardness, and Water Sorption/Solubility of Resin Composites. Polymers, 13(22), 3902. https://doi.org/10.3390/polym13223902

