Plasticization Effect of Poly(Lactic Acid) in the Poly(Butylene Adipate–co–Terephthalate) Blown Film for Tear Resistance Improvement
Abstract
1. Introduction
2. Materials and Methods
2.1. Materials
2.2. Preparation of Plasticized PLA Samples
2.3. Preparation of Plasticized PLA and PBAT Materials
2.4. Blown Film Process
2.5. Instrumentation and Equipment
3. Results
3.1. Effects of PLA Plasticizer Type and Content on Processability
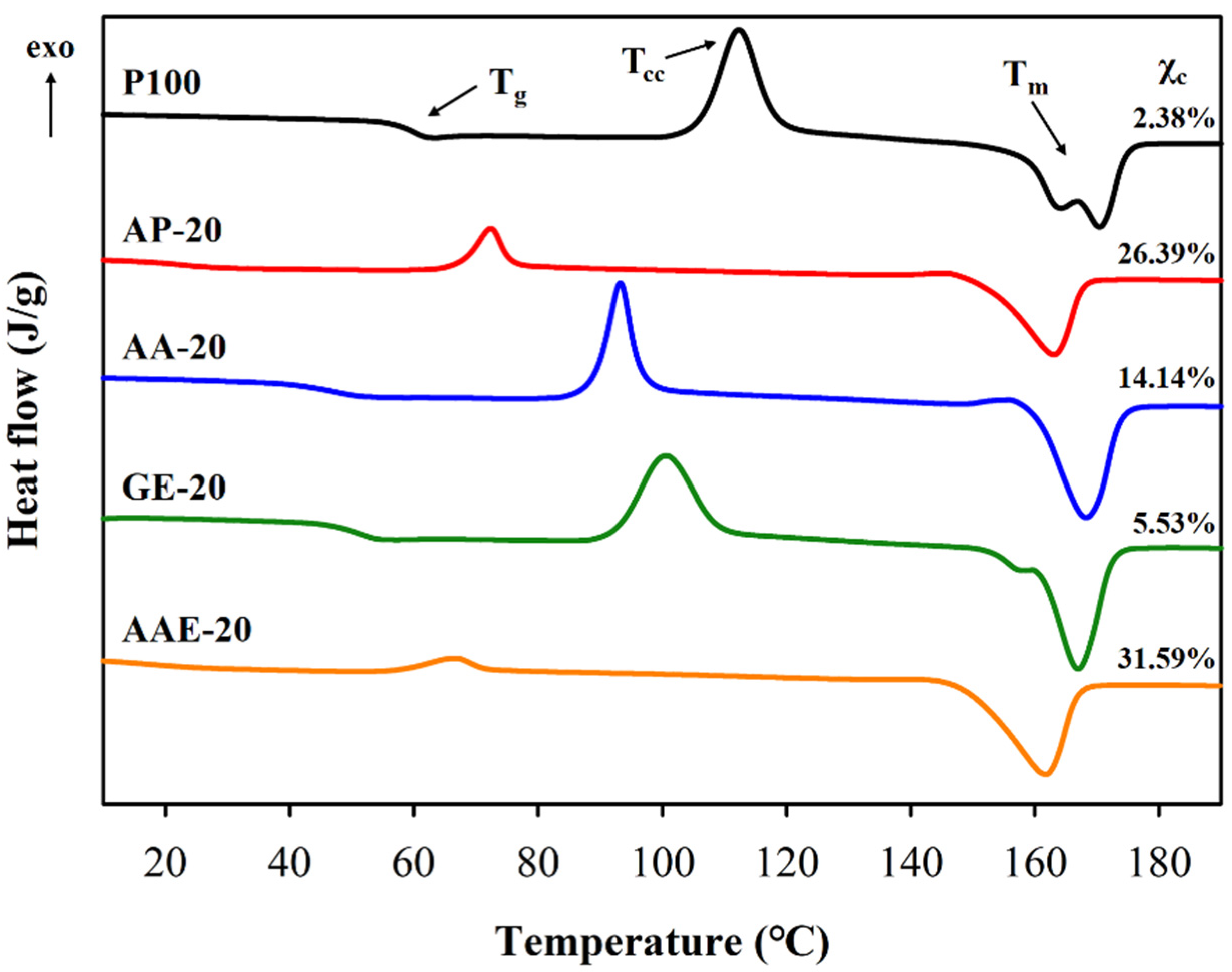
3.2. Effects of PLA Plasticization on the Thermal Properties
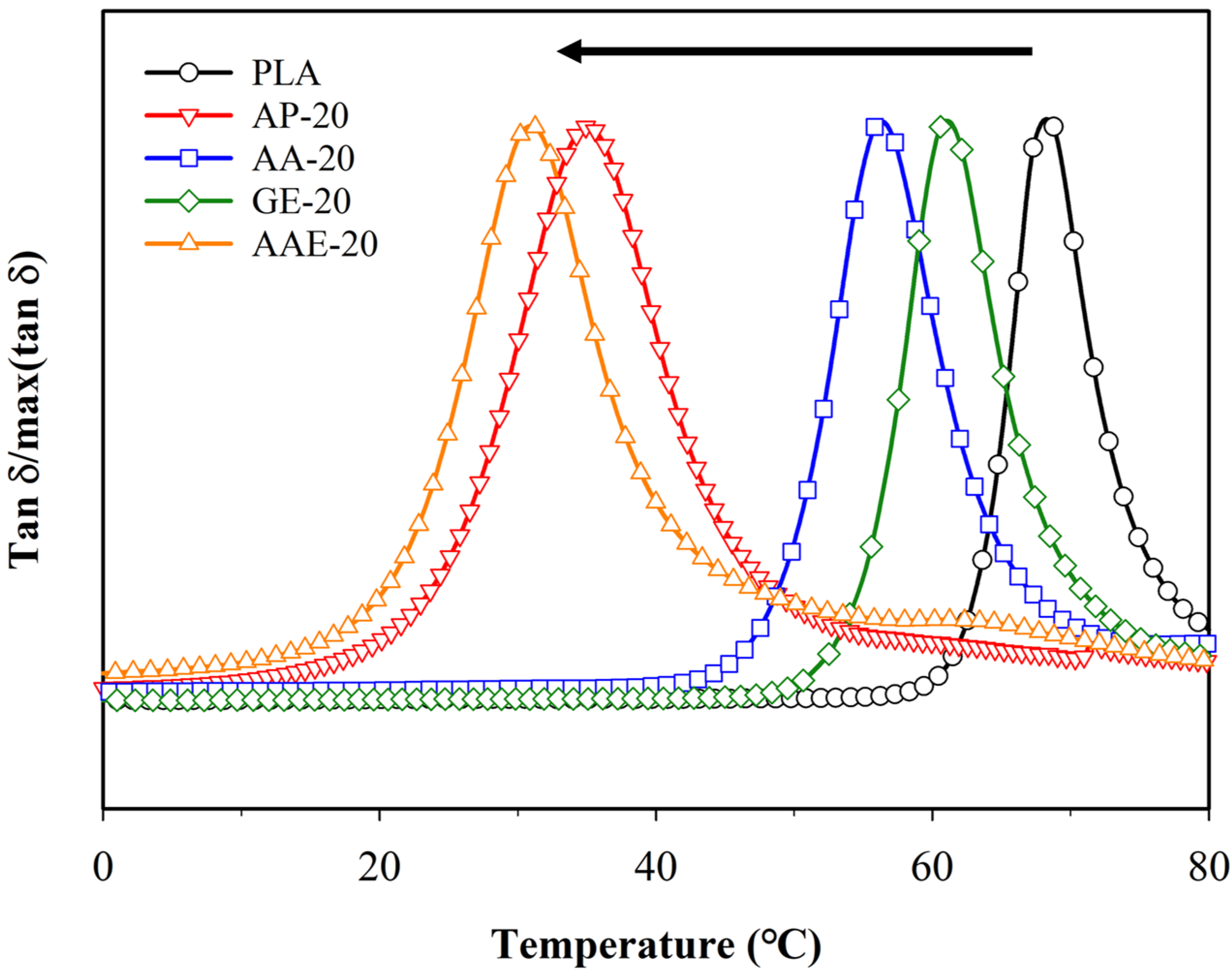
3.3. Dynamic Mechanical Properties of Plasticized PLA
3.4. Effects of the Plasticized PLA on the Morphology of the Blends with PBAT
3.5. Effects of the Plasticized PLA on the Mechanical Properties of the PBAT Blown Film
3.6. Influence of Plasticized PLA in the PBAT Blown Film of Tear Resistance
4. Conclusions
Supplementary Materials
Author Contributions
Funding
Conflicts of Interest
References
- Chandra, R.; Rustgi, R. Biodegradable polymers. Prog. Polym. Sci. 1998, 23, 1273–1335. [Google Scholar] [CrossRef]
- Dorgan, J.R.; Lehermeier, H.; Mang, M. Thermal and rheological properties of commercial-grade poly (lactic acid) s. J. Polym. Environ. 2000, 8, 1–9. [Google Scholar] [CrossRef]
- Vink, E.T.; Rabago, K.R.; Glassner, D.A.; Gruber, P.R. Applications of life cycle assessment to NatureWorks™ polylactide (PLA) production. Polym. Degrad. Stab. 2003, 80, 403–419. [Google Scholar] [CrossRef]
- Avérous, L. Polylactic acid: Synthesis, properties and applications. In Monomers, Polymers and Composites from Renewable Resources; Elsevier: Amsterdam, The Netherlands, 2008; pp. 433–450. [Google Scholar]
- Lopes, M.S.; Jardini, A.; Maciel Filho, R. Poly (lactic acid) production for tissue engineering applications. Procedia Eng. 2012, 42, 1402–1413. [Google Scholar] [CrossRef]
- Auras, R.; Harte, B.; Selke, S. An overview of polylactides as packaging materials. Macromol. Biosci. 2004, 4, 835–864. [Google Scholar] [CrossRef]
- Farah, S.; Anderson, D.G.; Langer, R. Physical and mechanical properties of PLA, and their functions in widespread applications—A comprehensive review. Adv. Drug Deliv. Rev. 2016, 107, 367–392. [Google Scholar] [CrossRef]
- Martin, O.; Avérous, L. Poly (lactic acid): Plasticization and properties of biodegradable multiphase systems. Polymer 2001, 42, 6209–6219. [Google Scholar] [CrossRef]
- Awale, R.J.; Ali, F.B.; Azmi, A.S.; Puad, N.I.M.; Anuar, H.; Hassan, A. Enhanced flexibility of biodegradable polylactic acid/starch blends using epoxidized palm oil as plasticizer. Polymers 2018, 10, 977. [Google Scholar] [CrossRef]
- Aliotta, L.; Vannozzi, A.; Panariello, L.; Gigante, V.; Coltelli, M.-B.; Lazzeri, A. Sustainable micro and nano additives for controlling the migration of a biobased plasticizer from PLA-based flexible films. Polymers 2020, 12, 1366. [Google Scholar] [CrossRef]
- Wang, L.; Ma, W.; Gross, R.; McCarthy, S. Reactive compatibilization of biodegradable blends of poly (lactic acid) and poly (ε-caprolactone). Polym. Degrad. Stab. 1998, 59, 161–168. [Google Scholar] [CrossRef]
- Lee, S.-H.; Wang, S. Biodegradable polymers/bamboo fiber biocomposite with bio-based coupling agent. Compos. Part. A Appl. Sci. Manuf. 2006, 37, 80–91. [Google Scholar] [CrossRef]
- González-López, M.; Robledo-Ortíz, J.; Manríquez-González, R.; Silva-Guzmán, J.; Pérez-Fonseca, A. Polylactic acid functionalization with maleic anhydride and its use as coupling agent in natural fiber biocomposites: A review. Compos. Interfaces 2018, 25, 515–538. [Google Scholar] [CrossRef]
- Jonoobi, M.; Harun, J.; Mathew, A.P.; Oksman, K. Mechanical properties of cellulose nanofiber (CNF) reinforced polylactic acid (PLA) prepared by twin screw extrusion. Compos. Sci. Technol. 2010, 70, 1742–1747. [Google Scholar] [CrossRef]
- Shakoor, A.; Thomas, N.L. Talc as a nucleating agent and reinforcing filler in poly (lactic acid) composites. Polym. Eng. Sci. 2014, 54, 64–70. [Google Scholar] [CrossRef]
- Lee, M.; Jung, B.N.; Kim, G.H.; Kang, D.; Park, H.J.; Shim, J.K.; Hwang, S.W. The effect of triethyl citrate on the dispersibility and water vapor sorption behavior of polylactic acid/zeolite composites. Polym. Test. 2020, 89, 106571. [Google Scholar] [CrossRef]
- Bhatia, A.; Gupta, R.; Bhattacharya, S.; Choi, H. Compatibility of biodegradable poly (lactic acid)(PLA) and poly (butylene succinate)(PBS) blends for packaging application. Korea-Aust. Rheol. J. 2007, 19, 125–131. [Google Scholar]
- Ma, P.; Cai, X.; Zhang, Y.; Wang, S.; Dong, W.; Chen, M.; Lemstra, P. In-situ compatibilization of poly (lactic acid) and poly (butylene adipate–co–terephthalate) blends by using dicumyl peroxide as a free-radical initiator. Polym. Degrad. Stab. 2014, 102, 145–151. [Google Scholar] [CrossRef]
- Csikós, Á.; Faludi, G.; Domján, A.; Renner, K.; Móczó, J.; Pukánszky, B. Modification of interfacial adhesion with a functionalized polymer in PLA/wood composites. Eur. Polym. J. 2015, 68, 592–600. [Google Scholar] [CrossRef]
- Akrami, M.; Ghasemi, I.; Azizi, H.; Karrabi, M.; Seyedabadi, M. A new approach in compatibilization of the poly (lactic acid)/thermoplastic starch (PLA/TPS) blends. Carbohydr. Polym. 2016, 144, 254–262. [Google Scholar] [CrossRef]
- Herrera, R.; Franco, L.; Rodríguez-Galán, A.; Puiggalí, J. Characterization and degradation behavior of poly (butylene adipate–co–terephthalate) s. J. Polym. Sci. Part. A Polym. Chem. 2002, 40, 4141–4157. [Google Scholar] [CrossRef]
- Kijchavengkul, T.; Auras, R.; Rubino, M.; Selke, S.; Ngouajio, M.; Fernandez, R.T. Biodegradation and hydrolysis rate of aliphatic aromatic polyester. Polym. Degrad. Stab. 2010, 95, 2641–2647. [Google Scholar] [CrossRef]
- Jiang, L.; Liu, B.; Zhang, J. Properties of poly (lactic acid)/poly (butylene adipate–co–terephthalate)/nanoparticle ternary composites. Ind. Eng. Chem. Res. 2009, 48, 7594–7602. [Google Scholar] [CrossRef]
- Rodrigues, B.V.; Silva, A.S.; Melo, G.F.; Vasconscellos, L.M.; Marciano, F.R.; Lobo, A.O. Influence of low contents of superhydrophilic MWCNT on the properties and cell viability of electrospun poly (butylene adipate–co–terephthalate) fibers. Mater. Sci. Eng. C 2016, 59, 782–791. [Google Scholar] [CrossRef] [PubMed]
- Gu, S.-Y.; Zhang, K.; Ren, J.; Zhan, H. Melt rheology of polylactide/poly (butylene adipate–co–terephthalate) blends. Carbohydr. Polym. 2008, 74, 79–85. [Google Scholar] [CrossRef]
- Signori, F.; Coltelli, M.-B.; Bronco, S. Thermal degradation of poly (lactic acid)(PLA) and poly (butylene adipate–co–terephthalate)(PBAT) and their blends upon melt processing. Polym. Degrad. Stab. 2009, 94, 74–82. [Google Scholar] [CrossRef]
- Lu, X.; Zhao, J.; Yang, X.; Xiao, P. Morphology and properties of biodegradable poly (lactic acid)/poly (butylene adipate–co–terephthalate) blends with different viscosity ratio. Polym. Test. 2017, 60, 58–67. [Google Scholar] [CrossRef]
- Wang, X.; Peng, S.; Chen, H.; Yu, X.; Zhao, X. Mechanical properties, rheological behaviors, and phase morphologies of high-toughness PLA/PBAT blends by in-situ reactive compatibilization. Compos. Part. B Eng. 2019, 173, 107028. [Google Scholar] [CrossRef]
- Schott, H. Solubility parameter, specific molar cohesion, and the solubility of ethylene oxide in polymers. Biomaterials 1982, 3, 195–198. [Google Scholar] [CrossRef]
- Siemann, U. The solubility parameter of poly (DL-lactic acid). Eur. Polym. J. 1992, 28, 293–297. [Google Scholar] [CrossRef]
- Zhou, J.; Zheng, Y.; Shan, G.; Bao, Y.; Wang, W.-J.; Pan, P. Stretch-induced crystalline structural evolution and cavitation of poly (butylene adipate-ran-butylene terephthalate)/poly (lactic acid) immiscible blends. Polymer 2020, 188, 122121. [Google Scholar] [CrossRef]
- Wypych, G. Handbook of Plasticizers; ChemTec Publishing: Toronto, ON, Canada, 2004. [Google Scholar]
- Imre, B.; Pukánszky, B. Compatibilization in bio-based and biodegradable polymer blends. Eur. Polym. J. 2013, 49, 1215–1233. [Google Scholar] [CrossRef]
- Labrecque, L.; Kumar, R.; Dave, V.; Gross, R.; McCarthy, S. Citrate esters as plasticizers for poly (lactic acid). J. Appl. Polym. Sci. 1997, 66, 1507–1513. [Google Scholar] [CrossRef]
- Coltelli, M.B.; Maggiore, I.D.; Bertoldo, M.; Signori, F.; Bronco, S.; Ciardelli, F. Poly (lactic acid) properties as a consequence of poly (butylene adipate-co-terephthalate) blending and acetyl tributyl citrate plasticization. J. Appl. Polym. Sci. 2008, 110, 1250–1262. [Google Scholar] [CrossRef]
- Tsou, C.-H.; Suen, M.-C.; Yao, W.-H.; Yeh, J.-T.; Wu, C.-S.; Tsou, C.-Y.; Chiu, S.-H.; Chen, J.-C.; Wang, R.Y.; Lin, S.-M. Preparation and characterization of bioplastic-based green renewable composites from tapioca with acetyl tributyl citrate as a plasticizer. Materials 2014, 7, 5617–5632. [Google Scholar] [CrossRef] [PubMed]
- Shirai, M.; Grossmann, M.; Mali, S.; Yamashita, F.; Garcia, P.; Müller, C. Development of biodegradable flexible films of starch and poly (lactic acid) plasticized with adipate or citrate esters. Carbohydr. Polym. 2013, 92, 19–22. [Google Scholar] [CrossRef] [PubMed]
- Shirai, M.A.; Müller, C.M.O.; Grossmann, M.V.E.; Yamashita, F. Adipate and citrate esters as plasticizers for poly (lactic acid)/thermoplastic starch sheets. J. Polym. Environ. 2015, 23, 54–61. [Google Scholar] [CrossRef]
- Jacobsen, S.; Fritz, H.-G. Plasticizing polylactide—The effect of different plasticizers on the mechanical properties. Polym. Eng. Sci. 1999, 39, 1303–1310. [Google Scholar] [CrossRef]
- Taib, R.M.; Ramarad, S.; Ishak, Z.A.M.; Todo, M. Properties of kenaf fiber/polylactic acid biocomposites plasticized with polyethylene glycol. Polym. Compos. 2010, 31, 1213–1222. [Google Scholar] [CrossRef]
- Gui, Z.; Xu, Y.; Gao, Y.; Lu, C.; Cheng, S. Novel polyethylene glycol-based polyester-toughened polylactide. Mater. Lett. 2012, 71, 63–65. [Google Scholar] [CrossRef]
- Tsuji, H.; Ikada, Y. Properties and morphologies of poly (L-lactide): 1. Annealing condition effects on properties and morphologies of poly (L-lactide). Polymer 1995, 36, 2709–2716. [Google Scholar] [CrossRef]
- Vinogradov, G.; Malkin, A.Y. Rheological properties of polymer melts. J. Polym. Sci. Part. A-2 Polym. Phys. 1966, 4, 135–154. [Google Scholar] [CrossRef]
- Lim, L.; Tsuji, H. Poly (Lactic Acid): Synthesis, Structures, Properties, Processing, and Applications; Wiley Online Library: Hoboken, NJ, USA, 2010. [Google Scholar]
- Cogswell, F.N. Polymer Melt Rheology: A Guide for Industrial Practice; Elsevier: Amsterdam, The Netherlands, 1981. [Google Scholar]
- Pillin, I.; Montrelay, N.; Grohens, Y. Thermo-mechanical characterization of plasticized PLA: Is the miscibility the only significant factor? Polymer 2006, 47, 4676–4682. [Google Scholar] [CrossRef]
- Abdelwahab, M.A.; Flynn, A.; Chiou, B.-S.; Imam, S.; Orts, W.; Chiellini, E. Thermal, mechanical and morphological characterization of plasticized PLA–PHB blends. Polym. Degrad. Stab. 2012, 97, 1822–1828. [Google Scholar] [CrossRef]
- Xu, H.; Xie, L.; Chen, Y.-H.; Huang, H.-D.; Xu, J.-Z.; Zhong, G.-J.; Hsiao, B.S.; Li, Z.-M. Strong shear flow-driven simultaneous formation of classic shish-kebab, hybrid shish-kebab, and transcrystallinity in poly (lactic acid)/natural fiber biocomposites. ACS Sustain. Chem. Eng. 2013, 1, 1619–1629. [Google Scholar] [CrossRef]
- Fang, H.; Zhang, Y.; Bai, J.; Wang, Z. Shear-induced nucleation and morphological evolution for bimodal long chain branched polylactide. Macromolecules 2013, 46, 6555–6565. [Google Scholar] [CrossRef]
- Xiao, H.; Lu, W.; Yeh, J.T. Effect of plasticizer on the crystallization behavior of poly (lactic acid). J. Appl. Polym. Sci. 2009, 113, 112–121. [Google Scholar] [CrossRef]
- Saeidlou, S.; Huneault, M.A.; Li, H.; Park, C.B. Poly (lactic acid) crystallization. Prog. Polym. Sci. 2012, 37, 1657–1677. [Google Scholar] [CrossRef]
- Young, R.J.; Lovell, P.A. Introduction to Polymers; CRC Press: Boca Raton, FL, USA, 2011. [Google Scholar]
- Utracki, L.A.; Wilkie, C.A. Polymer Blends Handbook; Springer: Berlin/Heidelberg, Germany, 2002; Volume 1. [Google Scholar]
- Fenni, S.E.; Cavallo, D.; Müller, A.J. Nucleation and crystallization in bio-based immiscible polyester blends. In Thermal Properties of Bio-Based Polymers; Di Lorenzo, M.L., Androsch, R., Eds.; Springer International Publishing: Cham, Switzerland, 2019; pp. 219–256. [Google Scholar]
- Hanschen, T.P. Films, orientation. In Encyclopedia of Polymer Science and Technology; John Wiley & Sons: Hoboken, NJ, USA, 2002; Volume 2. [Google Scholar]
- Morris, B.A. The Science and Technology of Flexible Packaging: Multilayer Films from Resin and Process to End Use; William Andrew: Norwich, NY, USA, 2016. [Google Scholar]
- Tsuji, H. Autocatalytic hydrolysis of amorphous-made polylactides: Effects of L-lactide content, tacticity, and enantiomeric polymer blending. Polymer 2002, 43, 1789–1796. [Google Scholar] [CrossRef]
- Saha, S.K.; Tsuji, H. Effects of rapid crystallization on hydrolytic degradation and mechanical properties of poly (l-lactide-co-ε-caprolactone). React. Funct. Polym. 2006, 66, 1362–1372. [Google Scholar] [CrossRef]
- Zhou, C.; Guo, H.; Li, J.; Huang, S.; Li, H.; Meng, Y.; Yu, D.; de Claville Christiansen, J.; Jiang, S. Temperature dependence of poly (lactic acid) mechanical properties. Rsc Adv. 2016, 6, 113762–113772. [Google Scholar] [CrossRef]
- Ghassemieh, E.; Naseehi, V. Prediction of failure and fracture mechanisms of polymeric composites using finite element analysis. Part 1: Particulate filled composites. Polym. Compos. 2001, 22, 528–541. [Google Scholar] [CrossRef]
- Cheng, L.; Guo, T. Void interaction and coalescence in polymeric materials. Int. J. Solids Struct. 2007, 44, 1787–1808. [Google Scholar] [CrossRef]
- Manson, J.A. Polymer Blends and Composites; Springer Science & Business Media: Berlin/Heidelberg, Germany, 2012. [Google Scholar]
- Kulinski, B.; Piorkowska, E. Crystallization, structure and properties of plasticized poly (L-lactide). Polymer 2005, 46, 10290–10300. [Google Scholar] [CrossRef]
- Rozanski, A.; Galeski, A. Controlling cavitation of semicrystalline polymers during tensile drawing. Macromolecules 2011, 44, 7273–7287. [Google Scholar] [CrossRef]
- Rozanski, A.; Galeski, A. Crystalline lamellae fragmentation during drawing of polypropylene. Macromolecules 2015, 48, 5310–5322. [Google Scholar] [CrossRef]
- Robertson, G.L. Food Packaging: Principles and Practice, 3rd ed.; CRC Press: Boca Raton, FL, USA, 2016. [Google Scholar]






| Type (Description) | Product Name | Molecular Weight (g/mol) | Density (g/cm3) | Viscosity (mPa·s) | Supplier |
|---|---|---|---|---|---|
| Adipate (AP) | Bis[2–(2–butoxyethoxy) ethyl] adipate | 434.6 | 1.01 | 20.5 | Sigma-Aldrich |
| Adipic acid (AA) | EDENOL® 1208 | - | 1.03 | 650–750 | Emery Oleochemicals |
| Glycerol ester (GE) | LOXIOL® P 1141 | - | 0.93 | 90–110 | Emery Oleochemicals |
| Adipic acid ester (AAE) | DAIFATTY®-101 | 338 | 1.10 | 19 | Daihachi Chemical Industry |
| Description | PLA (wt %) | AP (phr) | AA (phr) | GE (phr) | AAE (phr) |
|---|---|---|---|---|---|
| P100 | 100 | - | - | - | - |
| AP-05 | 100 | 5 | - | - | - |
| AP-10 | 100 | 10 | - | - | - |
| AP-15 | 100 | 15 | - | - | - |
| AP-20 | 100 | 20 | - | - | - |
| AA-05 | 100 | - | 5 | - | - |
| AA-10 | 100 | - | 10 | - | - |
| AA-15 | 100 | - | 15 | - | - |
| AA-20 | 100 | - | 20 | - | - |
| GE-05 | 100 | - | - | 5 | - |
| GE-10 | 100 | - | - | 10 | - |
| GE-15 | 100 | - | - | 15 | - |
| GE-20 | 100 | - | - | 20 | - |
| AAE-05 | 100 | - | - | - | 5 |
| AAE-10 | 100 | - | - | - | 10 |
| AAE-15 | 100 | - | - | - | 15 |
| AAE-20 | 100 | - | - | - | 20 |
| Description | PLA (wt %) | AAE-05 (wt %) | AAE-10 (wt %) | PBAT (wt %) | Talc (phr) | Wax (phr) |
|---|---|---|---|---|---|---|
| P35 | 35 | - | - | 65 | 3 | 0.3 |
| P35AAE-05 | - | 35 | - | 65 | 3 | 0.3 |
| P35AAE-10 | - | - | 35 | 65 | 3 | 0.3 |
| Description | Tg (°C) | Tc (°C) | Tcc (°C) | Tm (°C) | ΔHc (J/g) | ΔHcc (J/g) | ΔHm (J/g) | Xc (%) |
|---|---|---|---|---|---|---|---|---|
| P100 | 60.18 | - | 112.32 | 170.43 | - | 33.56 | 35.79 | 2.38 |
| AP-05 | 50.04 | - | 96.81 | 168.34 | - | 27.25 | 33.96 | 7.16 |
| AP-10 | 39.48 | - | 86.15 | 165.84 | - | 21.63 | 36.54 | 15.91 |
| AP-15 | 28.86 | 78.71 | 77.04 | 164.63 | 3.51 | 12.67 | 35.27 | 24.12 |
| AP-20 | - | 76.23 | 72.34 | 163.06 | 5.08 | 9.27 | 33.97 | 26.39 |
| AA-05 | 52.96 | - | 102.19 | 169.86 | - | 27.29 | 31.76 | 4.77 |
| AA-10 | 46.49 | - | 104.68 | 169.67 | - | 26.06 | 34.07 | 8.55 |
| AA-15 | 45.30 | - | 90.54 | 167.95 | - | 21.59 | 35.21 | 14.54 |
| AA-20 | 47.70 | - | 93.21 | 168.34 | - | 20.68 | 33.93 | 14.14 |
| GE-05 | 55.01 | - | 101.90 | 168.74 | - | 26.85 | 31.53 | 4.99 |
| GE-10 | 52.98 | - | 100.84 | 168.11 | - | 23.82 | 28.64 | 5.14 |
| GE-15 | 52.30 | - | 103.18 | 167.76 | - | 29.17 | 33.73 | 4.87 |
| GE-20 | 51.28 | - | 100.58 | 166.94 | - | 25.55 | 30.73 | 5.53 |
| AAE-05 | 49.43 | - | 95.98 | 167.84 | - | 24.83 | 32.83 | 8.54 |
| AAE-10 | 42.55 | - | 89.09 | 165.83 | - | 21.48 | 32.83 | 12.11 |
| AAE-15 | 32.98 | 81.10 | 81.43 | 163.78 | 3.15 | 15.88 | 33.01 | 18.28 |
| AAE-20 | - | 74.26 | 66.92 | 161.80 | 12.40 | 3.83 | 33.07 | 31.59 |
| Description | Direction | Tensile Strength (MPa) | Elongation at Break (%) | Young’s Modulus (MPa) | Tear Strength (N/mm) |
|---|---|---|---|---|---|
| P35 | MD | 36.08 ± 1.44 | 304 ± 15.2 | 1782 ± 752 | 4.63 ± 0.44 |
| TD | 21.77 ± 0.63 | 235 ± 25.4 | 528 ± 140 | 13.19 ± 0.33 | |
| P35AAE-05 | MD | 29.40 ± 2.42 | 318 ± 18.6 | 1411 ± 577 | 6.87 ± 0.42 |
| TD | 19.29 ± 0.67 | 258 ± 6.9 | 635 ± 268 | 13.34 ± 0.47 | |
| P35AAE-10 | MD | 29.32 ± 1.31 | 325 ± 25.2 | 1332 ± 520 | 8.67 ± 0.31 |
| TD | 17.74 ± 0.84 | 275 ± 9.7 | 829 ± 167 | 16.16 ± 0.54 |
© 2020 by the authors. Licensee MDPI, Basel, Switzerland. This article is an open access article distributed under the terms and conditions of the Creative Commons Attribution (CC BY) license (http://creativecommons.org/licenses/by/4.0/).
Share and Cite
Kim, D.Y.; Lee, J.B.; Lee, D.Y.; Seo, K.H. Plasticization Effect of Poly(Lactic Acid) in the Poly(Butylene Adipate–co–Terephthalate) Blown Film for Tear Resistance Improvement. Polymers 2020, 12, 1904. https://doi.org/10.3390/polym12091904
Kim DY, Lee JB, Lee DY, Seo KH. Plasticization Effect of Poly(Lactic Acid) in the Poly(Butylene Adipate–co–Terephthalate) Blown Film for Tear Resistance Improvement. Polymers. 2020; 12(9):1904. https://doi.org/10.3390/polym12091904
Chicago/Turabian StyleKim, Do Young, Jae Bin Lee, Dong Yun Lee, and Kwan Ho Seo. 2020. "Plasticization Effect of Poly(Lactic Acid) in the Poly(Butylene Adipate–co–Terephthalate) Blown Film for Tear Resistance Improvement" Polymers 12, no. 9: 1904. https://doi.org/10.3390/polym12091904
APA StyleKim, D. Y., Lee, J. B., Lee, D. Y., & Seo, K. H. (2020). Plasticization Effect of Poly(Lactic Acid) in the Poly(Butylene Adipate–co–Terephthalate) Blown Film for Tear Resistance Improvement. Polymers, 12(9), 1904. https://doi.org/10.3390/polym12091904

