Physicochemical Characteristics and Dynamic Charge Mapping in Thermally Aged Two-Layered Polymer Considering Surface States: Experiment and Simulation
Abstract
1. Introduction
2. Experimental Procedure
2.1. Sample Preparation
2.2. Physicochemical Characterization
2.2.1. Molecular Structure
2.2.2. Crystallinity
2.2.3. Dielectric Spectra
2.3. Space Charge Measurement
3. Results and Discussion
3.1. Physicochemical Characterization
3.2. PEA Measurement Results
4. Numerical Analysis of Charge Dynamics
4.1. Surface States
4.2. Charge Generation and Transport
4.3. Parameter Sensitivity Analysis and Setting
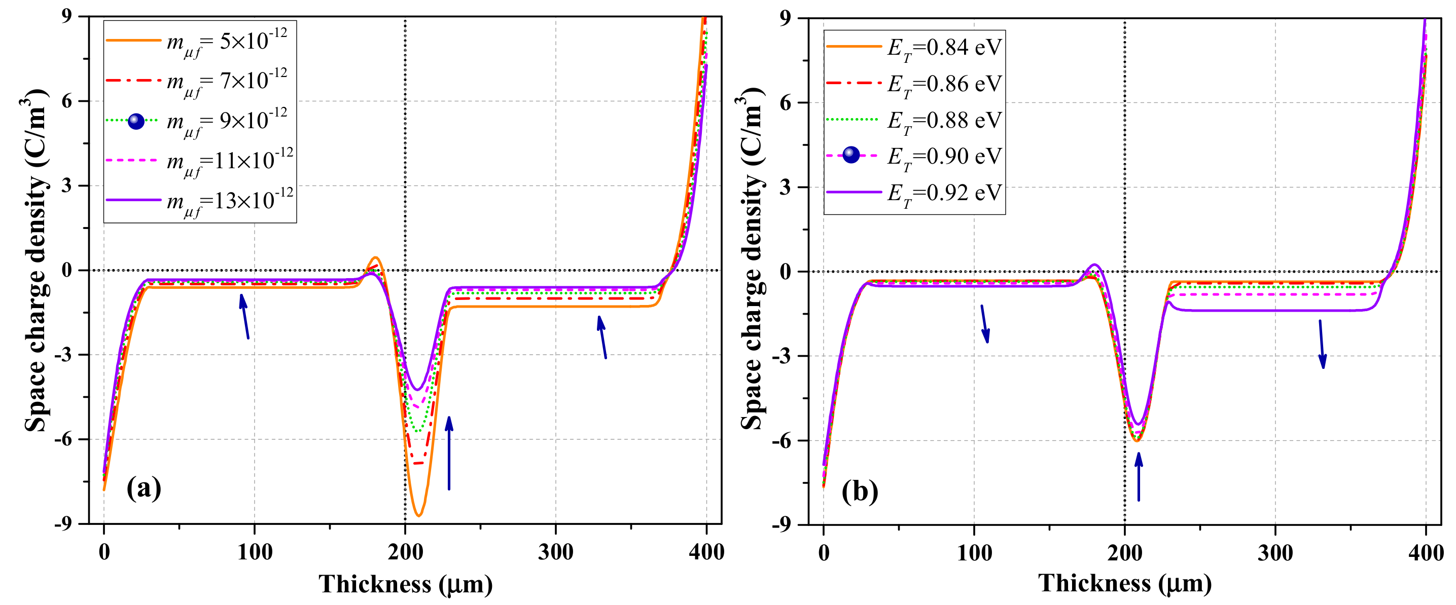
4.3.1. Influence of Surface State Characterization Parameters
4.3.2. Other Factors Affecting Charge Characteristics
4.4. Results of BCT Model
4.4.1. Simulation Results under 15 kV/mm
4.4.2. Simulation Results under 10 kV/mm
5. Conclusions
Author Contributions
Funding
Conflicts of Interest
References
- Jiang, X.; Sima, W.; Peng, Q.; Yang, M.; Sun, P. Effect of thermal ageing on space charge characteristics in double-layered polyester film. IEEE Trans. Dielectr. Electr. Insul. 2016, 23, 3156–3164. [Google Scholar] [CrossRef]
- Hao, J.; Chen, G.; Liao, R.; Yang, L.; Tang, C. Influence of moisture on space charge dynamics in multilayer oil-paper insulation. IEEE Trans. Dielectr. Electr. Insul. 2012, 19, 1456–1464. [Google Scholar] [CrossRef]
- Rogti, F.; Mekhaldi, A.; Laurent, C. Space charge behavior at physical interfaces in cross-linked polyethylene under DC field. IEEE Trans. Dielectr. Electr. Insul. 2008, 15, 1478–1485. [Google Scholar] [CrossRef]
- Huang, M.; Zhou, Y.; Chen, W.; Lu, L.; Jin, F.; Huang, J. Space charge dynamics at the physical interface in oil-paper insulation under DC voltage. IEEE Trans. Dielectr. Electr. Insul. 2015, 22, 1739–1746. [Google Scholar] [CrossRef]
- Dissado, L.; Mazzanti, G.; Montanari, G. The role of trapped space charges in the electrical aging of insulating materials. IEEE Trans. Dielectr. Electr. Insul. 1997, 4, 496–506. [Google Scholar] [CrossRef]
- Le Roy, S.; Boufayed, F.; Teyssedre, G.; Laurent, C.; Segur, P.; Bodega, R.; Montanan, G.C.; Dissado, L.A. Computer simulation of space charge distribution in an XLPE-EPR sandwich. In Proceedings of the Annual Report Conference on Electrical Insulation and Dielectric Phenomena (CEIDP), Nashville, TN, USA, 16–19 October 2005; pp. 661–664. [Google Scholar]
- Mizutani, T. Behavior of Charge Carriers in Organic Insulating Materials. In Proceedings of the 2006 IEEE Conference on Electrical Insulation and Dielectric Phenomena, Kansas City, MO, USA, 15–18 October 2006; pp. 1–10. [Google Scholar]
- Le Roy, S.; Teyssedre, G.; Laurent, C.; Montanari, G.C.; Palmieri, F. Description of charge transport in polyethylene using a fluid model with a constant mobility: Fitting model and experiments. J. Phys. D Appl. Phys. 2006, 39, 1427–1436. [Google Scholar] [CrossRef]
- Taleb, M.; Teyssedre, G.; Le Roy, S.; Laurent, C. Modeling of charge injection and extraction in a metal/polymer interface through an exponential distribution of surface states. IEEE Trans. Dielectr. Electr. Insul. 2013, 20, 311–320. [Google Scholar] [CrossRef]
- Wu, K.; Zhu, Q.; Tu, Y.; Dai, J. Simulation study on the effect of interface charge between oil and paper. In Proceedings of the 2014 International Symposium on Electrical Insulating Materials, Institute of Electrical and Electronics Engineers (IEEE). Niigata, Japan, 1–5 June 2014; pp. 366–369. [Google Scholar]
- Lean, M.H.; Chu, W.-P.L. Dynamic charge mapping in layered polymer films. IEEE Trans. Dielectr. Electr. Insul. 2014, 21, 1319–1329. [Google Scholar] [CrossRef]
- Hu, J.; Wu, J.; Yin, Y. Space charge on the contact interface between two insulations of the same materials. In Proceedings of the 2016 International Conference on Condition Monitoring and Diagnosis (CMD), Xi’an, China, 25–28 September 2016; pp. 761–764. [Google Scholar]
- Imburgia, A.; Miceli, R.; Sanseverino, E.R.; Romano, P.; Viola, F. Review of space charge measurement systems: Acoustic, thermal and optical methods. IEEE Trans. Dielectr. Electr. Insul. 2016, 23, 3126–3142. [Google Scholar] [CrossRef]
- Li, J.; Du, B.X.; Xu, H. Suppressing interface charge between LDPE and EPDM for HVDC cable accessory insulation. IEEE Trans. Dielectr. Electr. Insul. 2017, 24, 1331–1339. [Google Scholar] [CrossRef]
- Zhao, J.; Chen, G.; Lewin, P.L. Investigation into the formation of charge packets in polyethylene: Experiment and simulation. J. Appl. Phys. 2012, 112, 034116. [Google Scholar] [CrossRef]
- Bodega, R.; Morshuis, P.; Smit, J. Space charge measurements on multi-dielectrics by means of the pulsed electroacoustic method. IEEE Trans. Dielectr. Electr. Insul. 2006, 13, 272–281. [Google Scholar] [CrossRef]
- Maity, P.; Kasisomayajula, S.; Parameswaran, V.; Basu, S.; Gupta, N. Improvement in surface degradation properties of polymer composites due to pre-processed nanometric alumina fillers. IEEE Trans. Dielectr. Electr. Insul. 2008, 15, 63–72. [Google Scholar] [CrossRef]
- Jiang, X.; Sima, W.; Peng, Q.; Sun, P. Electrical breakdown of sandwiched polymers—The effect of dielectric properties and trapped electrons. IEEE Trans. Dielectr. Electr. Insul. 2019, 26, 1627–1635. [Google Scholar] [CrossRef]
- Jiang, X.; Sun, P.; Peng, Q.; Sima, W. Isothermal relaxation current and microstructure changes of thermally aged polyester films impregnated by epoxy resin. J. Phys. D Appl. Phys. 2017, 51, 015306. [Google Scholar] [CrossRef]
- Sima, W.-X.; Jiang, X.; Peng, Q.; Sun, P. Improved model of activation energy absorption for different electrical breakdowns in semi-crystalline insulating polymers. J. Phys. D Appl. Phys. 2018, 51, 215301. [Google Scholar] [CrossRef]
- Thomas, C.; Teyssedre, G.; Laurent, C. Space-charge dynamic in polyethylene: From dc to ac stress. J. Phys. D Appl. Phys. 2011, 44, 015401. [Google Scholar] [CrossRef]
- Li, Z.; Liu, N.; Gabriel, S.; Chen, G. Thermal ageing and its impact on charge trapping parameters in LDPE. In Proceedings of the 2017 IEEE Conference on Electrical Insulation and Dielectric Phenomenon (CEIDP), Fort Worth, TX, USA, 22–25 October 2017; IEEE: Piscataway, NJ, USA, 2017; pp. 820–823. [Google Scholar]
- Hao, M.; Zhou, Y.; Chen, G.; Wilson, G.; Jarman, P. Space charge behavior in oil gap and impregnated pressboard combined system under HVDC stresses. IEEE Trans. Dielectr. Electr. Insul. 2016, 23, 848–858. [Google Scholar] [CrossRef]
- Yang, K.; Zhang, G.-J.; Dong, M.; Yan, Z. Electroluminescence and Surface Trap Distribution in Polymeric Insulation. In Proceedings of the 2007 IEEE International Conference on Solid Dielectrics, Winchester, UK, 8–13 July 2007; pp. 235–238. [Google Scholar]
- Le Roy, S.; Teyssedre, G.; Laurent, C.; Dissado, L.; Montanari, G.C. Relative Importance of Trapping and Extraction in the Simulation of Space Charge Distribution in Polymeric Insulators under DC Potentials. In Proceedings of the 2007 IEEE International Conference on Solid Dielectrics, Winchester, UK, 8–13 July 2007; pp. 494–497. [Google Scholar]
- Min, D.; Li, Y.; Yan, C.; Xie, D.; Li, S.; Wu, Q.; Xing, Z. Thickness-Dependent DC Electrical Breakdown of Polyimide Modulated by Charge Transport and Molecular Displacement. Polymers 2018, 10, 1012. [Google Scholar] [CrossRef]
- Hoang, A.T.; Serdyuk, Y.V.; Gubanski, S. Charge Transport in LDPE Nanocomposites Part II—Computational Approach. Polymers 2016, 8, 103. [Google Scholar] [CrossRef]
- Zhao, J.; Xu, Z.; Chen, G.; Lewin, P. Effect of field-dependent mobility on current density and dynamics of space charge in polyethylene. In Proceedings of the IEEE Conference on Electrical Insulation and Dielectric Phenomena, Virginia Beach, VA, USA, 18–21 October 2009; IEEE: Piscataway, NJ, USA, 2009; pp. 120–123. [Google Scholar]
- Wintle, H.J. Surface-Charge Decay in Insulators with Nonconstant Mobility and with Deep Trapping. J. Appl. Phys. 1972, 43, 2927. [Google Scholar] [CrossRef]
- Sima, W.; Jiang, X.; Peng, Q.; Sun, P. Investigation of dielectric properties of polyethylene terephthalate under different aging temperatures. IEEE Trans. Dielectr. Electr. Insul. 2017, 24, 3015–3023. [Google Scholar] [CrossRef]
- Beldjilali, A.; Saidi-Amroun, N.; Saidi, M. Space charge modeling in polymers: Review of external applied constraints effects. IEEE Trans. Dielectr. Electr. Insul. 2016, 23, 573–585. [Google Scholar] [CrossRef]









| Frequency | 0.1 Hz | 1 Hz | 103 Hz | 105 Hz | |
|---|---|---|---|---|---|
| Dielectric loss tanδ | 0 h | 0.00181 | 0.00110 | 0.0037 | 0.0136 |
| 720 h | 0.00089 | 0.00079 | 0.0036 | 0.0134 | |
| 1600 h | 0.00068 | 0.00067 | 0.0037 | 0.0138 | |
| 2100 h | 0.00101 | 0.00096 | 0.0039 | 0.0138 | |
| 2900 h | 0.00371 | 0.00180 | 0.0036 | 0.0133 | |
| Parameters | Descriptions | Values |
|---|---|---|
| Wsei | Injection barrier for slow electrons (eV), influenced by thermal aging | 1.125–1.14 [28] |
| Wshi | Injection barrier for slow holes (eV), influenced by thermal aging | 1.155–1.16 [28] |
| Wfei | Injection barrier for fast electrons (eV) | 0.96 |
| Wfhi | Injection barrier for fast holes (eV) | 0.98 |
| ET(e) | Bulk trap level for electrons (eV) | 0.9 [30] |
| ETd(h) | Bulk trap level for holes (eV) | 0.9 |
| Nte | Trap density for electrons (C/m3) | 100 [28] |
| Nth | Trap density for holes (C/m3) | 100 |
| muse | Slow electron mobility (m2V−1s−1) | 2 × 10−16 |
| mush | Slow hole mobility (m2V−1s−1) | 1 × 10−16 |
| mufe | Mobility for fast electron (m2V−1s−1) | 9 × 10−12 |
| mufh | Mobility for fast hole (m2V−1s−1) | 9 × 10−12 |
| Ds | Diffusion coefficients for slow bipolar charges, including free and trapped charges (m2/s) | 2 × 10−14 |
| Dff | Diffusion coefficients for free fast bipolar charges (m2/s) | 1 × 10−9 |
| Dpft | Diffusion coefficients for trapped fast bipolar charges during polarization (m2/s) | 1 × 10−13 |
| Ddft | Diffusion coefficients for trapped fast bipolar charges during depolarization (m2/s), influenced by thermal aging | 5 × 10−13–11 × 10−13 |
| Btr(e) | Basic trapping coefficients for electrons (s−1) | 2 × 10−4 |
| Btr(h) | Basic trapping coefficients for holes (s−1) | 2 × 10−4 |
| Si | Recombination coefficients (m3 C−1s−1) | 0.004 |
| ds | extension of surface state (μm) | 30 |
| n | asymmetry index (n1, n2) | (0.2, 0.2667) |
| F(e) | Modification of trap density (F1, F2) for electrons at PET-PET interface, influenced by thermal aging | (33, 36) (35, 40) (40, 43) |
| F(h) | Modification of trap density (F1, F2) for holes at PET-PET interface | (10, 40) |
| r(e) | Portion of injected fast electrons | 0.8 |
| r(h) | Portion of injected fast holes | 0.8 |
© 2020 by the authors. Licensee MDPI, Basel, Switzerland. This article is an open access article distributed under the terms and conditions of the Creative Commons Attribution (CC BY) license (http://creativecommons.org/licenses/by/4.0/).
Share and Cite
Jiang, X.; Sima, W.; Chen, G.; Peng, Q.; Sun, P. Physicochemical Characteristics and Dynamic Charge Mapping in Thermally Aged Two-Layered Polymer Considering Surface States: Experiment and Simulation. Polymers 2020, 12, 634. https://doi.org/10.3390/polym12030634
Jiang X, Sima W, Chen G, Peng Q, Sun P. Physicochemical Characteristics and Dynamic Charge Mapping in Thermally Aged Two-Layered Polymer Considering Surface States: Experiment and Simulation. Polymers. 2020; 12(3):634. https://doi.org/10.3390/polym12030634
Chicago/Turabian StyleJiang, Xiongwei, Wenxia Sima, George Chen, Qingjun Peng, and Potao Sun. 2020. "Physicochemical Characteristics and Dynamic Charge Mapping in Thermally Aged Two-Layered Polymer Considering Surface States: Experiment and Simulation" Polymers 12, no. 3: 634. https://doi.org/10.3390/polym12030634
APA StyleJiang, X., Sima, W., Chen, G., Peng, Q., & Sun, P. (2020). Physicochemical Characteristics and Dynamic Charge Mapping in Thermally Aged Two-Layered Polymer Considering Surface States: Experiment and Simulation. Polymers, 12(3), 634. https://doi.org/10.3390/polym12030634

