Functional Polyimide/Polyhedral Oligomeric Silsesquioxane Nanocomposites
Abstract
1. Introduction
2. PI/POSS Nanocomposites
2.1. Non-Functional POSS NPs Blended with PIs
2.2. Mono-Functional POSS NPs with PIs
2.2.1. PIs Containing POSS NPs at Polymer Chain End
2.2.2. PIs presenting POSS NPs Grafted to the Side Chains
2.3. Bifunctional POSS NPs Incorporated within the Main Chain of PIs
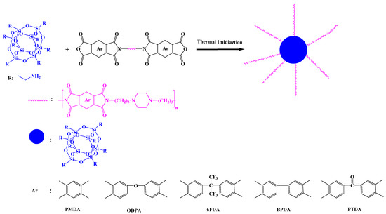
2.4. Thermally Crosslinked PIs Incorporating Multi-Functional POSS NPs
3. Conclusions
Author Contributions
Conflicts of Interest
References
- Shea, K.J.; Loy, D.A. Bridged polysilsesquioxanes. Molecular-engineered hybrid Organic-inorganic materials. Chem. Mater. 2001, 13, 3306–3319. [Google Scholar] [CrossRef]
- Kuo, S.W.; Chang, F.C. POSS related polymer nanocomposites. Prog. Polym. Sci. 2011, 36, 1649–1696. [Google Scholar] [CrossRef]
- Cordes, D.B.; Lickiss, P.D.; Rataboul, F. Recent developments in the chemistry of cubic polyhedral oligosilsesquioxanes. Chem. Rev. 2010, 110, 2081–2173. [Google Scholar] [CrossRef] [PubMed]
- Wu, J.; Mather, P.T. POSS polymers: Physical properties and biomaterials applications. Polym. Rev. 2009, 49, 25–63. [Google Scholar] [CrossRef]
- Li, Z.; Kong, J.; Wang, F.; He, C. Polyhedral oligomeric silsesquioxanes (POSSs): An important building block for organic optoelectronic materials. J. Mater. Chem. C 2017, 5, 5283–5298. [Google Scholar] [CrossRef]
- Li, Z.; Tan, B.H.; Jin, G.; Li, K.; He, C. Design of polyhedral oligomeric silsesquioxane (POSS) based thermo-responsive amphiphilic hybrid copolymers for thermally denatured protein protection applications. Polym. Chem. 2014, 5, 6740–6753. [Google Scholar] [CrossRef]
- Blanco, I.; Bottino, F.A.; Bottino, P. Influence of symmetry/asymmetry of the NPs structure on the thermal stability of polyhedral oligomeric silsesquioxane/polystyrene nanocomposites. Polym. Compos. 2012, 33, 1903–1910. [Google Scholar] [CrossRef]
- Moore, B.M.; Ramirez, S.M.; Yandek, G.R.; Haddad, T.S.; Mabry, J.M. Asymmetric aryl polyhedral oligomeric silsesquioxanes (ArPOSS) with enhanced solubility. J. Organomet. Chem. 2011, 696, 2676–2680. [Google Scholar] [CrossRef]
- Kuo, S.W. Building Blocks Precisely from Polyhedral Oligomeric Silsesquioxane Nanoparticles. ACS Cent. Sci. 2016, 2, 62–64. [Google Scholar] [CrossRef]
- Mohamed, M.G.; Jheng, Y.R.; Yeh, S.L.; Chen, T.; Kuo, S.W. Unusual Emission of Polystyrene-Based Alternating Copolymers Incorporating Aminobutyl Maleimide Fluorophore-Containing Polyhedral Oligomeric Silsesquioxane NPs. Polymers 2017, 9, 103. [Google Scholar] [CrossRef]
- Zhang, W.; Camino, G.; Yang, R. Polymer/polyhedral oligomeric silsesquioxane (POSS) nanocomposites: An overview of fire retardance. Prog. Polym. Sci. 2017, 67, 77–125. [Google Scholar] [CrossRef]
- Zhou, Z.; Cui, L.; Zhang, Y.; Zhang, Y.; Yin, N. Preparation and properties of POSS grafted polypropylene by reactive blending. Eur. Polym. J. 2008, 44, 3057–3066. [Google Scholar] [CrossRef]
- Gnanasekaran, D.; Madhaven, K.; Reddy, B. Developments of polyhedral oligomeric silsesquioxanes (POSS), POSS nanocomposites and their applications: A review. J. Sci. Ind. Res. 2009, 68, 437–464. [Google Scholar]
- Chou, C.H.; Hsu, S.L.; Dinakaran, K.; Chiu, M.Y.; Wei, K.H. Synthesis and Characterization of Luminescent Polyfluorenes Incorporating Side-Chain-Tethered Polyhedral Oligomeric Silsesquioxane Units. Macromolecules 2005, 38, 745–751. [Google Scholar] [CrossRef]
- Ak, M.; Gacal, B.; Kiskan, B.; Yagci, Y.; Toppare, L. Enhancing electrochromic properties of polypyrrole by silsesquioxane nanocages. Polymer 2008, 49, 2202–2210. [Google Scholar] [CrossRef]
- Guenthner, A.J.; Lamison, K.R.; Lubin, L.M.; Haddad, T.S.; Mabry, J.M. Hansen Solubility Parameters for Octahedral Oligomeric Silsesquioxanes. Ind. Eng. Chem. Res. 2012, 51, 12282–12293. [Google Scholar] [CrossRef]
- Zhang, W.; Müller, A.H.E. Synthesis of tadpole-shaped POSS-containing hybrid polymers via “click chemistry”. Polymer 2010, 51, 2133–2139. [Google Scholar] [CrossRef]
- Guo, H.; Meador, M.A.B.; McCorkle, L.; Quade, D.J.; Guo, J.; Hamilton, B.; Cakmak, M. Tailoring Properties of Cross-Linked Polyimide Aerogels for Better Moisture Resistance, Flexibility, and Strength. ACS Appl. Mater. Interface 2012, 4, 5422–5429. [Google Scholar] [CrossRef]
- Maji, K.; Halder, D. POSS-Appended Diphenylalanine: Self-Cleaning, Pollution-Protective, and Fire-Retardant Hybrid Molecular Material. ACS Omega 2017, 2, 1938–1946. [Google Scholar] [CrossRef]
- Pramudya, I.; Rico, C.G.; Lee, C.; Chung, H. POSS-Containing Bioinspired Adhesives with Enhanced Mechanical and Optical Properties for Biomedical Applications. Biomacromolecules 2016, 17, 3853–3861. [Google Scholar] [CrossRef]
- Ueda, K.; Tanaka, K.; Chujo, Y. Fluoroalkyl POSS with Dual Functional Groups as a Molecular Filler for Lowering Refractive Indices and Improving Thermomechanical Properties of PMMA. Polymers 2018, 10, 1332. [Google Scholar] [CrossRef]
- Liu, Y.; Wu, X.; Sun, Y.; Xie, W. POSS Dental Nanocomposite Resin: Synthesis, Shrinkage, Double Bond Conversion, Hardness, and Resistance Properties. Polymers 2018, 10, 369. [Google Scholar] [CrossRef]
- Blanco, I. The Rediscovery of POSS: A Molecule Rather than a Filler. Polymers 2018, 10, 904. [Google Scholar] [CrossRef]
- Huang, K.W.; Tsai, L.W.; Kuo, S.W. Influence of octakis-functionalized polyhedral oligomeric silsesquioxanes on the physical properties of their polymer nanocomposites. Polymer 2009, 50, 4876–4887. [Google Scholar] [CrossRef]
- Blanco, I.; Abate, L.; Bottino, F.A. Mono substituted octaphenyl POSSs: The effects of substituents on thermal properties and solubility. Thermochim. Acta 2017, 655, 117–123. [Google Scholar] [CrossRef]
- Blanco, I.; Bottino, F.A. The influence of the nature of POSSs cage’s periphery on the thermal stability of a series of new bridged POSS/PS nanocomposites. Polym. Degrad. Stab. 2015, 121, 180–186. [Google Scholar] [CrossRef]
- Hu, W.H.; Huang, K.W.; Chiou, C.W.; Kuo, S.W. Complementary Multiple Hydrogen Bonding Interactions Induce the Self-Assembly of Supramolecular Structures from Heteronucleobase-Functionalized Benzoxazine and Polyhedral Oligomeric Silsesquioxane Nanoparticles. Macromolecules 2012, 45, 9020–9028. [Google Scholar] [CrossRef]
- Wu, Y.C.; Kuo, S.W. Self-assembly supramolecular structure through complementary multiple hydrogen bonding of heteronucleobase-multifunctionalized polyhedral oligomeric silsesquioxane (POSS) complexes. J. Mater. Chem. 2012, 22, 2982–2991. [Google Scholar] [CrossRef]
- Chiou, C.W.; Lin, Y.C.; Wang, L.; Hirano, C.; Suzuki, Y.; Hayakawa, T.; Kuo, S.W. Strong Screening Effect of Polyhedral Oligomeric Silsesquioxanes (POSS) Nanoparticles on Hydrogen Bonded Polymer Blends. Polymers 2014, 6, 926–948. [Google Scholar] [CrossRef]
- Chen, W.C.; Lin, R.C.; Tseng, S.M.; Kuo, S.W. Minimizing the Strong Screening Effect of Polyhedral Oligomeric Silsesquioxane Nanoparticles in Hydrogen-Bonded Random Copolymers. Polymers 2018, 10, 303. [Google Scholar] [CrossRef]
- Mohamed, M.G.; Kuo, S.W. Polybenzoxazine/Polyhedral Oligomeric Silsesquioxane (POSS) Nanocomposites. Polymers 2016, 6, 225. [Google Scholar] [CrossRef]
- Mohamed, M.G.; Hsu, K.C.; Hong, J.L.; Kuo, S.W. Unexpected fluorescence from maleimide-containing polyhedral oligomeric silsesquioxanes: Nanoparticle and sequence distribution analyses of polystyrene-based alternating copolymers. Polym. Chem. 2016, 7, 135–145. [Google Scholar] [CrossRef]
- Laine, R.M.; Roll, M.F. Polyhedral Phenylsilsesquioxanes. Macromolecules 2011, 44, 1073–1109. [Google Scholar] [CrossRef]
- Lin, Y.C.; Kuo, S.W. Hierarchical self-assembly structures of POSS-containing polypeptide block copolymers synthesized using a combination of ATRP, ROP and click chemistry. Polym. Chem. 2012, 3, 882–891. [Google Scholar] [CrossRef]
- Lin, Y.C.; Kuo, S.W. Hierarchical self-assembly and secondary structures of linear polypeptides graft onto POSS in the side chain through click chemistry. Polym. Chem. 2012, 3, 162–171. [Google Scholar] [CrossRef]
- Tomasz, P.; Anna, K.; Bozena, Z.; Marek, J.P. Structure, dynamics, and host-guest interactions in POSS functionalized cross-linked nanoporous hybrid organic-inorganic polymers. J. Phys. Chem. C 2015, 119, 26575–26587. [Google Scholar]
- Liao, Y.T.; Lin, Y.C.; Kuo, S.W. Highly Thermally Stable, Transparent, and Flexible Polybenzoxazine Nanocomposites by Combination of Double-Decker-Shaped Polyhedral Silsesquioxanes and Polydimethylsiloxane. Macromolecules 2017, 50, 5739–5747. [Google Scholar] [CrossRef]
- Hong, B.; Thoms, T.P.S.; Murfee, H.J.; Lebrun, M.L. Highly dendritic macromolecules with core polyhedral silsesquioxane functionalities. Inorg. Chem. 1997, 36, 6146–6147. [Google Scholar] [CrossRef]
- Phillips, S.H.; Haddad, T.S.; Tomczak, S.J. Development in nanoscience: Polyherdral oligomeric silsesquioxane (POSS)-polymers. Curr. Opin. Solid State Mater. Sci. 2004, 8, 21–29. [Google Scholar] [CrossRef]
- Ayandele, E.; Sarkar, B.; Alexandridis, P. Polyhedral Oligomeric Silsesquioxane (POSS)-Containing Polymer Nanocomposites. Nanomaterials 2012, 2, 445–475. [Google Scholar] [CrossRef]
- Balazs, A.C.; Emrick, T.; Russell, T.P. Nanoparticle polymer composites: Where two small worlds meet. Science 2006, 314, 1107–1110. [Google Scholar] [CrossRef] [PubMed]
- Anderson, J.A.; Sknepnek, R.; Travesset, A. Design of polymer nanocomposites in solution by polymer functionalization. Phys. Rev. E 2010, 82, 021803–0218011. [Google Scholar] [CrossRef] [PubMed]
- Bockstaller, M.R.; Mickiewicz, R.A.; Thomas, E.L. Block copolymer nanocomposites: Perspectives for tailored functional materials. Adv. Mater. 2005, 17, 1331–1349. [Google Scholar] [CrossRef]
- Ahmad, Z.; Mark, J.E. Polyimide-Ceramic Hybrid Composites by the Sol-Gel Route. Chem. Mater. 2001, 13, 3320–3330. [Google Scholar] [CrossRef]
- Govindaraj, B.; Sundararajanb, P.; Muthusamy Sarojadevi, M. Synthesis and characterization of polyimide/polyhedral oligomeric silsesquioxane nanocomposites containing quinolyl moiety. Polym. Int. 2012, 61, 1344–1352. [Google Scholar] [CrossRef]
- Ando, S.; Harada, M.; Okada, T.; Ishige, R. Effective Reduction of Volumetric Thermal Expansion of Aromatic Polyimide Films by Incorporating Interchain Crosslinking. Polymers 2018, 10, 761. [Google Scholar] [CrossRef]
- Mathews, A.S.; Kim, I.; Ha, C.S. Fully aliphatic polyimides from adamantane-based diamines for enhanced thermal stability, solubility, transparency, and low dielectric constant. J. Appl. Polym. Sci. 2006, 102, 3316–3326. [Google Scholar] [CrossRef]
- Liaw, D.-J.; Liaw, B.-Y.; Li, L.-J.; Sillion, B.; Mercier, R.; Thiria, R.; Sekiguchi, H. Synthesis and characterization of new soluble polyimides from 3,3’,4,4’-benzhydrol tetracarboxylic dianhydride and various diamines. Chem. Mater. 1998, 10, 734–739. [Google Scholar] [CrossRef]
- Wachsman, E.D.; Frank, C.W. Effect of cure history on the morphology of polyimide: Fluorescence spectroscopy as a method for determining the degree of cure. Polymer 1988, 29, 1191–1197. [Google Scholar] [CrossRef]
- Sroog, C.E. Polyimides. J. Polym. Sci. Macromol. Rev. 1976, 11, 161–208. [Google Scholar] [CrossRef]
- Choi, J.Y.; Yu, H.C.; Lee, J.; Jeon, J.; Im, J.; Jan, J.; Jin, S.W.; Kim, K.K.; Cho, S.; Chung, C.M. Preparation of Polyimide/Graphene Oxide Nanocomposite and Its Application to Nonvolatile Resistive Memory Device. Polymers 2018, 10, 901. [Google Scholar] [CrossRef]
- Chen, Y.; Lin, B.; Zhang, X.; Wang, J.; Lai, C.; Sun, Y.; Liu, Y.; Yang, H. Enhanced Dielectric Properties of Amino-Modified-CNT/Polyimide Composite Films with A Sandwich Structure. J. Mater. Chem. A 2014, 2, 14118–14126. [Google Scholar] [CrossRef]
- Lei, X.; Chen, Y.; Qiao, M.; Tian, L.; Zhang, Q. Hyperbranched Polysiloxane (HBPSi)-Based Polyimide Films with Ultralow Dielectric Permittivity, Desirable Mechanical and Thermal Properties. J. Mater. Chem. C 2016, 14, 2134–2146. [Google Scholar] [CrossRef]
- Simpson, J.O.; St. Clair, A.K. Fundamental Insight on Developing Low Dielectric Constant Polyimides. Thin Solid Films 1997, 309, 480–485. [Google Scholar] [CrossRef]
- Lyulin, S.V.; Larin, S.V.; Gurtovenko, A.A.; Nazarychev, V.M.; Falkovich, S.G.; Yudin, V.E.; Svetlichnyi, V.M.; Gofman, I.V.; Lyulin, A.V. Thermal Properties of Bulk Polyimides: Insights from Computer Modeling Versus Experiment. Soft Matter 2014, 10, 1224–1232. [Google Scholar] [CrossRef] [PubMed]
- Chi, Q.; Sun, J.; Zhang, C.; Liu, G.; Lin, J.; Wang, Y.; Wang, X.; Lei, Q. Enhanced Dielectric Performance of Amorphous Calcium Copper Titanate/Polyimide Hybrid Film. J. Mater. Chem. C 2014, 2, 172–177. [Google Scholar] [CrossRef]
- Liao, W.H.; Yang, S.Y.; Hsiao, S.T.; Wang, Y.S.; Li, S.M.; Tien, H.W.; Ma, C.C.M.; Zeng, S.J. A Novel Approach to Prepare Graphene Oxide/Soluble Polyimide Composite Films with A Low Dielectric Constant and High Mechanical Properties. RSC Adv. 2014, 4, 51117–51125. [Google Scholar] [CrossRef]
- Lei, X.F.; Chen, Y.; Zhang, H.P.; Li, X.J.; Yao, P.; Zhang, Q.Y. Space Survivable Polyimides with Excellent Optical Transparency and Self-Healing Properties Derived from Hyperbranched Polysiloxane. ACS Appl. Mater. Interfaces 2013, 5, 10207–10220. [Google Scholar] [CrossRef]
- Kim, S.; Wang, X.; Ando, S.; Wang, X. Low Dielectric and Thermally Stable Hybrid Ternary Composites of Hyperbranched and Linear Polyimides with SiO2. RSC Adv. 2014, 4, 27267–27276. [Google Scholar] [CrossRef]
- Hasegawa, M.; Horiuchi, M.; Wada, Y. Polyimides Containing Trans-1,4-cyclohexane Unit (II). Low-K and Low-CTE Semi- and Wholly Cycloaliphatic Polyimides. High Perform. Polym. 2007, 19, 175–193. [Google Scholar] [CrossRef]
- Fan, H.; Yang, R. Flame-Retardant Polyimide Cross-Linked with Polyhedral Oligomeric Octa(aminophenyl)silsesquioxane. Ind. Eng. Chem. Res. 2013, 52, 2493–2500. [Google Scholar] [CrossRef]
- Zhang, L.; Tian, G.; Wang, X.; Qi, S.; Wu, Z.; Wu, D. Polyimide/ladder-like polysilsesquioxane hybrid films: Mechanical performance, microstructure and phase separation behaviors. Compos. Part B 2014, 56, 808–810. [Google Scholar] [CrossRef]
- Wu, Y.W.; Zhang, W.C.; Yang, R.J. Ultralight and Low Thermal Conductivity Polyimide-Polyhedral Oligomeric Silsesquioxanes Aerogels. Macromol. Mater. Eng. 2017, 1700403–1700415. [Google Scholar] [CrossRef]
- Tyan, H.L.; Leu, C.M.; Wei, K.H. Effect of Reactivity of Organics-Modified Montmorillonite on the Thermal and Mechanical Properties of Montmorillonite/Polyimide Nanocomposites. Chem. Mater. 2001, 13, 222–226. [Google Scholar] [CrossRef]
- Wu, S.; Hayakawa, T.; Kakimoto, M.; Oikawa, H. Synthesis and Characterization of Organosoluble Aromatic Polyimides Containing POSS in Main Chain Derived from Double-Decker-Shaped Silsesquioxane. Macromolecules 2008, 41, 3481–3487. [Google Scholar] [CrossRef]
- Jiang, L.Y.; Wei, K.H. Bulk and surface properties of layered silicates/fluorinated polyimide nanocomposites. J. Appl. Phys. 2002, 92, 6219–6223. [Google Scholar] [CrossRef]
- Huang, J.; He, C.; Xiao, Y.; Mya, K.Y.; Dai, J.; Siow, Y.P. Polyimide/POSS nanocomposites: Interfacial interaction, thermal properties and mechanical properties. Polymer 2003, 44, 4491–4499. [Google Scholar] [CrossRef]
- Tamaki, R.; Choi, J.; Laine, R.A. Polyimide Nanocomposite from Octa(aminophenyl)silsesquioxane. Chem. Mater. 2003, 15, 793–797. [Google Scholar] [CrossRef]
- Lin, C.H.; Chang, S.L.; Cheng, P.W. Soluble high-Tg polyetherimides with good flame retardancy based on an asymmetric phosphinated etherdiamine. J. Polym. Sci. Part A Polym. Chem. 2011, 49, 1331–1340. [Google Scholar] [CrossRef]
- Ye, Y.S.; Chen, W.Y.; Wang, Y.Z. Synthesis and Properties of Low-Dielectric-Constant Polyimides with Introduced Reactive Fluorine Polyhedral Oligomeric Silsesquioxanes. J. Polym. Sci. Part A Polym. 2006, 44, 5391–5402. [Google Scholar] [CrossRef]
- Ye, Y.S.; Yen, Y.C.; Chen, W.Y.; Cheng, C.C.; Chang, F.C. A simple approach toward low-dielectric polyimide nanocomposites: Blending the polyimide precursor with a fluorinated polyhedral oligomeric silsesquioxane. J. Polym. Sci. Part A Polym. Chem. 2008, 46, 6292–6304. [Google Scholar] [CrossRef]
- Liu, H.; Zheng, S.; Nie, K. Morphology and Thermomechanical Properties of Organic-Inorganic Hybrid Composites Involving Epoxy Resin and an Incompletely Condensed Polyhedral Oligomeric Silsesquioxane. Macromolecules 2005, 38, 5088–5097. [Google Scholar] [CrossRef]
- Xu, H.; Kuo, S.W.; Lee, J.S.; Chang, F.C. Glass transition temperatures of poly(hydroxystyrene-co-vinylpyrrolidone-co-isobutylstyrylpolyhedraloligosilsesquioxanes). Polymer 2003, 43, 5117–5124. [Google Scholar] [CrossRef]
- Liao, W.H.; Yang, Y.S.; Hsiao, T.S.; Wang, Y.S.; Li, M.S.; Ma, C.C.; Tien, H.W.; Zeng, J.S. Effect of Octa(aminophenyl) Polyhedral Oligomeric Silsesquioxane Functionalized Graphene Oxide on the Mechanical and Dielectric Properties of Polyimide Composites. ACS Appl. Mater. Interfaces 2014, 6, 15802–15812. [Google Scholar] [CrossRef] [PubMed]
- Lee, Y.J.; Huang, J.M.; Kuo, S.W.; Chang, F.C. Low-dielectric, nanoporous polyimide films prepared from PEO-POSS NPs. Polymer 2005, 46, 10056–10065. [Google Scholar] [CrossRef]
- Leu, C.M.; Reddy, G.M.; Wei, K.H.; Shu, C.F. Synthesis and Dielectric Properties of Polyimide-Chain-End Tethered Polyhedral Oligomeric Silsesquioxane Nanocomposites. Chem. Mater. 2003, 15, 2261–2265. [Google Scholar] [CrossRef]
- Wang, C.Y.; Chen, W.T.; Xu, C.; Zhao, X.Y.; Jian, L. Fluorinated Polyimide/POSS Hybrid Polymers with High Solubility and Low Dielectric Constant. Chin. J. Polym. Sci. 2016, 34, 1363–1372. [Google Scholar] [CrossRef]
- Leu, C.M.; Chang, Y.T.; Wei, K.H. Synthesis and Dielectric Properties of Polyimide-Tethered Polyhedral Oligomeric Silsesquioxane (POSS) Nanocomposites via POSS-diamine. Macromolecules 2003, 36, 9122–9127. [Google Scholar] [CrossRef]
- Chen, Y.; Chen, L.; Nie, H.; Kang, E.T. Low-k Nanocomposite Films Based on Polyimides with Grafted Polyhedral Oligomeric Silsesquioxane. J. Appl. Polym. Sci. 2006, 99, 2226–2232. [Google Scholar] [CrossRef]
- Wu, S.; Hayakawa, T.; Kikuchi, R.; Grunzinger, S.J.; Kakimoto, M. Synthesis and Characterization of Semiaromatic Polyimides Containing POSS in Main Chain Derived from Double-Decker-Shaped Silsesquioxane. Macromolecules 2007, 40, 5698–5705. [Google Scholar] [CrossRef]
- Qiu, J.; Xu, S.; Liu, N.; Wei, K.; Li, L.; Zheng, S. Organic–inorganic polyimide nanocomposites containing a tetrafunctional polyhedral oligomeric silsesquioxane amine: Synthesis, morphology and thermomechanical properties. Polym. Int. 2018, 67, 301–312. [Google Scholar] [CrossRef]
- Zheng, S.; Wang, L.; Liu, N. Organic-inorganic polyimides with double decker silsesquioxane in the main chains. Polym. Chem. 2016, 7, 1158–1167. [Google Scholar]
- Lee, Y.J.; Huang, J.M.; Kuo, S.W.; Lu, J.S.; Chang, F.C. Polyimide and polyhedral oligomeric silsesquioxane nanocomposites for low-dielectric applications. Polymer 2005, 46, 173–181. [Google Scholar] [CrossRef]
- Gong, C.; Liang, Y.; Qi, Z.; Li, H.; Wu, Z.; Zhang, Z.; Zhang, S.; Zhang, X.; Li, Y. Solution processable octa(aminophenyl)silsesquioxane covalently cross-linked sulfonated polyimides for proton exchange membranes. J. Membr. Sci. 2015, 476, 364–372. [Google Scholar] [CrossRef]
- Devaraju, S.; Vengatesan, M.R.; Selvi, M.; Kumar, A.A.; Alagar, M. Synthesis and characterization of bisphenol-A ether diamine-based polyimide POSS nanocomposites for low K dielectric and flame-retardant applications. High Perform. Polym. 2012, 24, 85–96. [Google Scholar] [CrossRef]
- Seckin, T.; Köytepe, S.; Adıgüzel, H.I. Molecular design of POSS core star polyimides as a route to low-k dielectric materials. Mater. Chem. Phys. 2008, 112, 1040–1046. [Google Scholar] [CrossRef]

















© 2018 by the authors. Licensee MDPI, Basel, Switzerland. This article is an open access article distributed under the terms and conditions of the Creative Commons Attribution (CC BY) license (http://creativecommons.org/licenses/by/4.0/).
Share and Cite
Mohamed, M.G.; Kuo, S.W. Functional Polyimide/Polyhedral Oligomeric Silsesquioxane Nanocomposites. Polymers 2019, 11, 26. https://doi.org/10.3390/polym11010026
Mohamed MG, Kuo SW. Functional Polyimide/Polyhedral Oligomeric Silsesquioxane Nanocomposites. Polymers. 2019; 11(1):26. https://doi.org/10.3390/polym11010026
Chicago/Turabian StyleMohamed, Mohamed Gamal, and Shiao Wei Kuo. 2019. "Functional Polyimide/Polyhedral Oligomeric Silsesquioxane Nanocomposites" Polymers 11, no. 1: 26. https://doi.org/10.3390/polym11010026
APA StyleMohamed, M. G., & Kuo, S. W. (2019). Functional Polyimide/Polyhedral Oligomeric Silsesquioxane Nanocomposites. Polymers, 11(1), 26. https://doi.org/10.3390/polym11010026
