A Personal Journey across Fluorescent Sensing and Logic Associated with Polymers of Various Kinds
Abstract
1. Introduction
2. Mapping Membrane-Bounded Species
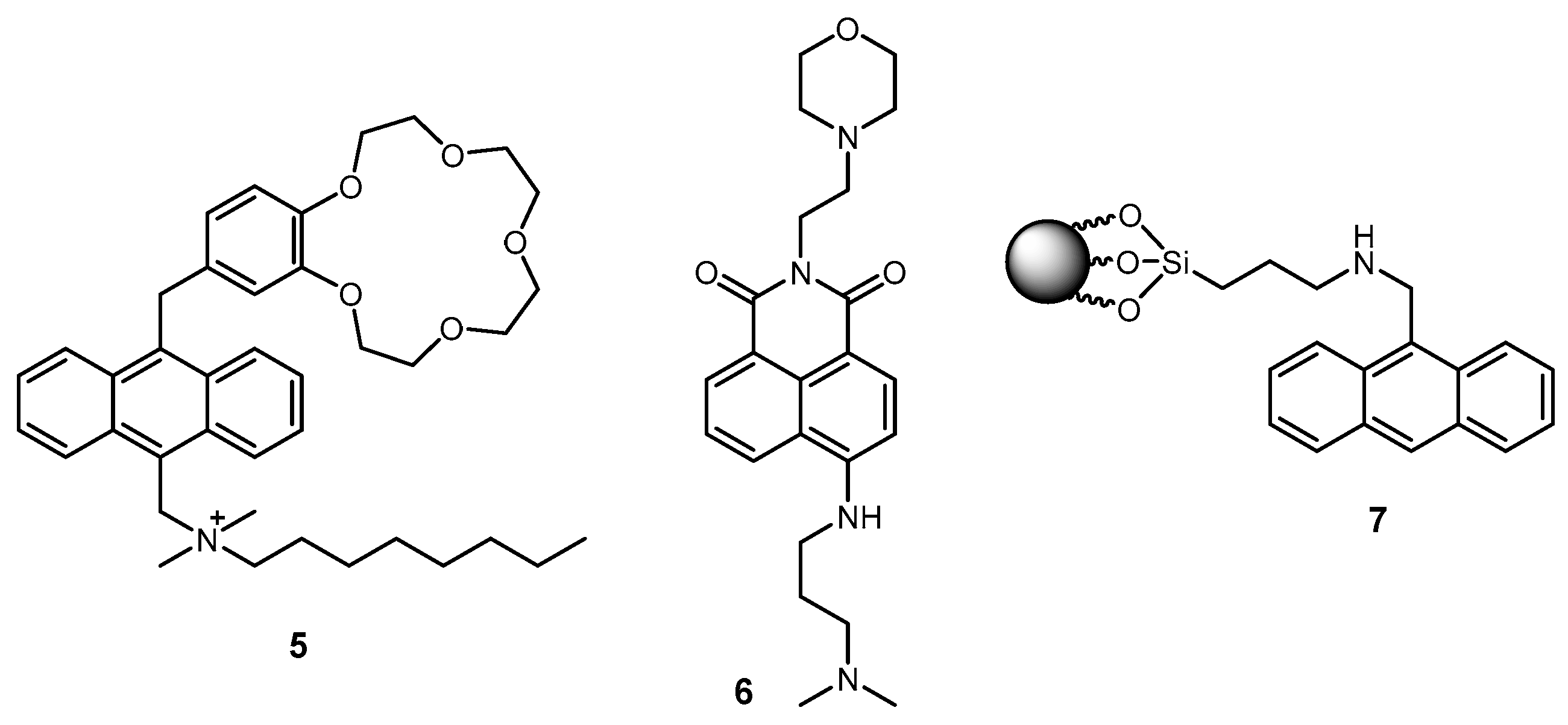
3. Solid-Bound Sensors
4. Molecular Computational Identification (MCID)
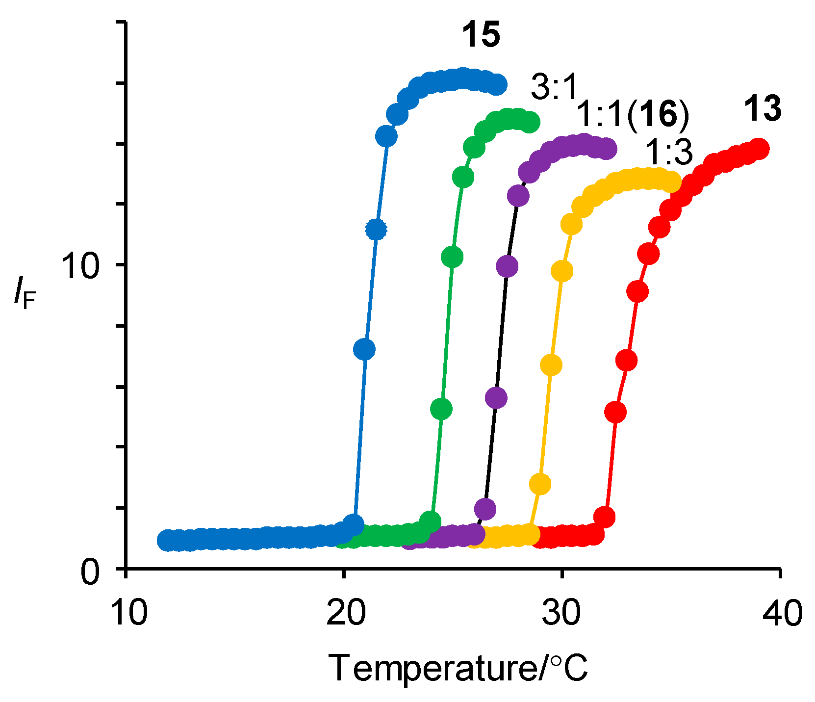
5. Molecular Thermometers
6. Conclusions
Author Contributions
Funding
Acknowledgments
Conflicts of Interest
References
- De Silva, A.P.; Gunaratne, H.Q.N.; Gunnlaugsson, T.; McCoy, C.P.; Maxwell, P.R.S.; Rademacher, J.T.; Rice, T.E. Photoionic devices with receptor-functionalized fluorophores. Pure Appl. Chem. 1996, 68, 1443–1448. [Google Scholar] [CrossRef]
- De Silva, A.P.; Gunaratne, H.Q.N.; Gunnlaugsson, T.; Huxley, A.J.M.; McCoy, C.P.; Rademacher, J.T.; Rice, T.E. Signaling recognition events with fluorescent sensors and switches. Chem. Rev. 1997, 97, 1515–1566. [Google Scholar] [CrossRef] [PubMed]
- De Silva, A.P.; Eilers, J.; Zlokarnik, G. Emerging fluorescence sensing technologies: From photophysical principles to cellular applications. Proc. Natl. Acad. Sci. USA 1999, 96, 8336–8337. [Google Scholar] [CrossRef] [PubMed]
- De Silva, A.P.; Fox, D.B.; Huxley, A.J.M.; Moody, T.S. Combining luminescence, coordination and electron transfer for signalling purposes. Coord. Chem. Rev. 2000, 205, 41–57. [Google Scholar] [CrossRef]
- De Silva, A.P.; Fox, D.B.; Moody, T.S.; Weir, S.M. Luminescent sensors and photonic switches. Pure Appl. Chem. 2001, 73, 503–511. [Google Scholar] [CrossRef]
- Daly, B.; Ling, J.; de Silva, A.P. Current developments in fluorescent PET (photoinduced electron transfer) sensors and switches. Chem. Soc. Rev. 2015, 44, 4203–4211. [Google Scholar] [CrossRef] [PubMed]
- Lakowicz, J.R. Principles of Fluorescence Spectroscopy, 3rd ed.; Springer: New York, NY, USA, 2006. [Google Scholar]
- Valeur, B.; Berberan-Santos, M.N. Molecular Fluorescence: Principles and Applications, 2nd ed.; Wiley-VCH: Weinheim, Germany, 2012. [Google Scholar]
- Weller, A. Electron-transfer and complex formation in the excited state. Pure Appl. Chem. 1968, 16, 115–123. [Google Scholar] [CrossRef]
- Balzani, V. (Ed.) Electron Transfer in Chemistry; Wiley-VCH: Weinheim, Germany, 2001. [Google Scholar]
- Malvino, A.P.; Brown, J.A. Digital Computer Electronics, 3rd ed.; Glencoe: Lake Forest, CA, USA, 1993. [Google Scholar]
- De Silva, A.P.; Gunaratne, H.Q.N.; McCoy, C.P. A molecular photoionic AND gate based on fluorescent signalling. Nature 1993, 364, 42–44. [Google Scholar] [CrossRef]
- Raymo, F.M. Digital processing and communication with molecular switches. Adv. Mater. 2002, 14, 401–414. [Google Scholar] [CrossRef]
- Katz, E.; Privman, V. Enzyme-based logic systems for information processing. Chem. Soc. Rev. 2010, 39, 1835–1857. [Google Scholar] [CrossRef]
- Amelia, M.; Zou, L.; Credi, A. Signal processing with multicomponent systems based on metal complexes. Coord. Chem. Rev. 2010, 254, 2267–2280. [Google Scholar] [CrossRef]
- De Silva, A.P.; Uchiyama, S. Molecular logic gates and luminescent sensors based on photoinduced electron transfer. Top. Curr. Chem. 2011, 300, 1–28. [Google Scholar] [PubMed]
- De Silva, A.P. Luminescent photoinduced electron transfer (PET) molecules for sensing and logic operations. J. Phys. Chem. Lett. 2011, 2, 2865–2871. [Google Scholar] [CrossRef]
- Feringa, B.L.; Browne, W.R. (Eds.) Molecular Switches, 2nd ed.; Wiley-VCH: Weinheim, Germany, 2011. [Google Scholar]
- De Ruiter, G.; van der Boom, M.E. Surface-confined assemblies and polymers for molecular logic. Acc. Chem. Res. 2011, 44, 563–573. [Google Scholar] [CrossRef] [PubMed]
- De Silva, A.P. Molecular logic gate arrays. Chem. Asian J. 2011, 6, 750–766. [Google Scholar] [CrossRef] [PubMed]
- Katz, E. (Ed.) Molecular and Supramolecular Information Processing; Wiley-VCH: Weinheim, Germany, 2012. [Google Scholar]
- Katz, E. (Ed.) Biomolecular Information Processing: From Logic Systems to Smart Sensors and Actuators; Wiley-VCH: Weinheim, Germany, 2012. [Google Scholar]
- Szaciłowski, K. Infochemistry: Information Processing at the Nanoscale; Wiley: Chichester, UK, 2012. [Google Scholar]
- Balzani, V.; Credi, A.; Venturi, M. Molecular logic circuits. ChemPhysChem 2003, 4, 49–59. [Google Scholar] [CrossRef]
- Gust, D.; Andréasson, J.; Pischel, U.; Moore, T.A.; Moore, A.L. Data and signal processing using photochromic molecules. Chem. Commun. 2012, 48, 1947–1957. [Google Scholar] [CrossRef] [PubMed]
- De Silva, A.P. Molecular Logic-Based Computation; Monographs in Supramolecular Chemistry No. 12; The Royal Society of Chemistry: Cambridge, UK, 2013. [Google Scholar]
- De Silva, A.P.; Uchiyama, S. Molecular Logic Gates—Functional Molecules with the Ability of Information Processing; Kodansha: Tokyo, Japan, 2014. (In Japanese) [Google Scholar]
- Stojanovic, M.N.; Stefanovic, D.; Rudchenko, S. Exercises in molecular computing. Acc. Chem. Res. 2014, 47, 1845–1852. [Google Scholar] [CrossRef]
- Ling, J.; Daly, B.; Silverson, V.A.D.; de Silva, A.P. Taking baby steps in molecular logic-based computation. Chem. Commun. 2015, 51, 8403–8409. [Google Scholar] [CrossRef]
- Andréasson, J.; Pischel, U. Molecules with a sense of logic: A progress report. Chem. Soc. Rev. 2015, 44, 1053–1069. [Google Scholar] [CrossRef]
- Andréasson, J.; Pischel, U. Molecules for security measures: From keypad locks to advanced communication protocols. Chem. Soc. Rev. 2018, 47, 2266–2279. [Google Scholar] [CrossRef] [PubMed]
- De Silva, A.P.; McClenaghan, N.D. Molecular-scale logic gates. Chem. Eur. J. 2004, 10, 574–586. [Google Scholar] [CrossRef] [PubMed]
- De Silva, A.P.; Leydet, Y.; Lincheneau, C.; McClenaghan, N.D. Chemical approaches to nanometre-scale logic gates. J. Phys. Condens. Matter 2006, 18, S1847–S1872. [Google Scholar] [CrossRef]
- Magri, D.C.; Vance, T.P.; de Silva, A.P. From complexation to computation: Recent progress in molecular logic. Inorg. Chim. Acta 2007, 360, 751–764. [Google Scholar] [CrossRef]
- De Silva, A.P.; Uchiyama, S.; Vance, T.P.; Wannalerse, B. A supramolecular chemistry basis for molecular logic and computation. Coord. Chem. Rev. 2007, 251, 1623–1632. [Google Scholar] [CrossRef]
- De Silva, A.P.; Uchiyama, S. Molecular logic and computing. Nat. Nanotechnol. 2007, 2, 399–410. [Google Scholar] [CrossRef] [PubMed]
- Balzani, V.; Credi, A.; Venturi, M. Molecular Devices and Machines: Concepts and Perspectives for the Nanoworld, 2nd ed.; Wiley-VCH: Weinheim, Germany, 2008. [Google Scholar]
- Andréasson, J.; Pischel, U. Smart molecules at work—Mimicking advanced logic operations. Chem. Soc. Rev. 2010, 39, 174–188. [Google Scholar] [CrossRef] [PubMed]
- Misra, R.; Bhattacharyya, S.P. Intramolecular Charge Transfer: Theory and Applications; Wiley-VCH: Weinheim, Germany, 2018. [Google Scholar]
- Grimshaw, J.; de Silva, A.P. Photochemistry and photocyclization of aryl halides. Chem. Soc. Rev. 1981, 10, 181–203. [Google Scholar] [CrossRef]
- De Silva, A.P.; de Silva, S.A. Fluorescent signalling crown ethers; ‘switching on’ of fluorescence by alkali metal ion recognition and binding in situ. J. Chem. Soc. Chem. Commun. 1986, 1709–1710. [Google Scholar] [CrossRef]
- Uchiyama, S.; Santa, T.; Okiyama, N.; Azuma, K.; Imai, K. Semi-empirical PM3 calculations predict the fluorescence quantum yields (Φ) of 4-monosubstituted benzofurazan compounds. J. Chem. Soc. Perkin Trans. 2 2000, 1199–1207. [Google Scholar] [CrossRef]
- Daly, B.; Moody, T.S.; Huxley, A.J.M.; Yao, C.; Schazmann, B.; Alves-Areias, A.; Malone, J.F.; Gunaratne, H.Q.N.; Nockemann, P.; de Silva, A.P. Molecular memory with downstream logic processing exemplified by switchable and self-indicating guest capture and release. Nat. Commun. 2019, 10, 49. [Google Scholar] [CrossRef] [PubMed]
- Ringsdorf, H. Hermann Staudinger and the future of polymer research jubilees—Beloved occasions for cultural piety. Angew. Chem. Int. Ed. 2004, 43, 1064–1076. [Google Scholar] [CrossRef] [PubMed]
- Berg, J.M.; Tymoczko, J.L.; Gatto, G.J., Jr.; Stryer, L. Biochemistry, 9th ed.; Freeman: New York, NY, USA, 2019. [Google Scholar]
- Rothemund, P.W.K. Folding DNA to create nanoscale shapes and patterns. Nature 2006, 440, 297–302. [Google Scholar] [CrossRef] [PubMed]
- Lam, K.S.; Salmon, S.E.; Hersh, E.M.; Hruby, V.J.; Kazmierski, W.M.; Knapp, R.J. A new type of synthetic peptide library for identifying ligand-binding activity. Nature 1991, 354, 82–84. [Google Scholar] [CrossRef] [PubMed]
- Harold, F.M. The Vital Force: A Study of Bioenergetics; Freeman: New York, NY, USA, 1986. [Google Scholar]
- De Silva, A.P.; Rupasinghe, R.A.D.D. A new class of fluorescent pH indicators based on photo-induced electron transfer. J. Chem. Soc. Chem. Commun. 1985, 1669–1670. [Google Scholar] [CrossRef]
- Bissell, R.A.; de Silva, A.P.; Gunaratne, H.Q.N.; Lynch, P.L.M.; Maguire, G.E.M.; Sandanayake, K.R.A.S. Molecular fluorescent signalling with ‘fluor–spacer–receptor’ systems: Approaches to sensing and switching devices via supramolecular photophysics. Chem. Soc. Rev. 1992, 21, 187–195. [Google Scholar] [CrossRef]
- De Silva, A.P.; Vance, T.P.; West, M.E.S.; Wright, G.D. Bright molecules with sense, logic, numeracy and utility. Org. Biomol. Chem. 2008, 6, 2468–2481. [Google Scholar] [CrossRef]
- Bissell, R.A.; Bryan, A.J.; de Silva, A.P.; McCoy, C.P. Fluorescent PET (photoinduced electron transfer) sensors with targeting/anchoring modules as molecular versions of submarine periscopes for mapping membrane-bounded protons. J. Chem. Soc. Chem. Commun. 1994, 405–407. [Google Scholar] [CrossRef]
- Fernández, M.S.; Fromherz, P. Lipoid pH indicators as probes of electrical potential and polarity in micelles. J. Phys. Chem. 1977, 81, 1755–1761. [Google Scholar] [CrossRef]
- Yang, Z.; Cao, J.; He, Y.; Yang, J.H.; Kim, T.; Peng, X.; Kim, J.S. Macro-/micro-environment-sensitive chemosensing and biological imaging. Chem. Soc. Rev. 2014, 43, 4563–4601. [Google Scholar] [CrossRef]
- Jiang, N.; Fan, J.; Xu, F.; Peng, X.; Mu, H.; Wang, J.; Xiong, X. Ratiometric fluorescence imaging of cellular polarity: Decrease in mitochondrial polarity in cancer cells. Angew. Chem. Int. Ed. 2015, 54, 2510–2514. [Google Scholar] [CrossRef] [PubMed]
- Yu, C.; Miao, W.; Wang, J.; Hao, E.; Jiao, L. PyrrolyBODIPYs: Syntheses, properties, and application as environment-sensitive fluorescence probes. ACS Omega 2017, 2, 3551–3561. [Google Scholar] [CrossRef]
- Collot, M.; Bou, S.; Fam, T.K.; Richert, L.; Mély, Y.; Danglot, L.; Klymchenko, A.S. Probing polarity and heterogeneity of lipid droplets in live cells using a push-pull fluorophore. Anal. Chem. 2019, 91, 1928–1935. [Google Scholar] [CrossRef] [PubMed]
- Uchiyama, S.; Santa, T.; Imai, K. Fluorescence characteristics of six 4,7-disubstituted benzofurazan compounds: An experimental and semi-empirical MO study. J. Chem. Soc. Perkin Trans. 2 1999, 2525–2532. [Google Scholar] [CrossRef]
- Numasawa, Y.; Okabe, K.; Uchiyama, S.; Santa, T.; Imai, K. Fluorescence characteristics of ionic benzofurazans, 7-substituted-2,1,3-benzoxadiazole-4-sulfonates. Dyes Pigment. 2005, 67, 189–195. [Google Scholar] [CrossRef]
- Uchiyama, S.; Kimura, K.; Gota, C.; Okabe, K.; Kawamoto, K.; Inada, N.; Yoshihara, T.; Tobita, S. Environment-sensitive fluorophores with benzothiadiazole and benzoselenadiazole structures as candidate components of a fluorescent polymeric thermometer. Chem. Eur. J. 2012, 18, 9552–9563. [Google Scholar] [CrossRef] [PubMed]
- Zhuang, Y.-D.; Chiang, P.-Y.; Wang, C.-W.; Tan, K.-T. Environment-sensitive fluorescent turn-on probes targeting hydrophobic ligand-binding domains for selective protein detection. Angew. Chem. Int. Ed. 2013, 52, 8124–8128. [Google Scholar] [CrossRef] [PubMed]
- Appelqvist, H.; Stranius, K.; Börjesson, K.; Nilsson, K.P.R.; Dyrager, C. Specific imaging of intracellular lipid droplets using a benzothiadiazole derivative with solvatochromic properties. Bioconjugate Chem. 2017, 28, 1363–1370. [Google Scholar] [CrossRef] [PubMed]
- Thooft, A.M.; Cassaidy, K.; VanVeller, B. A small push-pull fluorophore for turn-on fluorescence. J. Org. Chem. 2017, 82, 8842–8847. [Google Scholar] [CrossRef] [PubMed]
- Uchiyama, S.; Iwai, K.; de Silva, A.P. Multiplexing sensory molecules map protons near micellar membranes. Angew. Chem. Int. Ed. 2008, 47, 4667–4669. [Google Scholar] [CrossRef] [PubMed]
- Vitha, M.F.; Weckwerth, J.D.; Odland, K.; Dema, V.; Carr, P.W. Study of the polarity and hydrogen bond ability of sodium dodecyl sulfate micelles by the Kamlet-Taft solvatochromic comparison method. J. Phys. Chem. 1996, 100, 18823–18828. [Google Scholar] [CrossRef]
- Uchiyama, S.; Yano, K.; Fukatsu, E.; de Silva, A.P. Precise proton mapping near ionic micellar membranes with fluorescent photoinduced-electron-transfer sensors. Chem. Eur. J. 2019, 25, 8522–8527. [Google Scholar] [PubMed]
- Dougherty, D.A. Cation-π interactions in chemistry and biology: A new view of benzene, Phe, Tyr, and Trp. Science 1996, 271, 163–168. [Google Scholar] [CrossRef] [PubMed]
- Kandel, E.R.; Schwartz, J.H.; Jessell, T.M. Principles of Neural Science, 4th ed.; McGraw-Hill: New York, NY, USA, 2000. [Google Scholar]
- Uchiyama, S.; Fukatsu, E.; McClean, G.D.; de Silva, A.P. Measurement of local sodium ion levels near micelle surfaces with fluorescent photoinduced-electron-transfer sensors. Angew. Chem. Int. Ed. 2016, 55, 768–771. [Google Scholar] [CrossRef] [PubMed]
- Diaz-Fernandez, Y.; Foti, F.; Mangano, C.; Pallavicini, P.; Patroni, S.; Perez-Gramatges, A.; Rodriguez-Calvo, S. Micelles for the self-assembly of ʺoff-on-offʺ fluorescent sensors for pH windows. Chem. Eur. J. 2006, 12, 921–930. [Google Scholar] [CrossRef] [PubMed]
- De Silva, A.P.; Dobbin, C.M.; Vance, T.P.; Wannalerse, B. Multiply reconfigurable ‘plug and play’ molecular logic via self-assembly. Chem. Commun. 2009, 1386–1388. [Google Scholar] [CrossRef] [PubMed]
- Uchiyama, S.; McClean, G.D.; Iwai, K.; de Silva, A.P. Membrane media create small nanospaces for molecular computation. J. Am. Chem. Soc. 2005, 127, 8920–8921. [Google Scholar] [CrossRef]
- Deisenhofer, J.; Norris, J.R. The Photosynthetic Reaction Center; Academic Press: San Diego, CA, USA, 1993. [Google Scholar]
- Liu, J.; de Silva, A.P. Path-selective photoinduced electron transfer (PET) in a membrane-associated system studied by pH-dependent fluorescence. Inorg. Chim. Acta 2012, 381, 243–246. [Google Scholar] [CrossRef]
- De Silva, A.P.; Gunaratne, H.Q.N.; Habib-Jiwan, J.-L.; McCoy, C.P.; Rice, T.E.; Soumillion, J.-P. New fluorescent model compounds for the study of photoinduced electron transfer: The influence of a molecular electric field in the excited state. Angew. Chem. Int. Ed. Engl. 1995, 34, 1728–1731. [Google Scholar] [CrossRef]
- Ayadim, M.; Jiwan, J.L.H.; de Silva, A.P.; Soumillion, J.P. Photosensing by a fluorescing probe covalently attached to the silica. Tetrahedron Lett. 1996, 37, 7039–7042. [Google Scholar] [CrossRef]
- Daffy, L.M.; de Silva, A.P.; Gunaratne, H.Q.N.; Huber, C.; Lynch, P.L.M.; Werner, T.; Wolfbeis, O.S. Arenedicarboximide building blocks for fluorescent photoinduced electron transfer pH sensors applicable with different media and communication wavelengths. Chem. Eur. J. 1998, 4, 1810–1815. [Google Scholar] [CrossRef]
- Tusa, J.K.; He, H. Critical care analyzer with fluorescent optical chemosensors for blood analytes. J. Mater. Chem. 2005, 15, 2640–2647. [Google Scholar] [CrossRef]
- Descalzo, A.B.; Marcos, M.D.; Martínez-Máñez, R.; Soto, J.; Beltrán, D.; Amorós, P. Anthrylmethylamine functionalised mesoporous silica-based materials as hybrid fluorescent chemosensors for ATP. J. Mater. Chem. 2005, 15, 2721–2731. [Google Scholar] [CrossRef]
- Refalo, M.V.; Spiteri, J.C.; Magri, D.C. Covalent attachment of a fluorescent ‘Pourbaix sensor’ onto a polymer bead for sensing in water. New J. Chem. 2018, 42, 16474–16477. [Google Scholar] [CrossRef]
- Fernández-Alonso, S.; Corrales, T.; Pablos, J.L.; Catalina, F. A switchable fluorescence solid sensor for Hg2+ detection in aqueous media based on a photocrosslinked membrane functionalized with (benzimidazolyl)methyl-piperazine derivative of 1,8-naphthalimide. Sens. Actuators B-Chem. 2018, 270, 256–262. [Google Scholar] [CrossRef]
- Gui, B.; Meng, Y.; Xie, Y.; Tian, J.; Yu, G.; Zeng, W.; Zhang, G.; Gong, S.; Yang, C.; Zhang, D.; et al. Tuning the photoinduced electron transfer in a Zr-MOF: Toward solid-state fluorescent molecular switch and turn-on sensor. Adv. Mater. 2018, 30, 1802329. [Google Scholar] [CrossRef] [PubMed]
- Shepard, S. RFID: Radio Frequency Identification; McGraw-Hill: New York, NY, USA, 2005. [Google Scholar]
- Yamashita, D.S.; Weinstock, J. Method of Encoding a Series of Combinatorial Libraries and Developing Structure Activity Relationships. U.S. Patent 6,210,900 B1, 3 April 2001. [Google Scholar]
- De Silva, A.P.; James, M.R.; McKinney, B.O.F.; Pears, D.A.; Weir, S.M. Molecular computational elements encode large populations of small objects. Nat. Mater. 2006, 5, 787–790. [Google Scholar] [CrossRef]
- Brown, G.J.; de Silva, A.P.; James, M.R.; McKinney, B.O.F.; Pears, D.A.; Weir, S.M. Solid-bound, proton-driven, fluorescent ‘off–on–off’ switches based on PET (photoinduced electron transfer). Tetrahedron 2008, 64, 8301–8306. [Google Scholar] [CrossRef]
- McKinney, B.O.F.; Daly, B.; Yao, C.; Schroeder, M.; de Silva, A.P. Consolidating molecular logic with new solid-bound YES and PASS 1 gates and their combinations. ChemPhysChem 2017, 18, 1760–1766. [Google Scholar] [CrossRef]
- Yao, C.; Ling, J.; Chen, L.; de Silva, A.P. Population analysis to increase the robustness of molecular computational identification and its extension into the near-infrared for substantial numbers of small objects. Chem. Sci. 2019, 10, 2272–2279. [Google Scholar] [CrossRef]
- Uchiyama, S.; Matsumura, Y.; de Silva, A.P.; Iwai, K. Fluorescent molecular thermometers based on polymers showing temperature-induced phase transitions and labeled with polarity-responsive benzofurazans. Anal. Chem. 2003, 75, 5926–5935. [Google Scholar] [CrossRef] [PubMed]
- Chandrasekharan, N.; Kelly, L.A. Progress towards fluorescent molecular thermometers. In Reviews in Fluorescence 2004; Geddes, C.D., Lakowicz, J.R., Eds.; Kluwer Academic/Plenum Publishes: New York, NY, USA, 2004; pp. 21–40. [Google Scholar]
- Uchiyama, S.; de Silva, A.P.; Iwai, K. Luminescent molecular thermometers. J. Chem. Educ. 2006, 83, 720–727. [Google Scholar] [CrossRef]
- Inal, S.; Kölsch, J.D.; Sellrie, F.; Schenk, J.A.; Wischerhoff, E.; Laschewsky, A.; Neher, D. A water soluble fluorescent polymer as a dual colour sensor for temperature and a specific protein. J. Mater. Chem. B 2013, 1, 6373–6381. [Google Scholar] [CrossRef]
- Alemdaroglu, F.E.; Alexander, S.C.; Ji, D.; Prusty, D.K.; Börsch, M.; Herrmann, A. Poly(BODIPY)s: A new class of tunable polymeric dyes. Macromolecules 2009, 42, 6529–6536. [Google Scholar] [CrossRef]
- Sen, C.P.; Goud, V.D.; Shrestha, R.G.; Shrestha, L.K.; Ariga, K.; Valiyaveettil, S. BODIPY based hyperbranched conjugated polymers for detecting organic vapors. Polym. Chem. 2016, 7, 4213–4225. [Google Scholar] [CrossRef]
- Squeo, B.M.; Gregoriou, V.G.; Avgeropoulos, A.; Baysec, S.; Allard, S.; Scherf, U.; Chochos, C.L. BODIPY-based polymeric dyes as emerging horizon materials for biological sensing and organic electronic applications. Progr. Polym. Sci. 2017, 71, 26–52. [Google Scholar]
- Gong, D.; Cao, T.; Han, S.-C.; Zhu, X.; Iqbal, A.; Liu, W.; Qin, W.; Guo, H. Fluorescence enhancement thermoresponsive polymer luminescent sensors based on BODIPY for intracellular temperature. Sens. Actuator B Chem. 2017, 252, 577–583. [Google Scholar] [CrossRef]
- Hattori, Y.; Nagase, K.; Kobayashi, J.; Kikuchi, A.; Akiyama, Y.; Kanazawa, H.; Okano, T. Hydration of poly (N-isopropylacrylamide) brushes on micro-silica beads measured by a fluorescent probe. Chem. Phys. Lett. 2010, 491, 193–198. [Google Scholar] [CrossRef]
- Yamada, A.; Hiruta, Y.; Wang, J.; Ayano, E.; Kanazawa, H. Design of environmentally responsive fluorescent polymer probes for cellular imaging. Biomacromolecules 2015, 16, 2356–2362. [Google Scholar] [CrossRef]
- Qiao, J.; Chen, C.; Qi, L.; Liu, M.; Dong, P.; Jiang, Q.; Yang, X.; Mu, X.; Mao, L. Intracellular temperature sensing by a ratiometric fluorescent polymer thermometer. J. Mater. Chem. B 2014, 2, 7544–7550. [Google Scholar] [CrossRef]
- Cellini, F.; Peteron, S.D.; Porfiri, M. Flow velocity and temperature sensing using thermosensitive fluorescent polymer seed particles in water. Int. J. Smart Nano Mater. 2017, 8, 232–252. [Google Scholar] [CrossRef]
- Gota, C.; Uchiyama, S.; Yoshihara, T.; Tobita, S.; Ohwada, T. Temperature-dependent fluorescence lifetime of a fluorescent polymeric thermometer, poly(N-isopropylacrylamide), labeled by polarity and hydrogen bonding sensitive 4-sulfamoyl-7-aminobenzofurazan. J. Phys. Chem. B 2008, 112, 2829–2836. [Google Scholar] [CrossRef] [PubMed]
- Uchiyama, S.; Matsumura, Y.; de Silva, A.P.; Iwai, K. Modulation of the sensitive temperature range of fluorescent molecular thermometers based on thermoresponsive polymers. Anal. Chem. 2004, 76, 1793–1798. [Google Scholar] [CrossRef] [PubMed]
- Uchiyama, S.; Takehira, K.; Yoshihara, T.; Tobita, S.; Ohwada, T. Environment-sensitive fluorophore emitting in protic environments. Org. Lett. 2006, 8, 5869–5872. [Google Scholar] [CrossRef] [PubMed]
- Shiraishi, Y.; Miyamoto, R.; Hirai, T. A hemicyanine-conjugated copolymer as a highly sensitive fluorescent thermometer. Langmuir 2008, 24, 4273–4279. [Google Scholar] [CrossRef] [PubMed]
- Gota, C.; Uchiyama, S.; Ohwada, T. Accurate fluorescent polymeric thermometers containing an ionic component. Analyst 2007, 132, 121–126. [Google Scholar] [CrossRef] [PubMed]
- Uchiyama, S.; Kawai, N.; de Silva, A.P.; Iwai, K. Fluorescent polymeric AND logic gate with temperature and pH as inputs. J. Am. Chem. Soc. 2004, 126, 3032–3033. [Google Scholar] [CrossRef] [PubMed]
- Shiraishi, Y.; Miyamoto, R.; Hirai, T. Temperature-driven on/off fluorescent indicator of pH window: An anthracene-conjugated thermoresponsive polymer. Tetrahedron Lett. 2007, 48, 6660–6664. [Google Scholar] [CrossRef]
- Shiraishi, Y.; Miyamoto, R.; Zhang, X.; Hirai, T. Rhodamine-based fluorescent thermometer exhibiting selective emission enhancement at a specific temperature range. Org. Lett. 2007, 9, 3921–3924. [Google Scholar] [CrossRef]
- Iwai, K.; Matsumura, Y.; Uchiyama, S.; de Silva, A.P. Development of fluorescent microgel thermometers based on thermo-responsive polymers and their modulation of sensitivity range. J. Mater. Chem. 2005, 15, 2796–2800. [Google Scholar] [CrossRef]
- Herrera, A.P.; Rodríguez, M.; Torres-Lugo, M.; Rinaldi, C. Multifunctional magnetite nanoparticles coated with fluorescent thermo-responsive polymeric shells. J. Mater. Chem. 2008, 18, 855–858. [Google Scholar] [CrossRef]
- Graham, E.M.; Iwai, K.; Uchiyama, S.; de Silva, A.P.; Magennis, S.W.; Jones, A.C. Quantitative mapping of aqueous microfluidic temperature with sub-degree resolution using fluorescence lifetime imaging microscopy. Lab Chip 2010, 10, 1267–1273. [Google Scholar] [CrossRef] [PubMed]
- Yuan, B.; Uchiyama, S.; Liu, Y.; Nguyen, K.T.; Alexandrakis, G. High-resolution imaging in a deep turbid medium based on an ultrasound-switchable fluorescence technique. Appl. Phys. Lett. 2012, 101, 033703. [Google Scholar] [CrossRef] [PubMed]
- Gota, C.; Okabe, K.; Funatsu, T.; Harada, Y.; Uchiyama, S. Hydrophilic fluorescent nanogel thermometer for intracellular thermometry. J. Am. Chem. Soc. 2009, 131, 2766–2767. [Google Scholar] [CrossRef]
- Okabe, K.; Inada, N.; Gota, C.; Harada, Y.; Funatsu, T.; Uchiyama, S. Intracellular temperature mapping with a fluorescent polymeric thermometer and fluorescence lifetime imaging microscopy. Nat. Commun. 2012, 3, 705. [Google Scholar] [CrossRef] [PubMed]
- Tsuji, T.; Yoshida, S.; Yoshida, A.; Uchiyama, S. Cationic fluorescent polymeric thermometers with the ability to enter yeast and mammalian cells for practical intracellular temperature measurements. Anal. Chem. 2013, 85, 9815–9823. [Google Scholar] [CrossRef] [PubMed]
- Hayashi, T.; Fukuda, N.; Uchiyama, S.; Inada, N. A cell-permeable fluorescent polymeric thermometer for intracellular temperature mapping in mammalian cell lines. PLoS ONE 2015, 10, e0117677. [Google Scholar] [CrossRef]
- Inada, N.; Fukuda, N.; Hayashi, T.; Uchiyama, S. Temperature imaging using a cationic linear fluorescent polymeric thermometer and fluorescence lifetime imaging microscopy. Nat. Protoc. 2019, 14, 1293–1321. [Google Scholar] [CrossRef]
- Uchiyama, S.; Tsuji, T.; Ikado, K.; Yoshida, A.; Kawamoto, K.; Hayashi, T.; Inada, N. A cationic fluorescent polymeric thermometer for the ratiometric sensing of intracellular temperature. Analyst 2015, 140, 4498–4506. [Google Scholar] [CrossRef]
- Tsuji, T.; Ikado, K.; Koizumi, H.; Uchiyama, S.; Kajimoto, K. Difference in intracellular temperature rise between matured and precursor brown adipocytes in response to uncoupler and β-adrenergic agonist stimuli. Sci. Rep. 2017, 7, 12889. [Google Scholar] [CrossRef]
- Kimura, H.; Nagoshi, T.; Yoshii, A.; Kashiwagi, Y.; Tanaka, Y.; Ito, K.; Yoshino, T.; Tanaka, T.D.; Yoshimura, M. The thermogenic actions of natriuretic peptide in brown adipocytes: The direct measurement of the intracellular temperature using a fluorescent thermoprobe. Sci. Rep. 2017, 7, 12978. [Google Scholar] [CrossRef] [PubMed]
- Hoshi, Y.; Okabe, K.; Shibasaki, K.; Funatsu, T.; Matsuki, N.; Ikegaya, Y.; Koyama, R. Ischemic brain injury leads to brain edema via hyperthermia-induced TRPV4 activation. J. Neurosci. 2018, 38, 5700–5709. [Google Scholar] [CrossRef] [PubMed]
- Ano, T.; Kishimoto, F.; Sasaki, R.; Tsubaki, S.; Maitani, M.M.; Suzuki, E.; Wada, Y. In situ temperature measurements of reaction spaces under microwave irradiation using photoluminescent probes. Phys. Chem. Chem. Phys. 2016, 18, 13173–13179. [Google Scholar] [CrossRef] [PubMed]
- Uchiyama, S.; Tsuji, T.; Kawamoto, K.; Okano, K.; Fukatsu, E.; Noro, T.; Ikado, K.; Yamada, S.; Shibata, Y.; Hayashi, T.; et al. A cell-targeted non-cytotoxic fluorescent nanogel thermometer created with an imidazolium-containing cationic radical initiator. Angew. Chem. Int. Ed. 2018, 57, 5413–5417. [Google Scholar] [CrossRef] [PubMed]










© 2019 by the authors. Licensee MDPI, Basel, Switzerland. This article is an open access article distributed under the terms and conditions of the Creative Commons Attribution (CC BY) license (http://creativecommons.org/licenses/by/4.0/).
Share and Cite
Yao, C.-Y.; Uchiyama, S.; de Silva, A.P. A Personal Journey across Fluorescent Sensing and Logic Associated with Polymers of Various Kinds. Polymers 2019, 11, 1351. https://doi.org/10.3390/polym11081351
Yao C-Y, Uchiyama S, de Silva AP. A Personal Journey across Fluorescent Sensing and Logic Associated with Polymers of Various Kinds. Polymers. 2019; 11(8):1351. https://doi.org/10.3390/polym11081351
Chicago/Turabian StyleYao, Chao-Yi, Seiichi Uchiyama, and A. Prasanna de Silva. 2019. "A Personal Journey across Fluorescent Sensing and Logic Associated with Polymers of Various Kinds" Polymers 11, no. 8: 1351. https://doi.org/10.3390/polym11081351
APA StyleYao, C.-Y., Uchiyama, S., & de Silva, A. P. (2019). A Personal Journey across Fluorescent Sensing and Logic Associated with Polymers of Various Kinds. Polymers, 11(8), 1351. https://doi.org/10.3390/polym11081351

