Assessing the Influence of the Sourcing Voltage on Polyaniline Composites for Stress Sensing Applications
Abstract
1. Introduction
2. Theoretical Models for the Temperature- and Voltage-Dependent Response of Polyaniline
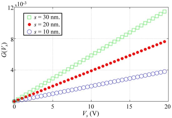
2.1. A review of the Mott’s Model for the Electron Conduction in Granular Metals
2.2. Proposal of a Piezoresistive Model for PANI/UHMWPE Composites Based Upon Changes of the Constriction Resistance
3. Materials and Methods
3.1. Materials
3.2. Composites Preparation
3.3. Characterization of Composites
4. Results and Discussion
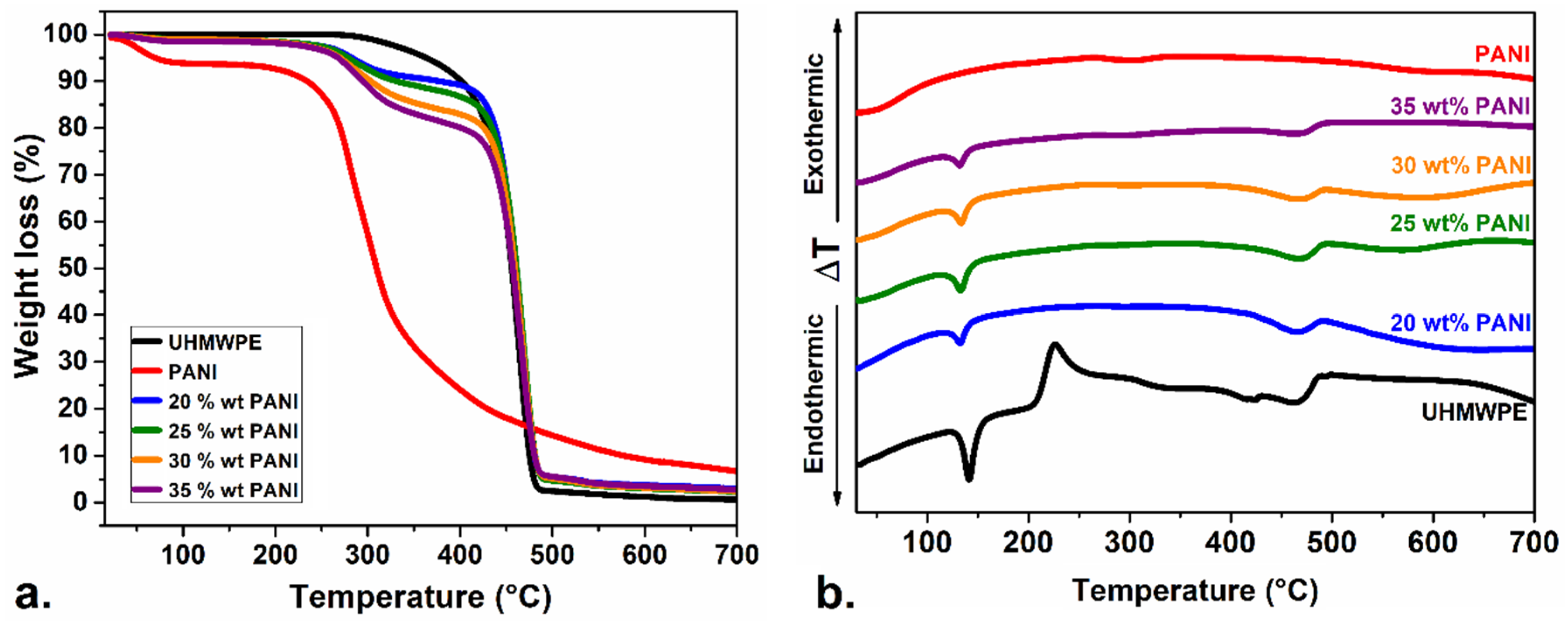
4.1. Structural, Thermal and Morphological Characterization
4.2. Electrical and Piezoresistive Characterization
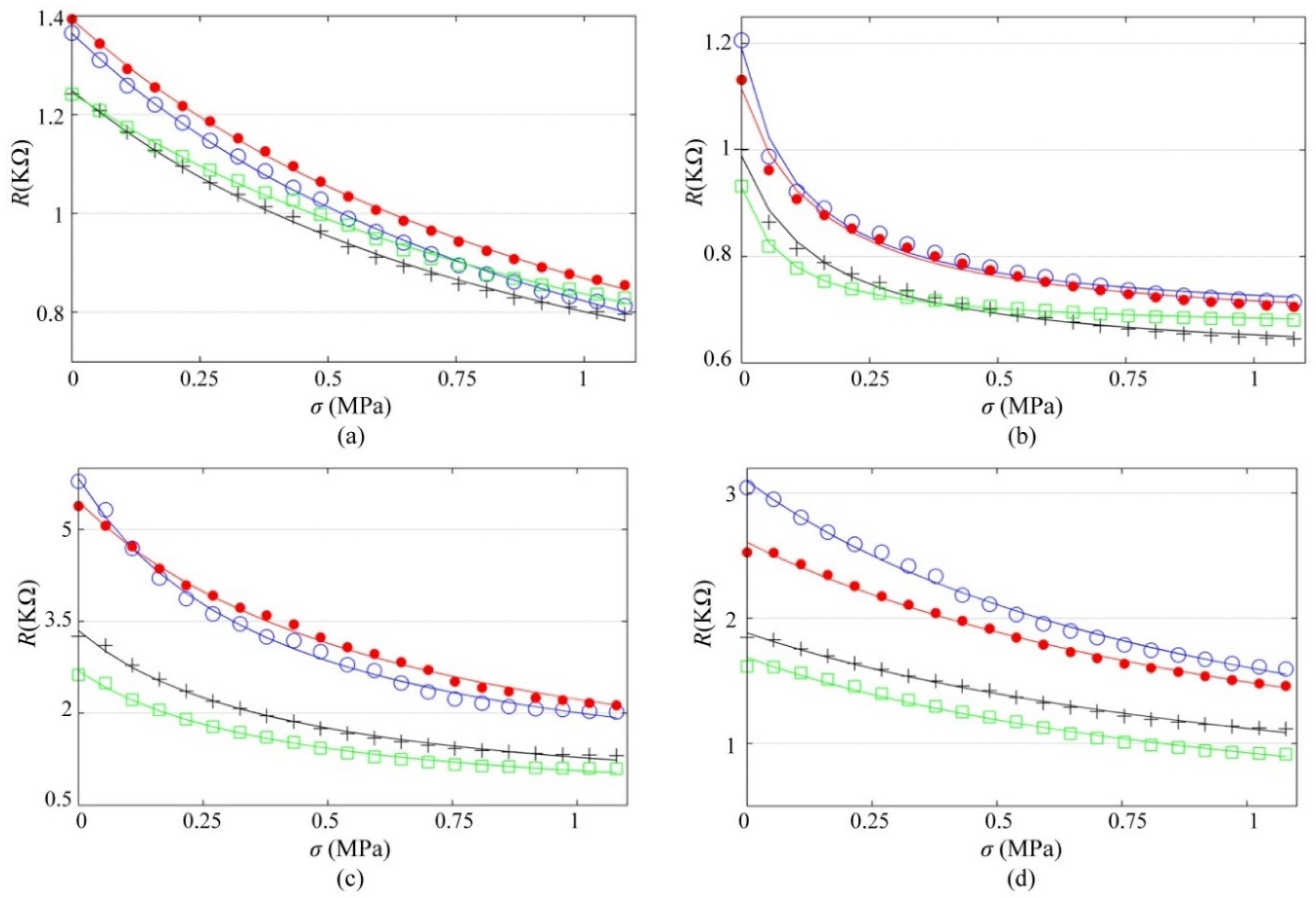
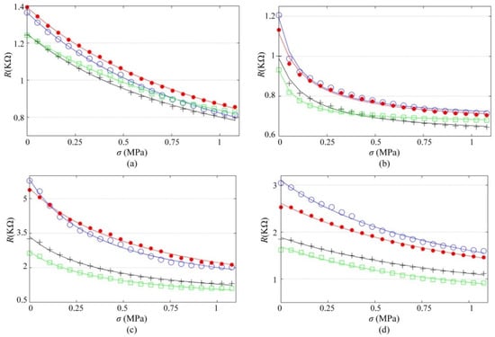
4.3. Assessment of the Piezoresistive Response at Multiple Voltages
4.4. Assessment of Hysteresis Error at Multiple Voltages
4.5. Assessment of Drift Error at Multiple Voltages
4.6. Discussion and Relevance of Results
5. Conclusions
Author Contributions
Funding
Conflicts of Interest
References
- Chiang, J.-C.; MacDiarmid, A.G. ‘Polyaniline’: Protonic acid doping of the emeraldine form to the metallic regime. Synth. Met. 1986, 13, 193–205. [Google Scholar] [CrossRef]
- Macdiarmid, A.G.; Chiang, J.C.; Richter, A.F.; Epstein, A.J. Polyaniline: A new concept in conducting polymers. Synth. Met. 1987, 18, 285–290. [Google Scholar] [CrossRef]
- Bhattacharya, A.; Misra, B.N. Grafting: A versatile means to modify polymers: Techniques, factors and applications. Prog. Polym. Sci. 2004, 29, 767–814. [Google Scholar] [CrossRef]
- Güven, O. Radiation-induced conductivity control in polyaniline blends/composites. Radiat. Phys. Chem. 2007, 76, 1302–1307. [Google Scholar] [CrossRef]
- Thanpitcha, T.; Sirivat, A.; Jamieson, A.M.; Rujiravanit, R. Preparation and characterization of polyaniline/chitosan blend film. Carbohydr. Polym. 2006, 64, 560–568. [Google Scholar] [CrossRef]
- Pud, A.; Ogurtsov, N.; Korzhenko, A.; Shapoval, G. Some aspects of preparation methods and properties of polyaniline blends and composites with organic polymers. Prog. Polym. Sci. 2003, 28, 1701–1753. [Google Scholar] [CrossRef]
- Visakh, P.M. Chapter 1-Polyaniline-Based Blends, Composites, and Nanocomposites: State of the Art, New Challenges, and Opportunities. In Polyaniline Blends, Composites, and Nanocomposites; Visakh, P.M., Della Pina, C., Falletta, E., Eds.; Elsevier: Amsterdam, The Netherlands, 2018; pp. 1–22. ISBN 978-0-12-809551-5. [Google Scholar]
- Ayad, M.M.; Zaki, E.A. Doping of polyaniline films with organic sulfonic acids in aqueous media and the effect of water on these doped films. Eur. Polym. J. 2008, 44, 3741–3747. [Google Scholar] [CrossRef]
- Huang, J.; Wan, M. Polyaniline doped with different sulfonic acids by in situ doping polymerization. J. Polym. Sci. Part A Polym. Chem. 1999, 37, 1277–1284. [Google Scholar] [CrossRef]
- Lyu, J.; Zhao, X.; Hou, X.; Zhang, Y.; Li, T.; Yan, Y. Electromagnetic interference shielding based on a high strength polyaniline-aramid nanocomposite. Compos. Sci. Technol. 2017, 149, 159–165. [Google Scholar] [CrossRef]
- Guerchouche, K.; Herth, E.; Calvet, L.E.; Roland, N.; Loyez, C. Conductive polymer based antenna for wireless green sensors applications. Microelectron. Eng. 2017, 182, 46–52. [Google Scholar] [CrossRef]
- Guo, X.; Huang, Y.; Wu, C.; Mao, L.; Wang, Y.; Xie, Z.; Liu, C.; Zhang, Y. Flexible and reversibly deformable radio-frequency antenna based on stretchable SWCNTs/PANI/Lycra conductive fabric. Smart Mater. Struct. 2017, 26, 105036. [Google Scholar] [CrossRef]
- Ji, J.; Li, R.; Li, H.; Shu, Y.; Li, Y.; Qiu, S.; He, C.; Yang, Y. Phytic acid assisted fabrication of graphene/polyaniline composite hydrogels for high-capacitance supercapacitors. Compos. Part B Eng. 2018, 155, 132–137. [Google Scholar] [CrossRef]
- Pandey, S.; Ramontja, J. Rapid, facile microwave-assisted synthesis of xanthan gum grafted polyaniline for chemical sensor. Int. J. Biol. Macromol. 2016, 89, 89–98. [Google Scholar] [CrossRef] [PubMed]
- Pandey, S. Highly sensitive and selective chemiresistor gas/vapor sensors based on polyaniline nanocomposite: A comprehensive review. J. Sci. Adv. Mater. Devices 2016, 1, 431–453. [Google Scholar] [CrossRef]
- Talwar, V.; Singh, O.; Singh, R.C. ZnO assisted polyaniline nanofibers and its application as ammonia gas sensor. Sens. Actuators B Chem. 2014, 191, 276–282. [Google Scholar] [CrossRef]
- Dixit, V.; Misra, S.C.K.; Sharma, B.S. Carbon monoxide sensitivity of vacuum deposited polyaniline semiconducting thin films. Sens. Actuators B Chem. 2005, 104, 90–93. [Google Scholar] [CrossRef]
- Shirsat, M.D.; Bangar, M.A.; Deshusses, M.A.; Myung, N.V.; Mulchandani, A. Polyaniline nanowires-gold nanoparticles hybrid network based chemiresistive hydrogen sulfide sensor. Appl. Phys. Lett. 2009, 94, 83502. [Google Scholar] [CrossRef]
- Valentová, H.; Prokeš, J.; Nedbal, J.; Stejskal, J. Effect of compression pressure on mechanical and electrical properties of polyaniline pellets. Chem. Pap. 2013, 67, 1109–1112. [Google Scholar] [CrossRef]
- Costa, P.; Oliveira, J.; Horta-Romarís, L.; Abad, M.J.; Moreira, J.A.; Zapiráin, I.; Aguado, M.; Galván, S.; Lanceros-Mendez, S. Piezoresistive polymer blends for electromechanical sensor applications. Compos. Sci. Technol. 2018, 168, 353–362. [Google Scholar] [CrossRef]
- Teixeira, J.; Horta-Romarís, L.; Abad, M.-J.; Costa, P.; Lanceros-Méndez, S. Piezoresistive response of extruded polyaniline/(styrene-butadiene-styrene) polymer blends for force and deformation sensors. Mater. Des. 2018, 141, 1–8. [Google Scholar] [CrossRef]
- Leyva Egurrola, S.; del Castillo Castro, T.; Castillo Ortega, M.M.; Encinas, J.C.; Herrera Franco, P.J.; Bonilla Cruz, J.; Lara Ceniceros, T.E. Electrical, mechanical, and piezoresistive properties of carbon nanotube–polyaniline hybrid filled polydimethylsiloxane composites. J. Appl. Polym. Sci. 2017, 134, 44780. [Google Scholar] [CrossRef]
- Wang, X.; Jiang, M.; Zhou, Z.; Gou, J.; Hui, D. 3D printing of polymer matrix composites: A review and prospective. Compos. Part B Eng. 2017, 110, 442–458. [Google Scholar] [CrossRef]
- Della Pina, C.; Zappa, E.; Busca, G.; Sironi, A.; Falletta, E. Electromechanical properties of polyanilines prepared by two different approaches and their applicability in force measurements. Sens. Actuators B Chem. 2014, 201, 395–401. [Google Scholar] [CrossRef]
- Muthukumar, N.; Thilagavathi, G.; Kannaian, T. Analysis of piezoresistive behavior of polyaniline-coated nylon Lycra fabrics for elbow angle measurement. J. Text. Inst. 2017, 108, 233–238. [Google Scholar] [CrossRef]
- Sezen-Edmonds, M.; Khlyabich, P.P.; Loo, Y.-L. Tuning the Magnitude and the Polarity of the Piezoresistive Response of Polyaniline through Structural Control. ACS Appl. Mater. Interfaces 2017, 9, 12766–12772. [Google Scholar] [CrossRef]
- Abshirini, M.; Charara, M.; Liu, Y.; Saha, M.; Altan, M.C. 3D Printing of Highly Stretchable Strain Sensors Based on Carbon Nanotube Nanocomposites. Adv. Eng. Mater. 2018, 20, 1800425. [Google Scholar] [CrossRef]
- Zheng, Y.; Li, Y.; Dai, K.; Liu, M.; Zhou, K.; Zheng, G.; Liu, C.; Shen, C. Conductive thermoplastic polyurethane composites with tunable piezoresistivity by modulating the filler dimensionality for flexible strain sensors. Compos. Part A Appl. Sci. Manuf. 2017, 101, 41–49. [Google Scholar] [CrossRef]
- Bloor, D.; Donnelly, K.; Hands, P.J.; Laughlin, P.; Lussey, D. A metal–polymer composite with unusual properties. J. Phys. D. Appl. Phys. 2005, 38, 2851–2860. [Google Scholar] [CrossRef]
- Duan, L.; Fu, S.; Deng, H.; Zhang, Q.; Wang, K.; Chen, F.; Fu, Q. The resistivity–strain behavior of conductive polymer composites: Stability and sensitivity. J. Mater. Chem. A 2014, 2, 17085–17098. [Google Scholar] [CrossRef]
- Ding, S.; Han, B.; Dong, X.; Yu, X.; Ni, Y.; Zheng, Q.; Ou, J. Pressure-sensitive behaviors, mechanisms and model of field assisted quantum tunneling composites. Polymer 2017, 113, 105–118. [Google Scholar] [CrossRef]
- Wang, Z.; Chen, J.; Cong, Y.; Zhang, H.; Xu, T.; Nie, L.; Fu, J. Ultrastretchable Strain Sensors and Arrays with High Sensitivity and Linearity Based on Super Tough Conductive Hydrogels. Chem. Mater. 2018, 30, 8062–8069. [Google Scholar] [CrossRef]
- Pereira, J.N.; Vieira, P.; Ferreira, A.; Paleo, A.J.; Rocha, J.G.; Lanceros-Méndez, S. Piezoresistive effect in spin-coated polyaniline thin films. J. Polym. Res. 2012, 19, 9815. [Google Scholar] [CrossRef]
- Gong, X.X.; Fei, G.T.; Fu, W.B.; Fang, M.; Gao, X.D.; Zhong, B.N.; Zhang, L. De Flexible strain sensor with high performance based on PANI/PDMS films. Org. Electron. 2017, 47, 51–56. [Google Scholar] [CrossRef]
- Falletta, E.; Costa, P.; Della Pina, C.; Lanceros-Mendez, S. Development of high sensitive polyaniline based piezoresistive films by conventional and green chemistry approaches. Sens. Actuators A Phys. 2014, 220, 13–21. [Google Scholar] [CrossRef]
- Du, J.; Wang, S.; You, H.; Zhao, X. Understanding the toxicity of carbon nanotubes in the environment is crucial to the control of nanomaterials in producing and processing and the assessment of health risk for human: A review. Environ. Toxicol. Pharmacol. 2013, 36, 451–462. [Google Scholar] [CrossRef]
- Ou, L.; Song, B.; Liang, H.; Liu, J.; Feng, X.; Deng, B.; Sun, T.; Shao, L. Toxicity of graphene-family nanoparticles: A general review of the origins and mechanisms. Part. Fibre Toxicol. 2016, 13, 57. [Google Scholar] [CrossRef]
- Wang, C.; Zhang, M.; Xia, K.; Gong, X.; Wang, H.; Yin, Z.; Guan, B.; Zhang, Y. Intrinsically Stretchable and Conductive Textile by a Scalable Process for Elastic Wearable Electronics. ACS Appl. Mater. Interfaces 2017, 9, 13331–13338. [Google Scholar] [CrossRef]
- Zhu, F.; Lin, J.; Wu, Z.L.; Qu, S.; Yin, J.; Qian, J.; Zheng, Q. Tough and Conductive Hybrid Hydrogels Enabling Facile Patterning. ACS Appl. Mater. Interfaces 2018, 10, 13685–13692. [Google Scholar] [CrossRef] [PubMed]
- Huang, Y.; Zhao, Y.; Wang, Y.; Guo, X.; Zhang, Y.; Liu, P.; Liu, C.; Zhang, Y. Highly stretchable strain sensor based on polyurethane substrate using hydrogen bond-assisted laminated structure for monitoring of tiny human motions. Smart Mater. Struct. 2018, 27, 35013. [Google Scholar] [CrossRef]
- Zhao, Y.; Huang, Y.; Hu, W.; Guo, X.; Wang, Y.; Liu, P.; Liu, C.; Zhang, Y. Highly sensitive flexible strain sensor based on threadlike spandex substrate coating with conductive nanocomposites for wearable electronic skin. Smart Mater. Struct. 2019, 28, 35004. [Google Scholar] [CrossRef]
- Do, Q.; Obyrne, S.; Liu, M.; Zhang, L. Piezoresistive Behavior of MWCNT-UHMWPE Composite for Compressive Stress Sensing Applications. IEEE Trans. Nanotechnol. 2017, 16, 265–273. [Google Scholar] [CrossRef]
- Reddy, S.K.; Kumar, S.; Varadarajan, K.M.; Marpu, P.R.; Gupta, T.K.; Choosri, M. Strain and damage-sensing performance of biocompatible smart CNT/UHMWPE nanocomposites. Mater. Sci. Eng. C 2018, 92, 957–968. [Google Scholar] [CrossRef] [PubMed]
- Macuvele, D.L.P.; Colla, G.; Cesca, K.; Ribeiro, L.F.B.; da Costa, C.E.; Nones, J.; Breitenbach, E.R.; Porto, L.M.; Soares, C.; Fiori, M.A.; et al. UHMWPE/HA biocomposite compatibilized by organophilic montmorillonite: An evaluation of the mechanical-tribological properties and its hemocompatibility and performance in simulated blood fluid. Mater. Sci. Eng. C 2019, 100, 411–423. [Google Scholar] [CrossRef] [PubMed]
- Macuvele, D.L.P.; Nones, J.; Matsinhe, J.V.; Lima, M.M.; Soares, C.; Fiori, M.A.; Riella, H.G. Advances in ultra high molecular weight polyethylene/hydroxyapatite composites for biomedical applications: A brief review. Mater. Sci. Eng. C 2017, 76, 1248–1262. [Google Scholar] [CrossRef] [PubMed]
- Unger, T.; Klocke, L.; Herrington, K.; Miethlinger, J. Investigation of the rheological and mechanical behavior of Polypropylene/ultra-high molecular weight polyethylene compounds related to new online process control. Polym. Test. 2020, 86, 106442. [Google Scholar] [CrossRef]
- Hong, J.; Pan, Z.; Wang, Z.; Yao, M.; Chen, J.; Zhang, Y. A large-strain weft-knitted sensor fabricated by conductive UHMWPE/PANI composite yarns. Sens. Actuators A Phys. 2016, 238, 307–316. [Google Scholar] [CrossRef]
- Hong, J.; Pan, Z.; Yao, M.; Zhang, X. Preparation and properties of continuously produced conductive UHMWPE/PANI composite yarns based on in-situ polymerization. Synth. Met. 2014, 193, 117–124. [Google Scholar] [CrossRef]
- Mikrajuddin, A.; Shi, F.G.; Kim, H.K.; Okuyama, K. Size-dependent electrical constriction resistance for contacts of arbitrary size: From Sharvin to Holm limits. Mater. Sci. Semicond. Process. 1999, 2, 321–327. [Google Scholar] [CrossRef]
- Shi, F.G.; Abdullah, M.; Chungpaiboonpatana, S.; Okuyama, K.; Davidson, C.; Adams, J.M. Electrical conduction of anisotropic conductive adhesives: Effect of size distribution of conducting filler particles. Mater. Sci. Semicond. Process. 1999, 2, 263–269. [Google Scholar] [CrossRef]
- Sheng, P.; Abeles, B.; Arie, Y. Hopping Conductivity in Granular Metals. Phys. Rev. Lett. 1973, 31, 44–47. [Google Scholar] [CrossRef]
- Mott, N.F.; Davis, E.A. Electronic Processes in the Non Crystalline Materials; Oxford University Press Inc.: New York, NY, USA, 2012; ISBN 9780199645336. [Google Scholar]
- Lin, Y.-F.; Chen, C.-H.; Xie, W.-J.; Yang, S.-H.; Hsu, C.-S.; Lin, M.-T.; Jian, W.-B. Nano Approach Investigation of the Conduction Mechanism in Polyaniline Nanofibers. ACS Nano 2011, 5, 1541–1548. [Google Scholar] [CrossRef] [PubMed]
- Dongmin Kang, S.; Jeffrey Snyder, G. Charge-transport model for conducting polymers. Nat. Mater. 2017, 16, 252–257. [Google Scholar] [CrossRef] [PubMed]
- Bao, Z.X.; Liu, C.X.; Kahol, P.K.; Pinto, N.J. Pressure dependence of the resistance in polyaniline and its derivatives at room temperature. Synth. Met. 1999, 106, 107–110. [Google Scholar] [CrossRef]
- Horta-Romarís, L.; Abad, M.-J.; González-Rodríguez, M.V.; Lasagabáster, A.; Costa, P.; Lanceros-Méndez, S. Cyclic temperature dependence of electrical conductivity in polyanilines as a function of the dopant and synthesis method. Mater. Des. 2017, 114, 288–296. [Google Scholar] [CrossRef]
- Joo, J.; Long, S.M.; Pouget, J.P.; Oh, E.J.; MacDiarmid, A.G.; Epstein, A.J. Charge transport of the mesoscopic metallic state in partially crystalline polyanilines. Phys. Rev. B 1998, 57, 9567–9580. [Google Scholar] [CrossRef]
- Zuppiroli, L.; Bussac, M.N.; Paschen, S.; Chauvet, O.; Forro, L. Hopping in disordered conducting polymers. Phys. Rev. B 1994, 50, 5196–5203. [Google Scholar] [CrossRef]
- Alam, F.; Choosri, M.; Gupta, T.K.; Varadarajan, K.M.; Choi, D.; Kumar, S. Electrical, mechanical and thermal properties of graphene nanoplatelets reinforced UHMWPE nanocomposites. Mater. Sci. Eng. B Solid-State Mater. Adv. Technol. 2019, 241, 82–91. [Google Scholar] [CrossRef]
- Andreatta, A.; Smith, P. Processing of conductive polyaniline-UHMW polyethylene blends from solutions in non-polar solvents. Synth. Met. 1993, 55, 1017–1022. [Google Scholar] [CrossRef]
- Yin, J.; Xia, X.; Xiang, L.; Zhao, X. Coaxial cable-like polyaniline@titania nanofibers: Facile synthesis and low power electrorheological fluid application. J. Mater. Chem. 2010, 20, 7096–7099. [Google Scholar] [CrossRef]
- Mierczynska, A.; Mayne-L’Hermite, M.; Boiteux, G.; Jeszka, J.K. Electrical and mechanical properties of carbon nanotube/ultrahigh-molecular-weight polyethylene composites prepared by a filler prelocalization method. J. Appl. Polym. Sci. 2007, 105, 158–168. [Google Scholar] [CrossRef]
- Paredes-Madrid, L.; Matute, A.; Bareño, O.J.; Parra Vargas, A.C.; Gutierrez Velásquez, I.E. Underlying Physics of Conductive Polymer Composites and Force Sensing Resistors (FSRs). A Study on Creep Response and Dynamic Loading. Materials 2017, 10, 1334. [Google Scholar] [CrossRef] [PubMed]
- Sedra, A.S.; Smith, K.C. Microelectronic Circuits Revised Edition, 5th ed.; Oxford University Press, Inc.: New York, NY, USA, 2007; ISBN 0195338839. [Google Scholar]
- Patel, A.K.; Balani, K. Dispersion fraction enhances cellular growth of carbon nanotube and aluminum oxide reinforced ultrahigh molecular weight polyethylene biocomposites. Mater. Sci. Eng. C 2015, 46, 504–513. [Google Scholar] [CrossRef] [PubMed]
- Silva, A.L.C.; Ugucioni, J.C.; Correa, S.; Ardisson, J.D.; Macedo, W.A.A.; Silva, J.P.; Cotta, A.A.C.; Brito, A.D.B. Synthesis and characterization of nanocomposites consisting of polyaniline, chitosan and tin dioxide. Mater. Chem. Phys. 2018, 216, 402–412. [Google Scholar] [CrossRef]
- Belaabed, B.; Lamouri, S.; Naar, N.; Bourson, P.; Ould Saad Hamady, S. Polyaniline-doped benzene sulfonic acid/epoxy resin composites: Structural, morphological, thermal and dielectric behaviors. Polym. J. 2010, 42, 546–554. [Google Scholar] [CrossRef]
- Abdiryim, T.; Jamal, R.; Nurulla, I. Doping effect of organic sulphonic acids on the solid-state synthesized polyaniline. J. Appl. Polym. Sci. 2007, 105, 576–584. [Google Scholar] [CrossRef]
- Linzhi, L.I.; Shujuan, G.A.O. Polyaniline (PANI) and BaTiO3 composite nanotube with high suspension performance in electrorheological fluid. Mater. Today Commun. 2020, 24, 100993. [Google Scholar] [CrossRef]
- Zhang, W.; Hu, Z.; Zhang, Y.; Lu, C.; Deng, Y. Gel-spun fibers from magnesium hydroxide nanoparticles and UHMWPE nanocomposite: The physical and flammability properties. Compos. Part B Eng. 2013, 51, 276–281. [Google Scholar] [CrossRef]
- Lisunova, M.O.; Mamunya, Y.P.; Lebovka, N.I.; Melezhyk, A. V Percolation behaviour of ultrahigh molecular weight polyethylene/multi-walled carbon nanotubes composites. Eur. Polym. J. 2007, 43, 949–958. [Google Scholar] [CrossRef]
- Deplancke, T.; Lame, O.; Barrau, S.; Ravi, K.; Dalmas, F. Impact of carbon nanotube prelocalization on the ultra-low electrical percolation threshold and on the mechanical behavior of sintered UHMWPE-based nanocomposites. Polymer 2017, 111, 204–213. [Google Scholar] [CrossRef]
- Deplancke, T.; Lame, O.; Rousset, F.; Seguela, R.; Vigier, G. Mechanisms of Chain Reentanglement during the Sintering of UHMWPE Nascent Powder: Effect of Molecular Weight. Macromolecules 2015, 48, 5328–5338. [Google Scholar] [CrossRef]
- Do, Q.; O’Byrne, S.; Perriman, D.; Smith, P. Piezoresistive nanocomposite as an embedded stress sensor in instrumented knee prosthesis. In Proceedings of the 2015 37th Annual International Conference of the IEEE Engineering in Medicine and Biology Society (EMBC), Milan, Italy, 25–29 August 2015; pp. 2677–2680. [Google Scholar]
- Buldum, A.; Lu, J.P. Contact resistance between carbon nanotubes. Phys. Rev. B 2001, 63, 161403. [Google Scholar] [CrossRef]
- Zhang, X.-W.; Pan, Y.; Zheng, Q.; Yi, X.-S. Time dependence of piezoresistance for the conductor-filled polymer composites. J. Polym. Sci. Part B Polym. Phys. 2000, 38, 2739–2749. [Google Scholar] [CrossRef]
- Esposito, D.; Andreozzi, E.; Fratini, A.; Gargiulo, D.G.; Savino, S.; Niola, V.; Bifulco, P. A Piezoresistive Sensor to Measure Muscle Contraction and Mechanomyography. Sensors 2018, 18, 2553. [Google Scholar] [CrossRef] [PubMed]
- Mainardi, F.; Spada, G. Creep, relaxation and viscosity properties for basic fractional models in rheology. Eur. Phys. J. Spec. Top. 2011, 193, 133–160. [Google Scholar] [CrossRef]
- Lillemose, M.; Spieser, M.; Christiansen, N.O.; Christensen, A.; Boisen, A. Intrinsically conductive polymer thin film piezoresistors. Microelectron. Eng. 2008, 85, 969–971. [Google Scholar] [CrossRef]
- Paredes-Madrid, L. Current-Voltage data of polyethylene-polyaniline composites at different weight fractions (% wt.). Mendeley Data 2019, 2. [Google Scholar] [CrossRef]
- Paredes-Madrid, L. Piezoresistive response of polyethylene-polyaniline pellets prepared with different weight fractions (% wt.). Data taken at multiple sourcing voltages (Vs). Mendeley Data 2019, 1. [Google Scholar] [CrossRef]
- Paredes-Madrid, L. Drift data of polyethylene-polyaniline composites at different weight fractions (% wt.) and voltages. Mendeley Data 2019, 1. [Google Scholar] [CrossRef]












| PANI/UHMWPE (wt %) | Conductance (G) at Vs = 1 V and Null Stress |
|---|---|
| 20/80 | 762 μS |
| 25/75 | 986 μS |
| 30/70 | 53 μS |
| 35/65 | 320 μS |
| PANI/UHMWPE (wt %) | Vs (V) | R0 (Ω) | R1 (GΩ·Pa) | σ0 (MPa) |
|---|---|---|---|---|
| 20 | 1.25 | 186 | 1.38 | 1.17 |
| 2.5 | 227 | 1.43 | 1.22 | |
| 5 | 316 | 1 | 1.08 | |
| 7.5 | 259 | 1.4 | 1.42 | |
| 25 | 1.25 | 674 | 0.057 | 0.11 |
| 2.5 | 655 | 0.069 | 0.15 | |
| 5 | 601 | 0.058 | 0.15 | |
| 7.5 | 663 | 0.022 | 0.08 | |
| 30 | 1.25 | 470 | 2.15 | 0.4 |
| 2.5 | 401 | 2.93 | 0.57 | |
| 5 | 422 | 1.22 | 0.41 | |
| 7.5 | 413 | 0.91 | 0.4 | |
| 35 | 1.25 | 60 | 3.16 | 1.04 |
| 2.5 | 52 | 3.28 | 1.28 | |
| 5 | 58 | 2.53 | 1.38 | |
| 7.5 | 63 | 1.83 | 1.13 |
© 2020 by the authors. Licensee MDPI, Basel, Switzerland. This article is an open access article distributed under the terms and conditions of the Creative Commons Attribution (CC BY) license (http://creativecommons.org/licenses/by/4.0/).
Share and Cite
Cruz-Pacheco, A.F.; Paredes-Madrid, L.; Orozco, J.; Gómez-Cuaspud, J.A.; Batista-Rodríguez, C.R.; Palacio Gómez, C.A. Assessing the Influence of the Sourcing Voltage on Polyaniline Composites for Stress Sensing Applications. Polymers 2020, 12, 1164. https://doi.org/10.3390/polym12051164
Cruz-Pacheco AF, Paredes-Madrid L, Orozco J, Gómez-Cuaspud JA, Batista-Rodríguez CR, Palacio Gómez CA. Assessing the Influence of the Sourcing Voltage on Polyaniline Composites for Stress Sensing Applications. Polymers. 2020; 12(5):1164. https://doi.org/10.3390/polym12051164
Chicago/Turabian StyleCruz-Pacheco, Andrés Felipe, Leonel Paredes-Madrid, Jahir Orozco, Jairo Alberto Gómez-Cuaspud, Carlos R. Batista-Rodríguez, and Carlos Andrés Palacio Gómez. 2020. "Assessing the Influence of the Sourcing Voltage on Polyaniline Composites for Stress Sensing Applications" Polymers 12, no. 5: 1164. https://doi.org/10.3390/polym12051164
APA StyleCruz-Pacheco, A. F., Paredes-Madrid, L., Orozco, J., Gómez-Cuaspud, J. A., Batista-Rodríguez, C. R., & Palacio Gómez, C. A. (2020). Assessing the Influence of the Sourcing Voltage on Polyaniline Composites for Stress Sensing Applications. Polymers, 12(5), 1164. https://doi.org/10.3390/polym12051164

