Flexible Nanocomposites Based on Polydimethylsiloxane Matrices with DNA-Modified Graphene Filler: Curing Behavior by Differential Scanning Calorimetry
Abstract
1. Introduction
2. Materials and Methods
2.1. Materials
2.2. Preparation of Nanocomposite Mixtures
2.3. DSC Experiments
2.4. Kinetic Models for DSC Analysis
2.5. Characterization of Nanocomposites after Cure
3. Results and Discussion
3.1. Calorimetry Analysis
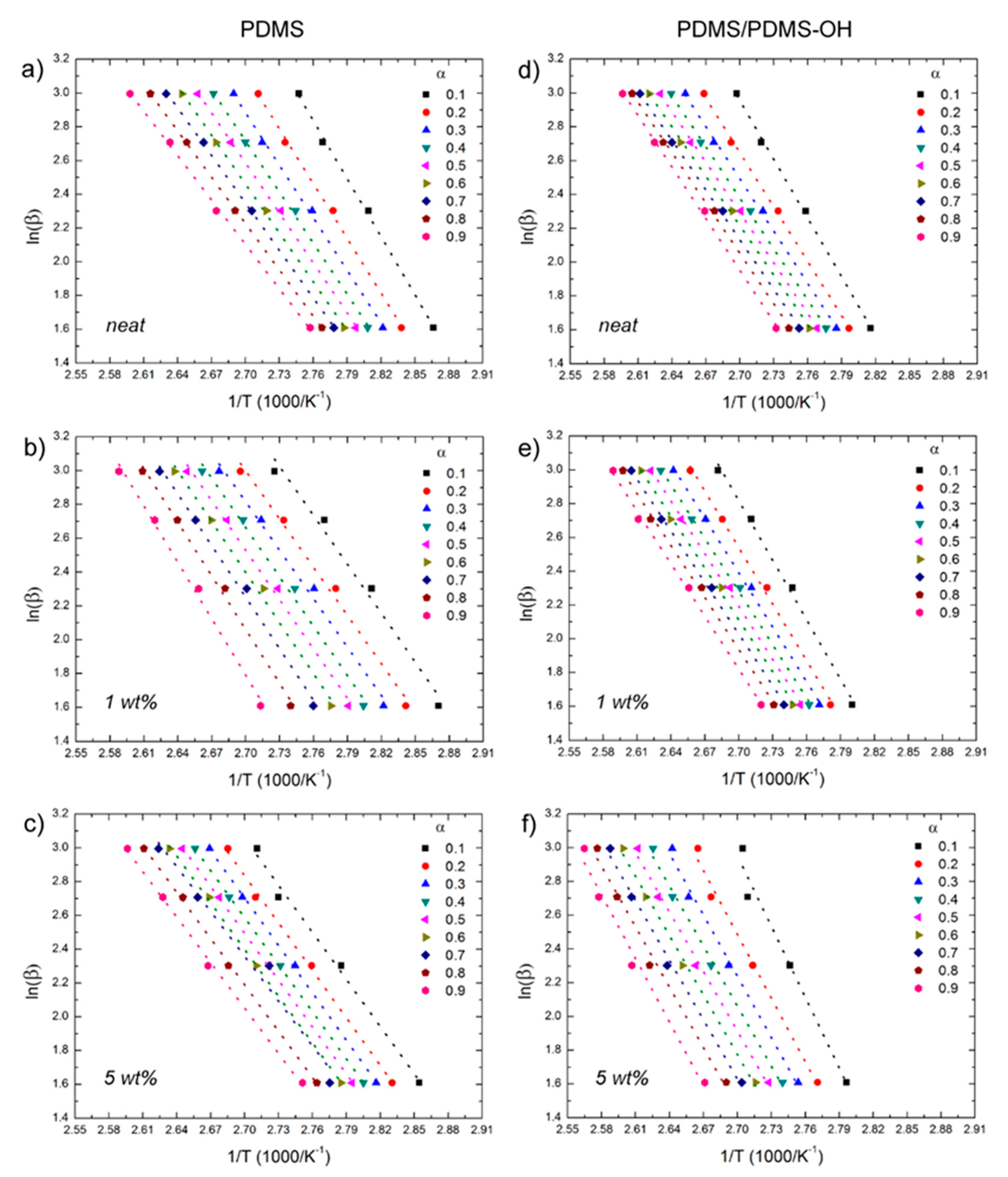
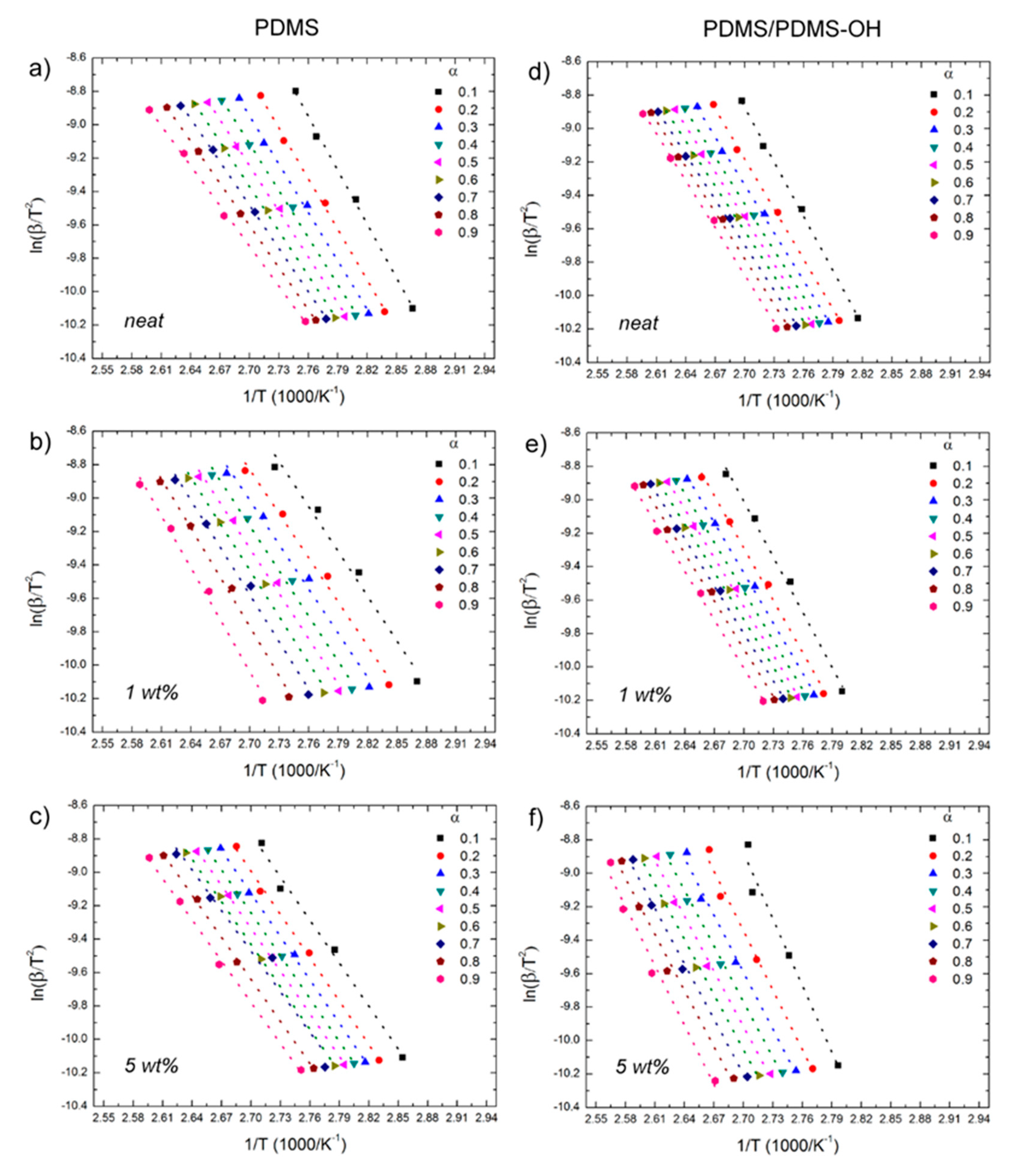
3.2. Modeling of the Nanocomposites Curing Reactions
3.3. Mechanical Properties and Analysis of Surface Wettability
4. Conclusions
Author Contributions
Funding
Conflicts of Interest
References
- Michel, S.; Chu, B.T.; Grimm, S.; Nüesch, F.A.; Borgschulte, A.; Opris, D.M. Self-healing electrodes for dielectric elastomer actuators. J. Mater. Chem. 2012, 22, 20736–20741. [Google Scholar] [CrossRef]
- Li, Y.Q.; Zhu, W.B.; Yu, X.G.; Huang, P.; Fu, S.Y.; Hu, N.; Liao, K. Multifunctional Wearable Device Based on Flexible and Conductive Carbon Sponge/Polydimethylsiloxane Composite. ACS Appl. Mater. Interfaces 2016, 8, 33189–33196. [Google Scholar] [CrossRef] [PubMed]
- Zhang, R.; Ying, C.; Gao, H.; Liu, Q.; Fu, X.; Hu, S. Highly flexible strain sensors based on polydimethylsiloxane/carbon nanotubes (CNTs) prepared by a swelling/permeating method and enhanced sensitivity by CNTs surface modification. Compos. Sci. Technol. 2019, 171, 218–225. [Google Scholar] [CrossRef]
- Kim, H.; Abdala, A.A.; Macosko, C.W. Graphene/Polymer Nanocomposites. Macromolecules 2010, 43, 6515–6530. [Google Scholar] [CrossRef]
- Ozbas, B.; O’Neill, C.D.; Register, R.A.; Aksay, I.A.; Prud’homme, R.K.; Adamson, D.H. Multifunctional elastomer nanocomposites with functionalized graphene single sheets. J. Polym. Sci. Part. B Polym. Phys. 2012, 50, 910–916. [Google Scholar] [CrossRef]
- Zhao, Y.H.; Zhang, Y.F.; Bai, S.L.; Yuan, X.W. Carbon fibre/graphene foam/polymer composites with enhanced mechanical and thermal properties. Compos. Part. B 2016, 94, 102–108. [Google Scholar] [CrossRef]
- Yan, C.; Kang, W.; Wang, J.; Cui, M.; Wang, X.; Foo, C.Y.; Chee, K.J.; Lee, P.S. Stretchable and Wearable Electrochromic Devices. ACS Nano 2014, 8, 316–322. [Google Scholar] [CrossRef]
- Gong, S.; Schwalb, W.; Wang, Y.; Chen, Y.; Tang, Y.; Si, J.; Shirinzadeh, B.; Cheng, W. A wearable and highly sensitive pressure sensor with ultrathin gold nanowires. Nat. Commun. 2014, 5, 3132. [Google Scholar] [CrossRef]
- Yu, Z.; Drzal, L.T. Functionalized graphene oxide as coupling agent for graphene nanoplatelet/epoxy composites. Polym. Compos. 2020, 41, 920–929. [Google Scholar] [CrossRef]
- Santonicola, M.G.; Coscia, M.G.; Sirilli, M.; Laurenzi, S. Nanomaterial-based biosensors for a real-time detection of biological damage by UV light. In Proceedings of the 37th Annual International Conference of the IEEE Engineering in Medicine and Biology Society, EMBC, Milan, Italy, 25–29 August 2015; pp. 4391–4394. [Google Scholar] [CrossRef]
- Toto, E.; Santonicola, M.G.; Mancini, M.C.; Laurenzi, S. Ultraviolet-sensing surfaces based on hybrid nanocomposites for radiation monitoring systems. In Proceedings of the IEEE International Workshop on Metrology for AeroSpace, MetroAeroSpace, Padua, Italy, 21–23 June 2017; pp. 369–373. [Google Scholar] [CrossRef]
- Ravanat, J.-L.; Douki, T.; Cadet, J. Direct and indirect effects of UV radiation on DNA and its components. J. Photochem. Photobiol. B 2001, 63, 88–102. [Google Scholar] [CrossRef]
- Toto, E.; Palombi, M.; Laurenzi, S.; Santonicola, M.G. Functional nanocomposites with graphene-DNA hybrid fillers: Synthesis and surface properties under UV irradiation. Ceram. Int. 2019, 45, 9631–9637. [Google Scholar] [CrossRef]
- Hain, T.C.; Kroeker, K.; Stich, D.G.; Hertel, T. Influence of DNA conformation on the dispersion of SWNTs: Single-strand DNA vs. hairpin DNA. Soft Matter 2012, 8, 2820–2823. [Google Scholar] [CrossRef]
- Patil, A.J.; Vickery, J.L.; Scott, T.B.; Mann, S. Aqueous stabilization and self-assembly of graphene sheets into layered bio-nanocomposites using DNA. Adv. Mater. 2009, 21, 3159–3164. [Google Scholar] [CrossRef]
- Solon, J.; Levental, I.; Sengupta, K.; Georges, P.C.; Janmey, P.A. Fibroblast adaptation and stiffness matching to soft elastic substrates. Biophys. J. 2007, 93, 4453–4461. [Google Scholar] [CrossRef]
- Amjadi, M.; Kyung, K.U.; Park, I.; Sitti, M. Stretchable, Skin-Mountable, and Wearable Strain Sensors and Their Potential Applications: A Review. Adv. Funct. Mater. 2016, 26, 1678–1698. [Google Scholar] [CrossRef]
- Shu, Y.; Tian, H.; Yang, Y.; Li, C.; Cui, Y.; Mi, W.; Li, Y.; Wang, Z.; Deng, N.; Peng, B.; et al. Surface-modified piezoresistive nanocomposite flexible pressure sensors with high sensitivity and wide linearity. Nanoscale 2015, 7, 8636–8644. [Google Scholar] [CrossRef]
- Santonicola, M.G. Label-Free Biosensing Platforms Based on Graphene/DNA Interfaces. In Graphene Bioelectronics; Tiwari, A., Ed.; Elsevier: Amsterdam, The Netherlands, 2018; Chapter 8; pp. 177–191. [Google Scholar] [CrossRef]
- Botti, S.; Rufoloni, A.; Laurenzi, S.; Gay, S.; Rindzevicius, T.; Schmidt, M.S.; Santonicola, M.G. DNA self-assembly on graphene surface studied by SERS mapping. Carbon 2016, 109, 363–372. [Google Scholar] [CrossRef]
- Zuluaga-Parra, J.D.; Sanchez-Valdes, S.; Ramos-de Valle, L.F.; Flores-Gallardo, S.; Uribe-Calderón, J.A.; Beltrán-Ramírez, F.I.; Romero-García, J.; Narro-Céspedes, R.I.; Morales-Cepeda, A.B.; Lozano-Ramírez, T.; et al. Effect of magnetite nanoparticles and their surface modification on the mechanical and magnetic properties of silicon-based magnetic elastomer nanocomposite. Polym. Compos. 2019, 40, 3981–3988. [Google Scholar] [CrossRef]
- White, S.R.; Hahn, H. Process modeling of composite materials: Residual stress development during cure. Part II. Experimental validation. J. Compos. Mater. 1992, 26, 2423–2453. [Google Scholar] [CrossRef]
- Pisupati, A.; Ayadi, A.; Deléglise-Lagardère, M.; Park, C.H. Influence of resin curing cycle on the characterization of the tensile properties of flax fibers by impregnated fiber bundle test. Composites Part. A 2019, 126, 105572. [Google Scholar] [CrossRef]
- Puglia, D.; Valentini, L.; Kenny, J.M. Analysis of the cure reaction of carbon nanotubes/epoxy resin composites through thermal analysis and Raman spectroscopy. J. Appl. Polym. Sci. 2003, 88, 452–458. [Google Scholar] [CrossRef]
- Hardis, R.; Jessop, J.L.P.; Peters, F.E.; Kessler, M.R. Cure kinetics characterization and monitoring of an epoxy resin using DSC, Raman spectroscopy, and DEA. Compos. Part. A 2013, 49, 100–108. [Google Scholar] [CrossRef]
- Monti, M.; Puglia, D.; Natali, M.; Torre, L.; Kenny, J.M. Effect of carbon nanofibers on the cure kinetics of unsaturated polyester resin: Thermal and chemorheological modelling. Compos. Sci. Technol. 2011, 71, 1507–1516. [Google Scholar] [CrossRef][Green Version]
- Zhou, T.; Wang, X.; Liu, X.; Xiong, D. Influence of multi-walled carbon nanotubes on the cure behavior of epoxy-imidazole system. Carbon 2009, 47, 1112–1118. [Google Scholar] [CrossRef]
- Yu, J.H.; Duan, J.K.; Peng, W.Y.; Wang, L.C.; Peng, P.; Jiang, P.K. Influence of nano-AlN particles on thermal conductivity, thermal stability and cure behavior of cycloaliphatic epoxy/trimethacrylate system. Express Polym. Lett. 2011, 5, 132–141. [Google Scholar] [CrossRef]
- Pérez, J.; Oliet, M.; Alonso, M.; Rodríguez, F. Cure kinetics of lignin–novolac resins studied by isoconversional methods. Thermochim. Acta 2009, 487, 39–42. [Google Scholar] [CrossRef]
- Domínguez, J.; Grivel, J.-C.; Madsen, B. Study on the non-isothermal curing kinetics of a polyfurfuryl alcohol bioresin by DSC using different amounts of catalyst. Thermochim. Acta 2012, 529, 29–35. [Google Scholar] [CrossRef]
- Kuo, P.Y.; Yan, N.; Sain, M. Influence of cellulose nanofibers on the curing behavior of epoxy/amine systems. Eur. Polym. J. 2013, 49, 3778–3787. [Google Scholar] [CrossRef]
- Ghaemy, M.; Nasab, S.M.A.; Barghamadi, M. Preparation and nonisothermal cure kinetics of DGEBA-nanosilica particles composites. Polym. Compos. 2008, 29, 165–172. [Google Scholar] [CrossRef]
- Kissinger, H.E. Reaction kinetics in differential thermal analysis. Anal. Chem. 1957, 29, 1702–1706. [Google Scholar] [CrossRef]
- Santonicola, M.G.; Coscia, M.G.; Botti, S.; Laurenzi, S. Graphene/DNA nanostructured films for bioinspired sensing of UV radiation effects. In Proceedings of the International Astronautical Congress, Toronto, ON, Canada, 29 September–3 October 2014; pp. 6313–6317. [Google Scholar]
- Vyazovkin, S. Evaluation of activation energy of thermally stimulated solid-state reactions under arbitrary variation of temperature. J. Comput. Chem. 1997, 18, 393–402. [Google Scholar] [CrossRef]
- Vyazovkin, S.; Sbirrazzuoli, N. Kinetic methods to study isothermal and nonisothermal epoxy-anhydride cure. Macromol. Chem. Phys. 1999, 200, 2294–2303. [Google Scholar] [CrossRef]
- Vyazovkin, S.; Burnham, A.K.; Criado, J.M.; Pérez-Maqueda, L.A.; Popescu, C.; Sbirrazzuoli, N. ICTAC Kinetics Committee recommendations for performing kinetic computations on thermal analysis data. Thermochim. Acta 2011, 520, 1–19. [Google Scholar] [CrossRef]
- Ozawa, T. A new method of analyzing thermogravimetric data. Bull. Chem. Soc. Jpn. 1965, 38, 1881–1886. [Google Scholar] [CrossRef]
- Flynn, J.H.; Wall, L.A. General treatment of the thermogravimetry of polymers. J. Res. Nat. Bur. Stand. 1966, 70, 487–523. [Google Scholar] [CrossRef]
- Akahira, T.; Sunose, T. Method of determining activation deterioration constant of electrical insulating materials. Res. Rep. Chiba Inst. Technol. Sci. Technol. 1971, 16, 22–31. [Google Scholar]
- Doyle, C.D. Estimating isothermal life from thermogravimetric data. J. Appl. Polym. Sci. 1962, 6, 639–642. [Google Scholar] [CrossRef]
- Li, X.; Bhushan, B. A review of nanoindentation continuous stiffness measurement technique and its applications. Mater. Charact. 2002, 48, 11–36. [Google Scholar] [CrossRef]
- Xu, J.; Razeeb, K.M.; Roy, S. Thermal properties of single walled carbon nanotube-silicone nanocomposites. J. Polym. Sci. Part. B: Polym. Phys. 2008, 46, 1845–1852. [Google Scholar] [CrossRef]
- Tao, K.; Yang, S.; Grunlan, J.C.; Kim, Y.S.; Dang, B.; Deng, Y.; Thomas, R.L.; Wilson, B.L.; Wei, X. Effects of carbon nanotube fillers on the curing processes of epoxy resin-based composites. J. Appl. Polym. Sci. 2006, 102, 5248–5254. [Google Scholar] [CrossRef]
- Johnston, I.D.; McCluskey, D.K.; Tan, C.K.L.; Tracey, M.C. Mechanical characterization of bulk Sylgard 184 for microfluidics and microengineering. J. Micromech. Microeng. 2014, 24, 35017. [Google Scholar] [CrossRef]
- Sbirrazzuoli, N.; Vincent, L.; Mija, A.; Guigo, N. Integral, differential and advanced isoconversional methods: Complex mechanisms and isothermal predicted conversion–time curves. Chemom. Intell. Lab. Syst. 2009, 96, 219–226. [Google Scholar] [CrossRef]
- Xia, Y.; Huang, Y.; Li, Y.; Liao, S.; Long, Q.; Liang, J. LaPO4: Ce, Tb, Yb phosphor—synthesis and kinetics study for thermal process of precursor by Vyazovkin, OFW, KAS, Starink, and Mastplosts methods. J. Therm. Anal. Calorim. 2015, 120, 1635–1643. [Google Scholar] [CrossRef]
- Salehi, M.; Clemens, F.; Graule, T.; Grobéty, B. Kinetic analysis of the polymer burnout in ceramic thermoplastic processing of the YSZ thin electrolyte structures using model free method. Appl. Energy 2012, 95, 147–155. [Google Scholar] [CrossRef]
- Yu, A.; Ramesh, P.; Sun, X.; Bekyarova, E.; Itkis, M.E.; Haddon, R.C. Enhanced thermal conductivity in a hybrid graphite nanoplatelet–Carbon nanotube filler for epoxy composites. Adv. Mater. 2008, 20, 4740–4744. [Google Scholar] [CrossRef]
- Song, Y.; Yu, J.; Yu, L.; Alam, F.E.; Dai, W.; Li, C.; Jiang, N. Enhancing the thermal, electrical, and mechanical properties of silicone rubber by addition of graphene nanoplatelets. Mater. Des. 2015, 88, 950–957. [Google Scholar] [CrossRef]











| Sample | β (°C/min) | Tonset (°C) | Tpeak (°C) | Tend (°C) | ΔH (J/g) |
|---|---|---|---|---|---|
| PDMS | 5 10 15 20 | 83.3 91.9 98.0 101.8 | 90.2 99.3 105.7 110.2 | 96.4 106.7 112.6 117.8 | 22.0 22.6 24.1 25.2 |
| PDMS/ GNP–DNA 1 wt% | 5 10 15 20 | 83.9 92.0 98.2 103.0 | 90.7 99.0 105.9 111.5 | 96.8 106.0 113.4 120.7 | 23.9 21.6 22.9 24.3 |
| PDMS/ GNP–DNA 5 wt% | 5 10 15 20 | 83.5 93.4 98.2 103.7 | 90.2 99.8 105.7 111.5 | 96.6 106.4 112.7 119.6 | 23.7 24.3 24.5 26.6 |
| Sample | β (°C/min) | Tonset (°C) | Tpeak (°C) | Tend (°C) | ΔH (J/g) |
|---|---|---|---|---|---|
| PDMS/PDMS–OH | 5 10 15 20 | 86.9 96.1 102.2 106.1 | 92.0 101.1 107.1 111.3 | 97.2 105.9 112.0 116.8 | 22.5 23.6 24.6 24.5 |
| PDMS/PDMS–OH/ GNP–DNA 1 wt% | 5 10 15 20 | 89.2 97.4 103.4 107.4 | 93.2 102.5 108.6 112.7 | 97.1 107 113.5 117.6 | 20.6 20.4 20.7 22.6 |
| PDMS/PDMS–OH/ GNP–DNA 5 wt% | 5 10 15 20 | 92.2 101.7 106.0 109.0 | 99.7 108.7 115.1 119.3 | 107.1 115.5 112.9 128.3 | 16.6 17.7 13.4 12.4 |
| Sample | E (kJ/mol) | ||
|---|---|---|---|
| Kissinger | OFW | KAS | |
| PDMS | 74.2 (0.9987) | 78.6 ± 6.3 | 76.6 ± 6.7 |
| PDMS/GNP–DNA 1 wt% | 71.2 (0.9884) | 79.1 ± 4.0 | 77.1 ± 4.1 |
| PDMS/GNP–DNA 5 wt% | 70.4 (0.9956) | 72.6 ± 1.4 | 70.3 ± 1.5 |
| PDMS/PDMS–OH | 77.5 (0.9996) | 81.4 ± 5.7 | 78.9 ± 4.6 |
| PDMS/PDMS–OH/GNP–DNA 1 wt% | 77.0 (0.9997) | 84.0 ± 3.9 | 82.2 ± 4.1 |
| PDMS/PDMS–OH/GNP–DNA 5 wt% | 79.7 (0.9989) | 96.8 ± 5.5 | 95.6 ± 5.8 |
© 2020 by the authors. Licensee MDPI, Basel, Switzerland. This article is an open access article distributed under the terms and conditions of the Creative Commons Attribution (CC BY) license (http://creativecommons.org/licenses/by/4.0/).
Share and Cite
Toto, E.; Laurenzi, S.; Santonicola, M.G. Flexible Nanocomposites Based on Polydimethylsiloxane Matrices with DNA-Modified Graphene Filler: Curing Behavior by Differential Scanning Calorimetry. Polymers 2020, 12, 2301. https://doi.org/10.3390/polym12102301
Toto E, Laurenzi S, Santonicola MG. Flexible Nanocomposites Based on Polydimethylsiloxane Matrices with DNA-Modified Graphene Filler: Curing Behavior by Differential Scanning Calorimetry. Polymers. 2020; 12(10):2301. https://doi.org/10.3390/polym12102301
Chicago/Turabian StyleToto, Elisa, Susanna Laurenzi, and Maria Gabriella Santonicola. 2020. "Flexible Nanocomposites Based on Polydimethylsiloxane Matrices with DNA-Modified Graphene Filler: Curing Behavior by Differential Scanning Calorimetry" Polymers 12, no. 10: 2301. https://doi.org/10.3390/polym12102301
APA StyleToto, E., Laurenzi, S., & Santonicola, M. G. (2020). Flexible Nanocomposites Based on Polydimethylsiloxane Matrices with DNA-Modified Graphene Filler: Curing Behavior by Differential Scanning Calorimetry. Polymers, 12(10), 2301. https://doi.org/10.3390/polym12102301
