Collagen Matrix vs. Autogenous Connective Tissue Graft for Soft Tissue Augmentation: A Systematic Review and Meta-Analysis
Abstract
1. Introduction
2. Materials and Methods
2.1. Study Registration and Protocol Development
2.2. PICO Question and Focused Question
- Population: Patients requiring soft tissue augmentation techniques to augment peri-implant or periodontal keratinized tissue width/thickness for aesthetic purpose and/or functional reasons.
- Intervention: Any type of surgical procedures to augment soft tissue with the application of any type of collagen matrix at peri-implant or periodontal sites.
- Comparison: Autologous connective tissue grafts.
- Outcome: Soft tissue gain (width or thickness) measured in mm [25].
2.3. Information Sources and Screening Process
2.4. Eligibility Criteria
2.5. Study Selection and Data Extraction
2.6. Assessment of Risk of Bias
2.7. Statistical Analysis
3. Results
3.1. Study Selection
3.2. Study Characteristics
3.3. Quality Assessment of the Included Studies
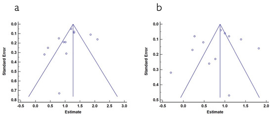
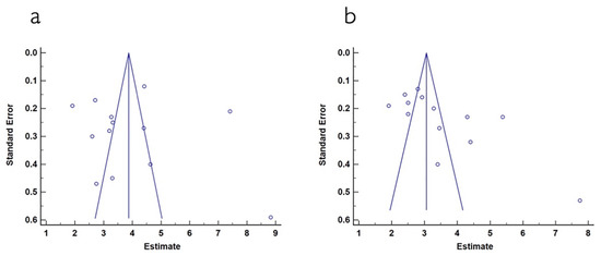
3.4. Primary and Secondary Outcomes
4. Discussion
5. Conclusions
Author Contributions
Funding
Institutional Review Board Statement
Informed Consent Statement
Data Availability Statement
Conflicts of Interest
References
- Giannobile, W.V.; Jung, R.E.; Schwarz, F. Groups of the 2nd Osteology Foundation Consensus Meeting Evidence-Based Knowledge on the Aesthetics and Maintenance of Peri-Implant Soft Tissues: Osteology Foundation Consensus Report Part 1-Effects of Soft Tissue Augmentation Procedures on the Maintenance of Peri-Implant Soft Tissue Health. Clin. Oral Implant. Res. 2018, 29 (Suppl. 15), 7–10. [Google Scholar]
- Gargallo-Albiol, J.; Barootchi, S.; Tavelli, L.; Wang, H.-L. Efficacy of Xenogeneic Collagen Matrix to Augment Peri-Implant Soft Tissue Thickness Compared to Autogenous Connective Tissue Graft: A Systematic Review and Meta-Analysis. Int. J. Oral Maxillofac. Implant. 2019, 34, 1059–1069. [Google Scholar] [CrossRef] [PubMed]
- Moraschini, V.; Luz, D.; Velloso, G.; dS Barboza, E.P. Quality Assessment of Systematic Reviews of the Significance of Keratinized Mucosa on Implant Health. Int. J. Oral Maxillofac. Surg. 2017, 46, 774–781. [Google Scholar] [CrossRef] [PubMed]
- AlSarhan, M.A.; Al Jasser, R.; Tarish, M.A.; AlHuzaimi, A.I.; Alzoman, H. Xenogeneic Collagen Matrix versus Connective Tissue Graft for the Treatment of Multiple Gingival Recessions: A Systematic Review and Meta-analysis. Clin. Exp. Dent. Res. 2019, 5, 566–579. [Google Scholar] [CrossRef]
- Tonetti, M.S.; Cortellini, P.; Pellegrini, G.; Nieri, M.; Bonaccini, D.; Allegri, M.; Bouchard, P.; Cairo, F.; Conforti, G.; Fourmousis, I.; et al. Xenogenic Collagen Matrix or Autologous Connective Tissue Graft as Adjunct to Coronally Advanced Flaps for Coverage of Multiple Adjacent Gingival Recession: Randomized Trial Assessing Non-Inferiority in Root Coverage and Superiority in Oral Health-Related Quality of Life. J. Clin. Periodontol. 2018, 45, 78–88. [Google Scholar] [PubMed]
- Definition and Objectives of Periodontal Plastic Surgery—Practical Periodontal Plastic Surgery—Wiley Online Library. Available online: https://onlinelibrary.wiley.co (accessed on 11 February 2017).
- Thoma, D.S.; Naenni, N.; Figuero, E.; Hämmerle, C.H.F.; Schwarz, F.; Jung, R.E.; Sanz-Sánchez, I. Effects of Soft Tissue Augmentation Procedures on Peri-Implant Health or Disease: A Systematic Review and Meta-Analysis. Clin. Oral Implant. Res. 2018, 29 (Suppl. 15), 32–49. [Google Scholar] [CrossRef]
- Tatakis, D.N.; Chambrone, L.; Allen, E.P.; Langer, B.; McGuire, M.K.; Richardson, C.R.; Zabalegui, I.; Zadeh, H.H. Periodontal Soft Tissue Root Coverage Procedures: A Consensus Report from the AAP Regeneration Workshop. J. Periodontol. 2015, 86, S52–S55. [Google Scholar] [CrossRef] [PubMed]
- Chambrone, L.; Tatakis, D.N. Periodontal Soft Tissue Root Coverage Procedures: A Systematic Review from the AAP Regeneration Workshop. J. Periodontol. 2015, 86, S8–S51. [Google Scholar] [CrossRef] [PubMed]
- Prato, G.P.P.; Franceschi, D.; Cortellini, P.; Chambrone, L. Long-Term Evaluation (20 Years) of the Outcomes of Subepithelial Connective Tissue Graft plus Coronally Advanced Flap in the Treatment of Maxillary Single Recession-Type Defects. J. Periodontol. 2018, 89, 1290–1299. [Google Scholar] [CrossRef]
- Schmitt, C.M.; Matta, R.E.; Moest, T.; Humann, J.; Gammel, L.; Neukam, F.W.; Schlegel, K.A. Soft Tissue Volume Alterations after Connective Tissue Grafting at Teeth: The Subepithelial Autologous Connective Tissue Graft versus a Porcine Collagen Matrix—a Pre-Clinical Volumetric Analysis. J. Clin. Periodontol. 2016, 43, 609–617. [Google Scholar] [CrossRef] [PubMed]
- Thoma, D.S.; Zeltner, M.; Hilbe, M.; Hämmerle, C.H.F.; Hüsler, J.; Jung, R.E. Randomized Controlled Clinical Study Evaluating Effectiveness and Safety of a Volume-Stable Collagen Matrix Compared to Autogenous Connective Tissue Grafts for Soft Tissue Augmentation at Implant Sites. J. Clin. Periodontol. 2016, 43, 874–885. [Google Scholar] [CrossRef]
- Puzio, M.; Hadzik, J.; Błaszczyszyn, A.; Gedrange, T.; Dominiak, M. Soft Tissue Augmentation around Dental Implants with Connective Tissue Graft (CTG) and Xenogenic Collagen Matrix (XCM). 1-Year Randomized Control Trail. Ann. Anat. Anat. Anz. 2020, 230, 151484. [Google Scholar] [CrossRef]
- Rossi, R.; Pilloni, A.; Morales, R.S. Qualitative Assessment of Connective Tissue Graft with Epithelial Component. A Microsurgical Periodontal Plastic Surgical Technique for Soft Tissue Esthetics. Eur. J. Esthet. Dent. 2009, 4, 118–128. [Google Scholar]
- Moharamzadeh, K.; Brook, I.M.; Van Noort, R.; Scutt, A.M.; Smith, K.G.; Thornhill, M.H. Development, Optimization and Characterization of a Full-Thickness Tissue Engineered Human Oral Mucosal Model for Biological Assessment of Dental Biomaterials. J. Mater. Sci. Mater. Med. 2008, 19, 1793–1801. [Google Scholar] [CrossRef]
- Puzio, M.; Błaszczyszyn, A.; Hadzik, J.; Dominiak, M. Ultrasound Assessment of Soft Tissue Augmentation around Implants in the Aesthetic Zone Using a Connective Tissue Graft and Xenogeneic Collagen Matrix—1-Year Randomised Follow-Up. Ann. Anat. Anat. Anz. 2018, 217, 129–141. [Google Scholar] [CrossRef]
- Moraschini, V.; de Almeida, D.C.F.; Sartoretto, S.; Bailly Guimarães, H.; Chaves Cavalcante, I.; Diuana Calasans-Maia, M. Clinical Efficacy of Xenogeneic Collagen Matrix in the Treatment of Gingival Recession: A Systematic Review and Meta-Analysis. Acta Odontol. Scand. 2019, 77, 457–467. [Google Scholar] [CrossRef]
- Baldino, L.; Cardea, S.; Maffulli, N.; Reverchon, E. Regeneration Techniques for Bone-to-Tendon and Muscle-to-Tendon Interfaces Reconstruction. Br. Med. Bull. 2016, 117, 25–37. [Google Scholar] [CrossRef]
- Huber, S.; Zeltner, M.; Hämmerle, C.H.F.; Jung, R.E.; Thoma, D.S. Non-Interventional 1-Year Follow-up Study of Peri-Implant Soft Tissues Following Previous Soft Tissue Augmentation and Crown Insertion in Single-Tooth Gaps. J. Clin. Periodontol. 2018, 45, 504–512. [Google Scholar] [CrossRef]
- Rothamel, D.; Benner, M.; Fienitz, T.; Happe, A.; Kreppel, M.; Nickenig, H.-J.; Zöller, J.E. Biodegradation Pattern and Tissue Integration of Native and Cross-Linked Porcine Collagen Soft Tissue Augmentation Matrices—an Experimental Study in the Rat. Head Face Med. 2014, 10, 10. [Google Scholar] [CrossRef]
- Toledano, M.; Toledano-Osorio, M.; Carrasco-Carmona, Á.; Vallecillo, C.; Lynch, C.D.; Osorio, M.T.; Osorio, R. State of the Art on Biomaterials for Soft Tissue Augmentation in the Oral Cavity. Part I: Natural Polymers-Based Biomaterials. Polymers 2020, 12, 1850. [Google Scholar] [CrossRef]
- Moher, D.; Shamseer, L.; Clarke, M.; Ghersi, D.; Liberati, A.; Petticrew, M.; Shekelle, P.; Stewart, L.A. PRISMA-P Group Preferred Reporting Items for Systematic Review and Meta-Analysis Protocols (PRISMA-P) 2015 Statement. Syst. Rev. 2015, 4, 1. [Google Scholar] [CrossRef]
- Higgins, J.P.T.; Altman, D.G.; Gøtzsche, P.C.; Jüni, P.; Moher, D.; Oxman, A.D.; Savovic, J.; Schulz, K.F.; Weeks, L.; Sterne, J.A.C.; et al. The Cochrane Collaboration’s Tool for Assessing Risk of Bias in Randomised Trials. BMJ 2011, 343, d5928. [Google Scholar] [CrossRef]
- Moher, D.; Liberati, A.; Tetzlaff, J.; Altman, D.G. PRISMA Group Preferred Reporting Items for Systematic Reviews and Meta-Analyses: The PRISMA Statement. Ann. Intern. Med. 2009, 151, 264–269. [Google Scholar] [CrossRef]
- Schardt, C.; Adams, M.B.; Owens, T.; Keitz, S.; Fontelo, P. Utilization of the PICO Framework to Improve Searching PubMed for Clinical Questions. BMC Med. Inform. Decis. Mak. 2007, 7, 16. [Google Scholar] [CrossRef]
- Sterne, J.A.; Hernán, M.A.; Reeves, B.C.; Savović, J.; Berkman, N.D.; Viswanathan, M.; Henry, D.; Altman, D.G.; Ansari, M.T.; Boutron, I.; et al. ROBINS-I: A Tool for Assessing Risk of Bias in Non-Randomised Studies of Interventions. BMJ 2016, 355, i4919. [Google Scholar] [CrossRef]
- Aroca, S.; Molnár, B.; Windisch, P.; Gera, I.; Salvi, G.E.; Nikolidakis, D.; Sculean, A. Treatment of Multiple Adjacent Miller Class I and II Gingival Recessions with a Modified Coronally Advanced Tunnel (MCAT) Technique and a Collagen Matrix or Palatal Connective Tissue Graft: A Randomized, Controlled Clinical Trial. J. Clin. Periodontol. 2013, 40, 713–720. [Google Scholar] [CrossRef]
- Pietruska, M.; Skurska, A.; Podlewski, Ł.; Milewski, R.; Pietruski, J. Clinical Evaluation of Miller Class I and II Recessions Treatment with the Use of Modified Coronally Advanced Tunnel Technique with Either Collagen Matrix or Subepithelial Connective Tissue Graft: A Randomized Clinical Study. J. Clin. Periodontol. 2019, 46, 86–95. [Google Scholar] [CrossRef]
- Tarasenko, S.; Ashurko, I.; Taschieri, S.; Repina, S.; Esaya N, A.; Corbella, S. Comparative Analysis of Methods to Increase the Amount of Keratinized Mucosa before Stage-Two Surgery: A Randomized Controlled Study. Quintessence Int. 2020, 51, 374–387. [Google Scholar] [PubMed]
- Zuiderveld, E.G.; Meijer, H.J.A.; Vissink, A.; Raghoebar, G.M. The Influence of Different Soft-Tissue Grafting Procedures at Single Implant Placement on Esthetics: A Randomized Controlled Trial. J. Periodontol. 2018, 89, 903–914. [Google Scholar] [CrossRef] [PubMed]
- Vellis, J.; Kutkut, A.; Al-Sabbagh, M. Comparison of Xenogeneic Collagen Matrix vs. Free Gingival Grafts to Increase the Zone of Keratinized Mucosa Around Functioning Implants. Implant Dent. 2019, 28, 20–27. [Google Scholar] [CrossRef] [PubMed]
- Sanz, M.; Lorenzo, R.; Aranda, J.J.; Martin, C.; Orsini, M. Clinical Evaluation of a New Collagen Matrix (Mucograft Prototype) to Enhance the Width of Keratinized Tissue in Patients with Fixed Prosthetic Restorations: A Randomized Prospective Clinical Trial. J. Clin. Periodontol. 2009, 36, 868–876. [Google Scholar] [CrossRef]
- Cardaropoli, D.; Tamagnone, L.; Roffredo, A.; Gaveglio, L. Treatment of Gingival Recession Defects Using Coronally Advanced Flap with a Porcine Collagen Matrix Compared to Coronally Advanced Flap with Connective Tissue Graft: A Randomized Controlled Clinical Trial. J. Periodontol. 2012, 83, 321–328. [Google Scholar] [CrossRef]
- Lorenzo, R.; García, V.; Orsini, M.; Martin, C.; Sanz, M. Clinical Efficacy of a Xenogeneic Collagen Matrix in Augmenting Keratinized Mucosa around Implants: A Randomized Controlled Prospective Clinical Trial. Clin. Oral Implant. Res. 2012, 23, 316–324. [Google Scholar] [CrossRef]
- McGuire, M.K.; Scheyer, E.T. Randomized, Controlled Clinical Trial to Evaluate a Xenogeneic Collagen Matrix as an Alternative to Free Gingival Grafting for Oral Soft Tissue Augmentation. J. Periodontol. 2014, 85, 1333–1341. [Google Scholar] [CrossRef]
- Cieślik-Wegemund, M.; Wierucka-Młynarczyk, B.; Tanasiewicz, M.; Gilowski, Ł. Tunnel Technique With Collagen Matrix Compared With Connective Tissue Graft for Treatment of Periodontal Recession: A Randomized Clinical Trial. J. Periodontol. 2016, 87, 1436–1443. [Google Scholar] [CrossRef]
- Schmitt, C.M.; Moest, T.; Lutz, R.; Wehrhan, F.; Neukam, F.W.; Schlegel, K.A. Long-Term Outcomes after Vestibuloplasty with a Porcine Collagen Matrix (Mucograft ®) versus the Free Gingival Graft: A Comparative Prospective Clinical Trial. Clin. Oral Implant. Res. 2016, 27, e125–e133. [Google Scholar] [CrossRef]
- Cairo, F.; Barbato, L.; Tonelli, P.; Batalocco, G.; Pagavino, G.; Nieri, M. Xenogeneic Collagen Matrix versus Connective Tissue Graft for Buccal Soft Tissue Augmentation at Implant Site. A Randomized, Controlled Clinical Trial. J. Clin. Periodontol. 2017, 44, 769–776. [Google Scholar] [CrossRef]
- Zeltner, M.; Jung, R.E.; Hämmerle, C.H.F.; Hüsler, J.; Thoma, D.S. Randomized Controlled Clinical Study Comparing a Volume-Stable Collagen Matrix to Autogenous Connective Tissue Grafts for Soft Tissue Augmentation at Implant Sites: Linear Volumetric Soft Tissue Changes up to 3 Months. J. Clin. Periodontol. 2017, 44, 446–453. [Google Scholar] [CrossRef]
- Nahas, R.; Gondim, V.; Carvalho, C.V.; Calderero, L.M.; Rosa, E.F.; Sakiyama, T.; César Neto, J.B.; Pannuti, C.M.; Romito, G.A. Treatment of Multiple Recessions with Collagen Matrix versus Connective Tissue: A Randomized Clinical Trial. Braz. Oral Res. 2020, 33, e123. [Google Scholar] [CrossRef]
- Rakasevic, D.L.; Milinkovic, I.Z.; Jankovic, S.M.; Soldatovic, I.A.; Aleksic, Z.M.; Nikolic-Jakoba, N.S. The Use of Collagen Porcine Dermal Matrix and Connective Tissue Graft with Modified Coronally Advanced Tunnel Technique in the Treatment of Multiple Adjacent Type I Gingival Recessions: A Randomized, Controlled Clinical Trial. J. Esthet. Restor. Dent. 2020, 32, 681–690. [Google Scholar] [CrossRef]
- Schmitt, C.M.; Brückbauer, P.; Schlegel, K.A.; Buchbender, M.; Adler, W.; Matta, R.E. Volumetric Soft Tissue Alterations in the Early Healing Phase after Peri- Implant Soft Tissue Contour Augmentation with a Porcine Collagen Matrix versus the Autologous Connective Tissue Graft: A Controlled Clinical Trial. J. Clin. Periodontol. 2021, 48, 146–163. [Google Scholar] [CrossRef]
- Thoma, D.S.; Gasser, T.J.W.; Jung, R.E.; Hämmerle, C.H.F. Randomized Controlled Clinical Trial Comparing Implant Sites Augmented with a Volume-stable Collagen Matrix or an Autogenous Connective Tissue Graft: 3-year Data after Insertion of Reconstructions. J. Clin. Periodontol. 2020, 47, 630–639. [Google Scholar] [CrossRef] [PubMed]
- Ozturan, S.; Oztunc, H.; Keles Evlice, B. Assessment of the Soft Tissue Volumetric Changes Following Acellular Dermal Matrix Grafts with Cone Beam Computerized Tomography. Quintessence Int. 2015, 46, 171–178. [Google Scholar]
- Eeckhout, C.; Bouckaert, E.; Verleyen, D.; De Bruyckere, T.; Cosyn, J. A 3-Year Prospective Study on a Porcine-Derived Acellular Collagen Matrix to Re-Establish Convexity at the Buccal Aspect of Single Implants in the Molar Area: A Volumetric Analysis. J. Clin. Med. 2020, 9, 1568. [Google Scholar] [CrossRef]
- Ghanaati, S.; Schlee, M.; Webber, M.J.; Willershausen, I.; Barbeck, M.; Balic, E.; Görlach, C.; Stupp, S.I.; Sader, R.A.; Kirkpatrick, C.J. Evaluation of the Tissue Reaction to a New Bilayered Collagen Matrix in Vivo and Its Translation to the Clinic. Biomed. Mater. 2011, 6, 015010. [Google Scholar] [CrossRef]
- Zafiropoulos, G.-G.; Deli, G.; Hoffmann, O.; John, G. Changes of the Peri-Implant Soft Tissue Thickness after Grafting with a Collagen Matrix. J. Indian Soc. Periodontol. 2016, 20, 441. [Google Scholar] [CrossRef]
- McGuire, M.K.; Scheyer, E.T. Xenogeneic Collagen Matrix With Coronally Advanced Flap Compared to Connective Tissue With Coronally Advanced Flap for the Treatment of Dehiscence-Type Recession Defects. J. Periodontol. 2010, 81, 1108–1117. [Google Scholar] [CrossRef]
- Fleming, P.S.; Lynch, C.D.; Pandis, N. Randomized Controlled Trials in Dentistry: Common Pitfalls and How to Avoid Them. J. Dent. 2014, 42, 908–914. [Google Scholar] [CrossRef]
- Cairo, F.; Barbato, L.; Selvaggi, F.; Baielli, M.G.; Piattelli, A.; Chambrone, L. Surgical Procedures for Soft Tissue Augmentation at Implant Sites. A Systematic Review and Meta-Analysis of Randomized Controlled Trials. Clin. Implant Dent. Relat. Res. 2019, 21, 1262–1270. [Google Scholar] [CrossRef]
- Bassetti, R.G.; Stähli, A.; Bassetti, M.A.; Sculean, A. Soft Tissue Augmentation around Osseointegrated and Uncovered Dental Implants: A Systematic Review. Clin. Oral Investig. 2017, 21, 53–70. [Google Scholar] [CrossRef]
- De Carvalho Formiga, M.; Nagasawa, M.A.; Moraschini, V.; Ata-Ali, J.; Sculean, A.; Shibli, J.A. Clinical Efficacy of Xenogeneic and Allogeneic 3D Matrix in the Management of Gingival Recession: A Systematic Review and Meta-Analysis. Clin. Oral Investig. 2020, 24, 2229–2245. [Google Scholar] [CrossRef] [PubMed]
- Jepsen, S.; Caton, J.G.; Albandar, J.M.; Bissada, N.F.; Bouchard, P.; Cortellini, P.; Demirel, K.; de Sanctis, M.; Ercoli, C.; Fan, J.; et al. Periodontal Manifestations of Systemic Diseases and Developmental and Acquired Conditions: Consensus Report of Workgroup 3 of the 2017 World Workshop on the Classification of Periodontal and Peri-Implant Diseases and Conditions. J. Periodontol. 2018, 89, S237–S248. [Google Scholar] [CrossRef] [PubMed]












| Databases | Keywords |
|---|---|
| PUBMED | #1 “collagen matrix”[Title/Abstract] OR “extracellular membrane”[Title/Abstract] OR “extracellular matrix”[Title/Abstract] OR “xenogenic collagen matrix”[Title/Abstract] OR “acellular dermal matrix”[Title/Abstract] OR “porcine collagen matrix”[Title/Abstract] OR “porcine collagen matrices”[Title/Abstract] OR “porcine derived collagen matrix”[Title/Abstract] OR “porcine derived acellular dermal matrix”[Title/Abstract] OR “mucograft”[Title/Abstract] OR “mucoderm”[Title/Abstract]” OR “volume-stable collagen matrix”[Title/Abstract] OR “dermal substitute”[Title/Abstract] #2 “soft tissue correction”[Title/Abstract] OR “soft tissue augmentation”[Title/Abstract] OR “soft tissue transplantation”[Title/Abstract] OR “soft tissue graft”[Title/Abstract] OR “guided tissue regeneration”[Title/Abstract] #1 AND #2 |
| Cochrane Library (CENTRAL) | #1 collagen matrix OR extracellular membrane OR extracellular matrix OR xenogenic collagen matrix OR acellular dermal matrix OR porcine collagen matrix OR porcine collagen matrices OR porcine derived collagen matrix OR porcine derived acellular dermal matrix OR mucograft OR mucoderm OR volume-stable collagen matrix OR dermal substitute #2 soft tissue correction OR soft tissue augmentation OR soft tissue transplantation OR soft tissue graft OR guided tissue regeneration #1 AND #2 |
| EMBASE | #1 “collagen matrix” OR “extracellular membrane” OR “extracellular matrix” OR “xenogenic collagen matrix” OR “acellular dermal matrix” OR “porcine collagen matrix” OR “porcine collagen matrices” OR “porcine derived collagen matrix” OR “porcine derived acellular dermal matrix” OR “mucograft” OR “mucoderm” OR “volume-stable collagen matrix” OR “dermal substitute” #2 “soft tissue correction” OR “soft tissue augmentation” OR “soft tissue transplantation” OR “soft tissue graft” OR “guided tissue regeneration” #1 AND #2 |
| Stage | Reason for Exclusion | Articles |
|---|---|---|
| Qualitative synthesis | No control group | Ozturan et al. [44]; Eeckhout et al. [45]; Ghanaati et al. [46] |
| No valid outcome for this SR | Zafiropoulos et al. [47]; McGuire y Secheyer [48]; Tonetti et al. [5]; Zuiderveld et al. [30] | |
| Use of the same data of a previous study | Puzio et al. [13] | |
| Quantitative synthesis | Increase the follow-up of a previous study and the follow-up period not considered for meta-analysis | Thoma et al. [43] |
| Author | Study Design | Follow-up | Patients | Inclusion Criteria | Outcome Measurements |
|---|---|---|---|---|---|
| Sanz et al., 2009 [32] | RCT | 6 months | 20 patients | Age > 18 years Systematically healthy FMPS < 20% Presenting at least one location with minimal or no KT (1 mm). | KMW, PD, CAL, GI, PI, pain, PAS Changes in KMW |
| Lorenzo et al., 2011 [34] | RCT | 6 months | 24 patients | Age >18 years Systematically healthy FMPS < 20% Presenting at least one implant with minimal or no KT (1 mm). | KMW, GI, PI, PD, CAL Changes in KMW |
| Cardaropoli et al., 2012 [33] | RCT | 12 months | 18 patients | Age > 18 years No pregnancy or breast feeding Systematically healthy Non-smokers At least two single-rooted teeth with gingival recessions Miller class I and/or II | GR, GT, PD, CAL, KMW Changes KMW |
| Aroca et al., 2013 [27] | RCT split-mouth | 12 months | 22 patients | Age > 18 years Systematically healthy Healthy or treated periodontal conditions Presence of at least 3 adjacent Miller class I and II GR on both sides of the maxillary or mandibular arch with an apico-coronal extension (i.e., RD) > 2 mm FMPS < 25% | GRD, GRW, KMW, GT, PD, CAL, PROMs |
| McGuire and Scheyer 2014 [35] | RCT split-mouth | 6 months | 30 patients | Age > 18 years No pregnancy or breast feeding Systematically healthy Non-smokers | PS, BOP, RD, KMW, VD, CAL, RMP, IS, Esthetics, Histological |
| Cieślik-Wegemund et al., 2016 [36] | RCT | 6 months | 28 patients | Systematically healthy Non-smokers Absence of clinical signs of active periodontal disease An identifiable CEJ Minimum of two adjacent GR of Miller Class I or II on both sides with at least 2 mm in RD API ≤ 15% and SBI ≤ 10% | GRD, GRW, KMW, CAL, CEJ-MGJ, PD, RA |
| Schimitt et al., 2016 [37] | RCT | 60 months | 48 patients | Age >18 years Healthy periodontally and systemically Good plaque control. No smokers | KMW, Appearance: color, texture |
| Thoma et al., 2016 [12] | RCT | 3 months | 20 patients | Age > 18 years Implant placement at least 6 weeks and maximum 6 months prior enrolment Necessity of STA in a single tooth Two teeth adjacent at each side of the defect with a mean BOP of < 30% BPE < 2 | GT, BPE, PI, KMW, BOP, PD, RD, PROMs Volumetric changes of GT |
| Cairo et al., 2017 [38] | RCT | 6 months | 60 patients | No systemic diseases or pregnancy. Smokers ≤ 10 cigarettes/day. No probing depths ≥ 5 mm FMPS and FMBS ≤ 15% Need of STA for aesthetic and/or functional reasons in a single-tooth gap at upper and lower jaw No previous STA procedure at experimental site | KMW, GT, BL, RD, PD, BOP, PI, PROMs |
| Zeltner et al., 2017 [39] | RCT | 3 months | 20 patients | Age > 18 years Implant placement at least 6 weeks and maximum 6 months prior enrolment Necessity of STA in a single tooth Two teeth adjacent at each side of the defect with a mean BOP of < 30% BPE < 2 | Volumetric changes of GT |
| Huber et al., 2018 [19] | Follow-up of RCT | 12 months | 19 patients | Age > 18 years Necessity of STA in a single tooth Two teeth adjacent at each side of the defect with a mean BOP of < 30% BPE < 2 Final restoration inserted at implant site | GT, BPE, PI, KMW, BOP, PD, RD, PES, PROMs Volumetric changes of GT |
| Pietruska et al., 2018 [28] | RCT split-mouth | 12 months | 20 patients | No pregnancy or breast feeding Systematically healthy, Non-smokers At least two single-rooted teeth with GR Miller class I and/or II ≥ 1 mm deep without loss of CAL FMPS and FMBOP < 20% No active periodontal disease Detectable CEJ No caries lesions or restorations in the cervical area. | GR, GRW, PD, CAL, KMW, GT, FMPS, FMBOP Changes KMW |
| Puzio et al.,2018 [16] | RCT | 12 months | 22 patients | Missing single or double teeth in the anterior area of their upper or lower jaw with a proper inter arch relationship with a ridge width (bucco-lingual) greater than 5 mm at its narrowest point and a minimum height of KM of 2 mm measured buccally with a periodontal probe. | GT, gingival biotype |
| Nahas et al., 2019 [40] | RCT split-mouth | 12 months | 15 patients | Systemically and periodontally healthy PI: ≤ 20% Multiple bilateral Class I Miller GR, involving canines and premolars (2–3 teeth) with at least one GR ≥ 3 mm Identifiable CEJ At least 1 mm KT apical to the GR | GRD, PI, BOP, PD, CAL, KMW, PROMs Changes KMW |
| Vellis et al.,2019 [31] | RCT split-mouth | 6 months | 30 patients | Age > 18 years Systematically healthy No pregnancy or breast feeding | KMW, PD, pain Changes in KMW |
| Rakasevic et al., 2020 [41] | RCT split-mouth | 12 months | 20 patients | Age > 18 years Non-smokers and light smokers (<10 cigarettes per day). Systemically and periodontally healthy FMPS < 20% and FMBOP < 20% +1 adjacent Type 1 GRs in both quadrants of the maxillary or mandibular arch with a GR depth ≥ 2 mm Identifiable CEJ Absence of the radiographic signs of periapical infection on the teeth to be treated or on the adjacent teeth. | GRD, GRW, KMW, GT, PD, CAL, HI, RES Changes KMW |
| Schmitt et al., 2020 [42] | CCT | 6 months | 14 patients | Age > 18 years No pregnancy or breast feeding Systematically healthy Periodontally healthy (no PD > 4 mm) Situation after early implant insertion and GBR at least 4 months and a maximum of 6 months prior to enrollment. | Volumetric changes of GT |
| Tarasenko et al., 2020 [29] | RCT | 6 months | 40 patients | Age >18 years Systematically healthy (ASA I-II) Non-smokers and light smokers (<10 cigarettes per day). Previous placement of one or more implants in the mandibles (3 to 6 months before the beginning of the investigation) without having yet undergone stage-two surgery FMPS and FMBS ≤ 20% | KMW, Inflammation, PROMs, Histology Changes in KMW |
| Thoma et al., 2020 [43] | Follow-up of RCT | 36 months | 18 patients | Age > 18 years Necessity of STA in a single tooth Two teeth adjacent at each side of the defect with a mean BOP of < 30% BPE < 2 Final restoration inserted at implant site | GT, BPE, PI, KMW, BOP, PD, RD, PES, PROMs, MBL Volumetric changes of GT |
| Author | STA/ Surgical Technique | XMC Used | Site of Treatments | Time of Grafting | Summary Results |
|---|---|---|---|---|---|
| Sanz et al., 2009 [32] | CG: CTG (n = 10) TG: XCM (n = 10) CAF | Mucograft® a | Maxilla and mandible | After crown placement | KW: CTG > CM |
| Lorenzo et al., 2011 [34] | CG: CTG (n = 12) TG: XCM (n = 12) CAF | Mucograft® | Maxilla and mandible | After crown placement | KW: CTG < CM |
| Cardaropoli et al., 2012 [33] | CG: CTG (n = 8) TG: XCM (n = 10) CAF | Mucograft® | Maxilla and mandible 22 GR | NR | KW: CTG > CM * GT: CTG > CM * |
| Aroca et al., 2013 [27] | CG: CTG (n = 22) TG: XCM (n = 22) MCAT | Mucograft® | Maxilla and mandible | NR | KW: CTG > CM GT: CTG > CM * |
| McGuire and Scheyer 2014 [35] | CG: FGG (n = 30) TG: CM (n = 30) | Mucograft® | Maxilla and mandible | NR | KW: FGG > CM * |
| Cieślik-Wegemund et al., 2016 [36] | CG: CTG (n = 14) TG: XCM (n = 14) TT | Mucoderm® b | Maxilla and mandible CG: 47 GR; 18 in mandible, 29 in maxilla TG: 59 GR; 20 in mandible, 39 in maxilla | NR | KW: CTG > CM |
| Schimitt et al., 2016 [37] | CG: CTG (n = 21) TG: XCM (n = 27) CAF | Mucograft® | Mandible (anterior region) | During 2° surgery | KW: FGG > CM |
| Thoma et al., 2016 [12] | CG: CTG (n = 10) TG: XCM (n = 10) Sutured grafts on periosteum without periodontal dressing | Fibro-Gide® a | Maxilla and mandible PM to PM | After implant placement | GT: CTG < CM |
| Cairo et al., 2017 [38] | CG: CTG (n = 30) TG: XCM (n = 30) CAT | Mucograft® | Maxilla and mandible | During 2° surgery | KW: CTG > XCM GT: CTG > XCM * |
| Zeltner et al., 2017 [39] | CG: CTG (n = 10) TG: XCM (n = 10) Sutured grafts on periosteum without periodontal dressing | Fibro-Gide® | Maxilla and mandible PM to PM | After implant placement | GT: CTG < CM |
| Huber et al., 2018 [19] | CG: CTG (n = 10) TG: XCM (n = 9) Sutured grafts on periosteum without periodontal dressing | Fibro-Gide® | Maxilla and mandible PM to PM | After implant placement | GT: CTG < CM |
| Pietruska et al., 2018 [28] | CG: CTG (n = 20) TG: XCM (n = 20) MCAT | Mucoderm® | Maxilla and mandible | NR | KW: CTG > CM * GT: CTG > CM * |
| Puzio et al.,2018 [16] | CG: CTG (n = 15) TG: XCM (n = 15) CAT | Mucograft® | Maxilla and mandible (anterior region) | 3 months after implantation | GT: CTG > CM * |
| Nahas et al., 2019 [40] | CG: CTG (n = 15) TG: XCM (n = 15) MCAT | Mucograft® | Maxilla and mandible 82 GR CG: 40 TG: 42 | NR | KW: CTG > CM |
| Vellis et al.,2019 [31] | CG: CTG (n = 30) TG: XCM (n = 30) Sutured grafts on periosteum without periodontal dressing | Mucograft® | Maxilla and mandible (posterior region) | After crown placement | KW: FGG > CM |
| Rakasevic et al., 2020 [41] | CG: CTG (n = 20) TG: XCM (n = 20)MCAT | Mucoderm® | Maxilla and mandible (114 multiple maxillary and mandibular type GR) | NR | KW: CTG < CM GT: CTG < CM * |
| Schmitt et al., 2020 [42] | CG: CTG (n = 17) TG: m CM (n = 17) | Mucoderm® | NR | During 2° surgery | GT: CTG > CM |
| Tarasenko et al., 2020 [29] | CG: FGG (n = 21) TG: CM (n = 19) CAF | Mucograft® | Mandible | During 2° surgery | KW: FGG > CM * |
| Thoma et al., 2020 [43] | CG: CTG (n = 10) TG: XCM (n = 8) Sutured grafts on periosteum without periodontal dressing | Fibro-Gide® | Maxilla and mandible PM to PM | After implant placement | GT: CTG > CM |
Publisher’s Note: MDPI stays neutral with regard to jurisdictional claims in published maps and institutional affiliations. |
© 2021 by the authors. Licensee MDPI, Basel, Switzerland. This article is an open access article distributed under the terms and conditions of the Creative Commons Attribution (CC BY) license (https://creativecommons.org/licenses/by/4.0/).
Share and Cite
Vallecillo, C.; Toledano-Osorio, M.; Vallecillo-Rivas, M.; Toledano, M.; Rodriguez-Archilla, A.; Osorio, R. Collagen Matrix vs. Autogenous Connective Tissue Graft for Soft Tissue Augmentation: A Systematic Review and Meta-Analysis. Polymers 2021, 13, 1810. https://doi.org/10.3390/polym13111810
Vallecillo C, Toledano-Osorio M, Vallecillo-Rivas M, Toledano M, Rodriguez-Archilla A, Osorio R. Collagen Matrix vs. Autogenous Connective Tissue Graft for Soft Tissue Augmentation: A Systematic Review and Meta-Analysis. Polymers. 2021; 13(11):1810. https://doi.org/10.3390/polym13111810
Chicago/Turabian StyleVallecillo, Cristina, Manuel Toledano-Osorio, Marta Vallecillo-Rivas, Manuel Toledano, Alberto Rodriguez-Archilla, and Raquel Osorio. 2021. "Collagen Matrix vs. Autogenous Connective Tissue Graft for Soft Tissue Augmentation: A Systematic Review and Meta-Analysis" Polymers 13, no. 11: 1810. https://doi.org/10.3390/polym13111810
APA StyleVallecillo, C., Toledano-Osorio, M., Vallecillo-Rivas, M., Toledano, M., Rodriguez-Archilla, A., & Osorio, R. (2021). Collagen Matrix vs. Autogenous Connective Tissue Graft for Soft Tissue Augmentation: A Systematic Review and Meta-Analysis. Polymers, 13(11), 1810. https://doi.org/10.3390/polym13111810

