Effect of Ethylenediaminetetraacetic Acid on Unsaturated Poly(Butylene Adipate-Co-Butylene Itaconate) Copolyester with Low-Melting Point and Controllable Hardness
Abstract
:1. Introduction
2. Experiments
2.1. Materials
2.2. Sample Preparation
Synthesis of Poly(Butylene adipate-co-Butylene itaconate)s Copolyesters with Ethylenediaminetetraacetic Acid as a Cross-linking Agent
2.3. Measurements
2.3.1. Nuclear Magnetic Resonance Spectroscopy (1H NMR)
2.3.2. Fourier Transform Infrared Spectroscopy (FT-IR)
2.3.3. Gel Permeation Chromatography (GPC)
2.3.4. Intrinsic Viscosity (I.V.)
2.3.5. Differential Scanning Calorimetry (DSC)
2.3.6. Thermogravimetric Analysis (TGA)
2.3.7. Dynamic Mechanical Analysis (DMA)
2.3.8. X-ray Diffraction (XRD)
2.3.9. UV Curing Procedures
2.3.10. Tensile Test
2.3.11. Simulation Procedures of All-Atom Molecular Dynamics (AAMD)
3. Results and Discussion
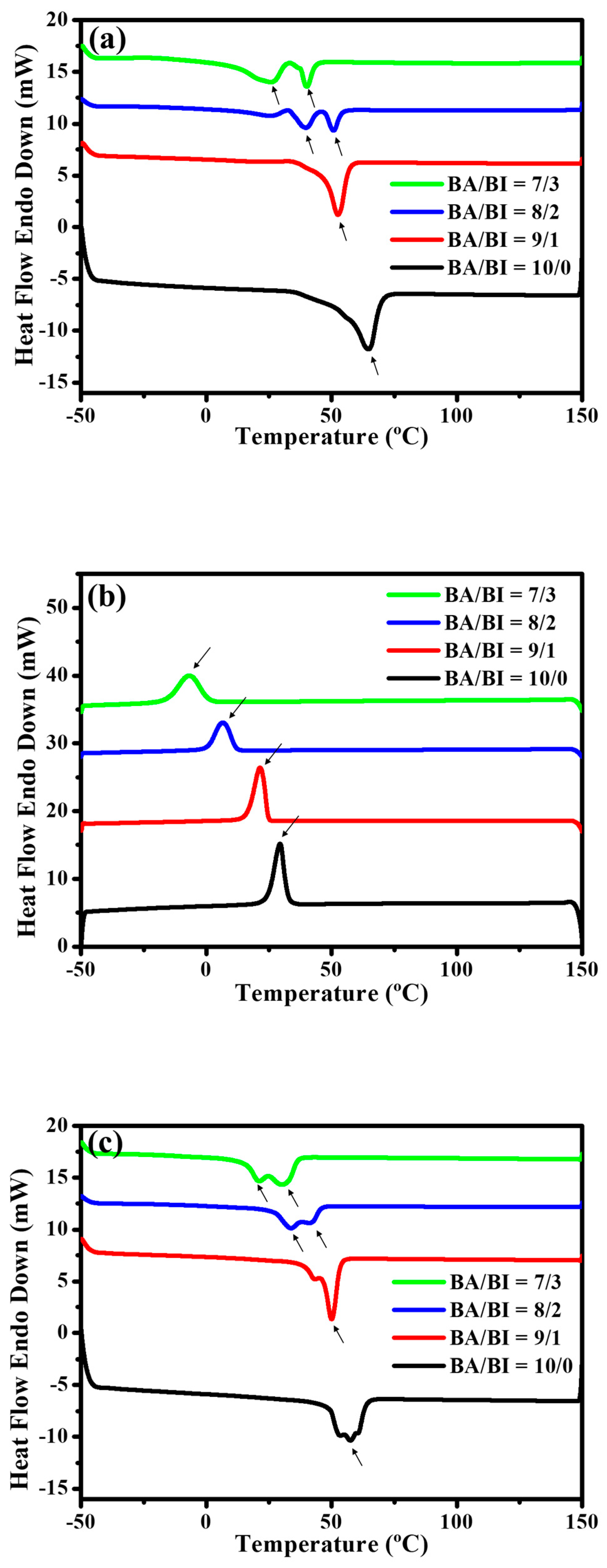
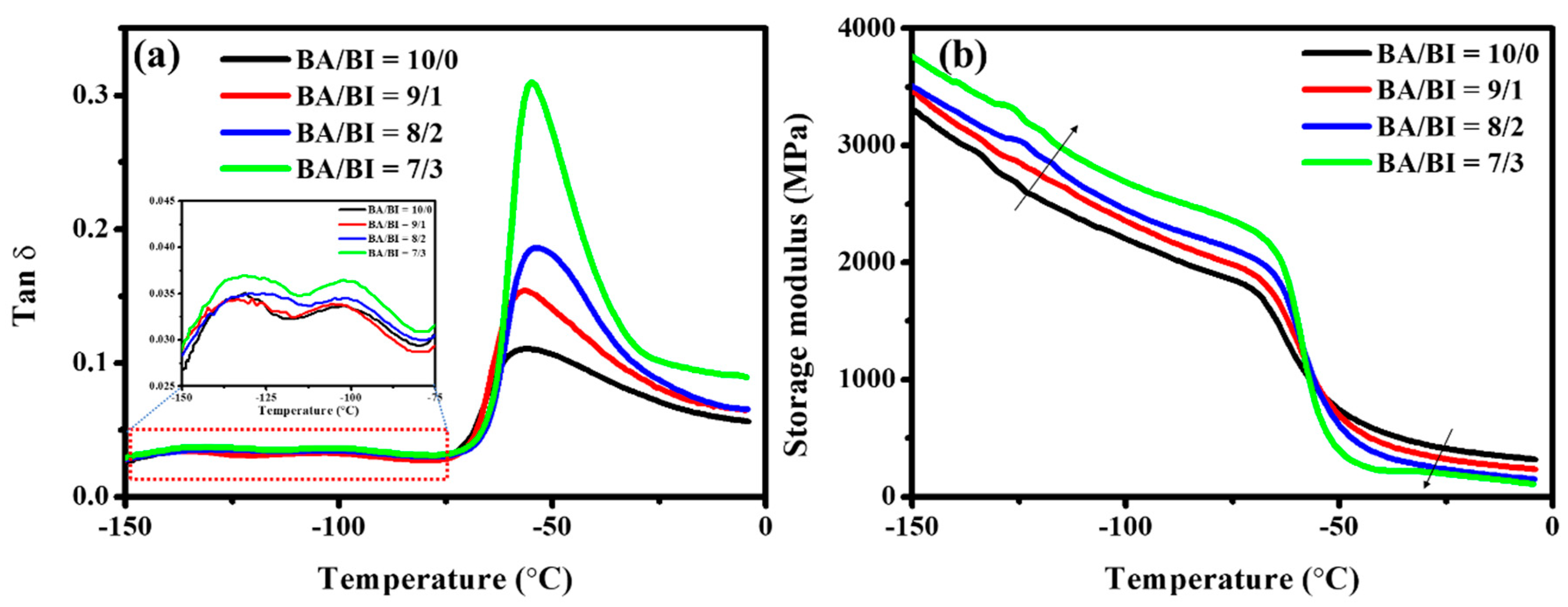
3.1. The Effect of the BA/BI Ratio of PBABA Copolyesters with an EDTA Concentration of 0.1 mole%
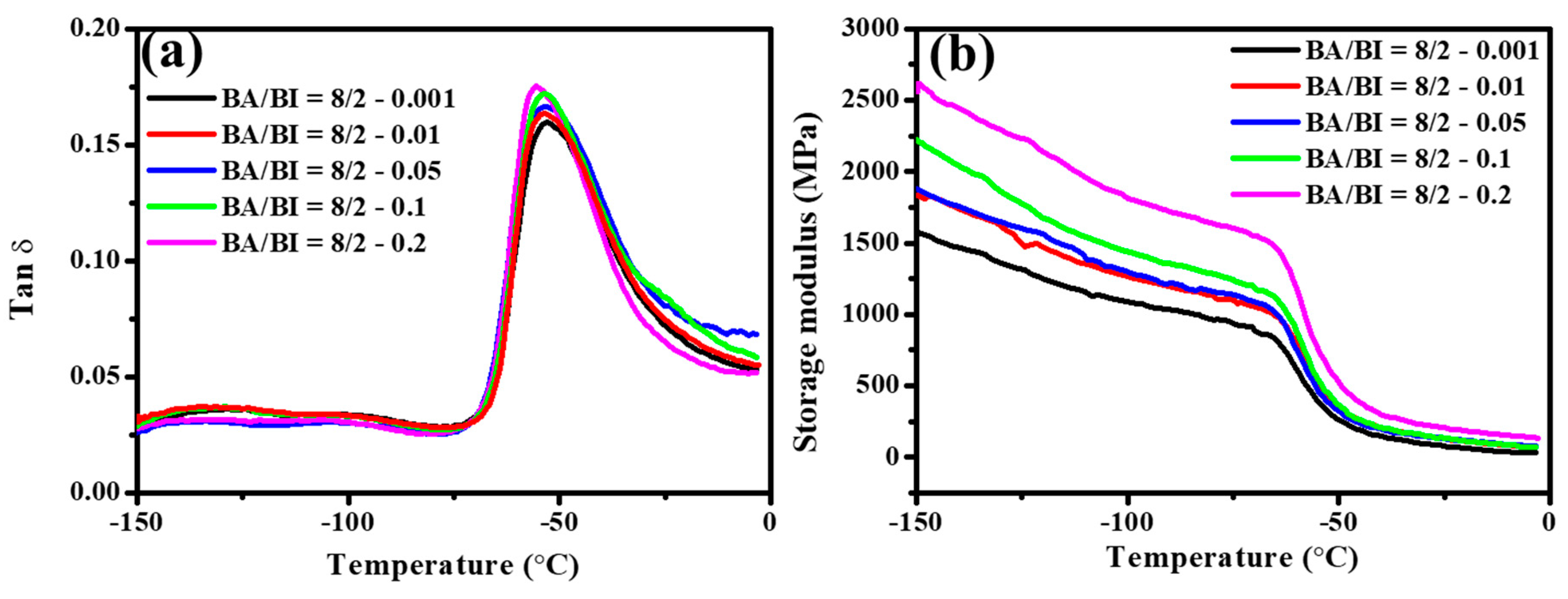
3.2. The Effect of Varying EDTA Concentrations at BA/BI = 8/2 of PBABI Copolyesters
4. Conclusions
Author Contributions
Funding
Conflicts of Interest
References
- Rieckmann, T.; Völker, S. Poly(ethylene terephthalate) polymerization—Mechanism, catalysis, kinetics, mass transfer and reactor design. In Wiley Series in Polymer Science; Scheirs, J., Long, T.E., Eds.; John Wiley & Sons, Ltd.: Chichester, UK, 2004; pp. 29–115. ISBN 978-0-471-49856-8. [Google Scholar]
- Chuah, H.H. Synthesis, properties and applications of poly(trimethylene terephthalate). In Wiley Series in Polymer Science; Scheirs, J., Long, T.E., Eds.; John Wiley & Sons, Ltd.: Chichester, UK, 2004; pp. 361–397. ISBN 978-0-471-49856-8. [Google Scholar]
- Gallucci, R.R.; Patel, B.R. Poly(butylene terephthalate). In Wiley Series in Polymer Science; Scheirs, J., Long, T.E., Eds.; John Wiley & Sons, Ltd.: Chichester, UK, 2004; pp. 293–321. ISBN 978-0-471-49856-8. [Google Scholar]
- Hall, I.; Ibrahim, B. The structure and properties of poly(hexamethylene terephthalate): 1. The preparation, morphology and unit cells of three allomorphs. Polymer 1982, 23, 805–816. [Google Scholar] [CrossRef]
- Callander, D.D. Properties and applications of poly(ethylene 2,6-naphthalene), its copolyesters and blends. In Wiley Series in Polymer Science; Scheirs, J., Long, T.E., Eds.; John Wiley & Sons, Ltd.: Chichester, UK, 2004; pp. 323–334. ISBN 978-0-471-49856-8. [Google Scholar]
- Bunn, C.W. The melting points of chain polymers. J. Polym. Sci. 1955, 16, 323–343. [Google Scholar] [CrossRef]
- Jovanovic, D.; Nikolic, M.; Djonlagic, J. Synthesis and characterization of biodegradable aliphatic copolyesters with hydrophilic soft segments. J. Serbian Chem. Soc. 2004, 69, 1013–1028. [Google Scholar] [CrossRef]
- Ozturk, G.I.; Pasquale, A.J.; Long, T.E. Melt synthesis and characterization of aliphatic low-Tg polyesters as pressure sensitive adhesives. J. Adhes. 2010, 86, 395–408. [Google Scholar] [CrossRef]
- Celli, A.; Marchese, P.; Sullalti, S.; Cai, J.; Gross, R.A. Aliphatic/aromatic copolyesters containing biobased ω-hydroxyfatty acids: Synthesis and structure–property relationships. Polymer 2013, 54, 3774–3783. [Google Scholar] [CrossRef]
- Vert, M. Aliphatic polyesters: Great degradable polymers that cannot do everything. Biomacromolecules 2005, 6, 538–546. [Google Scholar] [CrossRef]
- Velmathi, S.; Nagahata, R.; Takeuchi, K. Extremely rapid synthesis of aliphatic polyesters by direct polycondensation of 1:1 mixtures of dicarboxylic acids and diols using microwaves. Polym. J. 2007, 39, 841–844. [Google Scholar] [CrossRef]
- Sokolsky-Papkov, M.; Langer, R.; Domb, A.J. Synthesis of aliphatic polyesters by polycondensation using inorganic acid as catalyst. Polym. Adv. Technol. 2011, 22, 502–511. [Google Scholar] [CrossRef]
- Díaz, A.; Katsarava, R.; Puiggalí, J. Synthesis, properties and applications of biodegradable polymers derived from diols and dicarboxylic acids: From polyesters to poly(ester amide)s. Int. J. Mol. Sci. 2014, 15, 7064–7123. [Google Scholar] [CrossRef]
- Douka, A.; Vouyiouka, S.; Papaspyridi, L.-M.; Papaspyrides, C.D. A review on enzymatic polymerization to produce polycondensation polymers: The case of aliphatic polyesters, polyamides and polyesteramides. Prog. Polym. Sci. 2018, 79, 1–25. [Google Scholar] [CrossRef]
- Zia, K.M.; Noreen, A.; Zuber, M.; Tabasum, S.; Mujahid, M. Recent developments and future prospects on bio-based polyesters derived from renewable resources: A review. Int. J. Biol. Macromol. 2016, 82, 1028–1040. [Google Scholar] [CrossRef]
- Costa, C.S.M.F.; Fonseca, A.C.; Moniz, J.; Godinho, M.; Coelho, J.F.J.; Serra, A.C. Going greener: Synthesis of fully biobased unsaturated polyesters for styrene crosslinked resins with enhanced thermomechanical properties. Express Polym. Lett. 2017, 11, 885–898. [Google Scholar] [CrossRef]
- Robert, T.; Friebel, S. Itaconic acid—A versatile building block for renewable polyesters with enhanced functionality. Green Chem. 2016, 18, 2922–2934. [Google Scholar] [CrossRef]
- Mangeon, C.; Renard, E.; Thevenieau, F.; Langlois, V. Networks based on biodegradable polyesters: An overview of the chemical ways of crosslinking. Mater. Sci. Eng. C 2017, 80, 760–770. [Google Scholar] [CrossRef]
- Farmer, T.J.; Comerford, J.W.; Pellis, A.; Robert, T. Post-polymerization modification of bio-based polymers: Maximizing the high functionality of polymers derived from biomass: Post-polymerization modification of bio-based polymers. Polym. Int. 2018, 67, 775–789. [Google Scholar]
- Kumar, S.; Samal, S.K.; Mohanty, S.; Nayak, S.K. Synthesis and characterization of itaconic-based epoxy resins. Polym. Adv. Technol. 2018, 29, 160–170. [Google Scholar]
- Toorkey, R.F.; Rajanna, K.C.; Prakash, P.K.S. Curing of unsaturated polyester: Network formation. J. Chem. Educ. 1996, 73, 372. [Google Scholar] [CrossRef]
- Sperling, L.H. Interpenetrating polymer networks: An overview. In Interpenetrating Polymer Networks; Klempner, D., Sperling, L.H., Utracki, L.A., Eds.; American Chemical Society: Washington, DC, USA, 1994; Volume 239, pp. 3–38. ISBN 978-0-8412-2528-2. [Google Scholar]
- Roland, C.M. Interpenetrating polymer networks (IPN): Structure and mechanical behavior. In Encyclopedia of Polymeric Nanomaterials; Kobayashi, S., Müllen, K., Eds.; Springer: Berlin/Heidelberg, Germany, 2013; pp. 1–9. ISBN 978-3-642-36199-9. [Google Scholar]
- Auras, R.; Lim, L.-T.; Selke, S.E.M.; Tsuji, H. (Eds.) Poly(Lactic Acid): Synthesis, Structures, Properties, Processing, and Applications; John Wiley & Sons, Inc.: Hoboken, NJ, USA, 2010; ISBN 978-0-470-64984-8. [Google Scholar]
- Dorgan, J.R.; Braun, B.; Wegner, J.R.; Knauss, D.M. Poly(lactic acids): A Brief review. In Degradable Polymers and Materials; Khemani, K.C., Scholz, C., Eds.; American Chemical Society: Washington, DC, USA, 2006; Volume 939, pp. 102–125. ISBN 978-0-8412-3972-2. [Google Scholar]
- Kweon, H. A novel degradable polycaprolactone networks for tissue engineering. Biomaterials 2003, 24, 801–808. [Google Scholar] [CrossRef]
- Izquierdo, R.; Garcia-Giralt, N.; Rodriguez, M.T.; Cáceres, E.; García, S.J.; Gómez Ribelles, J.L.; Monleón, M.; Monllau, J.C.; Suay, J. Biodegradable PCL scaffolds with an interconnected spherical pore network for tissue engineering. J. Biomed. Mater. Res. A 2008, 85A, 25–35. [Google Scholar] [CrossRef]
- Rodriguez, E.D.; Luo, X.; Mather, P.T. Linear/network poly(ε-caprolactone) blends exhibiting shape memory assisted self-healing (SMASH). ACS Appl. Mater. Interfaces 2011, 3, 152–161. [Google Scholar] [CrossRef]
- Pal, J.; Sanwaria, S.; Choudhary, A.; Thakur, K.; Nandan, B.; Srivastava, R.K. Thermally initiated trans-esterification in poly(ε-caprolactone) and its dependence on molecular weight. J. Polym. Environ. 2014, 22, 479–487. [Google Scholar] [CrossRef]
- Hankermeyer, C.R.; Tjeerdema, R.S. Polyhydroxybutyrate: Plastic made and degraded by microorganisms. In Reviews of Environmental Contamination and Toxicology; Ware, G.W., Ed.; Springer: New York, NY, USA, 1999; Volume 159, pp. 1–24. ISBN 978-1-4612-7167-3. [Google Scholar]
- Zaheer, M.R.; Kuddus, M. PHB (poly-β-hydroxybutyrate) and its enzymatic degradation. Polym. Adv. Technol. 2018, 29, 30–40. [Google Scholar]
- Xu, J.; Guo, B.-H. Poly(butylene succinate) and its copolymers: Research, development and industrialization. Biotechnol. J. 2010, 5, 1149–1163. [Google Scholar] [CrossRef]
- Gigli, M.; Fabbri, M.; Lotti, N.; Gamberini, R.; Rimini, B.; Munari, A. Poly(butylene succinate)-based polyesters for biomedical applications: A review. Eur. Polym. J. 2016, 75, 431–460. [Google Scholar] [CrossRef]
- Vandesteene, M.; Jacquel, N.; Saint-Loup, R.; Boucard, N.; Carrot, C.; Rousseau, A.; Fenouillot, F. Synthesis of branched poly(butylene succinate): Structure properties relationship. Chin. J. Polym. Sci. 2016, 34, 873–888. [Google Scholar] [CrossRef]
- Guo, B.; Chen, Y.; Lei, Y.; Zhang, L.; Zhou, W.Y.; Rabie, A.B.M.; Zhao, J. Biobased poly(propylene sebacate) as shape memory polymer with tunable switching temperature for potential biomedical applications. Biomacromolecules 2011, 12, 1312–1321. [Google Scholar] [CrossRef]
- Minke, R.; Blackwell, J. Polymorphic structures of poly(tetramethylene adipate). J. Macromol. Sci. Part B 1979, 16, 407–417. [Google Scholar] [CrossRef]
- Righetti, M.C.; Pizzoli, M.; Lotti, N.; Munari, A. Crystallization kinetics and melting behavior of poly(butylene adipate), poly(butylene isophthalate) and their copolymers. Macromol. Chem. Phys. 1998, 199, 2063–2070. [Google Scholar] [CrossRef]
- Woo, E.M.; Wu, M.C. Thermal and X-ray analysis of polymorphic crystals, melting, and crystalline transformation in poly(butylene adipate). J. Polym. Sci. Part B 2005, 43, 1662–1672. [Google Scholar] [CrossRef]
- Liu, F.; Chi, D.-Q.; Na, H.-N.; Zhu, J. Isothermal crystallization kinetics and crystalline morphologies of poly(butylene adipate-co-butylene 1,4-cyclohexanedicarboxylate) copolymers. Chin. J. Polym. Sci. 2018, 36, 756–764. [Google Scholar] [CrossRef]
- Brännström, S.; Finnveden, M.; Johansson, M.; Martinelle, M.; Malmström, E. Itaconate based polyesters: Selectivity and performance of esterification catalysts. Eur. Polym. J. 2018, 103, 370–377. [Google Scholar] [CrossRef]
- Kumar, S.; Krishnan, S.; Samal, S.K.; Mohanty, S.; Nayak, S.K. Itaconic acid used as a versatile building block for the synthesis of renewable resource-based resins and polyesters for future prospective: A review: Itaconic acid as building block for synthesis: A review. Polym. Int. 2017, 66, 1349–1363. [Google Scholar] [CrossRef]
- Herrera, R.; Franco, L.; Rodríguez-Galán, A.; Puiggalí, J. Characterization and degradation behavior of poly(butylene adipate-co-terephthalate)s: Poly(butylene adipate-co-terephthalate)s. J. Polym. Sci. Part Polym. Chem. 2002, 40, 4141–4157. [Google Scholar] [CrossRef]
- Tomić, S.L.; Filipović, J.M. Synthesis and characterization of complexes between poly(itaconic acid) and poly(ethylene glycol). Polym. Bull. 2004, 52, 355–364. [Google Scholar] [CrossRef]
- Wibowo, A.H.; Makhnunah, N.; Irawati, D.; Purnawan, C.; Nurhayati, N.D.; Storz, H. Synthesis and thermal-stability study of polybutylene itaconate modified with divinyl benzene and glycerol. Indones. J. Chem. 2014, 14, 283–289. [Google Scholar] [CrossRef]
- Sousa, A.F.; Fonseca, A.C.; Serra, A.C.; Freire, C.S.R.; Silvestre, A.J.D.; Coelho, J.F.J. New unsaturated copolyesters based on 2,5-furandicarboxylic acid and their crosslinked derivatives. Polym. Chem. 2016, 7, 1049–1058. [Google Scholar] [CrossRef]
- Dai, J.; Ma, S.; Teng, N.; Dai, X.; Shen, X.; Wang, S.; Liu, X.; Zhu, J. 2,5-furandicarboxylic acid- and itaconic acid-derived fully biobased unsaturated polyesters and their cross-linked networks. Ind. Eng. Chem. Res. 2017, 56, 2650–2657. [Google Scholar] [CrossRef]
- Wu, Y.; Xie, Q.; Gao, C.; Wang, T.; Wang, C. Synthesis and characterization of a novel aliphatic polyester based on itaconic acid. Polym. Eng. Sci. 2014, 54, 2515–2521. [Google Scholar] [CrossRef]
- Pfeifer, V.F.; Vojnovich, C.; Heger, E.N. Itaconic acid by fermentation with Aspergillus Terreus. Ind. Eng. Chem. 1952, 44, 2975–2980. [Google Scholar] [CrossRef]
- Kuenz, A.; Krull, S. Biotechnological production of itaconic acid—Things you have to know. Appl. Microbiol. Biotechnol. 2018, 102, 3901–3914. [Google Scholar] [CrossRef]
- Brännström, S.; Malmström, E.; Johansson, M. Biobased UV-curable coatings based on itaconic acid. J. Coat. Technol. Res. 2017, 14, 851–861. [Google Scholar] [CrossRef]
- Gao, C.; Wang, J.; Han, S.; Hu, Z.; Liu, Y. Copolymerization modification of poly(butylene itaconate). In Proceedings of the AIP Conference, Chongqing, China, 27–28 May 2017; Volume 1864, p. 020221. [Google Scholar]
- Blaurock Busch, E.K. EDTA: Ethylene diamine tetra acetic acid—A review. Occup. Med. Health Aff. 2016, 4, 2. [Google Scholar] [CrossRef]
- Rahman, M.A.; Won, M.-S.; Shim, Y.-B. Characterization of an EDTA bonded conducting polymer modified electrode: Its application for the simultaneous determination of heavy metal ions. Anal. Chem. 2003, 75, 1123–1129. [Google Scholar] [CrossRef] [PubMed]
- Tomaz, V.A.; Rubira, A.F.; Silva, R. Solid-state polymerization of EDTA and ethylenediamine as one-step approach to monodisperse hyperbranched polyamides. RSC Adv. 2016, 6, 40717–40723. [Google Scholar] [CrossRef]
- Nielsen, L.E. Cross-linking–effect on physical properties of polymers. J. Macromol. Sci. Part C 1969, 3, 69–103. [Google Scholar] [CrossRef]
- Chen, C.-W.; Huang, C.-I. Effects of intra/inter-molecular potential parameters, length and grafting density of side-chains on the self-assembling behavior of poly(3′-alkylthiophene)s in the ordered state. Polymer 2015, 77, 189–198. [Google Scholar] [CrossRef]
- Sun, H.; Ren, P.; Fried, J.R. The COMPASS force field: Parameterization and validation for phosphazenes. Comput. Theor. Polym. Sci. 1998, 8, 229–246. [Google Scholar] [CrossRef]
- Hoover, W.G.; Ladd, A.J.C.; Moran, B. High-strain-rate plastic flow studied via nonequilibrium molecular dynamics. Phys. Rev. Lett. 1982, 48, 1818–1820. [Google Scholar] [CrossRef]
- Nosé, S. A unified formulation of the constant temperature molecular dynamics methods. J. Chem. Phys. 1984, 81, 511–519. [Google Scholar] [CrossRef]
- Tang, T.; Moyori, T.; Takasu, A. Isomerization-free polycondensations of cyclic anhydrides with diols and preparation of polyester gels containing cis or trans carbon double bonds via photo-cross-linking and isomerization in the gels. Macromolecules 2013, 46, 5464–5472. [Google Scholar] [CrossRef]
- Schoon, I.; Kluge, M.; Eschig, S.; Robert, T. Catalyst influence on undesired side reactions in the polycondensation of fully bio-based polyester itaconates. Polymers 2017, 9, 693. [Google Scholar] [CrossRef]
- Tang, T.; Takasu, A. Facile synthesis of unsaturated polyester-based double-network gels via chemoselective cross-linking using Michael addition and subsequent UV-initiated radical polymerization. RSC Adv. 2015, 5, 819–829. [Google Scholar] [CrossRef]
- Moroni, A.; Havard, T. Characterization of polyesters and polyamides through sec and light scattering using 1,1,1,3,3,3-hexafluoro-2-propanol as eluent. In Chromatography of Polymers; Provder, T., Ed.; American Chemical Society: Washington, DC, USA, 1999; Volume 731, pp. 249–262. ISBN 978-0-8412-3661-5. [Google Scholar]
- Arrighi, V.; McEwen, I.J.; Holmes, P.F. Dielectric relaxations in poly(di-n-alkyl itaconate)s. Macromolecules 2004, 37, 6210–6218. [Google Scholar] [CrossRef]
- Liu, Q.; Zhou, X.-M. Syntheses and physical characterization of biodegradable poly(butylene succinate-co-butylene itaconate) copolymers. J. Macromol. Sci. Part A 2015, 52, 745–751. [Google Scholar] [CrossRef]
- Wang, H.; Gao, Z.; Yang, X.; Liu, K.; Zhang, M.; Qiang, X.; Wang, X. Epitaxial crystallization behavior of poly(butylene adipate) on orientated poly(butylene succinate) substrate. Polymers 2018, 10, 110. [Google Scholar] [CrossRef]
- Panic, V.V.; Seslija, S.I.; Popovic, I.G.; Spasojevic, V.D.; Popovic, A.R.; Nikolic, V.B.; Spasojevic, P.M. Simple one-pot synthesis of fully biobased unsaturated polyester resins based on itaconic acid. Biomacromolecules 2017, 18, 3881–3891. [Google Scholar] [CrossRef]
- Jorgensen, W.L. Pressure dependence of the structure and properties of liquid n-butane. J. Am. Chem. Soc. 1981, 103, 4721–4726. [Google Scholar] [CrossRef]
- Chau, P.-L.; Hardwick, A.J. A new order parameter for tetrahedral configurations. Mol. Phys. 1998, 93, 511–518. [Google Scholar] [CrossRef]
- Fisher, J.P.; Timmer, M.D.; Holland, T.A.; Dean, D.; Engel, P.S.; Mikos, A.G. Photoinitiated cross-linking of the biodegradable polyester poly(propylene fumarate). Part, I. Determination of network structure. Biomacromolecules 2003, 4, 1327–1334. [Google Scholar] [CrossRef]


















| Item | Feed Ratio | Calculated Ratio | H1 | H2 | H3 | H4 | H5 | H6 | H7 | H8 |
|---|---|---|---|---|---|---|---|---|---|---|
| BA/BI = 10/0 | 0 | 0 | 1.838 (1.004) | 1.929 (0.992) | 2.015 (0.028) | 2.605 (1.000) | 4.361 (1.001) | |||
| BA/BI = 9/1 | 10 | 4.51 | 2.169 (0.997) | 2.231 (0.992) | 2.545 (0.015) | 2.922 (1.000) | 3.948 (0.031) | 4.675 (1.024) | 6.343 (0.02) | 6.942 (0.02) |
| BA/BI = 8/2 | 20 | 11.41 | 2.015 (0.983) | 2.101 (0.828) | 2.408 (0.019) | 2.793 (1.000) | 3.794 (0.091) | 4.547 (1.039) | 6.224 (0.039) | 6.814 (0.052) |
| BA/BI = 7/3 | 30 | 15.01 | 1.841 (1.000) | 1.923 (0.944) | 2.237 (0.02) | 2.579 (1.000) | 3.632 (0.125) | 4.376 (1.101) | 6.044 (0.075) | 6.626 (0.047) |
| Item | # I.V. (dl·g−1) | Mn (g·mole−1) | Mw (g·mole−1) | Mw/Mn (PDI) |
|---|---|---|---|---|
| BA/BI = 10/0 | 0.98 | 16,696 | 29,280 | 1.754 |
| BA/BI = 9/1 | 1.02 | 35,171 | 89,571 | 2.547 |
| BA/BI = 8/2 | 1.14 | 28,323 | 113,520 | 4.008 |
| BA/BI = 7/3 | 1.22 | 25,108 | 178,838 | 7.123 |
| Item | * Tg (°C) | Tc (°C) | ΔHc (mJ·mg−1) | Tm (°C) | ΔHm (mJ·mg−1) | Td-5% (°C) | # Xc (%) |
|---|---|---|---|---|---|---|---|
| BA/BI = 10/0 | −55.8 | 29.5 | −46.1 | 57.5 | 40.4 | 342.1 | 39.4 |
| BA/BI = 9/1 | −55.9 | 22.7 | −56.3 | 52.2 | 60.3 | 331.8 | 36.7 |
| BA/BI = 8/2 | −53.6 | 6.5 | −32.5 | 33.8 | 32.0 | 323.9 | 34.1 |
| BA/BI = 7/3 | −54.8 | −6.7 | −33.2 | 21.1 | 32.2 | 313.6 | 37.9 |
| Cure Time (min) | BA/BI = 10/0 | BA/BI = 9/1 | BA/BI = 8/2 | BA/BI = 7/3 |
|---|---|---|---|---|
| 0 | 62.0 ± 3.52 | 56.5 ± 3.27 | 52.5 ± 2.88 | 49.5 ± 2.43 |
| 1 | 61.9 ± 3.78 | 56.3 ± 3.06 | 52.8 ± 2.53 | 53.6 ± 2.37 |
| 2 | 58.2 ± 5.99 | 56.7 ± 5.14 | 52.7 ± 2.71 | 53.8 ± 1.99 |
| 5 | 55.0 ± 3.65 | 52.2 ± 5.28 | 49.0 ± 3.30 | 55.8 ± 2.20 |
| 10 | 51.3 ± 3.16 | 47.1 ± 1.91 | 46.2 ± 4.29 | 54.8 ± 3.77 |
| Item | Yield Strength (MPa) | Elongation (%) | Young’s Modulus (MPa) |
|---|---|---|---|
| BA/BI = 10/0 | 13.21 ± 1.24 | 531.76 ± 55.43 | 128.65 ± 12.23 |
| BA/BI = 9/1 | 9.33 ± 1.03 | 33.67 ± 4.23 | 94.09 ± 8.37 |
| BA/BI = 8/2 | 4.73 ± 0.45 | 26.24 ± 2.46 | 49.83 ± 2.44 |
| BA/BI = 7/3 * | 0.27 ± 0.07 | 71.04 ± 10.45 | 0.77 ± 0.12 |
| Item | * Tg (°C) | Tc (°C) | ΔHc (mJ·mg−1) | Tm (°C) | ΔHm (mJ·mg−1) | Td-5% (°C) |
|---|---|---|---|---|---|---|
| BA/BI = 8/2—0.001 | −52.8 | 4 | −37.6 | 30.6, 39.7 | 35.6 | 333.4 |
| BA/BI = 8/2—0.01 | −52.9 | 4.8 | −39.4 | 30.9, 40.8 | 38.2 | 325.5 |
| BA/BI = 8/2—0.05 | −53.4 | 9.3 | −43.8 | 32.0, 40.7 | 42.6 | 331.9 |
| BA/BI = 8/2—0.1 | −55.5 | 6.6 | −40.8 | 30.5, 40.6 | 39.7 | 323.7 |
| BA/BI = 8/2—0.2 | −56.1 | 8.9 | −39.3 | 31.9, 40.9 | 38.4 | 324.9 |
© 2019 by the authors. Licensee MDPI, Basel, Switzerland. This article is an open access article distributed under the terms and conditions of the Creative Commons Attribution (CC BY) license (http://creativecommons.org/licenses/by/4.0/).
Share and Cite
Chen, C.-W.; Hsu, T.-S.; Rwei, S.-P. Effect of Ethylenediaminetetraacetic Acid on Unsaturated Poly(Butylene Adipate-Co-Butylene Itaconate) Copolyester with Low-Melting Point and Controllable Hardness. Polymers 2019, 11, 611. https://doi.org/10.3390/polym11040611
Chen C-W, Hsu T-S, Rwei S-P. Effect of Ethylenediaminetetraacetic Acid on Unsaturated Poly(Butylene Adipate-Co-Butylene Itaconate) Copolyester with Low-Melting Point and Controllable Hardness. Polymers. 2019; 11(4):611. https://doi.org/10.3390/polym11040611
Chicago/Turabian StyleChen, Chin-Wen, Te-Sheng Hsu, and Syang-Peng Rwei. 2019. "Effect of Ethylenediaminetetraacetic Acid on Unsaturated Poly(Butylene Adipate-Co-Butylene Itaconate) Copolyester with Low-Melting Point and Controllable Hardness" Polymers 11, no. 4: 611. https://doi.org/10.3390/polym11040611
APA StyleChen, C.-W., Hsu, T.-S., & Rwei, S.-P. (2019). Effect of Ethylenediaminetetraacetic Acid on Unsaturated Poly(Butylene Adipate-Co-Butylene Itaconate) Copolyester with Low-Melting Point and Controllable Hardness. Polymers, 11(4), 611. https://doi.org/10.3390/polym11040611

