Preparation of a Novel Polystyrene-Poly(hydroxamic Acid) Copolymer and Its Adsorption Properties for Rare Earth Metal Ions
Abstract
1. Introduction
2. Experimental and Methods
2.1. Materials
2.2. Synthesis of the Resin
2.2.1. Synthesis of Propyl Hydroxamic Acid
2.2.2. Synthesis of Polystyrene-Poly(hydroxamic Acid) Copolymer
2.2.3. Purification of Polystyrene-Poly(hydroxamic Acid) Copolymer
2.3. Characterization
2.4. Adsorption Experiments
2.5. Desorption Experiments
3. Results and Discussion
3.1. Characterization
3.1.1. FTIR Study
3.1.2. SEM Analysis
3.1.3. XPS Analysis
3.2. Adsorption Study
3.2.1. Effect of Contact Time
3.2.2. Effect of pH
3.2.3. Effect of Initial Concentration of Metal Ions
3.2.4. Effect of Temperature
3.3. Adsorption Kinetics
3.4. Adsorption Isotherm
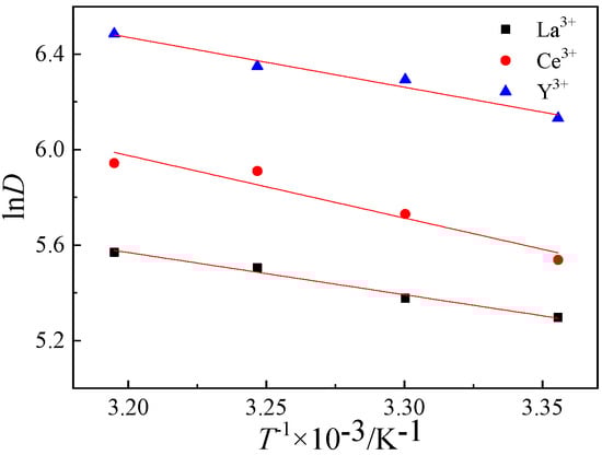
3.5. Adsorption Thermodynamics
3.6. Desorption Experiments
3.7. Comparison between Our Results and the References
4. Conclusions
Author Contributions
Funding
Conflicts of Interest
References
- Sadri, F.; Nazari, A.M.; Ghahreman, A. A review on the cracking, baking and leaching processes of rare earth element concentrates. J. Rare Earths 2017, 35, 739–752. [Google Scholar] [CrossRef]
- Anastopoulos, I.; Bhatnagar, A.; Lima, E.C. Adsorption of rare earth metals: A review of recent literature. J. Mol. Liq. 2016, 221, 954–962. [Google Scholar] [CrossRef]
- Goodenough, K.M.; Wall, F.; Merriman, D. The rare earth elements: Demand, global resources, and challenges for resourcing future generations. Nat. Resour. Res. 2018, 27, 201–216. [Google Scholar] [CrossRef]
- Mancheri, N.A.; Sprechera, B.; Baileyb, G.; Ge, J.P.; Tukker, A. Effect of Chinese policies on rare earth supply chain resilience. Resour. Conserv. Recycl. 2019, 142, 101–112. [Google Scholar] [CrossRef]
- Zhang, L.H.; Yang, M.S.; Liu, X.F. Review and outlook for China rare earth industry in recent years. China Rare Earth Inf. 2011, 17, 1–4. [Google Scholar]
- Wang, S.H. Study on present situations, problems and strategies of rare earth industry under the reform of supply-side. China Min. Mag. 2018, 27, 6–11. [Google Scholar]
- Abreu, R.D.; Morais, C.A. Purification of rare earth elements from monazite sulphuric acid leach liquor and the production of high-purity ceric oxide. Miner. Eng. 2010, 23, 536–540. [Google Scholar] [CrossRef]
- Fang, H.Y.; Cole, B.E.; Qiao, Y.S.; Bogart, G.A.; Cheisson, T.; Manor, B.C.; Carroll, P.J.; Schelter, E.J. Electro-kinetic separation of rare earth elements using a redox active ligand. Angew. Chem. Int. Edit. 2017, 56, 13450–13454. [Google Scholar] [CrossRef]
- Korkmaz, K.; Alemrajabi, M.; Rasmuson, Å.; Forsberg, K. Recoveries of valuable metals from spent nickel metal hydride vehicle batteries via sulfation, selective roasting, and water leaching. J. Sustain. Metall. 2018, 4, 313–325. [Google Scholar] [CrossRef]
- Innocenzi, V.; Vegliò, F. Recovery of rare earths and base metals from spent nickel-metal hydride batteries by sequential sulphuric acid leaching and selective precipitations. J. Power Sources 2012, 211, 184–191. [Google Scholar] [CrossRef]
- Agrawal, Y.K.; Kaur, H.; Menon, S.K. Poly (styrene-p-hydroxamic acids): Synthesis, and ion exchange separation of rare earths. React. Funct. Polym. 1999, 39, 155–164. [Google Scholar] [CrossRef]
- Liu, H.Z.; Zhang, B.; Jing, X.J.; Wang, W.; Wang, L.J. Adsorption and desorption properties for rhenium using a kind of weak-base anion resin. Rare Met. 2018, 37, 707–715. [Google Scholar] [CrossRef]
- Jing, Y.; Wang, Y.; Hou, H.L.; Xu, J.H.; Wang, Y.D. Extraction of lanthanides by polysulfone microcapsules containing EHPNA. I. Piercing method. J. Rare Earths 2015, 33, 655–663. [Google Scholar] [CrossRef]
- Davris, P.; Balomenos, E.; Panias, D.; Paspaliaris, I. Selective leaching of rare earth elements from bauxite residue (red mud), using a functionalized hydrophobic ionic liquid. Hydrometallurgy 2016, 164, 125–135. [Google Scholar] [CrossRef]
- Fernandes, A.; Afonso, J.C.; Dutra, A.J.B. Separation of nickel(II), cobalt(II) and lanthanides from spent Ni-MH batteries by hydrochloric acid leaching, solvent extraction and precipitation. Hydrometallurgy 2013, 133, 37–43. [Google Scholar] [CrossRef]
- Yang, X.; Zhang, J.; Fang, X. Rare earth element recycling from waste nickel-metal hydride batteries. J. Hazard. Mater. 2014, 279, 384–388. [Google Scholar] [CrossRef]
- Cao, Z.F.; Qiu, P.; Wang, S.; Zhong, H. Benzohydroxamic acid to improve iron removal from potash feldspar ores. J. Cent. South Univ. 2018, 25, 2190–2198. [Google Scholar] [CrossRef]
- Deng, L.Q.; Zhao, G.; Zhong, H.; Wang, S.; Liu, G.Y. Investigation on the selectivity of N-((hydroxyamino)-alkyl) alkylamide surfactants for scheelite/calcite flotation separation. J. Ind. Eng. Chem. 2016, 33, 131–141. [Google Scholar] [CrossRef]
- Salisbury, C.M.; Cravatt, B.F. Optimization of Activity-Based Probes for Proteomic Profiling of Histone Deacetylase Complexes. J. Am. Chem. Soc. 2008, 130, 2184–2194. [Google Scholar] [CrossRef]
- Salinas, F.; Jiménez-Arrabal, M.; Durán, M.S. 2-Pyrilideniminobenzohydroxamic Acid as Analytical Reagent for the Spectrophotometric Determination of Vanadium(V). Bull. Sociétés Chim. Belg. 2015, 94, 101–109. [Google Scholar] [CrossRef]
- Trivedi, U.V.; Menon, S.K.; Agrawal, Y.K. Polymer supported calix[6]arene hydroxamic acid, a novel chelating resin. React. Funct. Polym. 2002, 50, 205–216. [Google Scholar] [CrossRef]
- Zhang, Q. Synthesis of hydroxamic acid resin and its adsorption characteristics for acid mine drainage. Cent. South Univ. 2010, 26–27. [Google Scholar]
- Xiao, Y.F.; Long, Z.Q.; Huang, X.W.; Feng, Z.Y.; Cui, D.L.; Wang, L.S. Study on non-saponification extraction process for rare earth separation. J. Rare Earths 2013, 31, 512–516. [Google Scholar] [CrossRef]
- Liu, S.Q.; Wang, J.G. Correlation between the hard-soft acid-base concepts and the occurrences of elements in nature. Chemistry 2018, 81, 185–191. [Google Scholar]
- Lin, G.; Wang, S.X.; Zhang, L.B.; Hu, T.; Peng, J.F.; Cheng, S.; Fu, L.K. Selective adsorption of Ag+ on a new. cyanuric-thiosemicarbazide chelating resin with high capacity from acid solutions. Polymers 2017, 9, 568. [Google Scholar] [CrossRef] [PubMed]
- Borai, E.H.; Hamed, M.G.; El-kamash, A.M.; Siyama, T.; El-Sayedb, G.O. Synthesis, characterization and application of a modified acrylamide–styrene sulfonate resin and a composite for sorption of some rare earth elements. New J. Chem. 2015, 39, 7409–7420. [Google Scholar] [CrossRef]
- Li, C.X.; Zhong, H.; Wang, S.; Xue, J.R.; Zhang, Z.Y. Removal of basic dye (methylene blue) from aqueous solution using zeolite synthesized from electrolytic manganese residue. J. Ind. Eng. Chem. 2015, 23, 344–352. [Google Scholar] [CrossRef]
- Yang, K.Y.; Xing, J.C.; Xu, P.P.; Chang, J.M.; Zhang, Q.F.; Usman, K.M. Activated carbon microsphere from sodium lignosulfonate for Cr(VI) adsorption evaluation in wastewater treatment. Polymers 2020, 12, 236. [Google Scholar] [CrossRef]
- Tao, J.; Xiong, J.Q.; Jiao, C.L.; Zhang, D.S.; Lin, H.; Chen, Y.Y. Hybrid mesoporous silica based on hyperbranch-substrate nanonetwork as highly efficient adsorbent for water treatment. ACS. Sustain. Chem. Eng. 2016, 4, 60–68. [Google Scholar] [CrossRef]
- Lin, L.C.; Juang, R.S. Ion-exchange kinetics of Cu(II) and Zn(II) from aqueous solutions with two chelating resins. Chem. Eng. J. 2007, 132, 205–213. [Google Scholar] [CrossRef]
- Boyd, G.E.; Schubert, J.; Adamson, A.W. The exchange adsorption of ions from aqueous solutions by organic zeolites. I. ion-exchange equilibria. J. Am. Chem. Soc. 1947, 69, 2818. [Google Scholar] [CrossRef] [PubMed]
- Rahman, M.L.; Sarkar, S.M.; Yusoff, M.M.; Abdullah, M.H. Optical detection and efficient removal of transition metal ions from water using poly (hydroxamic acid) ligand. Sens. Actuators B Chem. 2017, 242, 595–608. [Google Scholar] [CrossRef]
- Wang, S.; Zhong, H.; Liu, G.Y.; Zhang, Q.; Li, T. Synthesis and adsorption properties for Au(Ⅲ) of alkoxycarbonyl thiourea resin. J. Cent. South Univ. Technol. 2008, 15, 463–468. [Google Scholar] [CrossRef]
- Karimi, R.; Yousefi, F.; Ghaedi, M.; Dashtian, K. Back propagation artificial neural network and central composite design modeling of operational parameter impact for sunset yellow and azur (II) adsorption onto MWCNT and MWCNT-Pd-NPs: Isotherm and kinetic study. Chemom. Intell. Lab. 2016, 159, 127–137. [Google Scholar] [CrossRef]
- Dashtian, K.; Porhemat, S.; Rezvani, A.R.; Ghaedi, M.; Sabzehmeidani, M.M. Adsorption of semisoft pollutants onto Bi2S3/Ag2S-AC under the influence of ultrasonic waves as external filed. J. Ind. Eng. Chem. 2018, 60, 390–400. [Google Scholar] [CrossRef]
- Hosseinpour, S.A.; Karimipour, G.; Ghaedi, M.; Dashtian, K. Use of metal composite MOF-5-Ag2O-NPs as an adsorbent for the removal of Auramine O dye under ultrasound energy conditions. Appl. Organomet. Chem. 2017, 32, e4007. [Google Scholar]
- Yao, C.P. Adsorption and desorption properties of D151 resin for Ce(III). J. Rare Earths 2010, 28, 183–188. [Google Scholar] [CrossRef]
- Huang, X.P.; Cao, X.Y.; Wang, W.H.; Zhong, H.; Cao, Z.F. Studies on the adsorption behaviors of Pb(II) onto an acyl-thiourea resin. J. Dispers. Sci. Technol. 2018, 39, 1316–1323. [Google Scholar] [CrossRef]
- Khawassek, Y.M.; Eliwa, A.A.; Haggag, E.S.A.; Omar, S.A.; Abdel-Wahab, S.M. Adsorption of rare earth elements by strong acid cation exchange resin thermodynamics, characteristics and kinetics. SN Appl. Sci. 2019, 1, 51. [Google Scholar] [CrossRef]
- Ren, H.S.; Cao, Z.F.; Wen, X.; Wang, S.; Zhong, H.; Wu, Z.K. Preparation of a novel nano-Fe3O4/triethanolamine/GO composites to enhance Pb2+/Cu2+ ions removal. Environ. Sci. Pollut. Res. 2019, 26, 10174–10187. [Google Scholar] [CrossRef]
- Maponya, T.A.; Ramohlola, K.E.; Kera, N.H.; Modibane, K.D.; Maity, A.; Katata-Seru, L.M.; Hato, M.J. Influence of magnetic nanoparticles on modified polypyrrole/m-phenylediamine for adsorption of Cr(VI) from aqueous solution. Polymers 2020, 12, 679. [Google Scholar] [CrossRef] [PubMed]
- Felipe, E.C.B.; Batista, K.A.; Ladeira, A.C.Q. Recovery of rare earth elements from acid mine drainage by ion exchange. Environ. Technol. 2020, 1–32. [Google Scholar] [CrossRef] [PubMed]
- Chen, T.; Yan, C.J.; Wang, Y.X.; Tang, C.H.; Zhou, S.; Zhao, Y.; Ma, R.; Duan, P. Synthesis of activated carbon-based amino phosphonic acid chelating resin and its adsorption properties for Ce(III) removal. Environ. Technol. 2015, 36, 2168–2176. [Google Scholar] [CrossRef] [PubMed]
- Pan, J.M.; Zou, X.H.; Li, C.X.; Liu, Y.; Yang, Y.S.; Han, J. Synthesis and applications of Ce(III)-imprinted polymer based on attapulgite as the sacrificial support material for selective separation of cerium(III) ions. Microchem. Acta 2010, 171, 151–160. [Google Scholar] [CrossRef]











| Metal Ions | Fitting Models | Fitting Equations | k | R2 |
|---|---|---|---|---|
| La3+ | liquid film diffusion | −ln(1 − F) = −0.3892 + 1.141t | 1.1410 | 0.9956 |
| particle diffusion | 1 − 3(1 − F)2/3 + 2(1−F) = −0.0852 + 0.2460t | 0.2460 | 0.9876 | |
| chemical reaction | 1 − (1 − F)1/3 = −0.024 + 0.1648t | 0.1648 | 0.9882 | |
| Ce3+ | liquid film diffusion | −ln(1 − F) = −0.4764+0.9195t | 0.9195 | 0.9835 |
| particle diffusion | 1 − 3(1 − F)2/3 + 2(1 − F) = −0.1495 + 0.2213t | 0.2213 | 0.9922 | |
| chemical reaction | 1 − (1 − F)1/3 = −0.0386 + 0.1915t | 0.1915 | 0.9762 | |
| Y3+ | liquid film diffusion | −ln(1 − F) = −0.6299 + 1.4323t | 1.4323 | 0.9887 |
| particle diffusion | 1 − 3(1 − F)2/3 + 2(1 − F) = −0.1746 + 0.3341t | 0.3341 | 0.9952 | |
| chemical reaction | 1 − (1 − F)1/3 = −0.0288 + 0.2543t | 0.2543 | 0.9854 |
| Metal Ions | Langmuir | Freundlich | ||||
|---|---|---|---|---|---|---|
| KL (L·mol−1) | Qm (mmol·g−1) | R2 | KF | n | R2 | |
| La3+ | 295.7 | 2.183 | 0.9941 | 0.0098 | 2.548 | 0.9904 |
| Ce3+ | 634.9 | 2.592 | 0.9991 | 0.0120 | 2.674 | 0.9735 |
| Y3+ | 596.1 | 2.884 | 0.9995 | 0.0140 | 2.721 | 0.9158 |
| Metal Ions | ∆H (KJ·mol−1) | ∆G (KJ·mol−1) | ∆S (J·mol−1·K−1) |
|---|---|---|---|
| La3+ | 9.777 | −6.631 | 52.42 |
| Ce3+ | 21.76 | −6.958 | 91.75 |
| Y3+ | 17.35 | −7.081 | 78.05 |
| Metal Ions | E1 (%) | E2 (%) | E3 (%) |
|---|---|---|---|
| La3+ | 74.2 | 89.3 | 98.4 |
| Ce3+ | 76.6 | 90.6 | 99.1 |
| Y3+ | 78.1 | 91.4 | 98.8 |
| Absorbent | Qmax (mmol·g−1) | Reference |
|---|---|---|
| polystyrene-poly(hydroxamic acid) resin | 1.530 | This work |
| Dowex 50WX8 | 0.169 | [42] |
| Lewatit MDS 200H | 0.173 | [42] |
| RCAC | 0.420 | [43] |
| P(HA–SSS) | 0.564 | [26] |
| poly(styrene-p-hydroxamic acid) | 0.620 | [11] |
| CIP | 0.932 | [44] |
| D151 | 2.800 | [37] |
© 2020 by the authors. Licensee MDPI, Basel, Switzerland. This article is an open access article distributed under the terms and conditions of the Creative Commons Attribution (CC BY) license (http://creativecommons.org/licenses/by/4.0/).
Share and Cite
Cao, X.; Wang, Q.; Wang, S.; Man, R. Preparation of a Novel Polystyrene-Poly(hydroxamic Acid) Copolymer and Its Adsorption Properties for Rare Earth Metal Ions. Polymers 2020, 12, 1905. https://doi.org/10.3390/polym12091905
Cao X, Wang Q, Wang S, Man R. Preparation of a Novel Polystyrene-Poly(hydroxamic Acid) Copolymer and Its Adsorption Properties for Rare Earth Metal Ions. Polymers. 2020; 12(9):1905. https://doi.org/10.3390/polym12091905
Chicago/Turabian StyleCao, Xiaoyan, Qing Wang, Shuai Wang, and Ruilin Man. 2020. "Preparation of a Novel Polystyrene-Poly(hydroxamic Acid) Copolymer and Its Adsorption Properties for Rare Earth Metal Ions" Polymers 12, no. 9: 1905. https://doi.org/10.3390/polym12091905
APA StyleCao, X., Wang, Q., Wang, S., & Man, R. (2020). Preparation of a Novel Polystyrene-Poly(hydroxamic Acid) Copolymer and Its Adsorption Properties for Rare Earth Metal Ions. Polymers, 12(9), 1905. https://doi.org/10.3390/polym12091905

