Polyphenylsulfone (PPSU)-Based Copolymeric Membranes: Effects of Chemical Structure and Content on Gas Permeation and Separation
Abstract
:1. Introduction
2. Experimental
2.1. Materials
2.2. Preparation of Dense Film Membranes
2.3. Characterizations
2.4. Gas Permeation Measurements
2.5. Gas Sorption Measurements
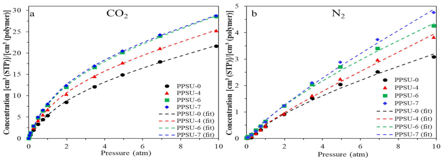
3. Results and Discussion
4. Conclusions
Author Contributions
Funding
Institutional Review Board Statement
Informed Consent Statement
Data Availability Statement
Acknowledgments
Conflicts of Interest
References
- Baker, R.W. Membrane Technology and Applications, 3rd ed.; John Wiley and Sons, Ltd.: Chichester, UK, 2012. [Google Scholar]
- Koros, W.J.; Fleming, G.K. Membrane-based gas separation. J. Membr. Sci. 1993, 83, 1–80. [Google Scholar] [CrossRef]
- Liang, C.Z.; Chung, T.-S.; Lai, J.-Y. A review of polymeric composite membranes for gas separation and energy production. Prog. Polym. Sci. 2019, 97, 101141. [Google Scholar] [CrossRef]
- Lively, R.P.; Dose, M.E.; Xu, L.; Vaughn, J.T.; Johnson, J.R.; Thompson, J.A.; Zhang, K.; Lydon, M.E.; Lee, J.-S.; Liu, L.; et al. A high-flux polyimide hollow fiber membrane to minimize footprint and energy penalty for CO2 recovery from flue gas. J. Membr. Sci. 2012, 423–424, 302–313. [Google Scholar] [CrossRef]
- Peng, N.; Widjojo, N.; Sukitpaneenit, P.; Teoh, M.M.; Lipscomb, G.G.; Chung, T.-S.; Lai, J.-Y. Evolution of polymeric hollow fibers as sustainable technologies: Past, present, and future. Prog. Polym. Sci. 2012, 37, 1401–1424. [Google Scholar] [CrossRef]
- Merkel, T.C.; Lin, H.; Wei, X.; Baker, R. Power plant post-combustion carbon dioxide capture: An opportunity for membranes. J. Membr. Sci. 2010, 359, 126–139. [Google Scholar] [CrossRef]
- Jiang, X.; Li, S.; Shao, L. Pushing CO2-philic membrane performance to the limit by designing semi-interpenetrating networks (SIPN) for sustainable CO2 separations. Energy Environ. Sci. 2017, 10, 1339–1344. [Google Scholar] [CrossRef]
- Baker, R.W. Future directions of membrane gas separation technology. Ind. Eng. Chem. Res. 2002, 41, 1393–1411. [Google Scholar] [CrossRef]
- Yong, W.F.; Zhang, H. Recent advances in polymer blend membranes for gas separation and pervaporation. Prog. Mater. Sci. 2021, 116, 100713. [Google Scholar] [CrossRef]
- Budd, P.; Msayib, K.; Tattershall, C.; Ghanem, B.; Reynolds, K.; McKeown, N.; Fritsch, D. Gas separation membranes from polymers of intrinsic microporosity. J. Membr. Sci. 2005, 251, 263–269. [Google Scholar] [CrossRef]
- Sanaeepur, H.; Ahmadi, R.; Ebadi Amooghin, A.; Ghanbari, D. A novel ternary mixed matrix membrane containing glycerol-modified poly(ether-block-amide) (Pebax 1657)/copper nanoparticles for CO2 separation. J. Membr. Sci. 2019, 573, 234–246. [Google Scholar] [CrossRef]
- Baker, R.W.; Low, B.T. Gas separation membrane materials: A perspective. Macromolecules 2014, 47, 6999–7013. [Google Scholar] [CrossRef]
- Sanaeepur, H.; Ebadi Amooghin, A.; Bandehali, S.; Moghadassi, A.; Matsuura, T.; Van der Bruggen, B. Polyimides in membrane gas separation: Monomer’s molecular design and structural engineering. Prog. Polym. Sci. 2019, 91, 80–125. [Google Scholar] [CrossRef]
- Singh, R.P.; Dahe, G.J.; Dudeck, K.W.; Berchtold, K.A. Macrovoid-free high performance polybenzimidazole hollow fiber membranes for elevated temperature H2/CO2 separations. Int. J. Hydrog. 2020, 45, 27331–27345. [Google Scholar] [CrossRef]
- Nguyen, H.; Hsiao, M.-Y.; Nagai, K.; Lin, H. Suppressed crystallization and enhanced gas permeability in thin films of cellulose acetate blends. Polymer 2020, 205, 122790. [Google Scholar] [CrossRef]
- Li, P.; Paul, D.R.; Chung, T.-S. High performance membranes based on ionic liquid polymers for CO2 separation from the flue gas. Green Chem. 2012, 14, 1052–1063. [Google Scholar] [CrossRef]
- Robeson, L.M. Polymer membranes for gas separation. Curr. Opin. Solid State Mater. Sci. 1999, 4, 549–552. [Google Scholar] [CrossRef]
- Robeson, L.M. The upper bound revisited. J. Membr. Sci. 2008, 320, 390–400. [Google Scholar] [CrossRef]
- Lin, H.; Yavari, M. Upper bound of polymeric membranes for mixed-gas CO2/CH4 separations. J. Membr. Sci. 2015, 475, 101–109. [Google Scholar] [CrossRef]
- Kamble, A.R.; Patel, C.M.; Murthy, Z.V.P. A review on the recent advances in mixed matrix membranes for gas separation processes. Renew. Sust. Energ. Rev. 2021, 145, 111062. [Google Scholar] [CrossRef]
- Galizia, M.; Chi, W.S.; Smith, Z.P.; Merkel, T.C.; Baker, R.W.; Freeman, B.D. 50th anniversary perspective: Polymers and mixed matrix membranes for gas and vapor separation: A review and prospective opportunities. Macromolecules 2017, 50, 7809–7843. [Google Scholar] [CrossRef]
- Lin, W.-H.; Vora, R.H.; Chung, T.-S. Gas transport properties of 6FDA-durene/1,4-phenylenediamine (pPDA) copolyimides. J. Polym. Sci. Part B Polym. Phys. 2000, 38, 2703–2713. [Google Scholar] [CrossRef]
- Wu, J.; Liu, J.; Chung, T.-S. Structural tuning of polymers of intrinsic microporosity via the copolymerization with macrocyclic 4-tert-butylcalix[4]arene for enhanced gas separation performance. Adv. Sustain. 2018, 2, 1800044. [Google Scholar] [CrossRef]
- Vanherck, K.; Koeckelberghs, G.; Vankelecom, I.F.J. Crosslinking polyimides for membrane applications: A review. Prog. Polym. Sci. 2013, 38, 874–896. [Google Scholar] [CrossRef]
- Shao, L.; Quan, S.; Cheng, X.-Q.; Chang, X.-J.; Sun, H.-G.; Wang, R.-G. Developing cross-linked poly(ethylene oxide) membrane by the novel reaction system for H2 purification. Int. J. Hydrog. 2013, 38, 5122–5132. [Google Scholar] [CrossRef]
- Shao, L.; Low, B.T.; Chung, T.-S.; Greenberg, A.R. Polymeric membranes for the hydrogen economy: Contemporary approaches and prospects for the future. J. Membr. Sci. 2009, 327, 18–31. [Google Scholar] [CrossRef]
- Mahajan, R.; Burns, R.; Schaeffer, M.; Koros, W.J. Challenges in forming successful mixed matrix membranes with rigid polymeric materials. J. Appl. Polym. Sci. 2002, 86, 881–890. [Google Scholar] [CrossRef]
- Chung, T.-S.; Jiang, L.Y.; Li, Y.; Kulprathipanja, S. Mixed matrix membranes (MMMs) comprising organic polymers with dispersed inorganic fillers for gas separation. Prog. Polym. Sci. 2007, 32, 483–507. [Google Scholar] [CrossRef]
- Wu, J.; Japip, S.; Chung, T.-S. Infiltrating molecular gatekeepers with coexisting molecular solubility and 3D-intrinsic porosity into a microporous polymer scaffold for gas separation. J. Mater. Chem. A 2020, 8, 6196–6209. [Google Scholar] [CrossRef]
- Zhu, G.; O’Nolan, D.; Lively, R.P. Molecularly mixed composite membranes: Challenges and opportunities. Chem. Eur. J. 2020, 26, 3464–3473. [Google Scholar] [CrossRef] [PubMed]
- Guan, W.; Yang, X.; Dong, C.; Yan, X.; Zheng, W.; Xi, Y.; Ruan, X.; Dai, Y.; He, G. Prestructured MXene fillers with uniform channels to enhance CO2 selective permeation in mixed matrix membranes. J. Appl. Polym. Sci. 2021, 138, 49895. [Google Scholar] [CrossRef]
- Guan, W.; Dai, Y.; Dong, C.; Yang, X.; Xi, Y. Zeolite imidazolate framework (ZIF)-based mixed matrix membranes for CO2 separation: A review. J. Appl. Polym. Sci. 2020, 137, 48968. [Google Scholar] [CrossRef]
- Yong, W.F.; Li, F.Y.; Xiao, Y.C.; Chung, T.S.; Tong, Y.W. High performance PIM-1/Matrimid hollow fiber membranes for CO2/CH4, O2/N2 and CO2/N2 separation. J. Membr. Sci. 2013, 443, 156–169. [Google Scholar] [CrossRef]
- Zhao, S.; Liao, J.; Li, D.; Wang, X.; Li, N. Blending of compatible polymer of intrinsic microporosity (PIM-1) with Tröger’s base polymer for gas separation membranes. J. Membr. Sci. 2018, 566, 77–86. [Google Scholar] [CrossRef]
- Budd, P.M.; Elabas, E.S.; Ghanem, B.S.; Makhseed, S.; McKeown, N.B.; Msayib, K.J.; Tattershall, C.E.; Wang, D. Solution-processed, organophilic membrane derived from a polymer of intrinsic microporosity. Adv. Mater. 2004, 16, 456–459. [Google Scholar] [CrossRef]
- McKeown, N.B. Contorted separation. Nat. Mater. 2016, 15, 706–707. [Google Scholar] [CrossRef] [PubMed]
- Park, H.B.; Jung, C.H.; Lee, Y.M.; Hill, A.J.; Pas, S.J.; Mudie, S.T.; Van Wagner, E.; Freeman, B.D.; Cookson, D.J. Polymers with cavities tuned for fast selective transport of small molecules and ions. Science 2007, 318, 254. [Google Scholar] [CrossRef]
- Liang, C.Z.; Liu, J.T.; Lai, J.-Y.; Chung, T.-S. High-performance multiple-layer PIM composite hollow fiber membranes for gas separation. J. Membr. Sci. 2018, 563, 93–106. [Google Scholar] [CrossRef]
- Japip, S.; Erifin, S.; Chung, T.-S. Reduced thermal rearrangement temperature via formation of zeolitic imidazolate framework (ZIF)-8-based nanocomposites for hydrogen purification. Sep. Purif. Technol. 2019, 212, 965–973. [Google Scholar] [CrossRef]
- Yong, W.F.; Lee, Z.K.; Chung, T.S.; Weber, M.; Staudt, C.; Maletzko, C. Blends of a polymer of intrinsic microporosity and partially sulfonated polyphenylenesulfone for gas separation. ChemSusChem 2016, 9, 1953–1962. [Google Scholar] [CrossRef] [PubMed]
- Naderi, A.; Yong, W.F.; Xiao, Y.; Chung, T.-S.; Weber, M.; Maletzko, C. Effects of chemical structure on gas transport properties of polyethersulfone polymers. Polymer 2018, 135, 76–84. [Google Scholar] [CrossRef]
- Jansen, J.C.; Darvishmanesh, S.; Tasselli, F.; Bazzarelli, F.; Bernardo, P.; Tocci, E.; Friess, K.; Randova, A.; Drioli, E.; Van der Bruggen, B. Influence of the blend composition on the properties and separation performance of novel solvent resistant polyphenylsulfone/polyimide nanofiltration membranes. J. Membr. Sci. 2013, 447, 107–118. [Google Scholar] [CrossRef]
- Dai, J.; Li, S.; Liu, J.; He, J.; Li, J.; Wang, L.; Lei, J. Fabrication and characterization of a defect-free mixed matrix membrane by facile mixing PPSU with ZIF-8 core–shell microspheres for solvent-resistant nanofiltration. J. Membr. Sci. 2019, 589, 117261. [Google Scholar] [CrossRef]
- Wang, C.; Park, M.J.; Seo, D.H.; Drioli, E.; Matsuyama, H.; Shon, H. Recent advances in nanomaterial-incorporated nanocomposite membranes for organic solvent nanofiltration. Sep. Purif. Technol. 2021, 268, 118657. [Google Scholar] [CrossRef]
- Sood, R.; Cavaliere, S.; Jones, D.J.; Rozière, J. Electrospun nanofibre composite polymer electrolyte fuel cell and electrolysis membranes. Nano Energy 2016, 26, 729–745. [Google Scholar] [CrossRef] [Green Version]
- Ballengee, J.B.; Pintauro, P.N. Preparation of nanofiber composite proton-exchange membranes from dual fiber electrospun mats. J. Membr. Sci. 2013, 442, 187–195. [Google Scholar] [CrossRef]
- Vijesh, A.M.; Arathi Krishnan, P.V.; Isloor, A.M.; Shyma, P.C. Fabrication of PPSU/PANI hollow fiber membranes for humic acid removal. Mater. Today. 2021, 41, 541–548. [Google Scholar]
- Nayak, M.C.; Isloor, A.M.; Moslehyani, A.; Ismail, N.; Ismail, A.F. Fabrication of novel PPSU/ZSM-5 ultrafiltration hollow fiber membranes for separation of proteins and hazardous reactive dyes. J. Taiwan Inst. Chem. Eng. 2018, 82, 342–350. [Google Scholar] [CrossRef]
- Lawrence Arockiasamy, D.; Alhoshan, M.; Alam, J.; Muthumareeswaran, M.R.; Figoli, A.; Arun Kumar, S. Separation of proteins and antifouling properties of polyphenylsulfone based mixed matrix hollow fiber membranes. Sep. Purif. Technol. 2017, 174, 529–543. [Google Scholar] [CrossRef]
- Feng, Y.; Han, G.; Zhang, L.; Chen, S.-B.; Chung, T.S.; Weber, M.; Staudt, C.; Maletzko, C. Rheology and phase inversion behavior of polyphenylenesulfone (PPSU) and sulfonated PPSU for membrane formation. Polymer 2016, 99, 72–82. [Google Scholar] [CrossRef]
- Henis, J.M.S.; Tripodi, M.K. The developing technology of gas separating membranes. Science 1983, 220, 11. [Google Scholar] [CrossRef]
- McHattie, J.S.; Koros, W.J.; Paul, D.R. Gas transport properties of polysulphones: 3. Comparison of tetramethyl-substituted bisphenols. Polymer 1992, 33, 1701–1711. [Google Scholar] [CrossRef]
- Aitken, C.L.; Koros, W.J.; Paul, D.R. Effect of structural symmetry on gas transport properties of polysulfones. Macromolecules 1992, 25, 3424–3434. [Google Scholar] [CrossRef]
- Aitken, C.L.; Koros, W.J.; Paul, D.R. Gas transport properties of biphenol polysulfones. Macromolecules 1992, 25, 3651–3658. [Google Scholar] [CrossRef]
- Dai, Y.; Guiver, M.D.; Robertson, G.P.; Bilodeau, F.; Kang, Y.S.; Lee, K.J.; Jho, J.Y.; Won, J. Modified polysulfones 5: Synthesis and characterization of tetramethyl polysulfones containing trimethylsilyl groups and their gas transport properties. Polymer 2002, 43, 5369–5378. [Google Scholar] [CrossRef] [Green Version]
- Zhang, N.; Wang, B.; Zhao, C.; Wang, S.; Zhang, Y.; Bu, F.; Cui, Y.; Li, X.; Na, H. Quaternized poly (ether ether ketone)s doped with phosphoric acid for high-temperature polymer electrolyte membrane fuel cells. J. Mater. Chem. A 2014, 2, 13996–14003. [Google Scholar] [CrossRef]
- Chng, M.L.; Xiao, Y.; Chung, T.S.; Toriida, M.; Tamai, S. The effects of chemical structure on gas transport properties of poly(aryl ether ketone) random copolymers. Polymer 2007, 48, 311–317. [Google Scholar] [CrossRef]
- Mohanty, D.; Sachdeva, Y.; Hedrick, J.; Wolfe, J.; McGrath, J. Synthesis and transformations of tetramethyl bisphenol A polyaryl ethers. Polym. Prepr. (Am. Chem. Soc. Div. Polym. Chem.) 1984, 25, 19. [Google Scholar]
- Tang, Y.P.; Wang, H.; Chung, T.S. Towards high water permeability in triazine-framework-based microporous membranes for dehydration of ethanol. ChemSusChem 2015, 8, 138–147. [Google Scholar] [CrossRef]
- Jean, Y.C.; Van Horn, J.D.; Hung, W.-S.; Lee, K.-R. Perspective of positron annihilation spectroscopy in polymers. Macromolecules 2013, 46, 7133–7145. [Google Scholar] [CrossRef]
- Chen, H.; Hung, W.-S.; Lo, C.-H.; Huang, S.-H.; Cheng, M.-L.; Liu, G.; Lee, K.-R.; Lai, J.-Y.; Sun, Y.-M.; Hu, C.-C.; et al. Free-volume depth profile of polymeric membranes studied by positron annihilation spectroscopy: Layer structure from interfacial polymerization. Macromolecules 2007, 40, 7542–7557. [Google Scholar] [CrossRef]
- Bondi, A. van der waals volumes and radii. J. Phys. Chem. 1964, 68, 441–451. [Google Scholar] [CrossRef]
- Yong, W.F.; Chung, T.-S. Mechanically strong and flexible hydrolyzed polymers of intrinsic microporosity (PIM-1) membranes. J. Polym. Sci. Part B Polym. Phys. 2017, 55, 344–354. [Google Scholar] [CrossRef]
- Takatsuka, R.; Uno, K.; Toda, F.; Iwakura, Y. Study on wholly aromatic polyamides containing methyl-substituted phenylene linkage. J. Polym. Sci. Polym. Chem. 1977, 15, 1905–1915. [Google Scholar] [CrossRef]
- Park, J.Y.; Paul, D.R. Correlation and prediction of gas permeability in glassy polymer membrane materials via a modified free volume based group contribution method. J. Membr. Sci. 1997, 125, 23–39. [Google Scholar] [CrossRef]
- Kanehashi, S.; Nagai, K. Analysis of dual-mode model parameters for gas sorption in glassy polymers. J. Membr. Sci. 2005, 253, 117–138. [Google Scholar] [CrossRef]











| Membrane | Mol% (TMPPSf) | Viscosity Number (mL/g) | Tg (°C) | Density (g/cm3) |
|---|---|---|---|---|
| PPSU-0 | 0 | 71.8 | 222 | 1.38 |
| PPSU-4 | 0.46 | 62.0 | 246 | 1.32 |
| PPSU-6 | 0.64 | 58.8 | 255 | 1.30 |
| PPSU-7 | 0.74 | 62.2 | 258 | 1.29 |
| Membrane | Mol% (TMPPSf) | τ3 (ns) | I3 (%) | R3 (Å) | FFV (%) | FFV (%) (Bondi) |
|---|---|---|---|---|---|---|
| PPSU-0 | 0 | 2.00 | 22.00 | 2.86 | 3.87 | 9.03 |
| PPSU-4 | 0.46 | 2.16 | 20.27 | 3.00 | 4.10 | 10.49 |
| PPSU-6 | 0.64 | 2.24 | 19.54 | 3.0667 | 4.25 | 10.85 |
| PPSU-7 | 0.74 | 2.25 | 19.65 | 3.0719 | 4.29 | 10.98 |
| Membrane | Permeability (Barrer) a | Ideal Selectivity | ||||||||
|---|---|---|---|---|---|---|---|---|---|---|
| H2 | O2 | N2 | CH4 | CO2 | H2/N2 | O2/N2 | CO2/CH4 | CO2/N2 | H2/CH4 | |
| PPSU-0 | 13.41 | 1.67 | 0.32 | 0.34 | 8.69 | 41.9 | 5.2 | 25.9 | 27.1 | 39.4 |
| PPSU-4 | 26.96 | 3.21 | 0.65 | 0.67 | 16.74 | 41.4 | 4.9 | 25.1 | 25.7 | 40.2 |
| PPSU-6 | 36.70 | 4.43 | 0.90 | 0.93 | 22.43 | 40.8 | 4.9 | 24.1 | 24.9 | 39.5 |
| PPSU-7 | 40.6 | 4.96 | 0.98 | 1.03 | 24.5 | 41.4 | 5.1 | 23.8 | 25.0 | 39.4 |
| Membrane TMPPSf = 1 | Permeability (Barrer) a | Ideal Selectivity | |||||||
|---|---|---|---|---|---|---|---|---|---|
| H2 | O2 | N2 | CH4 | CO2 | H2/N2 | O2/N2 | CO2/CH4 | CO2/N2 | |
| Predicted a | 61.7 | 7.4 | 1.6 | 1.6 | 36.4 | 40.8 | 4.9 | 23.3 | 24.1 |
| Experiment b | / | 5.8 | / | / | 31.8 | / | 4.8 | 25 | / |
| Membrane | Diffusivity a | Solubility [cm3 (STP)]/[cm3 (polymer) atm] | ||
|---|---|---|---|---|
| N2 | CO2 | N2 | CO2 | |
| PPSU-0 | 52.78 | 153.35 | 0.45 | 4.25 |
| PPSU-4 | 105.36 | 242.52 | 0.46 | 5.18 |
| PPSU-6 | 109.97 | 280.13 | 0.61 | 6.01 |
| PPSU-7 | 119.34 | 297.09 | 0.62 | 6.19 |
| Membrane | Henry’s Law Coefficient | Maximum Sorption Capacity | Langmuir Hole Affinity |
|---|---|---|---|
| KD [(cm3) (STP)]/ [cm3 (polymer) atm] | C′H [(cm3) (STP)]/ [cm3(polymer)] | b (1/atm) | |
| PPSU-0 | 1.086 | 13.09 | 0.502 |
| PPSU-4 | 1.228 | 15.41 | 0.567 |
| PPSU-6 | 1.360 | 17.71 | 0.588 |
| PPSU-7 | 1.294 | 18.72 | 0.576 |
Publisher’s Note: MDPI stays neutral with regard to jurisdictional claims in published maps and institutional affiliations. |
© 2021 by the authors. Licensee MDPI, Basel, Switzerland. This article is an open access article distributed under the terms and conditions of the Creative Commons Attribution (CC BY) license (https://creativecommons.org/licenses/by/4.0/).
Share and Cite
Feng, F.; Liang, C.-Z.; Wu, J.; Weber, M.; Maletzko, C.; Zhang, S.; Chung, T.-S. Polyphenylsulfone (PPSU)-Based Copolymeric Membranes: Effects of Chemical Structure and Content on Gas Permeation and Separation. Polymers 2021, 13, 2745. https://doi.org/10.3390/polym13162745
Feng F, Liang C-Z, Wu J, Weber M, Maletzko C, Zhang S, Chung T-S. Polyphenylsulfone (PPSU)-Based Copolymeric Membranes: Effects of Chemical Structure and Content on Gas Permeation and Separation. Polymers. 2021; 13(16):2745. https://doi.org/10.3390/polym13162745
Chicago/Turabian StyleFeng, Fan, Can-Zeng Liang, Ji Wu, Martin Weber, Christian Maletzko, Sui Zhang, and Tai-Shung Chung. 2021. "Polyphenylsulfone (PPSU)-Based Copolymeric Membranes: Effects of Chemical Structure and Content on Gas Permeation and Separation" Polymers 13, no. 16: 2745. https://doi.org/10.3390/polym13162745
APA StyleFeng, F., Liang, C.-Z., Wu, J., Weber, M., Maletzko, C., Zhang, S., & Chung, T.-S. (2021). Polyphenylsulfone (PPSU)-Based Copolymeric Membranes: Effects of Chemical Structure and Content on Gas Permeation and Separation. Polymers, 13(16), 2745. https://doi.org/10.3390/polym13162745
