Surface Modification of Staple Carbon Fiber by Dopamine to Reinforce Natural Latex Composite
Abstract
1. Introduction
2. Materials and Methods
2.1. Experimental Method
2.2. Materials
2.3. Adhesion Mechanism of CF and NRL
2.4. Preparation of Composite Materials
2.4.1. Pretreatment of the Material
2.4.2. Mixing Processing
2.4.3. Curing Process
2.5. Characterization
3. Results and Discussion
3.1. Dopamine Surface-Modified CF on the Microstructure of the Composite
3.2. Dopamine Surface-Modified CF on the Processability of Composites
3.3. Dopamine Surface-Modified CF on the Comprehensive Properties of Composite
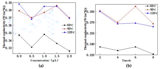
3.4. Dopamine Surface-Modified CF on Thermal Conductivity of Composites
3.5. Dopamine Surface-Modified CF on Payne Effect of Composites
3.6. Dopamine Surface Modification CF on Dynamic Viscoelasticity of Composites
4. Conclusions
Author Contributions
Funding
Conflicts of Interest
References
- Li, J.-W.; Hsu, H.-H.; Chang, C.-J.; Chiu, Y.-J.; Tseng, H.-F.; Chang, K.-C.; Krishna Karapala, V.; Lu, T.-C.; Chen, J.-T. Preparation and Thermal Dissipation of Hollow Carbon Fibers from Electrospun Polystyrene/Poly(amic acid) Carboxylate Salt Core-Shell Fibers. Eur. Polym. J. 2020, 130, 109648. [Google Scholar] [CrossRef]
- Liu, D.; Ouyang, Q.; Jiang, X.; Ma, H.; Chen, Y.; He, L. Thermal properties and thermal stabilization of lignosulfonate-acrylonitrile-itaconic acid terpolymer for preparation of carbon fiber. Polym. Degrad. Stabil. 2018, 150, 57–66. [Google Scholar] [CrossRef]
- Hao, Z.; Shen, J.Q.; Sheng, X.; Shen, Z.; Yang, L.; Lu, X.F.; Luo, Z.; Zheng, Q. Enhancing Performances of Polyamide 66 Short Fiber/Natural Rubber Composites via In Situ Vulcanization Reaction. Fibers Polym. 2020, 21, 392–398. [Google Scholar] [CrossRef]
- Yantaboot, K.; Amornsakchai, T. Effect of preparation methods and carbon black distribution on mechanical properties of short pineapple leaf fiber-carbon black reinforced natural rubber hybrid composites. Polym. Test. 2017, 61, 223–228. [Google Scholar] [CrossRef]
- Wu, C.M.; Cheng, Y.C.; Lai, W.Y.; Chen, P.H.; Way, T.D. Friction and Wear Performance of Staple Carbon Fabric-Reinforced Composites: Effects of Surface Topography. Polymers 2020, 12, 141. [Google Scholar] [CrossRef]
- Zheng, B.; Deng, T.; Li, M.; Huang, Z.; Zhou, H.; Li, D. Flexural Behavior and Fracture Mechanisms of Short Carbon Fiber Reinforced Polyether-Ether-Ketone Composites at Various Ambient Temperatures. Polymers 2018, 11, 18. [Google Scholar] [CrossRef]
- Chen, S.; Feng, J. Epoxy laminated composites reinforced with polyethyleneimine functionalized carbon fiber fabric: Mechanical and thermal properties. Compos. Sci. Technol. 2014, 101, 145–151. [Google Scholar] [CrossRef]
- Dreyer, D.R.; Miller, D.J.; Freeman, B.D.; Paul, D.R.; Bielawski, C.W. Elucidating the Structure of Poly(dopamine). Langmuir 2012, 28, 6428–6435. [Google Scholar] [CrossRef] [PubMed]
- Wu, W.L.; Li, J.K. Study on Carbon Fiber Reinforced Chloroprene Rubber Composites. Adv. Mater. Res. 2014, 1052, 254–257. [Google Scholar] [CrossRef]
- Yi, M.; Sun, H.; Zhang, H.; Deng, X.; Cai, Q.; Yang, X. Flexible fiber-reinforced composites with improved interfacial adhesion by mussel-inspired polydopamine and poly(methyl methacrylate) coating. Mater. Sci. Eng. C 2016, 58, 742–749. [Google Scholar] [CrossRef]
- Huang, J.; Xu, C.; Wu, D.; Lv, Q. Transcrystallization of polypropylene in the presence of polyester/cellulose nanocrystal composite fibers. Carbohydr. Polym. 2017, 167, 105–114. [Google Scholar] [CrossRef] [PubMed]
- Jiang, J.; Yao, X.; Xu, C.; Su, Y.; Zhou, L.; Deng, C. Influence of electrochemical oxidation of carbon fiber on the mechanical properties of carbon fiber/graphene oxide/epoxy composites. Compos. Part A Appl. Sci. Manuf. 2017, 95, 248–256. [Google Scholar] [CrossRef]
- Luo, G.; Li, W.; Liang, W.; Liu, G.; Ma, Y.; Niu, Y.; Li, G. Coupling effects of glass fiber treatment and matrix modification on the interfacial microstructures and the enhanced mechanical properties of glass fiber/polypropylene composites. Compos. Part B Eng. 2017, 111, 190–199. [Google Scholar] [CrossRef]
- Xu, Z.; Huang, Y.; Zhang, C.; Liu, L.; Zhang, Y.; Wang, L. Effect of γ-ray irradiation grafting on the carbon fibers and interfacial adhesion of epoxy composites. Compos. Sci. Technol. 2007, 67, 3261–3270. [Google Scholar] [CrossRef]
- Li, M.; Gu, Y.; Liu, Y.; Li, Y.; Zhang, Z. Interfacial improvement of carbon fiber/epoxy composites using a simple process for depositing commercially functionalized carbon nanotubes on the fibers. Carbon 2013, 52, 109–121. [Google Scholar] [CrossRef]
- Newcomb, B.A. Processing, structure, and properties of carbon fibers. Compos. Part A Appl. Sci. Manuf. 2016, 91, 262–282. [Google Scholar] [CrossRef]
- Kim, H.W.; McCloskey, B.D.; Choi, T.H.; Lee, C.; Kim, M.-J.; Freeman, B.D.; Park, H.B. Oxygen Concentration Control of Dopamine-Induced High Uniformity Surface Coating Chemistry. ACS Appl. Mater. Int. 2013, 5, 233–238. [Google Scholar] [CrossRef]
- Wei, Q.; Zhang, F.; Li, J.; Li, B.; Zhao, C. Oxidant-induced dopamine polymerization for multifunctional coatings. Polym. Chem. 2010, 1. [Google Scholar] [CrossRef]
- Du, X.; Li, L.; Lia, J.; Yang, C.; Frenkel, N.; Welle, A.; Heissler, S.; Nefedov, A.; Grunze, M.; Levkin, P.A. UV-Triggered Dopamine Polymerization: Control of Polymerization, Surface Coating, and Photopatterning. Adv. Mater. 2014, 26, 8029–8033. [Google Scholar] [CrossRef]
- Li, Z.; Wan, J.; Li, Y.; Li, Y.; Zhao, F.; Zhao, S. Effects of coupling agents on the properties of an NR/SBR matrix and its adhesion to continuous basalt fiber cords. J. Appl. Polym. Sci. 2018, 136. [Google Scholar] [CrossRef]
- Payne, A. Effect of Dispersion on Dynamic Properties of Filler-Loaded Rubbers. J. Appl. Polym. Sci. 1965, 9, 2273–2284. [Google Scholar] [CrossRef]










| Sample Number | Rubber | Dopamine 1 Modified CF Process | |
|---|---|---|---|
| Dopamine Concentration (g/L) | Processing Time (h) | ||
| A | NR | 0 | 0 |
| B | NRL | 0 | 0 |
| C | NRL | 0.5 | 2 |
| D | NRL | 1 | 2 |
| E | NRL | 1.5 | 2 |
| F | NRL | 2 | 2 |
| G | NRL | 1.5 | 4 |
| H | NRL | 1.5 | 6 |
| I | NRL | 1.5 | 8 |
| Component | Formulation (phr) | Suppliers |
|---|---|---|
| NR/NRL | 100 | Von Bundit Co. Ltd., Phuket, Thailand |
| CF 1 | Variable | Toray Co., Ltd., Tokyo, Japan, Tyle: T700s, Diameter: 7 μm, Length: 3 mm |
| Zin Oxide | 5 | Hebei Shijiazhuang Zinc Oxide Factory, Shijiazhuang, China |
| Adhesive RA65 | 1.5 | Wuxi Huasheng Rubber New Material Technology Co., Ltd., Wuxi, China |
| Carbon black N326 | 40 | Jiangxi Black Cat Carbon Black Co., Ltd., Jiangxi, China |
| Stearic acid | 2 | Fengyi Grease Technology (Tianjin, China) Co., Ltd., China |
| Anti-aging agent 4020 | 2 | Shandong shangshun Chemical Co., Ltd., Weifang, China |
| Resin SL3020 | 1 | Sino Legend (China) Chemical Company Ltd., Suzhou, China |
| Accelerator CZ | 1.5 | Shandong shangshun Chemical Co., Ltd., Weifang, China |
| Sulfur | 1.5 | ChaoyangTianming Industry and Trade Co., Ltd., Beijing, China |
| Test Item | A | B | C | D | E | F | G | H | I |
|---|---|---|---|---|---|---|---|---|---|
| tc10/min | 3:54 | 1:58 | 2:33 | 2:29 | 2:32 | 2:27 | 3:29 | 3:23 | 3:46 |
| tc90/min | 8:26 | 7:47 | 6:10 | 5:54 | 5:59 | 5:51 | 8:35 | 7:35 | 8:06 |
| ML/(dN·m) | 2.04 | 1.95 | 2.01 | 2.46 | 2.48 | 2.32 | 2.40 | 2.57 | 2.43 |
| MH/(dN·m) | 17.28 | 16.03 | 16.23 | 16.63 | 16.98 | 16.22 | 16.78 | 17.24 | 17.05 |
| MH − ML/(dN·m) | 15.24 | 14.08 | 14.22 | 14.23 | 14.50 | 13.90 | 14.38 | 14.67 | 14.26 |
| ML(1 + 4)100 °C | 44.5 | 47.3 | 47.2 | 46.9 | 47.0 | 47.2 | 48.1 | 48.0 | 47.7 |
| Test Item | A | B | C | D | E | F | G | H | I |
|---|---|---|---|---|---|---|---|---|---|
| Hardness/° | 64 | 65 | 65 | 66 | 66 | 66 | 66 | 66 | 67 |
| TS 100% 1/MPa | 3.21 | 2.97 | 3.01 | 2.93 | 3.15 | 2.97 | 2.64 | 2.68 | 2.35 |
| TS 300% 2 /MPa | 12.80 | 12.5 | 12.38 | 12.47 | 12.72 | 12.43 | 13.23 | 13.81 | 11.90 |
| TS 3/MPa | 24.78 | 24.8 | 24.42 | 25.75 | 26.15 | 25.44 | 26.42 | 27.45 | 26.13 |
| Elongation at break/% | 510.36 | 490.04 | 552.96 | 519.68 | 544.44 | 550.52 | 490.84 | 509.91 | 524.16 |
| Resilience/% | 71.98 | 71.84 | 70.87 | 71.24 | 71.98 | 71.46 | 72.03 | 71.99 | 72.14 |
| Abrasion/cm−3 | 0.139 | 0.140 | 0.151 | 0.148 | 0.140 | 0.142 | 0.141 | 0.139 | 0.140 |
| Volume resistivity/Ω·cm | 1.04 × 106 | 4.71 × 107 | 2.52 × 107 | 2.62 × 106 | 1.02 × 107 | 1.61 × 107 | 1.01 × 107 | 1.54 × 107 | 2.8 × 108 |
| A | B | C | D | E | F | G | H | I | |
|---|---|---|---|---|---|---|---|---|---|
| /KPa | 513.25 | 421.13 | 851.28 | 963.64 | 765.4 | 759.94 | 396.5 | 390.44 | 385.63 |
| /KPa | 241.47 | 221.9 | 346.54 | 382.96 | 344.6 | 338.82 | 238.47 | 229.98 | 252.97 |
| /KPa | 271.78 | 199.23 | 504.74 | 580.68 | 420.8 | 421.12 | 158.03 | 160.46 | 132.7 |
© 2020 by the authors. Licensee MDPI, Basel, Switzerland. This article is an open access article distributed under the terms and conditions of the Creative Commons Attribution (CC BY) license (http://creativecommons.org/licenses/by/4.0/).
Share and Cite
Tian, X.; Han, S.; Zhuang, Q.; Bian, H.; Li, S.; Zhang, C.; Wang, C.; Han, W. Surface Modification of Staple Carbon Fiber by Dopamine to Reinforce Natural Latex Composite. Polymers 2020, 12, 988. https://doi.org/10.3390/polym12040988
Tian X, Han S, Zhuang Q, Bian H, Li S, Zhang C, Wang C, Han W. Surface Modification of Staple Carbon Fiber by Dopamine to Reinforce Natural Latex Composite. Polymers. 2020; 12(4):988. https://doi.org/10.3390/polym12040988
Chicago/Turabian StyleTian, Xiaolong, Shuang Han, Qianxiao Zhuang, Huiguang Bian, Shaoming Li, Changquan Zhang, Chuansheng Wang, and Wenwen Han. 2020. "Surface Modification of Staple Carbon Fiber by Dopamine to Reinforce Natural Latex Composite" Polymers 12, no. 4: 988. https://doi.org/10.3390/polym12040988
APA StyleTian, X., Han, S., Zhuang, Q., Bian, H., Li, S., Zhang, C., Wang, C., & Han, W. (2020). Surface Modification of Staple Carbon Fiber by Dopamine to Reinforce Natural Latex Composite. Polymers, 12(4), 988. https://doi.org/10.3390/polym12040988
