Color-Indicating, Label-Free, Dye-Doped Liquid Crystal Organic-Polymer-Based-Bioinspired Sensor for Biomolecule Immunodetection
Abstract
1. Introduction
2. Materials and Methods
2.1. Materials
2.2. Fabrication Methods
3. Results and Discussions
3.1. Mechanisms of the DDLC Biosensors
3.2. Smart-Phone Images from DDLC Biosensors
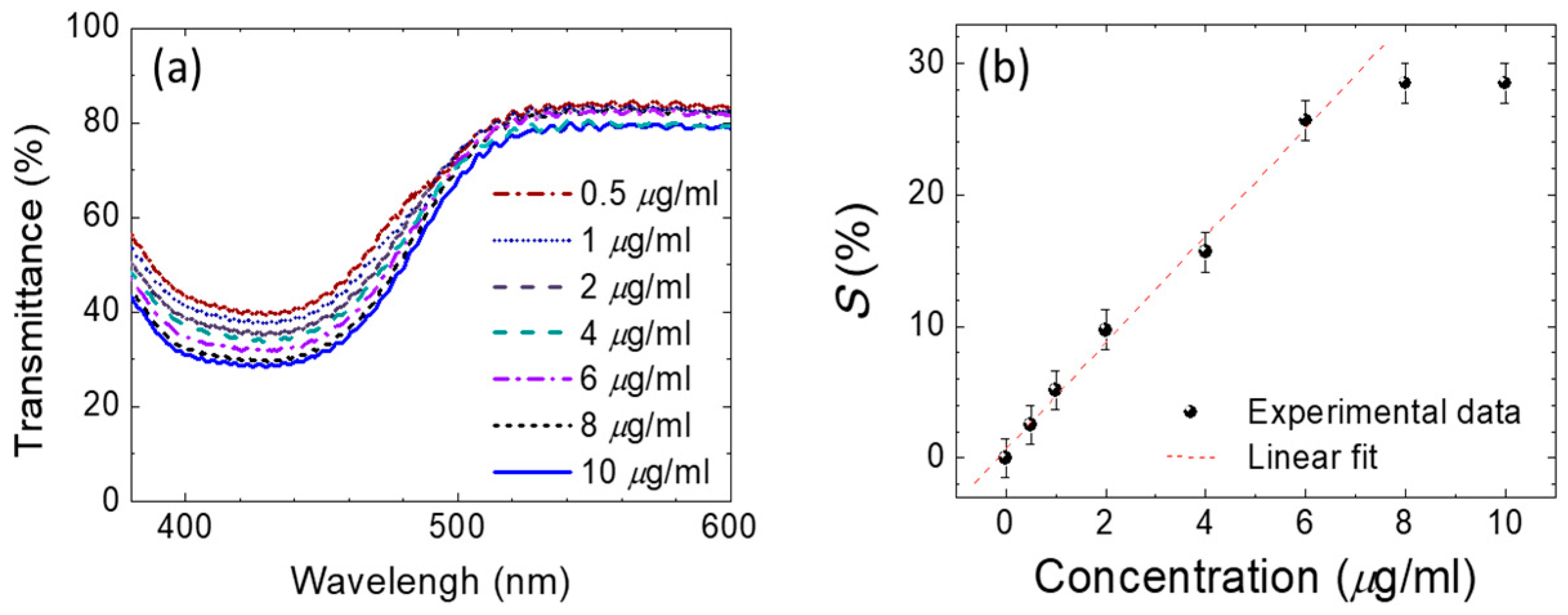
3.3. Quantitation and for DDLC Biosensors
3.4. Quantitation for Immunoassay DDLC Biosensors
4. Conclusions
Author Contributions
Funding
Conflicts of Interest
References
- Kim, S.-R.; Abbott, N.L. Rubbed Films of Functionalized Bovine Serum Albumin as Substrates for the Imaging of Protein-Receptor Interactions Using Liquid Crystals. Adv. Mater. 2001, 13, 1445–1449. [Google Scholar] [CrossRef]
- Xue, C.-Y.; Yang, K.L. Dark-to-Bright Optical Responses of Liquid Crystals Supported on Solid Surfaces Decorated with Proteins. Langmuir 2008, 24, 563–567. [Google Scholar] [CrossRef] [PubMed]
- Clare, B.H.; Abbott, N.L. Orientations of Nematic Liquid Crystals on Surfaces Presenting Controlled Densities of Peptides: Amplification of Protein−Peptide Binding Events. Langmuir 2005, 21, 6451–6461. [Google Scholar] [CrossRef]
- Chen, C.-H.; Yang, K.L. Detection and Quantification of DNA Adsorbed on Solid Surfaces by Using Liquid Crystals. Langmuir 2010, 26, 1427–1430. [Google Scholar] [CrossRef] [PubMed]
- Gupta, V.K. Optical Amplification of Ligand-Receptor Binding Using Liquid Crystals. Science 1998, 279, 2077–2080. [Google Scholar] [CrossRef] [PubMed]
- Wong, T.-S.; Chen, T.; Shen, X.; Ho, C.-M. Nanochromatography Driven by the Coffee Ring Effect. Anal. Chem. 2011, 83, 1871–1873. [Google Scholar] [CrossRef]
- Su, H.W.; Lee, Y.H.; Lee, M.J.; Hsu, Y.C.; Lee, W. Label-free immunodetection of the cancer biomarker CA125 using high-Deltan liquid crystals. J. Biomed. Opt. 2014, 19, 077006. [Google Scholar] [CrossRef]
- Sun, S.-H.; Lee, M.-J.; Lee, Y.-H.; Lee, W.; Song, X.; Chen, C.-Y. Immunoassays for the cancer biomarker CA125 based on a large-birefringence nematic liquid-crystal mixture. Biomed. Opt. Express 2014, 6, 245–256. [Google Scholar] [CrossRef]
- Su, H.-W.; Lee, M.-J.; Lee, W. Surface modification of alignment layer by ultraviolet irradiation to dramatically improve the detection limit of liquid-crystal-based immunoassay for the cancer biomarker CA125. J. Biomed. Opt. 2015, 20, 57004. [Google Scholar] [CrossRef]
- Sharma, V.; Kumar, A.; Ganguly, P.; Biradar, A. Highly sensitive bovine serum albumin biosensor based on liquid crystal. Appl. Phys. Lett. 2014, 104, 43705. [Google Scholar] [CrossRef]
- Kim, S.-R.; Shah, R.R.; Abbott, N.L. Orientations of liquid crystals on mechanically rubbed films of bovine serum albumin: A possible substrate for biomolecular assays based on liquid crystals. Anal. Chem. 2000, 72, 4646–4653. [Google Scholar] [CrossRef] [PubMed]
- Amin, N.U.; Siddiqi, H.M.; Yang, K.L.; Hussain, Z.; Majeed, N. Bovine Serum Albumin Protein-Based Liquid Crystal Biosensors for Optical Detection of Toxic Heavy Metals in Water. Sensors 2020, 20, 298. [Google Scholar] [CrossRef] [PubMed]
- Lin, T.-H.; Li, Y.; Wang, C.-T.; Jau, H.-C.; Chen, C.-W.; Li, C.-C.; Bisoyi, H.K.; Bunning, T.J.; Li, Q. Red, Green and Blue Reflections Enabled in an Optically Tunable Self-Organized 3D Cubic Nanostructured Thin Film. Adv. Mater. 2013, 25, 5050–5054. [Google Scholar] [CrossRef] [PubMed]
- Hsiao, Y.-C.; Wang, H.-T.; Lee, W. Thermodielectric generation of defect modes in a photonic liquid crystal. Opt. Express 2014, 22, 3593–3599. [Google Scholar] [CrossRef] [PubMed]
- Hsiao, Y.-C.; Lee, W. Polymer stabilization of electrohydrodynamic instability in non-iridescent cholesteric thin films. Opt. Express 2015, 23, 22636–22642. [Google Scholar] [CrossRef] [PubMed]
- Hsiao, Y.-C. Liquid crystal-based tunable photonic crystals for pulse compression and signal enhancement in multiphoton fluorescence. Opt. Mater. Express 2016, 6, 1929–1934. [Google Scholar] [CrossRef]
- Hsiao, Y.-C.; Sung, Y.-C.; Lee, M.-J.; Lee, W. Highly sensitive color-indicating and quantitative biosensor based on cholesteric liquid crystal. Biomed. Opt. Express 2015, 6, 5033–5038. [Google Scholar] [CrossRef]
- Chen, F.-L.; Fan, Y.-J.; Lin, J.-D.; Hsiao, Y.-C. Label-free, color-indicating, and sensitive biosensors of cholesteric liquid crystals on a single vertically aligned substrate. Biomed. Opt. Express 2019, 10, 4636–4642. [Google Scholar] [CrossRef]
- Kozma, P.; Hamori, A.; Cottier, K.; Kurunczi, S.; Horvath, R. Grating coupled interferometry for optical sensing. Appl. Phys. A 2009, 97, 5–8. [Google Scholar] [CrossRef]
- Kozma, P.; Hamori, A.; Kurunczi, S.; Cottier, K.; Horvath, R. Grating coupled optical waveguide interferometer for label-free biosensing. Sens. Actuators B Chem. 2011, 155, 446–450. [Google Scholar] [CrossRef]
- Abdulhalim, I. Optimized guided mode resonant structure as thermooptic sensor and liquid crystal tunable filter. Chin. Opt. Lett. 2009, 7, 667–670. [Google Scholar] [CrossRef]
- Abdulhalim, I. Plasmonic Sensing Using Metallic Nano-Sculptured Thin Films. Small 2014, 10, 3499–3514. [Google Scholar] [CrossRef] [PubMed]
- Isaacs, S.; Harté, E.; Alves, I.; Abdulhalim, I. Improved Detection of Plasmon Waveguide Resonance Using Diverging Beam, Liquid Crystal Retarder, and Application to Lipid Orientation Determination. Sensors 2019, 19, 1402. [Google Scholar] [CrossRef] [PubMed]
- Wu, P.-C.; Karn, A.; Lee, M.-J.; Lee, W.; Chen, C.-Y. Dye-liquid-crystal-based biosensing for quantitative protein assay. Dyes Pigments 2018, 150, 73–78. [Google Scholar] [CrossRef]
- Wiederschain, G.Y. The Molecular Probes handbook. A guide to fluorescent probes and labeling technologies. Biochemistry 2011, 76, 1276. [Google Scholar] [CrossRef]
- Noble, J.E.; Bailey, M.J. Quantitation of protein. Methods Enzymol. 2009, 463, 73–95. [Google Scholar]
- Ahmed, H. Principles and Reactions of Protein Extraction, Purification, and Characterization; CRC Press: Boca Raton, FL, USA, 2005. [Google Scholar]
- Ernst, O.; Zor, T. Linearization of the Bradford Protein Assay. J. Vis. Exp. 2010, 38, e1918. [Google Scholar] [CrossRef]
- Hsiao, Y.-C.; Lee, W.; Huang, K.-C. Photo-switchable chiral liquid crystal with optical tristability enabled by a photoresponsive azo-chiral dopant. Opt. Express 2017, 25, 2687. [Google Scholar] [CrossRef]
- Chiang, Y.-L.; Lee, M.-J.; Lee, W. Enhancing detection sensitivity in quantitative protein detection based on dye-doped liquid crystals. Dyes Pigments 2018, 157, 117–122. [Google Scholar] [CrossRef]
- Fan, Y.-J.; Chen, F.-L.; Liou, J.-C.; Huang, Y.-W.; Chen, C.-H.; Hong, Z.-Y.; Lin, J.-D.; Hsiao, Y.-C. Label-Free Multi-Microfluidic Immunoassays with Liquid Crystals on Polydimethylsiloxane Biosensing Chips. Polymers 2020, 12, 395. [Google Scholar] [CrossRef]









© 2020 by the authors. Licensee MDPI, Basel, Switzerland. This article is an open access article distributed under the terms and conditions of the Creative Commons Attribution (CC BY) license (http://creativecommons.org/licenses/by/4.0/).
Share and Cite
Huang, H.-M.; Chuang, E.-Y.; Chen, F.-L.; Lin, J.-D.; Hsiao, Y.-C. Color-Indicating, Label-Free, Dye-Doped Liquid Crystal Organic-Polymer-Based-Bioinspired Sensor for Biomolecule Immunodetection. Polymers 2020, 12, 2294. https://doi.org/10.3390/polym12102294
Huang H-M, Chuang E-Y, Chen F-L, Lin J-D, Hsiao Y-C. Color-Indicating, Label-Free, Dye-Doped Liquid Crystal Organic-Polymer-Based-Bioinspired Sensor for Biomolecule Immunodetection. Polymers. 2020; 12(10):2294. https://doi.org/10.3390/polym12102294
Chicago/Turabian StyleHuang, Haw-Ming, Er-Yuan Chuang, Fu-Lun Chen, Jia-De Lin, and Yu-Cheng Hsiao. 2020. "Color-Indicating, Label-Free, Dye-Doped Liquid Crystal Organic-Polymer-Based-Bioinspired Sensor for Biomolecule Immunodetection" Polymers 12, no. 10: 2294. https://doi.org/10.3390/polym12102294
APA StyleHuang, H.-M., Chuang, E.-Y., Chen, F.-L., Lin, J.-D., & Hsiao, Y.-C. (2020). Color-Indicating, Label-Free, Dye-Doped Liquid Crystal Organic-Polymer-Based-Bioinspired Sensor for Biomolecule Immunodetection. Polymers, 12(10), 2294. https://doi.org/10.3390/polym12102294

