Thermoresponsive Polymers of Poly(2-(N-alkylacrylamide)ethyl acetate)s
Abstract
1. Introduction
2. Experimental
2.1. Materials
2.2. Synthesis of Monomers
2.2.1. Synthesis of 2-(N-methylacrylamide) ethyl acetate (NMAAEA)
2.2.2. Synthesis of 2-(N-ethylacrylamide) ethyl acetate (NEAAEA)
2.2.3. Synthesis of 2-(N-propylacrylamide) ethyl acetate (NPAAEA)
2.3. Synthesis of Poly(2-(N-alkylacrylamide) ethyl acetate)s by RAFT Polymerization
2.4. Synthesis of Thermoresponsive Block Copolymers
2.5. Synthesis of Thermoresponsive Random Copolymers
2.6. Characterization
3. Results and Discussion
3.1. Synthesis of Monomers and Poly(2-(N-alkylacrylamide) ethyl acetate)s
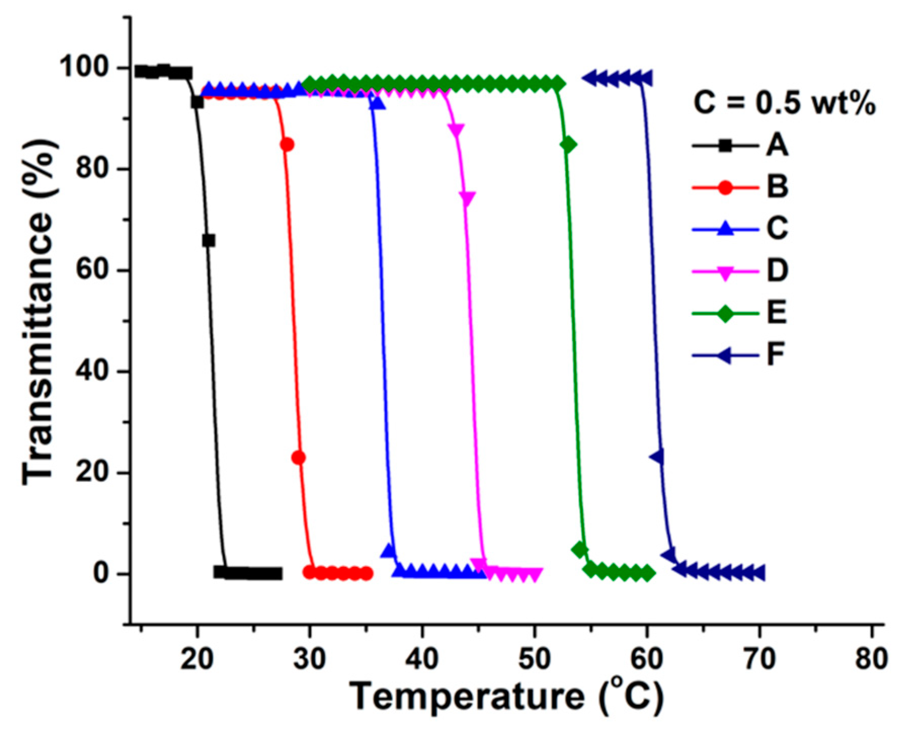
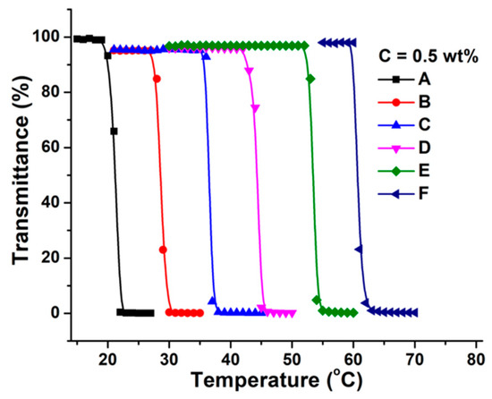
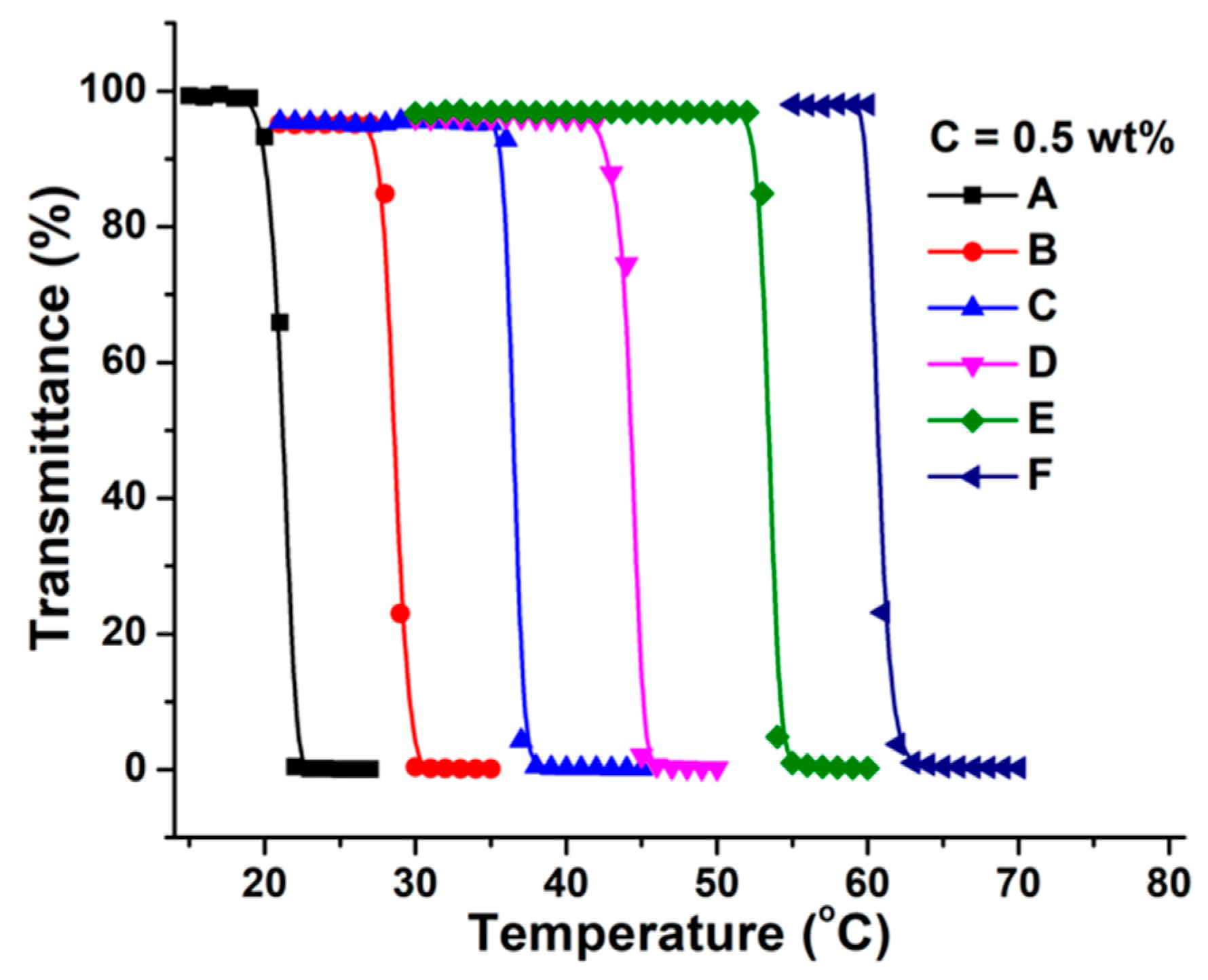
3.2. Thermoresponse of Poly(2-(N-alkylacrylamide) ethyl acetate)s
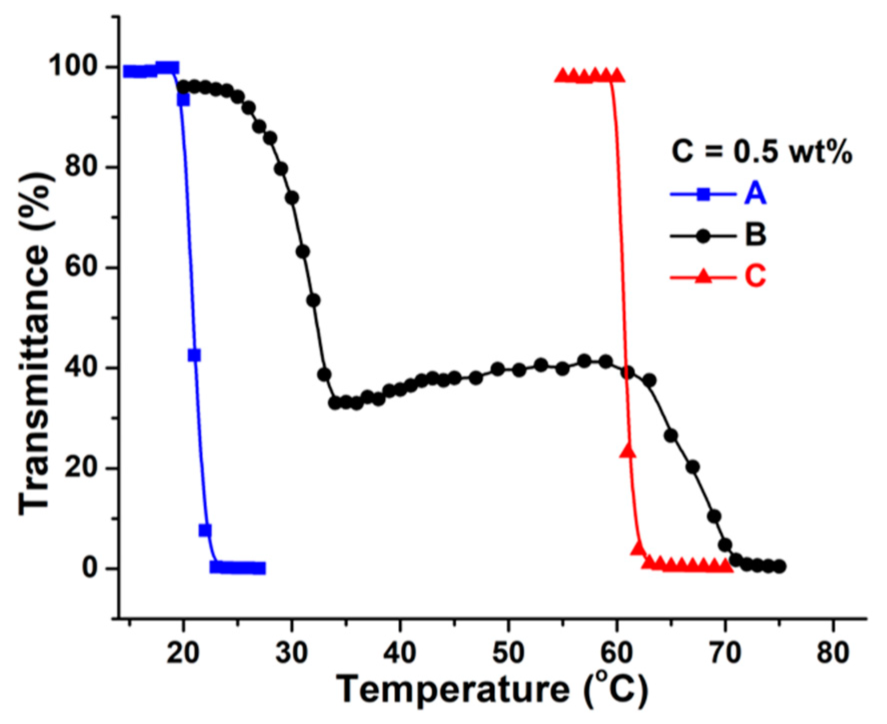
3.3. Synthesis and Thermoresponse of Block Copolymer and Random Copolymer
4. Conclusions
Supplementary Materials
Author Contributions
Funding
Conflicts of Interest
References
- Li, F.; Lu, J.; Kong, X.; Hyeon, T.; Ling, D. Dynamic nanoparticle assemblies for biomedical applications. Adv. Mater. 2017, 29, 1605897. [Google Scholar] [CrossRef] [PubMed]
- Schneiderman, D.K.; Hillmyer, M.A. 50th anniversary perspective: There is a great future in sustainable polymers. Macromolecules 2017, 50, 3733–3750. [Google Scholar] [CrossRef]
- Qing, G.; Lu, Q.; Xiong, Y.; Zhang, L.; Wang, H.; Li, X.; Liang, X.; Sun, T. New opportunities and challenges of smart polymers in post-translational modification proteomics. Adv. Mater. 2017, 29, 1604670. [Google Scholar] [CrossRef] [PubMed]
- Liu, F.; Urban, M.W. Recent advances and challenges in designing stimuli-responsive polymers. Prog. Polym. Sci. 2010, 35, 3–23. [Google Scholar] [CrossRef]
- Gil, E.S.; Hudson, S.M. Stimuli-reponsive polymers and their bioconjugates. Prog. Polym. Sci. 2004, 29, 1173–1222. [Google Scholar] [CrossRef]
- Dai, S.; Ravi, P.; Tam, K.C. pH-Responsive polymers: Synthesis, properties and applications. Soft Matter 2008, 4, 435–449. [Google Scholar] [CrossRef]
- Lin, W.; Nie, S.; Xiong, D.; Guo, X.; Wang, J.; Zhang, L. pH-responsive micelles based on (PCL)2(PDEA-b-PPEGMA)2 miktoarm polymer: Controlled synthesis, characterization, and application as anticancer drug carrier. Nanoscale Res. Lett. 2014, 9, 1–12. [Google Scholar] [CrossRef]
- Carreira, A.S.; Goncalves, F.A.M.M.; Mendonca, P.V.; Gil, M.H.; Coelho, J.F.J. Temperature and pH responsive polymers based on chitosan: Applications and new graft copolymerization strategies based on living radical polymerization. Carbohydr. Polym. 2010, 80, 618–630. [Google Scholar] [CrossRef]
- Abd El-Aal, M.A.; Al-Ghobashy, M.A.; Fathalla, F.A.A.; El-Saharty, Y.S. Preparation and characterization of pH-responsive polyacrylamide molecularly imprinted polymer: Application to isolation of recombinant and wild type human serum albumin from biological sources. J. Chromatogr. B 2017, 1046, 34–47. [Google Scholar] [CrossRef]
- Rahane, S.B.; Floyd, J.A.; Metters, A.T.; Kilbey, S.M. Swelling behavior of multiresponsive poly(methacrylic acid)-block-poly(N-isopropylacrylamide) brushes synthesized using surface-initiated photoiniferter-mediated photopolymerization. Adv. Funct. Mater. 2008, 18, 1232–1240. [Google Scholar] [CrossRef]
- Butun, V.; Armes, S.P.; Billingham, N.C. Synthesis and aqueous solution properties of near-monodisperse tertiary amine methacrylate homopolymers and diblock copolymers. Polymer 2001, 42, 5993–6008. [Google Scholar] [CrossRef]
- Thavanesan, T.; Herbert, C.; Plamper, F.A. Insight in the phase separation peculiarities of poly(dialkylaminoethyl methacrylate)s. Langmuir 2014, 30, 5609–5619. [Google Scholar] [CrossRef]
- Mane, S.R.; Sathyan, A.; Shunmugam, R. Biomedical applications of pH-responsive amphiphilic polymer nanoassemblies. ACS Appl. Nano Mater. 2020, 3, 2104–2117. [Google Scholar] [CrossRef]
- Gai, Z.; Wan, J.; Cao, X. Synthesis of pH-responsive polymers forming recyclable aqueous two-phase systems and application to the extraction of demeclocycline. Biochem. Eng. J. 2019, 142, 89–96. [Google Scholar] [CrossRef]
- Oyaizu, K.; Nishide, H. Radical polymers for organic electronic devices: A radical departure from conjugated polymers? Adv. Mater. 2009, 21, 2339–2344. [Google Scholar] [CrossRef]
- Mazurowski, M.; Gallei, M.; Li, J.; Didzoleit, H.; Stuhn, B.; Rehahn, M. Redox-Responsive Polymer Brushes Grafted from Polystyrene Nanoparticles by Means of Surface Initiated Atom Transfer Radical Polymerization. Macromolecules 2012, 45, 8970–8981. [Google Scholar] [CrossRef]
- Nagel, B.; Warsinke, A.; Katterle, M. Enzyme activity control by responsive redoxpolymers. Langmuir 2007, 23, 6807–6811. [Google Scholar] [CrossRef]
- Weber, C.; Hoogenboom, R.; Schubert, U.S. Temperature responsive bio-compatible polymers based on poly(ethylene oxide) and poly(2-oxazoline)s. Prog. Polym. Sci. 2012, 37, 686–714. [Google Scholar] [CrossRef]
- Roy, D.; Brooks, W.L.A.; Sumerlin, B.S. New directions in thermoresponsive polymers. Chem. Soc. Rev. 2013, 42, 7214–7243. [Google Scholar] [CrossRef]
- Spěváček, J.I.; Hanyková, L.; Labuta, J. Behavior of water during temperature-induced phase separation in poly(vinyl methyl ether) aqueous solutions. NMR and optical microscopy study. Macromolecules 2011, 44, 2149–2153. [Google Scholar] [CrossRef]
- Seddiki, N.; Aliouche, D. Synthesis, rheological behavior and swelling properties of copolymer hydrogels based on poly(N-Isopropylacrylamide) with hydrophilic monomers. Bull. Chem. Soc. Ethiop. 2013, 27, 447–457. [Google Scholar] [CrossRef]
- Zhang, Y.; Furyk, S.; Bergbreiter, D.E.; Cremer, P.S. Specific ion effects on the water solubility of macromolecules: PNIPAM and the Hofmeister series. J. Am. Chem. Soc. 2005, 127, 14505–14510. [Google Scholar] [CrossRef] [PubMed]
- Plamper, F.A.; Schmalz, A.; Ballauff, M.; Müller, A.H.E. Tuning the thermoresponsiveness of weak polyelectrolytes by pH and light: Lower and upper critical-solution temperature of Poly(N,N-dimethylaminoethyl methacrylate). J. Am. Chem. Soc. 2007, 129, 14538. [Google Scholar] [CrossRef] [PubMed]
- Sagle, L.B.; Zhang, Y.; Litosh, V.A.; Chen, X.; Cho, Y.; Cremer, P.S. Investigating the hydrogen-bonding model of urea denaturation. J. Am. Chem. Soc. 2009, 131, 9304–9310. [Google Scholar] [CrossRef]
- Li, Q.; Gao, C.; Li, S.; Huo, F.; Zhang, W. Doubly thermo-responsive ABC triblock copolymer nanoparticles prepared through dispersion RAFT polymerization. Polym. Chem. 2014, 5, 2961–2972. [Google Scholar] [CrossRef]
- Zhang, W.L.; Choi, H.J. Stimuli-responsive polymers and colloids under electric and magnetic fields. Polymers 2014, 6, 2803–2818. [Google Scholar] [CrossRef]
- Park, D.E.; Chae, H.S.; Choi, H.J.; Maity, A. Magnetite-polypyrrole core-shell structured microspheres and their dual stimuli-response under electric and magnetic fields. J. Mater. Chem. C 2015, 3, 3150–3158. [Google Scholar] [CrossRef]
- Sim, B.; Chae, H.S.; Choi, H.J. Fabrication of polyaniline coated iron oxide hybrid particles and their dual stimuli-response under electric and magnetic fields. Express Polym. Lett. 2015, 9, 736–743. [Google Scholar] [CrossRef]
- Caruso, M.M.; Davis, D.A.; Shen, Q.; Odom, S.A.; Sottos, N.R.; White, S.R.; Moore, J.S. Mechanically-induced chemical changes in polymeric materials. Chem. Rev. 2009, 109, 5755–5798. [Google Scholar] [CrossRef]
- Wiggins, K.M.; Brantley, J.N.; Bielawski, C.W. Methods for activating and characterizing mechanically responsive polymers. Chem. Soc. Rev. 2013, 42, 7130–7147. [Google Scholar] [CrossRef]
- Zhang, Y.; Yu, J.; Bomba, H.N.; Zhu, Y.; Gu, Z. Mechanical force-triggered drug delivery. Chem. Rev. 2016, 116, 12536–12563. [Google Scholar] [CrossRef] [PubMed]
- Schattling, P.; Jochum, F.D.; Theato, P. Multi-stimuli responsive polymers—The all-in-one talents. Polym. Chem. 2014, 5, 25–36. [Google Scholar] [CrossRef]
- Zhang, C.; Peng, H.; Whittaker, A.K. NMR investigation of effect of dissolved salts on the thermoresponsive behavior of oligo(ethylene glycol)-methacrylate-based polymers. J. Polym. Sci. Part A 2014, 52, 2375–2385. [Google Scholar] [CrossRef]
- Halperin, A.; Kröger, M.; Winnik, F.M. Poly(N-isopropylacrylamide) phase diagrams: Fifty years of research. Angew. Chem. Int. Ed. 2015, 54, 15342–15367. [Google Scholar] [CrossRef]
- Jana, S.; Rannard, S.P.; Cooper, A.I. Structure-LCST relationships for end-functionalized water-soluble polymers: An “accelerated” approach to phase behaviour studies. Chem. Commun. (Camb.) 2007, 28, 2962–2964. [Google Scholar] [CrossRef]
- Plamper, F.A.; Ruppel, M.; Schmalz, A.; Borisov, O.; Ballauff, M.; Müller, A.H.E. Tuning the thermoresponsive properties of weak polyelectrolytes: Aqueous solutions of star-shaped and linear Poly(N,N-dimethylaminoethyl methacrylate). Macromolecules 2007, 40, 8361–8366. [Google Scholar] [CrossRef]
- Gonzalez, N.; Elvira, C.; Roman, J.S. Novel dual-stimuli-responsive polymers derived from ethylpyrrolidine. Macromolecules 2005, 38, 9298–9303. [Google Scholar] [CrossRef]
- Badi, N. Non-linear PEG-based thermoresponsive polymer systems. Prog. Polym. Sci. 2017, 66, 54–79. [Google Scholar] [CrossRef]
- Lee, J.; McGrath, A.J.; Hawker, C.J.; Kim, B.-S. pH-Tunable thermoresponsive PEO-based functional polymers with pendant amine groups. ACS Macro Lett. 2016, 5, 1391–1396. [Google Scholar] [CrossRef]
- Miasnikova, A.; Laschewsky, A. Influencing the phase transition temperature of poly(methoxy diethylene glycol acrylate) by molar mass, end groups, and polymer architecture. J. Polym. Sci. Part A 2012, 50, 3313–3323. [Google Scholar] [CrossRef]
- Qiao, Z.-Y.; Du, F.-S.; Zhang, R.; Liang, D.-H.; Li, Z.-C. Biocompatible thermoresponsive polymers with pendent oligo(ethylene glycol) chains and cyclic ortho ester groups. Macromolecules 2010, 43, 6485–6494. [Google Scholar] [CrossRef]
- Roth, P.J.; Jochum, F.D.; Forst, F.R.; Zentel, R.; Theato, P. Influence of end groups on the stimulus-responsive behavior of poly[oligo(ethylene glycol) methacrylate] in Water. Macromolecules 2010, 43, 4638–4645. [Google Scholar] [CrossRef]
- Jung, Y.; Kim, J.-H.; Jang, W.-D. Linear and cyclic poly(2-isopropyl-2-oxazoline)s for fine control of thermoresponsiveness. Eur. Polym. J. 2017, 88, 605–612. [Google Scholar] [CrossRef]
- Bloksma, M.M.; Weber, C.; Perevyazko, I.Y.; Kuse, A.; Baumgärtel, A.; Vollrath, A.; Hoogenboom, R.; Schubert, U.S. Poly(2-cyclopropyl-2-oxazoline): From rate acceleration by cyclopropyl to thermoresponsive properties. Macromolecules 2011, 44, 4057–4064. [Google Scholar] [CrossRef]
- Weber, C.; Becer, C.R.; Hoogenboom, R.; Schubertt, U.S. Lower critical solution temperature behavior of omb and graft shaped poly[oligo(2-ethyl-2-oxazoline)methacrylate]s. Macromolecules 2009, 42, 2965–2971. [Google Scholar] [CrossRef]
- Maeda, Y. IR spectroscopic study on the hydration and the phase transition of poly(vinyl methyl ether) in water. Langmuir 2001, 17, 1737–1742. [Google Scholar] [CrossRef]
- Cheng, H.; Shen, L.; Wu, C. LLS and FTIR studies on the hysteresis in association and dissociation of poly(N-isopropylacrylamide) chains in water. Macromolecules 2006, 39, 2325–2329. [Google Scholar] [CrossRef]
- Lutz, J.-F.; Akdemir, Ö.; Hoth, A. Point by point comparison of two thermosensitive polymers exhibiting a similar LCST: Is the age of poly(NIPAM) over? J. Am. Chem. Soc. 2006, 128, 13046–13047. [Google Scholar] [CrossRef] [PubMed]
- Osvath, Z.; Ivan, B. The dependence of the cloud point, clearing point, and hysteresis of poly(N-isopropylacrylamide) on experimental conditions: The need for standardization of thermoresponsive transition determinations. Macromol. Chem. Phys. 2017, 218, 1600470. [Google Scholar] [CrossRef]
- Osvath, Z.; Toth, T.; Ivan, B. Synthesis, characterization, LCST-type behavior and unprecedented heating-cooling hysteresis of poly(N-isopropylacrylamide-co-3-(trimethoxysilyl)propyl methacrylate) copolymers. Polymer 2017, 108, 395–399. [Google Scholar] [CrossRef]
- Lu, Y.; Zhou, K.; Ding, Y.; Zhang, G.; Wu, C. Origin of hysteresis observed in association and dissociation of polymer chains in water. Phys. Chem. Chem. Phys. 2010, 12, 3188–3194. [Google Scholar] [CrossRef] [PubMed]
- Scherzinger, C.; Balaceanu, A.; Hofmann, C.H.; Schwarz, A.; Leonhard, K.; Pich, A.; Richtering, W. Cononsolvency of mono- and di-alkyl N-substituted poly(acrylamide)s and poly(vinyl caprolactam). Polymer 2015, 62, 50–59. [Google Scholar] [CrossRef]
- Zhou, K.; Lu, Y.; Li, J.; Shen, L.; Zhang, G.; Xie, Z.; Wu, C. The coil-to-globule-to-coil transition of linear polymer chains in dilute aqueous solutions: Effect of intrachain hydrogen bonding. Macromolecules 2008, 41, 8927–8931. [Google Scholar] [CrossRef]
- Yamamoto, K.; Serizawa, T.; Muraoka, Y.; Akashi, M. Synthesis and functionalities of poly(N-vinylalkylamide). XII. Synthesis and thermosensitive property of poly(vinylamine) copolymer prepared from poly(N-vinylformamide-co-N-vinylisobutyramide). J. Polym. Sci. Part A 2000, 38, 3674–3681. [Google Scholar] [CrossRef]
- Cao, Y.; Zhu, X.X.; Luo, J.; Liu, H. Effects of substitution groups on the RAFT polymerization of N-Alkylacrylamides in the preparation of thermosensitive block copolymers. Macromolecules 2007, 40, 6481–6488. [Google Scholar] [CrossRef]
- Fischer, F.; Zufferey, D.; Tahoces, R. Lower critical solution temperature in superheated water: The highest in the poly(N,N-dialkylacrylamide) series. Polym. Int. 2011, 60, 1259–1262. [Google Scholar] [CrossRef]
- Sugihara, S.; Kanaoka, S.; Aoshima, S. Thermosensitive random copolymers of hydrophilic and hydrophobic monomers obtained by living cationic copolymerization. Macromolecules 2004, 37, 1711–1719. [Google Scholar] [CrossRef]
- Mäkinen, L.; Varadharajan, D.; Tenhu, H.; Hietala, S. Triple hydrophilic UCST-LCST block copolymers. Macromolecules 2016, 49, 986–993. [Google Scholar] [CrossRef]
- Park, J.-S.; Kataoka, K. Precise control of lower critical solution temperature of thermosensitive poly(2-isopropyl-2-oxazoline) via gradient copolymerization with 2-ethyl-2-oxazoline as a hydrophilic comonomer. Macromolecules 2006, 39, 6622–6630. [Google Scholar] [CrossRef]
- Zhang, Y.; Cremer, P.S. Chemistry of Hofmeister Anions and Osmolytes. Annu. Rev. Phys. Chem. 2010, 61, 63–83. [Google Scholar] [CrossRef]
- Rembert, K.B.; Okur, H.I.; Hilty, C.; Cremer, P.S. An NH moiety is not required for anion binding to amides in aqueous solution. Langmuir 2015, 31, 3459–3464. [Google Scholar] [CrossRef] [PubMed]
- Bloksma, M.M.; Bakker, D.J.; Weber, C.; Hoogenboom, R.; Schubert, U.S. The effect of hofmeister salts on the LCST transition of poly(2-oxazoline)s with varying hydrophilicity. Macromol. Rapid Commun. 2010, 31, 724–728. [Google Scholar] [CrossRef] [PubMed]
- Xie, W.J.; Gao, Y.Q. A Simple Theory for the Hofmeister Series. J. Phys. Chem. Lett. 2013, 4, 4247–4252. [Google Scholar] [CrossRef]
- Cho, Y.; Zhang, Y.; Christensen, T.; Sagle, L.B.; Chilkoti, A.; Cremer, P.S. Effects of hofmeister anions on the phase transition temperature of elastin-like polypeptides. J. Phys. Chem. B 2008, 112, 13765–13771. [Google Scholar] [CrossRef] [PubMed]
- Wang, J.; Liu, B.; Ru, G.; Bai, J.; Feng, J. Effect of urea on phase transition of poly(N-isopropylacrylamide) and poly(N,N-diethylacrylamide) hydrogels: A clue for urea-induced denaturation. Macromolecules 2016, 49, 234–243. [Google Scholar] [CrossRef]
- Gao, Y.; Yang, J.; Ding, Y.; Ye, X. Effect of urea on phase transition of poly(N-isopropylacrylamide) investigated by differential scanning calorimetry. J. Phys. Chem. B 2014, 118, 9460–9466. [Google Scholar] [CrossRef]
- Laszlo, K.; Kosik, K.; Rochas, C.; Geissler, E. Phase transition in poly(N-isopropylacrylamide) hydrogels induced by phenols. Macromolecules 2003, 36, 7771–7776. [Google Scholar] [CrossRef]
- Li, X.; Zhang, X.-Z.; Chu, Y.-F.; Xu, X.-D.; Cheng, S.-X.; Zhuo, R.-X.; Wang, Q.-R. Fast responsive poly(N-isopropylacrylamide) hydrogels prepared in phenol aqueous solutions. Eur. Polym. J. 2006, 42, 2458–2463. [Google Scholar] [CrossRef]
- Chen, J.; Gong, X.; Yang, H.; Yao, Y.; Xu, M.; Chen, Q.; Cheng, R. NMR study on the effects of sodium n-Dodecyl sulfate on the coil-to-globule transition of poly(N-isopropylacrylamide) in aqueous solutions. Macromolecules 2011, 44, 6227–6231. [Google Scholar] [CrossRef]
- Chen, J.; Xue, H.; Yao, Y.; Yang, H.; Li, A.; Xu, M.; Chen, Q.; Cheng, R. Effect of surfactant concentration on the complex structure of poly(N-isopropylacrylamide)/Sodium N-Dodecyl sulfate in aqueous solutions. Macromolecules 2012, 45, 5524–5529. [Google Scholar] [CrossRef]
- Johnson, R.N.; Burke, R.S.; Convertine, A.J.; Hoffman, A.S.; Stayton, P.S.; Pun, S.H. Synthesis of statistical copolymers containing multiple functional peptides for nucleic acid delivery. Biomacromolecules 2010, 11, 3007–3013. [Google Scholar] [CrossRef] [PubMed]
- Chen, S.; Wang, K.; Zhang, W. A new thermoresponsive polymer of poly(N-acryloylsarcosine methyl ester) with a tunable LCST. Polym. Chem. 2017, 8, 3090–3101. [Google Scholar] [CrossRef]
- Hou, Y.; Guo, Y.; Qian, S.; Khan, H.; Han, G.; Zhang, W. A new thermoresponsive polymer of poly(N-acetoxylethyl acrylamide). Polymer 2019, 167, 159–166. [Google Scholar] [CrossRef]
- Chen, S.; Zhang, Y.; Wang, K.; Zhou, H.; Zhang, W. N-Ester-substituted polyacrylamides with a tunable lower critical solution temperature (LCST): The N-ester-substitute dependent thermoresponse. Polym. Chem. 2016, 7, 3509–3519. [Google Scholar] [CrossRef]
- Cao, M.; Han, G.; Duan, W.; Zhang, W. Synthesis of multi-arm star thermo-responsive polymers and topology effects on phase transition. Polym. Chem. 2018, 9, 2625–2633. [Google Scholar] [CrossRef]
- McLeary, J.B.; Calitz, F.M.; McKenzie, J.M.; Tonge, M.P.; Sanderson, R.D.; Klumperman, B. A 1H NMR investigation of reversible addition-fragmentation chain transfer polymerization kinetics and mechanisms. Initialization with different initiating and leaving groups. Macromolecules 2005, 38, 3151–3161. [Google Scholar] [CrossRef]
- Mori, H.; Kato, I.; Matsuyama, M.; Endo, T. RAFT polymerization of acrylamides containing proline and hydroxyproline moiety: Controlled synthesis of water-soluble and thermoresponsive polymers. Macromolecules 2008, 41, 5604–5615. [Google Scholar] [CrossRef]
- Tong, Z.; Zeng, F.; Zheng, X.; Sato, T. Inverse molecular weight dependence of cloud points for aqueous poly(N-isopropylacrylamide) solutions. Macromolecules 1999, 32, 4488–4490. [Google Scholar] [CrossRef]
- Narrainen, A.P.; Pascual, S.; Haddleton, D.M. Amphiphilic diblock, triblock, and star block copolymers by living radical polymerization: Synthesis and aggregation behavior. J. Polym. Sci. Part A 2002, 40, 439–450. [Google Scholar] [CrossRef]
- Güner, P.T.; Demirel, A.L. Effect of anions on the cloud point temperature of aqueous poly(2-ethyl-2-oxazoline) solutions. J. Phys. Chem. B 2012, 116, 14510–14514. [Google Scholar] [CrossRef]












Publisher’s Note: MDPI stays neutral with regard to jurisdictional claims in published maps and institutional affiliations. |
© 2020 by the authors. Licensee MDPI, Basel, Switzerland. This article is an open access article distributed under the terms and conditions of the Creative Commons Attribution (CC BY) license (http://creativecommons.org/licenses/by/4.0/).
Share and Cite
Liu, X.; Hou, Y.; Zhang, Y.; Zhang, W. Thermoresponsive Polymers of Poly(2-(N-alkylacrylamide)ethyl acetate)s. Polymers 2020, 12, 2464. https://doi.org/10.3390/polym12112464
Liu X, Hou Y, Zhang Y, Zhang W. Thermoresponsive Polymers of Poly(2-(N-alkylacrylamide)ethyl acetate)s. Polymers. 2020; 12(11):2464. https://doi.org/10.3390/polym12112464
Chicago/Turabian StyleLiu, Xue, Yuwen Hou, Yimin Zhang, and Wangqing Zhang. 2020. "Thermoresponsive Polymers of Poly(2-(N-alkylacrylamide)ethyl acetate)s" Polymers 12, no. 11: 2464. https://doi.org/10.3390/polym12112464
APA StyleLiu, X., Hou, Y., Zhang, Y., & Zhang, W. (2020). Thermoresponsive Polymers of Poly(2-(N-alkylacrylamide)ethyl acetate)s. Polymers, 12(11), 2464. https://doi.org/10.3390/polym12112464
