Kinetic Study of the Thermal and Thermo-Oxidative Degradations of Polystyrene Reinforced with Multiple-Cages POSS
Abstract
1. Introduction
2. Experimental
2.1. Materials
2.2. 1H-NMR Spectroscopy
2.3. Thermogravimetric Analysis (TGA)
2.4. Fourier Transform Infrared Spectroscopy (FTIR)
3. Results and Discussion
4. Conclusions
Supplementary Materials
Author Contributions
Funding
Conflicts of Interest
References
- Ammala, A.; Bateman, S.; Dean, K.; Petinakis, E.; Sangwan, P.; Wong, S.; Yuan, Q.; Yu, L.; Patrick, C.; Leong, K.H. An overview of degradable and biodegradable polyolefins. Prog. Polym. Sci. 2011, 36, 1015–1049. [Google Scholar] [CrossRef]
- Raut, I.; Calin, M.; Vuluga, Z.; Alexandrescu, E.; Arsene, M.L.; Purcar, V.; Nicolae, C.-A.; Gurban, A.M.; Doni, M.; Jecu, L. Comparative Study on the Behavior of Virgin and Recycled Polyolefins–Cellulose Composites in Natural Environmental Conditions. J. Compos. Sci. 2019, 3, 60. [Google Scholar] [CrossRef]
- Billingham, N.C. Degradation and Stabilization of Polymers. In Materials Science and Technology: A Comprehensive Treatment: Corrosion and Environmental Degradation; Cahn, R.W., Haasen, P., Kramer, E.J., Eds.; Wiley: Hoboken, NJ, USA, 2000; Volumes I+II. [Google Scholar] [CrossRef]
- Abate, L.; Blanco, I.; Orestano, A.; Pollicino, A.; Recca, A. Kinetics of the isothermal degradation of model polymers containing ether, ketone and sulfone groups. Polym. Degrad. Stabil. 2005, 87, 271–278. [Google Scholar] [CrossRef]
- Nguyen-Tri, P.; Triki, E.; Nguyen, T.A. Butyl Rubber-Based Composite: Thermal Degradation and Prediction of Service Lifetime. J. Compos. Sci. 2019, 3, 48. [Google Scholar] [CrossRef]
- Backes, E.H.; Pires, L.N.; Costa, L.C.; Passador, F.R.; Pessan, L.A. Analysis of the Degradation During Melt Processing of PLA/Biosilicate® Composites. J. Compos. Sci. 2019, 3, 52. [Google Scholar] [CrossRef]
- Rivaton, A.; Gardette, J.-L.; Mailhot, B.; Morlat-Therlas, S. Basic Aspects of Polymer Degradation. Macromol. Symp. 2005, 225, 129–146. [Google Scholar] [CrossRef]
- Leszczynska, A.; Pielichowski, K. Application of thermal analysis methods for characterization of polymer/montmorillonite nanocomposites. J. Therm. Anal. Calorim. 2008, 93, 677–687. [Google Scholar] [CrossRef]
- Michałowski, S.; Hebda, E.; Pielichowski, K. Thermal stability and flammability of polyurethane foams chemically reinforced with POSS. J. Therm. Anal. Calorim. 2017, 130, 155–163. [Google Scholar] [CrossRef]
- Bertolino, V.; Cavallaro, G.; Milioto, S.; Parisi, F.; Lazzara, G. Thermal Properties of Multilayer Nanocomposites Based on Halloysite Nanotubes and Biopolymers. J. Compos. Sci. 2018, 2, 41. [Google Scholar] [CrossRef]
- Cavallaro, G.; De Lisi, R.; Lazzara, G.; Milioto, S. Polyethylene glycol/clay nanotubes composites. J. Therm. Anal. Calorim. 2013, 112, 383–389. [Google Scholar] [CrossRef]
- Rodante, F.; Vecchio, S.; Catalani, G.; Guidotti, M. Thermal analysis and non-isothermal kinetic study of some pesticides. Part II. Chlorinate derivatives. J. Therm. Anal. Calorim. 2000, 60, 605–622. [Google Scholar] [CrossRef]
- Vecchio, S.; Rodante, F.; Tomassetti, M. Thermal stability of disodium and calcium phosphomycin and the effects of the excipients evaluated by thermal analysis. J. Pharm. Biomed. Anal. 2001, 24, 1111–1123. [Google Scholar] [CrossRef]
- Papadopoulos, C.; Cristóvão, B.; Ferenc, W.; Hatzidimitriou, A.; Vecchio Ciprioti, S.; Risoluti, R.; Lalia-Kantouri, M. Thermoanalytical, magnetic and structural investigation of neutral Co(II) complexes with 2,2′-dipyridylamine and salicylaldehydes. J. Therm. Anal. Calorim. 2016, 123, 717–729. [Google Scholar] [CrossRef]
- Bart, J.C.J. Additives in Polymers: Industrial Analysis and Applications; John Wiley & Sons: Hoboken, NJ, USA, 2005. [Google Scholar] [CrossRef]
- Hahladakis, J.N.; Velis, C.A.; Weber, R.; Iacovidou, E.; Purnell, P. An overview of chemical additives present in plastics: Migration, release, fate and environmental impact during their use, disposal and recycling. J. Hazard. Mater. 2018, 344, 179–199. [Google Scholar] [CrossRef] [PubMed]
- Blanco, I.; Abate, L.; Antonelli, M.L.; Bottino, F.A. The regression of isothermal thermogravimetric data to evaluate degradation Ea values of polymers: A comparison with literature methods and an evaluation of lifetime predictions reliability. Part II. Polym. Degrad. Stabil. 2013, 98, 2291–2296. [Google Scholar] [CrossRef]
- Blanco, I. Lifetime prediction of food and beverage packaging wastes. J. Therm. Anal. Calorim. 2016, 125, 809–816. [Google Scholar] [CrossRef]
- Blanco, I. End-life prediction of commercial PLA used for food packaging through short term TGA experiments: Real chance or low reliability? Chin. J. Polym. Sci. 2014, 32, 681–689. [Google Scholar] [CrossRef]
- Cicala, G.; Blanco, I.; Latteri, A.; Ognibene, G.; Agatino Bottino, F.; Fragalà, M.E. PES/POSS Soluble Veils as Advanced Modifiers for Multifunctional Fiber Reinforced Composites. Polymers 2017, 9, 281. [Google Scholar] [CrossRef]
- Lichtenhan, J.D.; Pielichowski, K.; Blanco, I. POSS-based polymers. Polymers 2019, 11, 1727. [Google Scholar] [CrossRef]
- Zaharescu, T.; Blanco, I.; Bottino, F.A. Antioxidant activity assisted by modified particle surface in POSS/EPDM hybrids. Appl. Surf. Sci. 2020, 509, 144702. [Google Scholar] [CrossRef]
- Legnani, L.; Iannazzo, D.; Pistone, A.; Celesti, C.; Giofrè, S.; Romeo, R.; Di Pietro, A.; Visalli, G.; Fresta, M.; Bottino, P.; et al. Functionalized polyhedral oligosilsesquioxane (POSS) based composites for bone tissue engineering: Synthesis, computational and biological studies. RSC Adv. 2020, 10, 11325–11334. [Google Scholar] [CrossRef]
- Stipanelov Vrandečić, N.; Erceg, M.; Andričić, B.; Blanco, I.; Bottino, F.A. Characterization of poly(ethylene oxide) modified with different phenyl hepta isobutyl polyhedral oligomeric silsesquioxanes. J. Therm. Anal. Calorim. 2020, 142, 1863–1875. [Google Scholar] [CrossRef]
- Kuo, S.-W.; Chang, F.-C. POSS related polymer nanocomposites. Prog. Polym. Sci. 2011, 36, 1649–1696. [Google Scholar] [CrossRef]
- Wang, M.; Chi, H.; K.S., J.; Wang, F. Progress in the Synthesis of Bifunctionalized Polyhedral Oligomeric Silsesquioxane. Polymers 2019, 11, 2098. [Google Scholar] [CrossRef] [PubMed]
- Abate, L.; Bottino, F.A.; Cicala, G.; Chiacchio, M.A.; Ognibene, G.; Blanco, I. Polystyrene Nanocomposites Reinforced with Novel Dumbbell-Shaped Phenyl-POSSs: Synthesis and Thermal Characterization. Polymers 2019, 11, 1475. [Google Scholar] [CrossRef]
- Blanco, I. The Rediscovery of POSS: A Molecule Rather than a Filler. Polymers 2018, 10, 904. [Google Scholar] [CrossRef]
- Calabrese, I.; Cavallaro, G.; Lazzara, G.; Merli, M.; Sciascia, L.; Turco Liveri, M.L. Preparation and characterization of bio-organoclays using nonionic surfactant. Adsorption 2016, 22, 105–116. [Google Scholar] [CrossRef]
- Arrigo, R.; Teresi, R.; Gambarotti, C.; Parisi, F.; Lazzara, G.; Dintcheva, N.T. Sonication-induced modification of carbon nanotubes: Effect on the rheological and thermo-oxidative behaviour of polymer-based nanocomposites. Materials 2018, 11, 383. [Google Scholar] [CrossRef]
- Samal, S.; Kolinova, M.; Blanco, I. The magneto-mechanical behavior of active components in iron-elastomer composite. J. Compos. Sci. 2018, 2, 54. [Google Scholar] [CrossRef]
- Nakagaito, A.N.; Kanzawa, S.; Takagi, H. Polylactic acid reinforced with mixed cellulose and chitin nanofibers—Effect of mixture ratio on the mechanical properties of composites. J. Compos. Sci. 2018, 2, 36. [Google Scholar] [CrossRef]
- Pracella, M. Polyolefins with POSS. In Polymer/POSS Nanocomposites and Hybrid Materials Preparation, Properties, Applications; Kalia, S., Pielichowski, K., Eds.; Springer Nature Switzerland AG: Cham, Switzerland, 2018; p. 130. [Google Scholar] [CrossRef]
- Blanco, I.; Abate, L.; Bottino, F.A. Variously substituted phenyl hepta cyclopentyl-polyhedral oligomeric silsesquioxane (ph,hcp-POSS)/polystyrene (PS) nanocomposites: The influence of substituents on the thermal stability. J. Therm. Anal. Calorim. 2013, 112, 421–428. [Google Scholar] [CrossRef]
- Blanco, I.; Bottino, F.A. Effect of the substituents on the thermal stability of hepta cyclopentyl, phenyl substitued—Polyhedral oligomeric silsesquioxane (hcp-POSS)/polystyrene (PS) nanocomposites. AIP Conf. Proc. 2012, 1459, 247–249. [Google Scholar] [CrossRef]
- Blanco, I.; Abate, L.; Bottino, F.A. Synthesis and thermal properties of new dumbbell-shaped isobutyl-substituted POSSs linked by aliphatic bridges. J. Therm. Anal. Calorim. 2014, 116, 5–13. [Google Scholar] [CrossRef]
- Kissinger, H.E. Reaction kinetics in differential thermal analysis. Anal. Chem. 1957, 29, 1702–1706. [Google Scholar] [CrossRef]
- Flynn, J.H.; Wall, L.A. A quick direct method for the determination of activation energy from thermogravimetric data. J. Polym. Sci. B Polym. Lett. 1966, 4, 323–328. [Google Scholar] [CrossRef]
- Ozawa, T. A new method of analyzing thermogravimetric data. Bull. Chem. Soc. Jpn. 1965, 38, 1881–1886. [Google Scholar] [CrossRef]
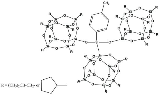
- Feher, F.J.; Newman, D.A. Enhanced silylation reactivity of a model for silica surfaces. J. Am. Chem. Soc. 1990, 112, 1931–1936. [Google Scholar] [CrossRef]
- Feher, F.J.; Budzichowski, T.A.; Blanski, R.L.; Weller, K.J.; Ziller, J.W. Facile syntheses of newincompletely condensed polyhedral oligosilsesquioxanes: [(c-C5H9)7Si7O9(OH)3], [(c-C7H13)7Si7O9 (OH)3], and [(c-C7H13)6Si6O7(OH)4]. Organometallics 1991, 10, 2526–2528. [Google Scholar] [CrossRef]
- Blanco, I.; Bottino, F.A.; Bottino, P.; Chiacchio, M.A. A novel three-cages POSS molecule: Synthesis and thermal behavior. J. Therm. Anal. Calorim. 2018, 134, 1337–1344. [Google Scholar] [CrossRef]
- Cicala, G.; Saccullo, G.; Blanco, I.; Samal, S.; Battiato, S.; Dattilo, S.; Saake, B. Polylactide/lignin blends. J. Therm. Anal. Calorim. 2017, 130, 515–524. [Google Scholar] [CrossRef]
- Blanco, I. The correctness of Cp measurements by DSC, actions to do and not to do. Thermochim. Acta 2020, 685, 178512. [Google Scholar] [CrossRef]
- Materazzi, S.; Vecchio, S.; Wo, L.W.; De Angelis Curtis, S. TG–MS and TG–FTIR studies of imidazolesubstituted coordination compounds: Co(II) and Ni(II)-complexes of bis(1-methylimidazol-2-yl)ketone. Thermochim. Acta 2012, 543, 183–187. [Google Scholar] [CrossRef]
- Zianna, A.; Vecchio, S.; Gdaniec, M.; Czapik, A.; Hatzidimitriou, A.; Lalia-Kantouri, K. Synthesis, thermal analysis, and spectroscopic and structural characterizations of zinc(II) complexes with salicylaldehydes. J. Therm. Anal. Calorim. 2013, 112, 455–464. [Google Scholar] [CrossRef]
- Blanco, I. Lifetime Prediction of Polymers: To Bet, or Not to Bet—Is This the Question? Materials 2018, 11, 1383. [Google Scholar] [CrossRef]
- Doyle, C.D. Estimating isothermal life from thermogravimetric data. J. Appl. Polym. Sci. 1962, 6, 639–642. [Google Scholar] [CrossRef]
- Blanco, I.; Abate, L.; Antonelli, M.L.; Bottino, F.A.; Bottino, P. Phenyl hepta cyclopentyl - Polyhedral oligomeric silsesquioxane (ph,hcp-POSS)/polystyrene (PS) nanocomposites: The influence of substituents in the phenyl group on the thermal stability. eXPRESS Polym. Lett. 2012, 6, 997–1006. [Google Scholar] [CrossRef]
- Blanco, I.; Bottino, F.A. Kinetics of degradation and thermal behaviour of branched hepta phenyl POSS/PS nanocomposites. Polym. Degrad. Stabil. 2016, 129, 374–379. [Google Scholar] [CrossRef]
- Blanco, I.; Bottino, F.A. Synthesis, thermal behavior, and kinetics of degradation of alkyl hepta cyclopentyl polyhedral oligomeric silsesquioxanes/polysterene nanocomposites. J. Thermoplast. Compos. Mater. 2018, 31, 913–924. [Google Scholar] [CrossRef]
- Blanco, I.; Bottino, F.A.; Cicala, G.; Cozzo, G.; Latteri, A.; Recca, A. Synthesis and thermal characterization of new dumbbell shaped POSS/PS nanocomposites: Influence of the symmetrical structure of the nanoparticles on the dispersion/aggregation in the polymer matrix. Polym. Compos. 2015, 36, 1394–1400. [Google Scholar] [CrossRef]
- Blanco, I.; Bottino, F.A. Thermal characterization of a series of novel hepta cyclopentyl bridged POSS/PS nanocomposites. J. Therm. Anal. Calorim. 2016, 125, 637–643. [Google Scholar] [CrossRef]






| PS | Sample 1 | Sample 2 | |
|---|---|---|---|
| Φ (K·min−1) | Tm (K) | Tm (K) | Tm (K) |
| 2 | 640 | 643 | 651 |
| 5 | 654 | 658 | 667 |
| 7.5 | 668 | 666 | 673 |
| 10 | 679 | 678 | 680 |
| 12.5 | 684 | 681 | 687 |
| 15 | 689 | 684 | 693 |
| 17.5 | 694 | 695 | 700 |
| 20 | 699 | 696 | 704 |
| PS | Sample 1 | Sample 2 | |
|---|---|---|---|
| Φ /(K·min−1) | Tm/K | Tm/K | Tm/K |
| 2 | 664 | 664 | 664 |
| 5 | 678 | 677 | 679 |
| 7.5 | 686 | 684 | 685 |
| 10 | 696 | 691 | 693 |
| 12.5 | 698 | 696 | 697 |
| 15 | 702 | 699 | 701 |
| 17.5 | 705 | 703 | 705 |
| 20 | 710 | 706 | 707 |
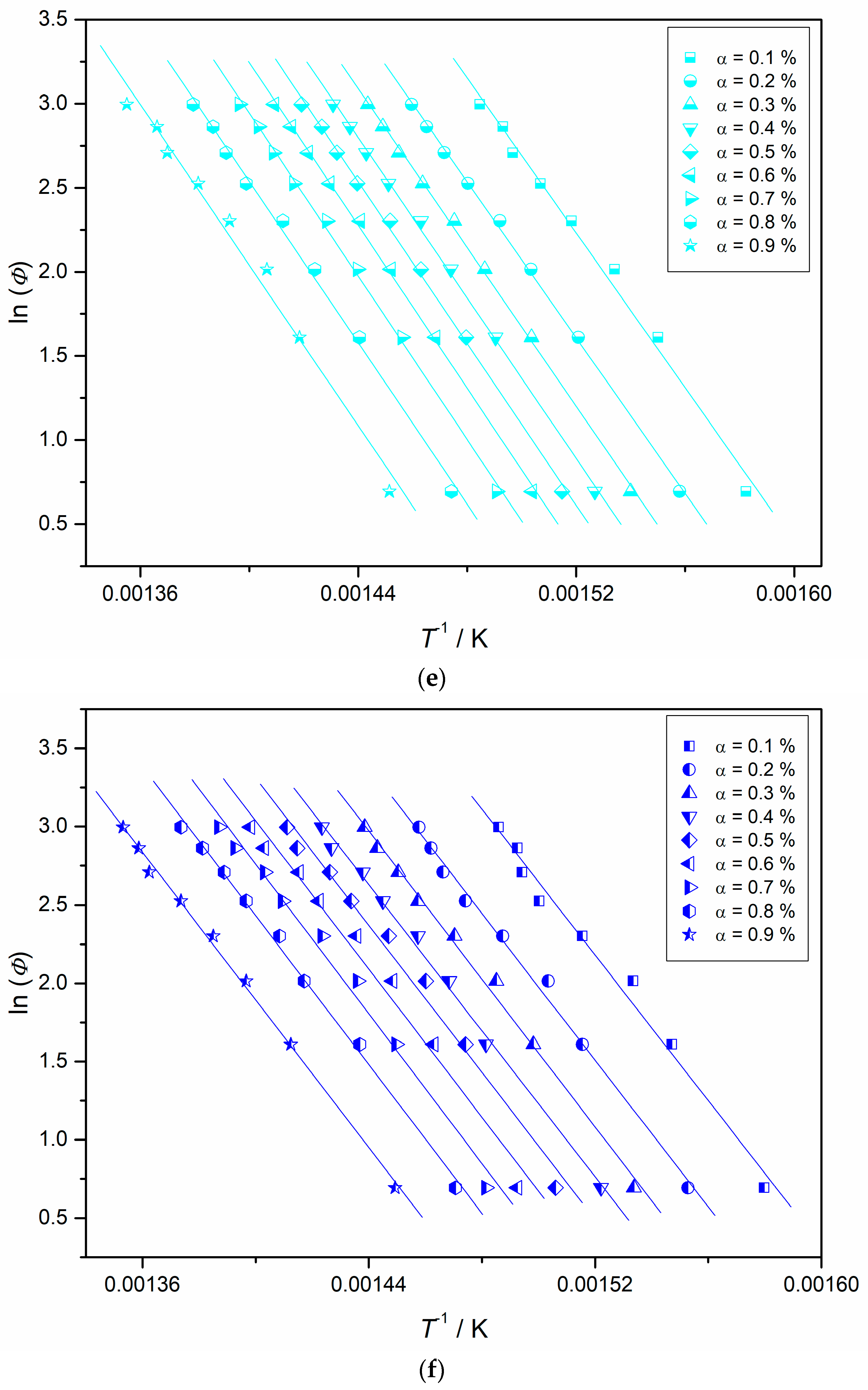
| Sample | a (a) | b·10−3 (K) (b) | r (c) | Ea (kJ·mol−1) |
|---|---|---|---|---|
| PS | 11.7 (±1.4) | 15.2 (±0.9) | 0.9890 | 126 (±7) |
| 1 | 14.6 (±1.8) | 17.1 (±1.2) | 0.9844 | 142 (±10) |
| 2 | 15.7 (±2.0) | 18.1 (±1.4) | 0.9831 | 150 (±12) |
| Sample | a (a) | b·10−3 (K) (b) | r (c) | Ea (kJ·mol−1) |
|---|---|---|---|---|
| PS | 20.8 (±1.4) | 21.9 (±1.0) | 0.9937 | 182 (±8) |
| 1 | 22.6 (±1.1) | 23.2 (±0.7) | 0.9968 | 193 (±6) |
| 2 | 23.5 (±1.4) | 23.7 (±1.0) | 0.9951 | 197 (±8) |
| Compounds | Static Air | Nitrogen Flow | ||
|---|---|---|---|---|
| Kissinger | FWO | Kissinger | FWO | |
| Ea (kJ·mol−1) | Ea (kJ·mol−1) | Ea (kJ·mol−1) | Ea (kJ·mol−1) | |
| PS | 126 (±7) | 123 (±4) | 182 (±8) | 183 (±4) |
| 1 | 142 (±7) | 146 (±7) | 193 (±6) | 197 (±4) |
| 2 | 150 (±12) | 154 (±5) | 197 (±8) | 196 (±6) |
Publisher’s Note: MDPI stays neutral with regard to jurisdictional claims in published maps and institutional affiliations. |
© 2020 by the authors. Licensee MDPI, Basel, Switzerland. This article is an open access article distributed under the terms and conditions of the Creative Commons Attribution (CC BY) license (http://creativecommons.org/licenses/by/4.0/).
Share and Cite
Blanco, I.; Cicala, G.; Tosto, C.; Bottino, F.A. Kinetic Study of the Thermal and Thermo-Oxidative Degradations of Polystyrene Reinforced with Multiple-Cages POSS. Polymers 2020, 12, 2742. https://doi.org/10.3390/polym12112742
Blanco I, Cicala G, Tosto C, Bottino FA. Kinetic Study of the Thermal and Thermo-Oxidative Degradations of Polystyrene Reinforced with Multiple-Cages POSS. Polymers. 2020; 12(11):2742. https://doi.org/10.3390/polym12112742
Chicago/Turabian StyleBlanco, Ignazio, Gianluca Cicala, Claudio Tosto, and Francesco Agatino Bottino. 2020. "Kinetic Study of the Thermal and Thermo-Oxidative Degradations of Polystyrene Reinforced with Multiple-Cages POSS" Polymers 12, no. 11: 2742. https://doi.org/10.3390/polym12112742
APA StyleBlanco, I., Cicala, G., Tosto, C., & Bottino, F. A. (2020). Kinetic Study of the Thermal and Thermo-Oxidative Degradations of Polystyrene Reinforced with Multiple-Cages POSS. Polymers, 12(11), 2742. https://doi.org/10.3390/polym12112742

