Hybrid Lipid-Polymer Bilayers: pH-Mediated Interactions between Hybrid Vesicles and Glass
Abstract
1. Introduction
2. Materials and Methods
2.1. Materials
2.2. Preparation of Hybrid Vesicles
2.3. Zeta Potential from Dynamic Light Scattering
2.4. QCM-D Measurements
3. Results and Discussion
3.1. Vesicle Preparation and Characterization
3.2. pH Dependence of Lipid Vesicle–Borosilicate Interaction
3.3. Behavior of Lipid, Polymer, and Hybrid Vesicles at Neutral pH
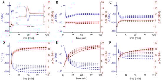
3.4. Behavior of Lipid, Polymer, and Hybrid Vesicles over a pH Range
4. Conclusions
Supplementary Materials
Author Contributions
Funding
Conflicts of Interest
References
- Misawa, N.; Osaki, T.; Takeuchi, S. Membrane protein-based biosensors. J. R. Soc. Interface 2018, 15, 20170952. [Google Scholar] [CrossRef] [PubMed]
- Martinez, J.A.; Misra, N.; Wang, Y.M.; Stroeve, P.; Grigoropoulos, C.P.; Noy, A. Highly Efficient Biocompatible Single Silicon Nanowire Electrodes with Functional Biological Pore Channels. Nano Lett. 2009, 9, 1121–1126. [Google Scholar] [CrossRef] [PubMed]
- Misra, N.; Martinez, J.A.; Huang, S.C.J.; Wang, Y.M.; Stroeve, P.; Grigoropoulos, C.P.; Noy, A. Bioelectronic silicon nanowire devices using functional membrane proteins. Proc. Natl. Acad. Sci. USA 2009, 106, 13780–13784. [Google Scholar] [CrossRef] [PubMed]
- Mossman, K.; Groves, J. Micropatterned supported membranes as tools for quantitative studies of the immunological synapse. Chem. Soc. Rev. 2007, 36, 46–54. [Google Scholar] [CrossRef]
- Gong, H.; Chen, F.; Huang, Z.L.; Gu, Y.; Zhang, Q.Z.; Chen, Y.J.; Zhang, Y.; Zhuang, J.; Cho, Y.K.; Fang, R.N.H.; et al. Biomembrane-Modified Field Effect Transistors for Sensitive and Quantitative Detection of Biological Toxins and Pathogens. ACS Nano 2019, 13, 3714–3722. [Google Scholar] [CrossRef]
- Fraser, S.J.; Mulet, X.; Martin, L.; Praporski, S.; Mechler, A.; Hartley, P.G.; Polyzos, A.; Separovic, F. Surface Immobilization of Bio-Functionalized Cubosomes: Sensing of Proteins by Quartz Crystal Microbalance. Langmuir 2012, 28, 620–627. [Google Scholar] [CrossRef]
- Glasmastar, K.; Larsson, C.; Hook, F.; Kasemo, B. Protein adsorption on supported phospholipid bilayers. J. Colloid Interface Sci. 2002, 246, 40–47. [Google Scholar] [CrossRef]
- Dodd, C.E.; Johnson, B.R.G.; Jeuken, L.J.C.; Bugg, T.D.H.; Bushby, R.J.; Evans, S.D. Native E. coli inner membrane incorporation in solid-supported lipid bilayer membranes. Biointerphases 2008, 3, FA59–FA67. [Google Scholar] [CrossRef]
- Wolny, P.M.; Banerji, S.; Gounou, C.; Brisson, A.R.; Day, A.J.; Jackson, D.G.; Richter, R.P. Analysis of CD44-Hyaluronan Interactions in an Artificial Membrane System Insights into the Distinct Binding Properties of High and Low Molecular Weight Hyaluronan. J. Biol. Chem. 2010, 285, 30170–30180. [Google Scholar] [CrossRef]
- Tamm, L.K.; Mcconnell, H.M. Supported Phospholipid-Bilayers. Biophys. J. 1985, 47, 105–113. [Google Scholar] [CrossRef]
- Biswas, K.H.; Jackman, J.A.; Park, J.H.; Groves, J.T.; Cho, N.J. Interfacial Forces Dictate the Pathway of Phospholipid Vesicle Adsorption onto Silicon Dioxide Surfaces. Langmuir 2018, 34, 1775–1782. [Google Scholar] [CrossRef] [PubMed]
- Hardy, G.J.; Nayak, R.; Zauscher, S. Model cell membranes: Techniques to form complex biomimetic supported lipid bilayers via vesicle fusion. Curr. Opin. Colloid Interface Sci. 2013, 18, 448–458. [Google Scholar] [CrossRef] [PubMed]
- Reimhult, E.; Hook, F.; Kasemo, B. Intact vesicle adsorption and supported biomembrane formation from vesicles in solution: Influence of surface chemistry, vesicle size, temperature, and osmotic pressure. Langmuir 2003, 19, 1681–1691. [Google Scholar] [CrossRef]
- Castellana, E.T.; Cremer, P.S. Solid supported lipid bilayers: From biophysical studies to sensor design. Surf. Sci. Rep. 2006, 61, 429–444. [Google Scholar] [CrossRef]
- Richter, R.P.; Berat, R.; Brisson, A.R. Formation of solid-supported lipid bilayers: An integrated view. Langmuir 2006, 22, 3497–3505. [Google Scholar] [CrossRef]
- Cremer, P.S.; Boxer, S.G. Formation and Spreading of Lipid Bilayers on Planar Glass Supports. J. Phys. Chem. B 1999, 103, 2554–2559. [Google Scholar] [CrossRef]
- Jönsson, P.; Beech, J.P.; Tegenfeldt, J.O.; Höök, F. Shear-Driven Motion of Supported Lipid Bilayers in Microfluidic Channels. J. Am. Chem. Soc. 2009, 131, 5294–5297. [Google Scholar] [CrossRef]
- Ross, E.E.; Bondurant, B.; Spratt, T.; Conboy, J.C.; O’Brien, D.F.; Saavedra, S.S. Formation of Self-Assembled, Air-Stable Lipid Bilayer Membranes on Solid Supports. Langmuir 2001, 17, 2305–2307. [Google Scholar] [CrossRef]
- Morigaki, K.; Kiyosue, K.; Taguchi, T. Micropatterned Composite Membranes of Polymerized and Fluid Lipid Bilayers. Langmuir 2004, 20, 7729–7735. [Google Scholar] [CrossRef]
- Conboy, J.C.; Liu, S.; O’Brie, D.F.; Saavedra, S.S. Planar Supported Bilayer Polymers Formed from Bis-Diene Lipids by Langmuir-Blodgett Deposition and UV Irradiation. Biomacromolecules 2003, 4, 841–849. [Google Scholar] [CrossRef]
- Holden, M.A.; Jung, S.-Y.; Yang, T.; Castellana, E.T.; Cremer, P.S. Creating Fluid and Air-Stable Solid Supported Lipid Bilayers. J. Am. Chem. Soc. 2004, 126, 6512–6513. [Google Scholar] [CrossRef] [PubMed]
- Paxton, W.F.; McAninch, P.T.; Shin, S.H.R.; Brumbach, M.T. Adsorption and fusion of hybrid lipid/polymer vesicles onto 2D and 3D surfaces. Soft Matter 2018, 14, 8112–8118. [Google Scholar] [CrossRef] [PubMed]
- Virk, M.M.; Hofmann, B.; Reimhult, E. Formation and Characteristics of Lipid-Blended Block Copolymer Bilayers on a Solid Support Investigated by Quartz Crystal Microbalance and Atomic Force Microscopy. Langmuir 2019, 35, 739–749. [Google Scholar] [CrossRef] [PubMed]
- Gettel, D.L.; Sanborn, J.; Patel, M.A.; de Hoog, H.P.; Liedberg, B.; Nallani, M.; Parikh, A.N. Mixing, Diffusion, and Percolation in Binary Supported Membranes Containing Mixtures of Lipids and Amphiphilic Block Copolymers. J. Am. Chem. Soc. 2014, 136, 10186–10189. [Google Scholar] [CrossRef]
- Goertz, M.P.; Marks, L.E.; Montano, G.A. Biomimetic Monolayer and Bilayer Membranes Made From Amphiphilic Block Copolymer Micelles. ACS Nano 2012, 6, 6527. [Google Scholar] [CrossRef]
- Shen, W.M.; Hu, J.H.; Hu, X. Impact of amphiphilic triblock copolymers on stability and permeability of phospholipid/polymer hybrid vesicles. Chem. Phys. Lett. 2014, 600, 56–61. [Google Scholar] [CrossRef]
- Rakhmatullina, E.; Meier, W. Solid-supported block copolymer membranes through interfacial adsorption of charged block copolymer vesicles. Langmuir 2008, 24, 6254–6261. [Google Scholar] [CrossRef]
- Kowal, J.; Wu, D.L.; Mikhalevich, V.; Palivan, C.G.; Meier, W. Hybrid Polymer-Lipid Films as Platforms for Directed Membrane Protein Insertion. Langmuir 2015, 31, 4868–4877. [Google Scholar] [CrossRef]
- Puiggali-Jou, A.; del Valle, L.J.; Aleman, C. Biomimetic hybrid membranes: Incorporation of transport proteins/peptides into polymer supports. Soft Matter 2019, 15, 2722–2736. [Google Scholar] [CrossRef]
- Lee, J.C.M.; Santore, M.; Bates, F.S.; Discher, D.E. From membranes to melts, rouse to reptation: Diffusion in polymersome versus lipid bilayers. Macromolecules 2002, 35, 323–326. [Google Scholar] [CrossRef]
- Paxton, W.F.; McAninch, P.T.; Achyuthan, K.E.; Shin, S.H.R.; Monteith, H.L. Monitoring and modulating ion traffic in hybrid lipid/polymer vesicles. Colloids Surf. B Biointerfaces 2017, 159, 268–276. [Google Scholar] [CrossRef] [PubMed]
- Lomora, M.; Itel, F.; Dinu, I.A.; Palivan, C.G. Selective ion-permeable membranes by insertion of biopores into polymersomes. PCCP 2015, 17, 15538–15546. [Google Scholar] [CrossRef] [PubMed]
- Khan, S.; Li, M.; Muench, S.P.; Jeuken, L.J.C.; Beales, P.A. Durable proteo-hybrid vesicles for the extended functional lifetime of membrane proteins in bionanotechnology. Chem. Commun. 2016, 52, 11020–11023. [Google Scholar] [CrossRef] [PubMed]
- Sauerbrey, G. Verwendung von Schwingquarzen zur Wägung dünner Schichten und zur Mikrowägung. Z. Phys. 1959, 155, 206–222. [Google Scholar] [CrossRef]
- Sanders, R.S.; Chow, R.S.; Masliyah, J.H. Deposition of Bitumen and Asphaltene-Stabilized Emulsions in an Impinging Jet Cell. J. Colloid Interface Sci. 1995, 174, 230–245. [Google Scholar] [CrossRef]
- Barz, D.P.J.; Vogel, M.J.; Steen, P.H. Determination of the Zeta Potential of Porous Substrates by Droplet Deflection. I. The Influence of Ionic Strength and pH Value of an Aqueous Electrolyte in Contact with a Borosilicate Surface. Langmuir 2009, 25, 1842–1850. [Google Scholar] [CrossRef]
- Discher, B.M.; Won, Y.Y.; Ege, D.S.; Lee, J.C.M.; Bates, F.S.; Discher, D.E.; Hammer, D.A. Polymersomes: Tough vesicles made from diblock copolymers. Science 1999, 284, 1143–1146. [Google Scholar] [CrossRef]
- Gaspard, J.; Casey, M.L.; Rozin, M.; Munoz-Pinto, J.D.; Silas, A.J.; Hahn, S.M. Mechanical Characterization of Hybrid Vesicles Based on Linear Poly(Dimethylsiloxane-b-Ethylene Oxide) and Poly(Butadiene-b-Ethylene Oxide) Block Copolymers. Sensors 2016, 16, 390. [Google Scholar] [CrossRef]
- Reviakine, I.; Johannsmann, D.; Richter, R.P. Hearing What You Cannot See and Visualizing What You Hear: Interpreting Quartz Crystal Microbalance Data from Solvated Interfaces. Anal. Chem. 2011, 83, 8838–8848. [Google Scholar] [CrossRef]
- Tellechea, E.; Johannsmann, D.; Steinmetz, N.F.; Richter, R.P.; Reviakine, I. Model-Independent Analysis of QCM Data on Colloidal Particle Adsorption. Langmuir 2009, 25, 5177–5184. [Google Scholar] [CrossRef]
- Zhao, J.; Granick, S. How Polymer Surface Diffusion Depends on Surface Coverage. Macromolecules 2007, 40, 1243–1247. [Google Scholar] [CrossRef]
- Zhao, J.; Granick, S. Polymer Lateral Diffusion at the Solid−Liquid Interface. J. Am. Chem. Soc. 2004, 126, 6242–6243. [Google Scholar] [CrossRef] [PubMed]
- Stuart, M.A.C.; Tamai, H. Dynamics of adsorbed polymers. 2. Thickness relaxation of poly(ethylene oxide) on glass as a function of segmental binding energy. Langmuir 1988, 4, 1184–1188. [Google Scholar] [CrossRef]
- Discher, B.M.; Bermudez, H.; Hammer, D.A.; Discher, D.E.; Won, Y.Y.; Bates, F.S. Cross-linked polymersome membranes: Vesicles with broadly adjustable properties. J. Phys. Chem. B 2002, 106, 2848–2854. [Google Scholar] [CrossRef]
- Srinivas, G.; Discher, D.E.; Klein, M.L. Self-assembly and properties of diblock copolymers by coarse-grain molecular dynamics. Nat. Mater. 2004, 3, 638–644. [Google Scholar] [CrossRef]





| Sample | DOPC (mol %) | EO22Bd33 (mol %) | Diameter (nm) a | PDI a | ζ (mV) b |
|---|---|---|---|---|---|
| 0% | 100 | 0 | 70.9 ± 0.2 | 0.11 ± 0.01 | −3.4 ± 0.2 |
| 10% | 90 | 10 | 74 ± 1 | 0.21 ± 0.01 | −2.1 ± 0.7 |
| 25% | 75 | 25 | 78 ± 2 | 0.23 ± 0.02 | −3.2 ± 0.6 |
| 50% | 50 | 50 | 104 ± 3 | 0.19 ± 0.01 | −1.9 ± 0.4 |
| 75% | 25 | 75 | 116 ± 2 | 0.18 ± 0.02 | −2.5 ± 0.5 |
| 100% | 0 | 100 | 131 ± 1 | 0.18 ± 0.01 | −2.3 ± 0.4 |
| Sample a | Sauerbrey Thickness at pH = 2 (nm) b | Broadfit Thickness at pH = 2 (nm) c | Broadfit Thickness at pH = 5 (nm) c |
|---|---|---|---|
| 0% | 5.3 | d | 6 |
| 10% | 14 | 15 | 13 |
| 25% | 14 | 15 | 13 |
| 50% | 18 | 20 | 21 |
| 75% | 24 | 26 | 56 |
| 100% | 25 | 31 | 50 |
© 2020 by the authors. Licensee MDPI, Basel, Switzerland. This article is an open access article distributed under the terms and conditions of the Creative Commons Attribution (CC BY) license (http://creativecommons.org/licenses/by/4.0/).
Share and Cite
Willes, K.L.; Genchev, J.R.; Paxton, W.F. Hybrid Lipid-Polymer Bilayers: pH-Mediated Interactions between Hybrid Vesicles and Glass. Polymers 2020, 12, 745. https://doi.org/10.3390/polym12040745
Willes KL, Genchev JR, Paxton WF. Hybrid Lipid-Polymer Bilayers: pH-Mediated Interactions between Hybrid Vesicles and Glass. Polymers. 2020; 12(4):745. https://doi.org/10.3390/polym12040745
Chicago/Turabian StyleWilles, Keith L., Jasmyn R. Genchev, and Walter F. Paxton. 2020. "Hybrid Lipid-Polymer Bilayers: pH-Mediated Interactions between Hybrid Vesicles and Glass" Polymers 12, no. 4: 745. https://doi.org/10.3390/polym12040745
APA StyleWilles, K. L., Genchev, J. R., & Paxton, W. F. (2020). Hybrid Lipid-Polymer Bilayers: pH-Mediated Interactions between Hybrid Vesicles and Glass. Polymers, 12(4), 745. https://doi.org/10.3390/polym12040745
