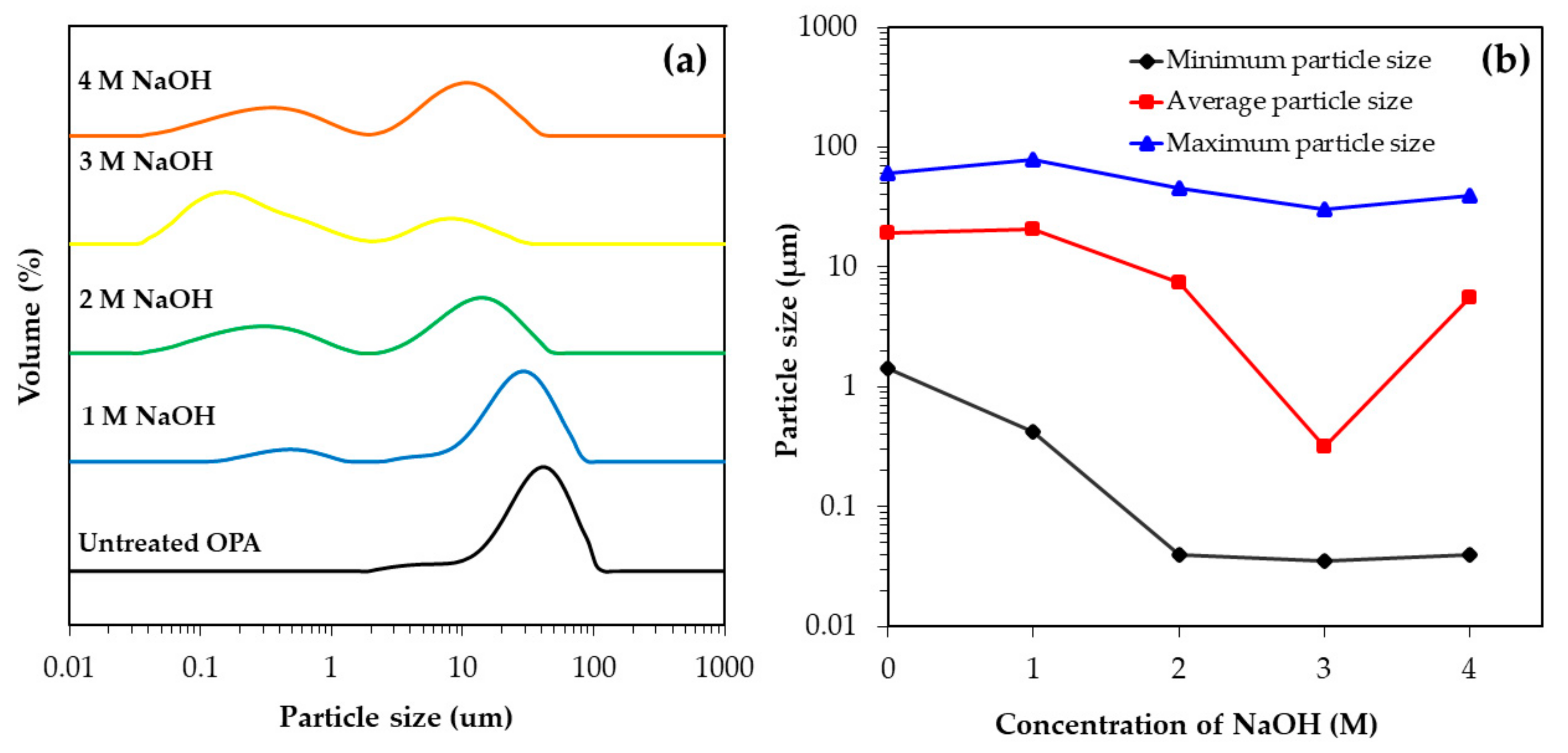
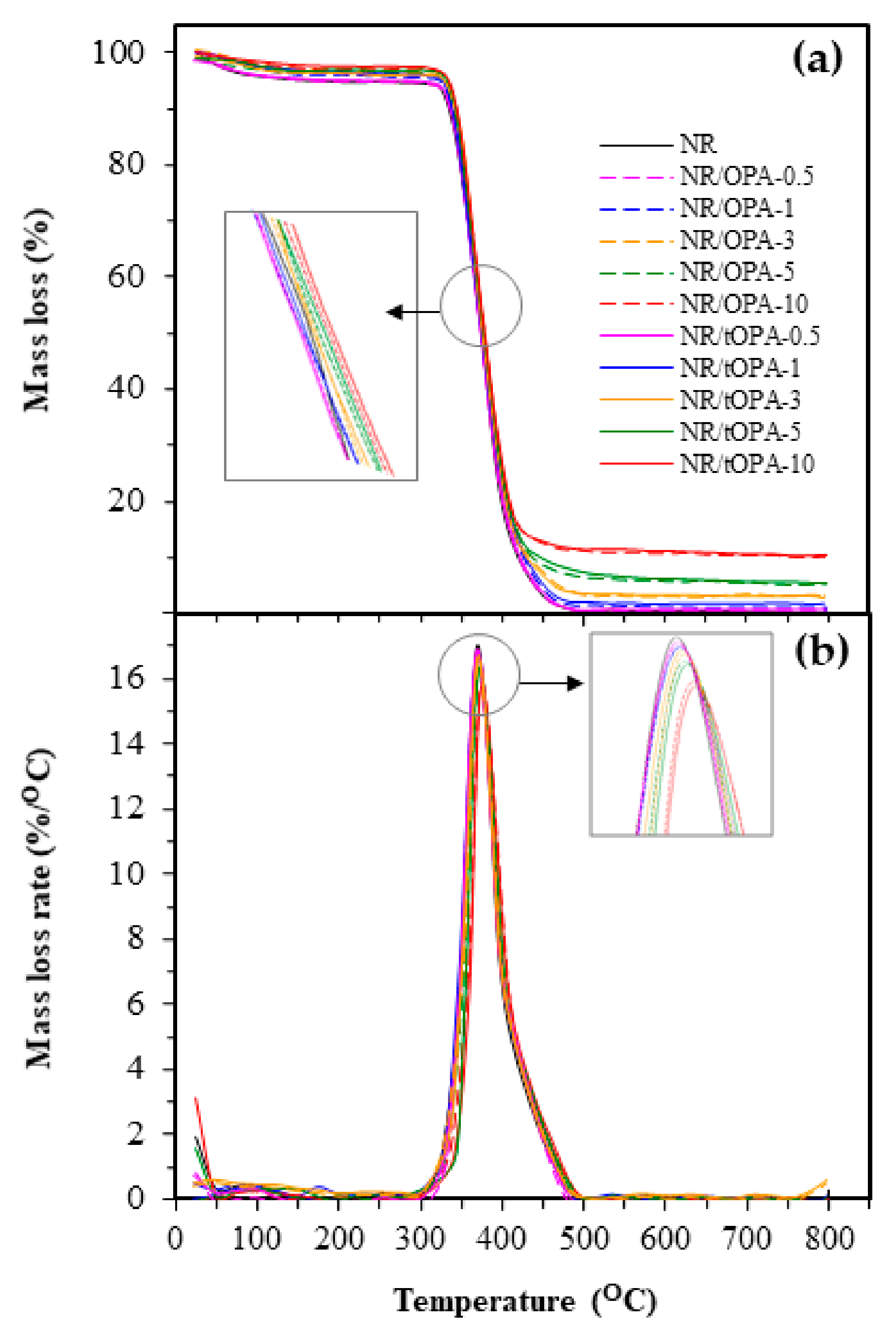
Preparation and Characterization of Ultra-Fine Oil Palm Ash Powder by Ultrasonication and Alkaline Treatment for Its Evaluation as Reinforcing Filler in Natural Rubber
Jarnthong, M.; Malawet, C.; Liao, L.; Li, P.; Peng, Z.; Intharapat, P. Preparation and Characterization of Ultra-Fine Oil Palm Ash Powder by Ultrasonication and Alkaline Treatment for Its Evaluation as Reinforcing Filler in Natural Rubber. Polymers 2021, 13, 100. https://doi.org/10.3390/polym13010100
Jarnthong M, Malawet C, Liao L, Li P, Peng Z, Intharapat P. Preparation and Characterization of Ultra-Fine Oil Palm Ash Powder by Ultrasonication and Alkaline Treatment for Its Evaluation as Reinforcing Filler in Natural Rubber. Polymers. 2021; 13(1):100. https://doi.org/10.3390/polym13010100
Chicago/Turabian StyleJarnthong, Methakarn, Chutarat Malawet, Lusheng Liao, Puwang Li, Zheng Peng, and Punyanich Intharapat. 2021. "Preparation and Characterization of Ultra-Fine Oil Palm Ash Powder by Ultrasonication and Alkaline Treatment for Its Evaluation as Reinforcing Filler in Natural Rubber" Polymers 13, no. 1: 100. https://doi.org/10.3390/polym13010100


