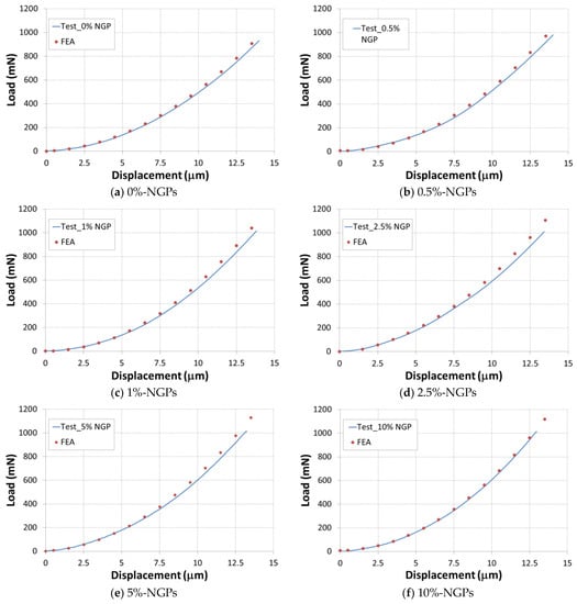
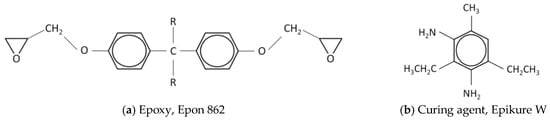
Effect of Graphene Nano-Additives on the Local Mechanical Behavior of Derived Polymer Nanocomposites
Tarfaoui, M.; Lafdi, K.; Beloufa, I.; Daloia, D.; Muhsan, A. Effect of Graphene Nano-Additives on the Local Mechanical Behavior of Derived Polymer Nanocomposites. Polymers 2018, 10, 667. https://doi.org/10.3390/polym10060667
Tarfaoui M, Lafdi K, Beloufa I, Daloia D, Muhsan A. Effect of Graphene Nano-Additives on the Local Mechanical Behavior of Derived Polymer Nanocomposites. Polymers. 2018; 10(6):667. https://doi.org/10.3390/polym10060667
Chicago/Turabian StyleTarfaoui, Mostapha, Khalid Lafdi, Imane Beloufa, Debora Daloia, and Ali Muhsan. 2018. "Effect of Graphene Nano-Additives on the Local Mechanical Behavior of Derived Polymer Nanocomposites" Polymers 10, no. 6: 667. https://doi.org/10.3390/polym10060667


