An Overview on the Novel Core-Shell Electrodes for Solid Oxide Fuel Cell (SOFC) Using Polymeric Methodology
Abstract
1. Introduction
1.1. Polarizations of Fuel Cells
1.2. Conventional TPBs Extension in Electrodes
1.3. Proposed Core-Shell Electrodes
2. Core-Shell Electrodes Preparation
2.1. Core-Shell Anode Preparation
2.2. Core-Shell Cathode Preparation
3. Results and Discussion of Core-Shell Electrodes
3.1. Core-Shell Anode of SLTN-LSBC
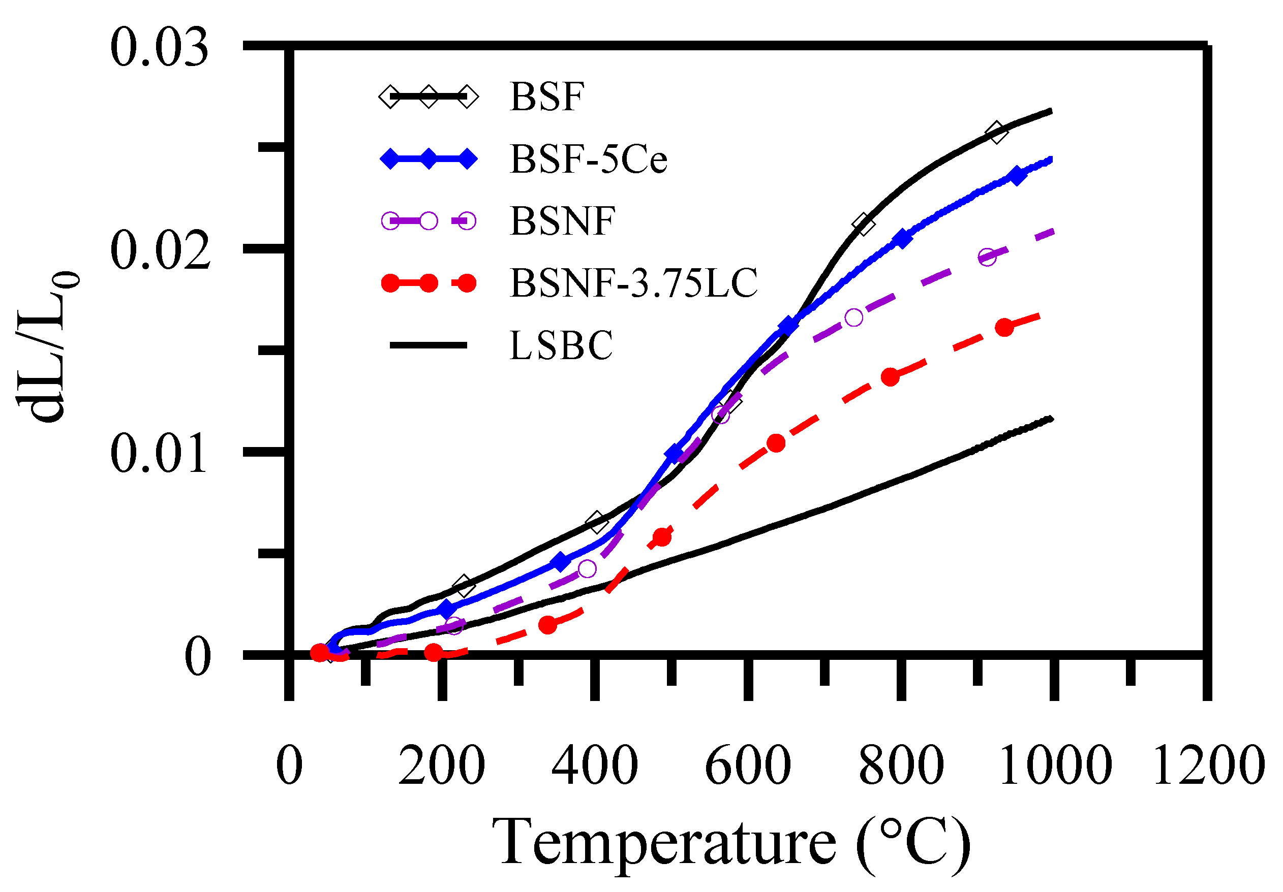
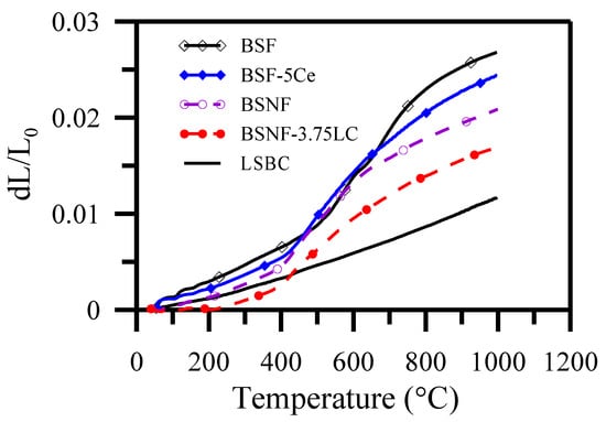
3.2. Core-Shell Cathode of BSNF-LC
3.3. Psudo-Core-Shell Anode by Ultrasonic Spray Pyrolyzed Impregnation
4. Conclusions and Future Respective
Author Contributions
Funding
Institutional Review Board Statement
Informed Consent Statement
Data Availability Statement
Conflicts of Interest
References
- Taner, T. Energy and exergy analyze of PEM fuel cell: A case study of modeling and simulations. Energy 2018, 143, 284–294. [Google Scholar]
- Taner, T. The novel and innovative design with using H2 fuel of PEM fuel cell: Efficiency of thermodynamic analyze. Fuel 2021, 302, 121109. [Google Scholar] [CrossRef]
- Ormerod, M.R. Solid oxide fuel cells. Chem. Soc. Rev. 2003, 32, 17–28. [Google Scholar]
- Hayashi, K.; Yokoo, M.; Yoshida, Y.; Arai, H. Solid oxide fuel cell stack with high electrical efficiency. NTT Tech. Rev. 2009, 7, 1–5. [Google Scholar]
- Antonucci, V.; Branchini, L.; Brunaccini, G.; De Pascale, A.; Ferraro, M.; Melino, F.; Orlandini, V.; Sergi, F. Thermal integration of a SOFC power generator and a Na–NiCl2 battery for CHP domestic application. Appl. Energy 2017, 185, 1256–1267. [Google Scholar] [CrossRef]
- Ng, K.H.; Rahman, H.A.; Somalu, M.R. Review: Enhancement of composite anode materials for low-temperature solid oxide fuels. Int. J. Hydrog. Energy 2019, 44, 30692–30704. [Google Scholar] [CrossRef]
- Abd Aziz, A.J.; Baharuddin, N.A.; Somalu, M.R.; Muchtar, A. Review of composite cathodes for intermediate-temperature solid oxide fuel cell applications. Ceram. Int. 2020, 46, 23314–23325. [Google Scholar] [CrossRef]
- Mahmud, L.S.; Muchtar, A.; Somalu, M.R. Challenges in fabricating planar solid oxide fuel cells: A review. Renew. Sustain. Energy Rev. 2017, 72, 105–116. [Google Scholar]
- Singhal, S.C. Solid oxide fuel cells for power generation. Wiley Interdiscip. Rev. Energy Environ. 2013, 3, 179–194. [Google Scholar] [CrossRef]
- Zhao, F.; Virkar, A.V. Dependence of polarization in anode-supported solid oxide fuel cells on various cell parameters. J. Power Source 2005, 141, 79–95. [Google Scholar] [CrossRef]
- Wang, H.K.; Alfred, J.S.; Venkataraman, T. Trends in electrode development for next generation solid oxide fuel cells. J. Mater. Chem. A 2016, 4, 17913–17932. [Google Scholar]
- Atkinson, A.; Barnett, S.; Gorte, R.J.; Irvine, J.T.S.; McEvoy, A.J.; Mogensen, M.; Singhal, S.C.; Vohs, J.M. Advanced anodes for high-temperature fuel cells. Nat. Mater. 2004, 3, 17–27. [Google Scholar] [CrossRef]
- Zhou, X.W.; Yan, N.; Chuang, K.T.; Luo, J.L. Progress in La-doped SrTiO3 (LST)-based anode materials for solid oxide fuel cells. RSC Adv. 2014, 4, 118–131. [Google Scholar] [CrossRef]
- Brett, D.J.L.; Atkinson, A.; Brandon, N.P.; Skinner, S.J. Intermediate temperature solid oxide fuel cells. Chem. Soc. Rev. 2008, 37, 1568–1578. [Google Scholar] [CrossRef]
- Shen, S.; Yang, Y.; Guo, L.; Liu, H. A polarization model for a solid oxide fuel cell with a mixed ionic and electronic conductor as electrolyte. J. Power Source 2014, 256, 43–51. [Google Scholar] [CrossRef]
- He, S. Electrode/electrolyte interface and interface reactions of solid oxide cells: Recent development and advances. Prog. Natural Sc. Mater. Int. 2021, 31, 341–372. [Google Scholar] [CrossRef]
- Deseure, J.; Bultel, Y.; Dessemond, L.; Siebert, E. Theoretical optimisation of a SOFC composite cathode. Electrochim. Acta 2005, 50, 2037–2046. [Google Scholar] [CrossRef]
- Liu, Y.; Wang, F.; Chi, B.; Pu, J.; Jian, L.; Jiang, S.P. A stability study of impregnated LSCF-GDC composite cathodes of solid oxide fuel cells. J. Alloys Compd. 2013, 578, 37–43. [Google Scholar] [CrossRef]
- Shekhar, R.S.; Bertei, A.; Monder, D.S. Structure-Properties-Performance: Modelling a solid oxide fuel cell with infiltrated electrodes. J. Electrochem. Soc. 2020, 167, 084523. [Google Scholar] [CrossRef]
- Vijay, P.; Tadé, M.O.; Shao, Z.P. Model based evaluation of the electrochemical reaction sites in solid oxide fuel cell electrodes. Int. J. Hydrogen Energy 2019, 44, 8439–8459. [Google Scholar] [CrossRef]
- Fukunaga, H. The relationship between overpotential and the three phase boundary length. Solid State Ionics 1996, 86–88, 1179–1185. [Google Scholar] [CrossRef]
- Mukhopadhyay, M.; Mukhopadhyay, J.; Sharma, A.D.; Basu, R.N. In-situ patterned intra-anode triple phase boundary in SOFC electroless anode: An enhancement of electrochemical performance. Int. J. Hydrogen Energy 2011, 36, 7677–7682. [Google Scholar] [CrossRef]
- Yashima, M.; Takizawa, T. Atomic displacement parameters of ceria doped with rare-earth oxide Ce0.8R0.2O1.9 (R = La, Nd, Sm, Gd, Y, and Yb) and correlation with oxide-ion conductivity. J. Phys. Chem. C 2020, 114, 2385–2392. [Google Scholar] [CrossRef]
- Chang, H.Y.; Wang, Y.M.; Lin, C.H.; Cheng, S.Y. Effects of rapid process on the conductivity of multiple elements doped ceria-based electrolyte. J. Power Source 2011, 196, 1704–1711. [Google Scholar] [CrossRef]
- Takeguchi, T.; Kikuchi, R.; Yano, T.; Eguchi, K.; Murata, K. Effect of precious metal addition to Ni-YSZ cermet on reforming of CH4 and electrochemical activity as SOFC anode. Catal. Today 2003, 84, 217–222. [Google Scholar] [CrossRef]
- Kan, H.; Lee, H. Enhanced stability of Ni-Fe/GDC solid oxide fuel cell anodes for dry methane fuel. Catal. Commun. 2010, 12, 36–39. [Google Scholar] [CrossRef]
- Huang, B.; Wang, S.R.; Liu, R.Z.; Wen, T.L. Preparation and performance characterization of the Fe-Ni/ScSZ cermet anode for oxidation of ethanol fuel in SOFCs. J. Power Source 2007, 167, 288–294. [Google Scholar] [CrossRef]
- Faes, A.; Hessler-Wyser, A.; Presvytes, D.; Vayenas, C.G.; Vanherle, J. Nickel-zirconia anode degradation and triple phase boundary quantification from microstructural analysis. Fuel Cell 2009, 9, 841–851. [Google Scholar] [CrossRef]
- Huang, T.J.; Chou, C.L. Oxygen dissociation and interfacial transfer rate on performance of SOFCs with metal-added (LaSr)(CoFe)O3-(Ce,Gd)O2-δ cathodes. Fuel Cell 2010, 10, 718–725. [Google Scholar] [CrossRef]
- Li, C.X.; Liu, S.; Zhang, Y.; Li, C.J. Characterization of the microstructure and electrochemical behavior of Sm0.7Sr0.3Co3−δ cathode deposited by solution precursor plasma spraying. Int. J. Hydrogen Energy 2012, 37, 13097–13102. [Google Scholar] [CrossRef]
- Küngas, R.; Vohs, J.M.; Gorte, R.J. Effect of the ionic conductivity of the electrolyte in composite SOFC cathodes. J. Electrochem. Soc. 2011, 158, B743. [Google Scholar] [CrossRef]
- Hua, B.; Yan, N.; Li, M.; Sun, Y.F.; Zhang, Y.Q.; Li, J.; Etsell, T.; Sarkar, P.; Luo, J.L. Anode-engineered protonic ceramic fuel cell with excellent performance and fuel compatibility. Adv. Mater. 2016, 28, 8922–8926. [Google Scholar] [CrossRef]
- Zhu, X.; Lü, Z.; Wei, B.; Chen, K.; Liu, M.; Huang, X.; Su, W. Fabrication and performance of membrane solid oxide fuel cells with La0.75Sr0.25Cr0.5Mn0.5O3−δ impregnated anodes. J. Power Sources 2010, 195, 1793–1798. [Google Scholar] [CrossRef]
- Wang, K.; Ran, R.; Zhou, W.; Gu, H.; Zongping Shao, Z.P.; Ahn, J.M. Properties and performance of Ba0.5Sr0.5Co0.8Fe0.2O3−δ +Sm0.2Ce0.8O1.9 composite cathode. J. Power Source 2008, 179, 60–68. [Google Scholar] [CrossRef]
- Su, C.; Shao, Z.; Lin, Y.; Wu, Y.; Wang, H. Solid oxide fuel cells with both high voltage and power output by utilizing beneficial interfacial reaction. Phys. Chem. Chem. Phys. 2012, 14, 12173–12181. [Google Scholar] [CrossRef] [PubMed]
- Driscoll, D.R.; McIntyre, M.D.; Welander, M.M.; Sofie, S.W.; Walker, R.A. Enhancement of high temperature metallic catalysts: Aluminum titanate in the nickel-zirconia system. Appl. Catal. A 2016, 527, 36–44. [Google Scholar] [CrossRef]
- Welander, M.M.; Zachariasen, M.S.; Hunt, C.D.; Sofie, S.W.; Walker, R.A. Operando Studies of Redox Resilience in ALT Enhanced NiO-YSZ SOFC Anodes. J. Electrochem. Soc. 2018, 165, F152–F157. [Google Scholar] [CrossRef]
- Wang, Z.; Zhang, N.; Qiao, J.; Sun, K.; Xu, P. Improved SOFC performance with continuously graded anode functional layer. Electrochem. Commun. 2009, 11, 1120–1123. [Google Scholar] [CrossRef]
- Young, D.; Sukeshini, A.M.; Cummins, R.; Xiao, H.; Rottmayer, M.; Reitz, T. Ink-jet printing of electrolyte and anode functional layer for solid oxide fuel cells. J. Power Source 2008, 184, 191–196. [Google Scholar] [CrossRef]
- Lee, K.T.; Vito, N.J.; Wachsman, E.D. Comprehensive quantification of Ni–Gd0.1Ce0.9O1.95 anode functional layer microstructures by three-dimensional reconstruction using a FIB/SEM dual beam system. J. Power Source 2013, 228, 220–228. [Google Scholar] [CrossRef]
- Mitterdorfer, A.; Gauckler, L.J. La2Zr2O7 formation and oxygen reduction kinetics of the La0.85Sr0.15MnyO3, O2(g)|YSZ system. Solid State Ionics 1998, 111, 185–218. [Google Scholar] [CrossRef]
- Zhang, J.-P.; Jiang, S.-P.; Jonathan, G.; Love, K.F.; Badwal, S.P.S. Chemical interactions between strontium-doped praseodymium manganite and 3 mol% yttria-zirconia. J. Mater. Chem. 1998, 8, 2787–2794. [Google Scholar] [CrossRef]
- Jiang, S.P.; Zhhang, J.P.; Ramprakash, Y.; Milosevic, D.; Wilshier, K. An investigation of shelf-life of strontium doped LaMnO3 materials. J. Mater. Sci. 2000, 35, 2735–2741. [Google Scholar] [CrossRef]
- Wang, F.; Nishi, M.; Brito, M.E.; Kishimoto, H.; Yamaji, K.; Yokokawa, H.; Horita, T. Sr and Zr diffusion in LSCF/10GDC/8YSZ triplets for solid oxide fuel cells (SOFCs). J. Power Source 2014, 258, 281–289. [Google Scholar] [CrossRef]
- Zhang, L.; Li, X.; Zhang, L.; Cai, H.; Xu, J.; Wang, L.; Long, W. Improved thermal expansion and electrochemical performance of La0.4Sr0.6Co0.9Sb0.1O3−δ-Ce0.8Sm0.2O1.9 composite cathode for IT-SOFCs. Solid State Sci. 2019, 91, 126–132. [Google Scholar] [CrossRef]
- Lee, S.; Kim, G.; Vohs, J.M.; Gorte, R.J. SOFC anodes based on infiltration of La0.3Sr0.7TiO3. J. Electrochem. Soc. 2008, 155, B1179–B1183. [Google Scholar] [CrossRef]
- Kim, G.; Lee, S.; Shin, J.Y.; Corre, G.; Irvine, J.T.S.; Vohs, J.M.; Gorte, R.T. Investigation of the structural and catalytic requirements for high-performance SOFC anodes formed by infiltration of LSCM. Electrochem. Solid-State Lett. 2009, 12, B48–B52. [Google Scholar] [CrossRef]
- Sholklapper, T.Z.; Radmilovic, V.; Jacobson, C.P.; Visco, S.J.; De Jonghe, L.C. Synthesis and stability of a nanoparticle-infiltrated solid oxide fuel cell electrode. Electrochem. Solid State Lett. 2007, 10, B74–B76. [Google Scholar] [CrossRef][Green Version]
- Chang, H.Y.; Cheng, S.Y.; Sheu, C.I. Controlling Interface Characteristics by Adjusting Core-shell Structure. Acta Materialia 2004, 52, 5389–5396. [Google Scholar] [CrossRef]
- Chang, H.Y.; Cheng, S.Y.; Sheu, C.I.; Wang, Y.H. Core-shell Structure of Strontium Titanate Self-grown by a Hydrothermal Process for Use in Grain Boundary Barrier Layers. Nanotechnology 2003, 14, 603–608. [Google Scholar] [CrossRef]
- Caruso, F. Nanoengineering of particle surfaces. Adv. Mater. 2001, 13, 11. [Google Scholar] [CrossRef]
- Pudmich, G.; Boukamp, B.A.; Gonzalez-Cuenca, M.; Jungen, W.; Zipprich, W.; Tietz, F. Chromite/titanate based perovskites for application as anodes in solid oxide fuel cells. Solid State Ionics 2000, 135, 433–438. [Google Scholar] [CrossRef]
- Gong, M.Y.; Liu, X.B.; Trembly, J.; Johnson, C. Sulfur-tolerant anode materials for solid oxide fuel cell application. J. Power Source 2007, 168, 289–298. [Google Scholar] [CrossRef]
- Li, X.; Zhao, H.L.; Xu, N.S.; Zhou, X.; Zhang, C.J.; Chen, N. Electrical conduction behavior of La, Co co-doped SrTiO3 perovskite as anode material for solid oxide fuel cells. Int. J. Hydrogen Energ. 2009, 34, 6407–6414. [Google Scholar] [CrossRef]
- McIntosh, R.S.; Gorte, R.J. Direct hydrocarbon solid oxide fuel cells. Chem. Rev. 2004, 104, 4845–4865. [Google Scholar] [CrossRef] [PubMed]
- Chang, H.Y.; Wang, S.H.; Wang, Y.M.; Lai, C.W.; Lin, C.H.; Cheng, S.Y. Novel core-shell structure of perovskite anode and characterization. Int. J. Hydrogen Energy 2012, 37, 7771–7778. [Google Scholar] [CrossRef]
- Akalin, G.O.; Taner, O.O.; Taner, T. The preparation, characterization and antibacterial properties of chitosan/pectin silver nanoparticle films. Polym. Bull. 2021, 1–18. [Google Scholar] [CrossRef]
- Dhanapal, A.; Sasikala, P.; Rajamani, L.; Kavitha, V.; Yazhini, G.; Banu, M.S. Edible films from polysaccharides. Food Sci Qual Manag. 2012, 3, 2224–6088. [Google Scholar]
- Cazon, P.; Velazquez, G.; Ramirez, J.A.; Vazquez, M. Polysaccharide-based films and coatings for food packaging: A review. Food Hydrocol. 2017, 68, 136–148. [Google Scholar] [CrossRef]
- Altun, T. Preparation and application of glutaraldehyde cross-linked chitosan coated bentonite clay capsules: Chromium (VI) removal from aqueous solution. J. Chil. Chem. Soc. 2020, 65, 4790–4797. [Google Scholar] [CrossRef]
- dos Santos, D.S.; Goulet, P.J.; Pieczonka, N.P.; Oliveira, O.N.; Aroca, R.F. Gold nanoparticle embedded, self-sustained chitosan films as substrates for surface-enhanced Raman scattering. Langmuir 2004, 20, 10273–10277. [Google Scholar] [CrossRef] [PubMed]
- Corbel, G.; Mestiri, S.; Lacorre, P. Physicochemical compatibility of CGO fluorite, LSM and LSCF perovskite electrode materials with La2Mo2O9 fast oxide-ion conductor. Solid State Sci. 2005, 7, 1216–1224. [Google Scholar] [CrossRef]
- Nielsen, J.; Hjelm, J. Impedance of SOFC electrodes: A review and a comprehensive case study on the impedance of LSM:YSZ cathodes. Electrochim. Acta 2014, 115, 31–45. [Google Scholar] [CrossRef]
- McIntosh, S.; Vente, J.F.; Haije, W.G.; Blank, D.H.A.; Bouwmeester, H.J.M. Oxygen stoichiometry and chemical expansion of Ba0.5Sr0.5Co0.8Fe0.2O3−δ measured by in situ neutron diffraction. Chem. Mater. 2006, 18, 2187–2193. [Google Scholar] [CrossRef]
- Wei, B.; Lu, Z.; Huang, X.Q.; Liu, M.L.; Li, N.; Su, W.H. Synthesis, electrical and electrochemical properties of Ba0.5Sr0.5Zn0.2Fe0.8O3−δ perovskite oxide for IT-SOFC cathode. J. Power Source 2008, 176, 1–8. [Google Scholar] [CrossRef]
- Wang, H.H.; Tablet, C.; Feldhoff, A.; Caro, J. A cobalt-free oxygen-permeable membrane based on the perovskite-type oxide Ba0.5Sr0.5Zn0.2Fe0.8O3−δ. Adv. Mater. 2005, 17, 1785–1788. [Google Scholar] [CrossRef]
- Chen, Z.H.; Ran, R.; Zhou, W.; Shao, Z.P.; Liu, S.M. Assessment of Ba0.5Sr0.5Co1−yFeyO3−δ (y = 0.0–1.0) for prospective application as cathode for IT-SOFCs or oxygen permeating membrane. Electrochim. Acta 2007, 52, 7343–7351. [Google Scholar] [CrossRef]
- Sun, W.; Yan, L.; Zhang, S.; Liu, W. Crystal structure, electrical conductivity and sintering of Ba0.5Sr0.5ZnxFe1−xO3−δ. J. Alloy Compd. 2009, 485, 872–875. [Google Scholar] [CrossRef]
- Peña-Martínez, J.; Marrero-López, D.; Ruiz-Morales, J.C.; Núñez, P.; Sánchez-Bautista, C.; Dos Santos-García, A.J.; Canales-Vázquez, J. On Ba0.5Sr0.5Co1−yFeyO3−δ (y = 0.1–0.9) oxides as cathode materials for La0.9Sr0.1Ga0.8Mg0.2O2.85 based IT-SOFCs. Int. J. Hydrogen Energ. 2009, 34, 9486–9495. [Google Scholar] [CrossRef]
- Manthiram, A.; Kim, J.H.; Kim, Y.N.; Lee, K.T. Crystal chemistry and properties of mixed ionic-electronic conductors. J. Electroceram. 2011, 27, 93–107. [Google Scholar] [CrossRef]
- Deganello, F.; Liotta, L.F.; Longo, A.; Casaletto, M.P.; Scopelliti, M. Cerium effect on the phase structure, phase stability and redox properties of Ce-doped strontium ferrates. J. Solid State Chem. 2006, 179, 3406–3419. [Google Scholar] [CrossRef]
- Wang, Y.M.; Chang, C.M.; Shih, J.S.; Chang, H.Y. Novel lanthanum and cerium coatings on (Ba, Sr)-ferrate cathodes for intermediate-temperature solid oxide fuel cells. J. Eur. Ceram. Soc. 2016, 36, 3433–3440. [Google Scholar] [CrossRef]
- Cagri, A.; Ustunol, Z.; Ryser, E.T. Antimicrobial edible films and coatings. J. Food Prot. 2004, 67, 833–848. [Google Scholar] [CrossRef] [PubMed]
- Huang, J.; Xie, F.; Wang, C.; Mao, Z. Development of solid oxide fuel cell materials for intermediate-to-low temperature operation. Int. J. Hydrogen Energy 2012, 37, 877–883. [Google Scholar] [CrossRef]
- Mizusaki, J.; Okayasu, M.; Yamauchi, S.; Fueki, K. Nonstoichiometry and phase relationship of the SrFeO2.5-SrFeO3 system at high temperature. J. Solid State Chem. 1992, 99, 166–172. [Google Scholar] [CrossRef]
- Macdonald, J.R.; Barsoukov, E. Impedance Spectroscopy Theory, Experiment, and Applications, 2nd ed.; John Wiley & Sons, Inc.: Hoboken, NJ, USA, 2005. [Google Scholar]
- Cesiulis, H.; Tsyntsaru, N.; Ramanavicius, A.; Ragoisha, G. The study of thin films by electrochemical impedance spectroscopy. In Nanostructures and Thin Films for Multifunctional Applications; Springer: Cham, Switzerland, 2016; pp. 3–42. [Google Scholar]
- Zheng, Y.; Zhang, C.; Ran, R.; Cai, R.; Shao, Z.; Farrusseng, D. A new symmetric solid-oxide fuel cell with La0.8Sr0.2Sc0.2Mn0.8O3−δ perovskite oxide as both the anode and cathode. Acta Materialia 2009, 57, 1165–1175. [Google Scholar] [CrossRef]
- Jiang, S.P.; Chen, X.J.; Chan, S.H.; Kwok, J.T.; Khor, K.A. (La0.75Sr0.25)(Cr0.5Mn0.5)O3/YSZ composite anodes for methane oxidation reaction in solid oxide fuel cells. Solid State Ionics 2006, 177, 149–157. [Google Scholar] [CrossRef]
- Fu, C.; Sun, K.; Zhang, N.; Chen, X.; Zhou, D. Electrochemical characteristics of LSCF–SDC composite cathode for intermediate temperature SOFC. Electrochim. Acta 2007, 52, 4589–4594. [Google Scholar] [CrossRef]
- Qiang, F.; Sun, K.; Zhang, N.; Zhu, X.; Le, S.; Zhou, D. Characterization of electrical properties of GDC doped A-site deficient LSCF based composite cathode using impedance spectroscopy. J. Power Source 2007, 168, 338–345. [Google Scholar] [CrossRef]
- Izuki, M.; Brito, M.E.; Yamaji, K.; Kishimoto, H.; Cho, D.-H.; Shimonosono, T.; Horita, T.; Yokokawa, H. Interfacial stability and cation diffusion across the LSCF/GDC interface. J. Power Source 2011, 196, 7232–7236. [Google Scholar] [CrossRef]
- Xiao, G.L.; Liu, Q.; Wang, S.W.; Komvokis, V.G.; Amiridis, M.D.; Heyden, A.; Ma, S.G.; Chen, F.L. Synthesis and characterization of Mo-doped SrFeO3−δ as cathode materials for solid oxide fuel cells. J. Power Source 2012, 202, 63–69. [Google Scholar] [CrossRef]
- Hodges, J.P.; Short, S.; Jorgensen, J.D.; Xiong, X.; Dabrowski, B.; Mini, S.M.; Kimball, C.W. Evolution of oxygen-vacancy ordered crystal structures in the perovskite series SrnFenO3n−1 (n = 2, 4, 8, and ∞), and the relationship to electronic and magnetic properties. J. Solid State Chem. 2000, 151, 190–209. [Google Scholar] [CrossRef]
- Liu, X.T.; Zhao, H.L.; Yang, J.Y.; Li, Y.; Chen, T.; Lu, X.G.; Ding, W.Z.; Li, F.S. Lattice characteristics, structure stability and oxygen permeability of BaFe1−xYxO3−δ ceramic membranes. J. Membrane Sci. 2011, 383, 235–240. [Google Scholar] [CrossRef]
- Trofimenko, N.E.; Ullmann, H. Oxygen stoichiometry and mixed ionic-electronic conductivity of Sr1−aCeaFe1−bCobO3−x perovskite-type oxides. J. Eur. Ceram. Soc. 2000, 20, 1241–1250. [Google Scholar] [CrossRef]
- McIntosh, S.; Vente, J.F.; Haije, W.G.; Blank, D.H.A.; Bouwmeester, H.J.M. Structure and oxygen stoichiometry of SrCo0.8Fe0.2O3−δ and Ba0.5Sr0.5Co0.8Fe0.2O3−δ. Solid State Ionics 2006, 177, 1737–1742. [Google Scholar] [CrossRef]
- Jiang, S.P. Development of lanthanum strontium cobalt ferrite perovskite electrodes of solid oxide fuel cells—A review. Int. J. Hydrogen Energy 2019, 44, 7448–7493. [Google Scholar] [CrossRef]
- Leng, Y.; Chan, S.H.; Liu, Q. Development of LSCF-GDC composite cathodes for low temperature solid oxide fuel cells with thin film GDC electrolyte. Int. J. Hydrogen Energy 2008, 33, 3808–3817. [Google Scholar] [CrossRef]
- Leng, Y.J.; Chan, S.H.; Jiang, S.P.; Khor, K.A. Low-temperature SOFC with thin film GDC electrolyte prepared in situ by solid-state reaction. Solid State Ionics 2004, 170, 9–15. [Google Scholar] [CrossRef]
- Ko, F.-Y.; Chiu, T.-W.; Wu, R.; Chen, T.-C.; Chang, H.-Y. Thin Layer Electrolyte Impregnation into Porous Anode Supported Fuel Cell by Ultrasonic Spray Pyrolysis. Int. J. Hydrogen Energy 2021, 46, 16708–16716. [Google Scholar] [CrossRef]
- Dai, H.; He, S.; Chen, H.; Guo, L. A novel method of modifying electrolyte surface at mesoscale for intermediate temperature solid oxide fuel cells. Ceram. Int. 2016, 42, 2045–2050. [Google Scholar] [CrossRef]
- Hedayat, N.; Du, Y.; Ilkhani, H. Pyrolyzable pore-formers for the porous-electrode formation in solid oxide fuel cells: A review. Ceram. Int. 2018, 44, 4561–4576. [Google Scholar] [CrossRef]
- Seo, H.; Kishimoto, M.; Ding, C.; Iwai, H.; Saito, M.; Yoshida, H. Improvement in the electrochemical performance of anode supported solid oxide fuel cells by meso- and nanoscale structural modifications. Fuel Cell 2020, 20, 570–579. [Google Scholar] [CrossRef]
- Lu, Y.C.; Gasper, P.; Nikiforov, A.Y.; Pal, U.B.; Gopalan, S.; Basu, S.N. Co-infiltration of nickel and mixed conducting Gd0.1Ce0.9O2-δ and La0.6Sr0.3Ni0.15Cr0.85O3−δ phases in Ni-YSZ anodes for improved stability and performance. JOM 2019, 71, 3835–3847. [Google Scholar] [CrossRef]
- Kishimoto, M.; Kawakami, Y.; Otani, Y.; Iwai, H.; Yoshida, H. Improved controllability of wet infiltration technique for fabrication of solid oxide fuel cell anodes. Scripta Mater. 2017, 140, 5–8. [Google Scholar] [CrossRef]
- Tian, Y.T.; Guo, X.; Wu, P.P.; Zhang, X.; Nie, Z.Q. Preparation and evaluation of Ni-based anodes with straight open pores for solid oxide fuel cells. J. Alloys Compd. 2020, 817, 153244. [Google Scholar] [CrossRef]
- Dogdibegovic, E.; Wang, R.; Lau, G.Y.; Tucker, M.C. High performance metal-supported solid oxide fuel cells with infiltrated electrodes. J. Power Source 2019, 410–411, 91–98. [Google Scholar] [CrossRef]
- Xia, C.R.; Liu, M.L. Low-temperature SOFCs based on Gd0.1Ce0.9O1.95 fabricated by dry pressing. Solid State Ionics 2001, 144, 249–255. [Google Scholar] [CrossRef]
- Xia, C.R.; Chen, F.L.; Liu, M.L. Reduced-temperature solid oxide fuel cells fabricated by screen printing. Electrochem. Solid-State Lett. 2001, 4, A52–A54. [Google Scholar] [CrossRef]
- Takahashi, S.; Sumi, H.; Fujishiro, Y. Development of cosintering process for anode supported solid oxide fuel cells with gadolinia doped ceria/lanthanum silicate bi-layer electrolyte. Int. J. Hydrogen Energy 2019, 44, 23377–23383. [Google Scholar] [CrossRef]
- Ding, C.; Lin, H.; Sato, K.; Amezawa, K.; Kawada, T.; Mizusaki, J.; Hashida, T. Effect of thickness of Gd0.1Ce0.9O1.95 electrolyte films on electrical performance of anode-supported solid oxide fuel cells. J. Power Source 2010, 195, 5487–5492. [Google Scholar] [CrossRef]
- Zhen, Y.D.; Tok, A.I.Y.; Jiang, S.P.; Boey, F.Y.C. Fabrication and performance of gadolinia-doped ceria-based intermediatetemperature solid oxide fuel cells. J. Power Source 2008, 178, 69–74. [Google Scholar] [CrossRef]
- Hibino, T.; Hashimoto, A.; Yano, M.; Suzuki, M.; Sano, M. Rucatalyzed anode materials for direct hydrocarbon SOFCs. Electrochim. Acta 2003, 48, 2531–2537. [Google Scholar]
- Reolon, R.P.; Halmenschlager, C.M.; Neagu, R.; Malfatti, C.F.; Bergmann, C.P. Electrochemical performance of gadoliniadoped ceria (CGO) electrolyte thin films for ITSOFC deposited by spray pyrolysis. J. Power Source 2014, 261, 348–355. [Google Scholar] [CrossRef]














| Cell Configuration | Electrolyte Prepared Method | Electrolyte Thickness (μm) | Electrolyte Prepared Temperature (°C) | Temperature of Co-Fired with Anode (°C) | Peak Power Density (mW/cm2) | Ref. | |||
|---|---|---|---|---|---|---|---|---|---|
| 600 °C | 650 °C | 700 °C | 750 °C | ||||||
| S.S/Ni + SDC/SCSZ/LSM + SDC/S.S. * | infiltration | 7 | Tape casting | 1350 | 900 | [98] | |||
| Ni + GDC/GDC/SSC + GDC | dry pressing | 20 | 600 | 1350 | 400 | [99] | |||
| Ni + SDC/SDC/SSC + SDC | screen printing | 30 | 1350 | 397 | [100] | ||||
| Ni + GDC/GDC/LSCF + GDC | dip coating | 10 | commercial | 1450 | 300 | [101] | |||
| Ni + GDC/GDC/LSCF | spin coating + co-pressing | 4 | commercial | 1300 | 771 | [102] | |||
| Ni + GDC/GDC/LSCF | spin coating | 19 | 700 | 1350 | 386 | 492 | [103] | ||
| Ni + GDC/GDC/LSCF + GDC | spray coating | 10 | commercial | 1450 | 578 | [90] | |||
| Ni + Ru + GDC/GDC/SSC | spin coating | 40 | commercial | 1500 | 250 | [104] | |||
| Ni + YSZ/GDC/SSC + SDC | repeated spray pyrolysis | 2.08 | precursor | 600 | 280 | 350 | [105] | ||
| LST/LSBC/Pt (half-cell) | ultrasonic spray pyrolysis | 2.75 | 450 | 1350 | 142 | 240 | 325 | 377 | our work |
Publisher’s Note: MDPI stays neutral with regard to jurisdictional claims in published maps and institutional affiliations. |
© 2021 by the authors. Licensee MDPI, Basel, Switzerland. This article is an open access article distributed under the terms and conditions of the Creative Commons Attribution (CC BY) license (https://creativecommons.org/licenses/by/4.0/).
Share and Cite
Wang, R.-T.; Chang, H.-Y.; Wang, J.-C. An Overview on the Novel Core-Shell Electrodes for Solid Oxide Fuel Cell (SOFC) Using Polymeric Methodology. Polymers 2021, 13, 2774. https://doi.org/10.3390/polym13162774
Wang R-T, Chang H-Y, Wang J-C. An Overview on the Novel Core-Shell Electrodes for Solid Oxide Fuel Cell (SOFC) Using Polymeric Methodology. Polymers. 2021; 13(16):2774. https://doi.org/10.3390/polym13162774
Chicago/Turabian StyleWang, Rong-Tsu, Horng-Yi Chang, and Jung-Chang Wang. 2021. "An Overview on the Novel Core-Shell Electrodes for Solid Oxide Fuel Cell (SOFC) Using Polymeric Methodology" Polymers 13, no. 16: 2774. https://doi.org/10.3390/polym13162774
APA StyleWang, R.-T., Chang, H.-Y., & Wang, J.-C. (2021). An Overview on the Novel Core-Shell Electrodes for Solid Oxide Fuel Cell (SOFC) Using Polymeric Methodology. Polymers, 13(16), 2774. https://doi.org/10.3390/polym13162774

