Correlation between Solubility Parameters and Properties of Alkali Lignin/PVA Composites
Abstract
:1. Introduction
2. Materials and Methods
2.1. Materials
2.2. Determination of Solubility Parameters of Alkali Lignin/PVA Composite Materials by IGC
2.3. Preparation of Alkali Lignin/PVA Composite Membrane
2.4. Test of Mechanical Properties of Alkali Lignin/PVA Composite Membranes
2.5. Test of Hydrophilic Properties of Alkali Lignin/PVA Composite Membranes
3. Results and Discussion
3.1. Solubility Parameters of Alkali Lignin/PVA Composite Membranes with Different Proportions of Alkali Lignin
3.1.1. Retention Volumes of Probe Solvents
3.1.2. Thermodynamics Parameters of Probe Solvents
3.1.3. Interaction Parameters
3.1.4. Solubility Parameters
3.2. Relationship between Mechanical Properties and Solubility Parameters (δ2) of Lignin/PVA Composite Membranes
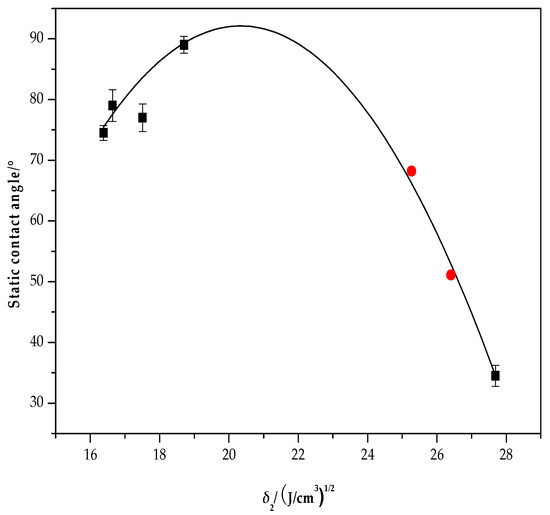
3.3. Relationship between Contact Angle and Solubility Parameter (δ2) of Alkali Lignin/PVA Composite Membranes
4. Conclusions
Acknowledgments
Author Contributions
Conflicts of Interest
Appendix A
| Probe Solvent | 10% Alkali Lignin | 15% Alkali Lignin | ||||||||
| 383 K | 393 K | 403 K | 413 K | 423 K | 383 K | 393 K | 403 K | 413 K | 423 K | |
| n-hexane | 1.01 | 0.68 | 0.4 | 0.38 | 0.31 | 1.13 | 0.82 | 0.62 | 0.21 | 0.32 |
| n-heptane | 3.03 | 2.11 | 1.35 | 1.09 | 0.79 | 3.83 | 2.47 | 1.72 | 1.12 | 0.8 |
| n-octane | 8.28 | 5.41 | 3.54 | 2.48 | 1.73 | 10.31 | 6.69 | 4.51 | 2.96 | 2.17 |
| n-nonane | 19.46 | 12.32 | 8.08 | 5.6 | 3.87 | 22.49 | 15.12 | 10.2 | 6.54 | 4.7 |
| n-decane | 41.29 | 25.72 | 16.79 | 11.24 | 7.61 | 49.49 | 31.06 | 21.03 | 13.45 | 9.37 |
| cyclopentane | 0.2 | 0.13 | 0.08 | 0.11 | 0.07 | 0.1 | 0.14 | 0.04 | −0.08 | 0.08 |
| cyclohexane | 1.32 | 0.85 | 0.6 | 0.48 | 0.37 | 1.28 | 1.05 | 0.66 | 0.29 | 0.28 |
| benzene | 2.18 | 1.44 | 1.07 | 0.95 | 0.77 | 2.36 | 1.56 | 1.24 | 0.79 | 0.76 |
| methylbenzene | 7.14 | 4.33 | 2.84 | 2.32 | 1.64 | 7.76 | 5.5 | 3.84 | 2.37 | 1.73 |
| tetrahydrofuran | 3.57 | 2.37 | 1.79 | 1.52 | 1.21 | 3.73 | 2.79 | 2.12 | 1.29 | 1.17 |
| methanol | 8.24 | 5.26 | 3.82 | 2.99 | 2.34 | 12.52 | 8.25 | 6.05 | 4.12 | 3.34 |
| ethanol | 6.94 | 4.1 | 3.04 | 2.21 | 1.55 | 8.69 | 5.13 | 3.58 | 2.21 | 1.97 |
| 1-propanol | 6.35 | 3.8 | 2.57 | 1.91 | 1.39 | 7.61 | 3.66 | 2.87 | 2.04 | 1.41 |
| isopropanol | 5.32 | 3.57 | 2.23 | 1.79 | 1.3 | 5.01 | 3.3 | 2.43 | 1.46 | 1.25 |
| acetone | 4.69 | 2.11 | 1.53 | 1.47 | 1.13 | 4.32 | 2.84 | 2.34 | 1.29 | 1.37 |
| methyl ethyl ketone | 5.1 | 3.91 | 3.02 | 2.38 | 1.75 | 5.2 | 4.21 | 3.22 | 2.12 | 1.73 |
| methyl isobutyl ketone | 13.11 | 10.78 | 7.16 | 6.14 | 4.13 | 14.48 | 10.67 | 8.17 | 5.37 | 4.22 |
| dichloromethane | 0.79 | 0.63 | 0.6 | 0.61 | 0.51 | 0.98 | 0.78 | 0.84 | 0.46 | 0.76 |
| trichloromethane | 1.68 | 1.31 | 1.03 | 0.93 | 0.8 | 1.91 | 1.65 | 1.37 | 0.87 | 1.09 |
| trichloroethylene | 2.99 | 1.99 | 1.43 | 1.28 | 1.02 | 3.29 | 2.38 | 1.72 | 1.29 | 1.17 |
| Probe Solvent | 20% Alkali Lignin | 25% Alkali Lignin | ||||||||
| 383 K | 393 K | 403 K | 413 K | 423 K | 383 K | 393 K | 403 K | 413 K | 423 K | |
| n-hexane | 1.34 | 0.93 | 0.63 | 0.37 | 0.29 | 2.41 | 2.16 | 1.63 | 1.07 | 0.86 |
| n-heptane | 3.99 | 2.72 | 1.88 | 1.3 | 0.93 | 7.03 | 5.5 | 4.02 | 2.9 | 2.22 |
| n-octane | 10.12 | 6.78 | 4.63 | 3.37 | 2.09 | 17.08 | 12.36 | 8.75 | 6.24 | 4.92 |
| n-nonane | 23.25 | 15.15 | 10.04 | 6.92 | 4.59 | 38.15 | 26.13 | 18.01 | 12.38 | 9.13 |
| n-decane | 49.07 | 31.89 | 20.64 | 13.9 | 9.36 | 85.77 | 54.61 | 36.02 | 23.09 | 16.61 |
| cyclopentane | 0.32 | 0.17 | 0.13 | 0.09 | 0.06 | 0.21 | 0.56 | 0.48 | 0.3 | 0.06 |
| cyclohexane | 1.45 | 1.13 | 0.81 | 0.56 | 0.41 | 2.31 | 2.01 | 1.58 | 1.07 | 0.67 |
| benzene | 2.22 | 1.73 | 1.25 | 0.93 | 0.64 | 3.93 | 3.43 | 2.68 | 2.04 | 1.63 |
| methylbenzene | 7.76 | 5.18 | 3.44 | 2.44 | 1.74 | 11.55 | 8.66 | 6.57 | 4.72 | 3.96 |
| tetrahydrofuran | 2.93 | 2.26 | 1.75 | 1.08 | 0.84 | 11.13 | 8.03 | 5.94 | 4.16 | 3.33 |
| methanol | -- | -- | -- | -- | -- | -- | -- | -- | -- | -- |
| ethanol | 6.17 | 3.65 | 2.53 | 1.91 | 1.4 | 15.59 | 11.43 | 8.71 | 6.05 | 4.69 |
| 1-propanol | 4.97 | 3.19 | 2.06 | 1.67 | 1.02 | 15.11 | 10.49 | 7.5 | 5.06 | 3.9 |
| isopropanol | 4.41 | 2.99 | 2.06 | 1.39 | 0.93 | 15.43 | 10.53 | 7.23 | 4.91 | 3.73 |
| acetone | 3.28 | 2.19 | 1.5 | 1.2 | 0.76 | 14.39 | 9.99 | 7.54 | 5.3 | 4.15 |
| methyl ethyl ketone | 5.29 | 3.69 | 2.5 | 1.91 | 1.4 | 22.54 | 14.3 | 10.77 | 7.64 | 5.24 |
| methyl isobutyl ketone | 13.51 | 10.4 | 6.82 | 5.16 | 3.66 | 70.15 | 45.41 | 30.17 | 20.04 | 13.43 |
| dichloromethane | 0.88 | 0.63 | 0.44 | 0.43 | 0.38 | 1.6 | 1.71 | 1.45 | 0.92 | 0.9 |
| trichloromethane | 1.94 | 1.46 | 1.19 | 0.9 | 0.76 | 3.98 | 3.04 | 2.4 | 1.59 | 1.53 |
| trichloroethylene | 3.28 | 2.39 | 1.69 | 1.42 | 1.13 | 5.48 | 4.24 | 3.21 | 2.47 | 1.86 |
| Probe Solvent | 10% Alkali Lignin | 15% Alkali Lignin | ||||
| ∆ | ∆ | ∆Hv | ∆ | ∆ | ∆Hv | |
| n-hexane | −39.82 | −13.66 | 26.16 | −52.60 | −26.44 | 26.16 |
| n-heptane | −45.46 | −14.79 | 30.67 | −52.73 | −22.05 | 30.67 |
| n-octane | −52.72 | −17.69 | 35.03 | −53.05 | −18.02 | 35.03 |
| n-nonane | −54.22 | −14.90 | 39.32 | −53.48 | −14.16 | 39.32 |
| n-decane | −56.77 | −13.18 | 43.59 | −56.18 | −12.59 | 43.59 |
| cyclopentane | −29.11 | −5.15 | 23.96 | −12.47 | 11.49 | 23.96 |
| cyclohexane | −42.61 | −14.64 | 27.97 | −58.03 | −30.06 | 27.97 |
| benzene | −33.85 | −5.17 | 28.68 | −39.66 | −10.98 | 28.68 |
| methylbenzene | −48.14 | −15.42 | 32.72 | −51.74 | −19.02 | 32.72 |
| tetrahydrofuran | −35.35 | −16.11 | 19.24 | −41.80 | −22.55 | 19.24 |
| methanol | −41.72 | −8.09 | 33.63 | −45.08 | −11.45 | 33.63 |
| ethanol | −48.78 | −11.95 | 36.83 | −51.59 | −14.76 | 36.83 |
| 1-propanol | −50.47 | −9.87 | 40.60 | −53.58 | −12.98 | 40.60 |
| isopropanol | −47.48 | −13.13 | 34.35 | −48.58 | −14.23 | 34.35 |
| acetone | −43.69 | −17.09 | 26.60 | −41.81 | −15.21 | 26.60 |
| methyl ethyl ketone | −35.41 | −5.82 | 29.59 | −38.88 | −9.29 | 29.59 |
| methyl isobutyl ketone | −38.69 | −21.42 | 17.27 | −42.46 | −25.19 | 17.27 |
| dichloromethane | −12.16 | 12.22 | 24.39 | −14.18 | 10.21 | 24.39 |
| trichloromethane | −24.62 | 1.70 | 26.32 | −23.99 | 2.33 | 26.32 |
| trichloroethylene | −35.03 | −4.97 | 30.06 | −36.36 | −6.30 | 30.06 |
| Probe Solvent | 20% Alkali Lignin | 25% Alkali Lignin | ||||
| ∆ | ∆H | ∆Hv | ∆ | ∆ | ∆Hv | |
| n-hexane | −53.62 | −27.46 | 26.16 | −37.09 | −10.93 | 26.16 |
| n-heptane | −49.24 | −18.57 | 30.67 | −39.69 | −9.02 | 30.67 |
| n-octane | −51.88 | −16.84 | 35.03 | −42.77 | −7.73 | 35.03 |
| n-nonane | −54.28 | −14.97 | 39.32 | −48.63 | −9.32 | 39.32 |
| n-decane | −55.87 | −12.28 | 43.59 | −55.90 | −12.31 | 43.59 |
| cyclopentane | −53.73 | −29.78 | 23.96 | −40.43 | −14.98 | 25.45 |
| cyclohexane | −43.66 | −15.69 | 27.97 | −41.55 | −13.57 | 27.97 |
| benzene | −41.89 | −13.21 | 28.68 | −30.60 | −1.92 | 28.68 |
| methylbenzene | −50.44 | −17.72 | 32.72 | −37.06 | −4.34 | 32.72 |
| tetrahydrofuran | −43.41 | −24.17 | 19.24 | −41.40 | −22.16 | 19.24 |
| methanol | -- | -- | -- | -- | -- | -- |
| ethanol | −48.95 | −12.12 | 36.83 | −40.94 | −4.10 | 36.83 |
| 1-propanol | −51.54 | −10.94 | 40.60 | −46.37 | −5.77 | 40.60 |
| isopropanol | −52.24 | −17.89 | 34.35 | −48.61 | −14.25 | 34.35 |
| acetone | −47.64 | −21.04 | 26.60 | −42.11 | −15.52 | 26.60 |
| methyl ethyl ketone | −44.82 | −15.23 | 29.59 | −47.80 | −18.21 | 29.59 |
| methyl isobutyl ketone | −44.61 | −27.35 | 17.27 | −55.59 | −38.33 | 17.27 |
| dichloromethane | −28.19 | −3.80 | 24.39 | −23.59 | 0.79 | 24.39 |
| trichloromethane | −32.06 | −5.74 | 26.32 | −34.63 | −8.31 | 26.32 |
| trichloroethylene | −35.77 | −5.71 | 30.06 | −36.35 | −6.29 | 30.06 |
| Probe Solvent | 10% Alkali Lignin | 15% Alkali Lignin | ||||||||
| 383 K | 393 K | 403 K | 413 K | 423 K | 383 K | 393 K | 403 K | 413 K | 423 K | |
| n-hexane | 3.53 | 3.71 | 4.04 | 3.90 | 3.93 | 3.42 | 3.51 | 3.60 | 4.50 | 3.90 |
| n-heptane | 3.04 | 3.15 | 3.36 | 3.36 | 3.48 | 2.81 | 2.99 | 3.12 | 3.33 | 3.46 |
| n-octane | 2.66 | 2.80 | 2.96 | 3.07 | 3.19 | 2.45 | 2.59 | 2.72 | 2.89 | 2.96 |
| n-nonane | 2.44 | 2.58 | 2.70 | 2.79 | 2.89 | 2.30 | 2.37 | 2.47 | 2.63 | 2.70 |
| n-decane | 2.33 | 2.45 | 2.54 | 2.63 | 2.73 | 2.15 | 2.26 | 2.32 | 2.45 | 2.52 |
| cyclopentane | 4.85 | 5.12 | 5.40 | 4.87 | 5.16 | 5.57 | 5.04 | 5.99 | 5.19 | 5.06 |
| cyclohexane | 3.58 | 3.80 | 3.94 | 3.96 | 4.04 | 3.62 | 3.58 | 3.83 | 4.45 | 4.30 |
| benzene | 3.12 | 3.30 | 3.37 | 3.28 | 3.31 | 3.04 | 3.22 | 3.23 | 3.47 | 3.31 |
| methylbenzene | 2.57 | 2.80 | 2.97 | 2.94 | 3.07 | 2.49 | 2.57 | 2.67 | 2.92 | 3.02 |
| tetrahydrofuran | 1.21 | 1.46 | 1.59 | 1.62 | 1.73 | 1.17 | 1.30 | 1.42 | 1.78 | 1.76 |
| methanol | 1.95 | 2.12 | 2.19 | 2.19 | 2.21 | 1.53 | 1.68 | 1.73 | 1.87 | 1.86 |
| ethanol | 2.16 | 2.38 | 2.40 | 2.46 | 2.56 | 1.94 | 2.16 | 2.24 | 2.46 | 2.33 |
| 1-propanol | 2.64 | 2.82 | 2.90 | 2.91 | 2.95 | 2.46 | 2.85 | 2.79 | 2.84 | 2.94 |
| isopropanol | 2.31 | 2.42 | 2.62 | 2.60 | 2.70 | 2.37 | 2.50 | 2.54 | 2.81 | 2.74 |
| acetone | 1.95 | 2.53 | 2.65 | 2.50 | 2.59 | 2.04 | 2.24 | 2.23 | 2.63 | 2.4 |
| methyl ethyl ketone | 2.29 | 2.31 | 2.34 | 2.37 | 2.48 | 2.27 | 2.24 | 2.28 | 2.48 | 2.49 |
| methyl isobutyl ketone | 4.43 | 4.47 | 4.74 | 4.78 | 5.07 | 4.33 | 4.48 | 4.61 | 4.91 | 5.05 |
| dichloromethane | 2.93 | 2.95 | 2.82 | 2.63 | 2.64 | 2.71 | 2.74 | 2.48 | 2.91 | 2.24 |
| trichloromethane | 2.46 | 2.50 | 2.53 | 2.45 | 2.42 | 2.33 | 2.27 | 2.25 | 2.51 | 2.12 |
| trichloroethylene | 2.45 | 2.61 | 2.71 | 2.61 | 2.63 | 2.35 | 2.43 | 2.52 | 2.60 | 2.50 |
| Probe Solvent | 20% Alkali Lignin | 25% Alkali Lignin | ||||||||
| 383 K | 393 K | 403 K | 413 K | 423 K | 383 K | 393 K | 403 K | 413 K | 423 K | |
| n-hexane | 3.24 | 3.39 | 3.59 | 3.93 | 4.00 | 2.66 | 2.55 | 2.63 | 2.86 | 2.91 |
| n-heptane | 2.77 | 2.90 | 3.04 | 3.19 | 3.31 | 2.20 | 2.19 | 2.27 | 2.38 | 2.44 |
| n-octane | 2.46 | 2.58 | 2.69 | 2.76 | 3.00 | 1.94 | 1.98 | 2.05 | 2.14 | 2.14 |
| n-nonane | 2.27 | 2.37 | 2.48 | 2.57 | 2.72 | 1.77 | 1.83 | 1.90 | 1.99 | 2.03 |
| n-decane | 2.16 | 2.23 | 2.33 | 2.42 | 2.52 | 1.60 | 1.69 | 1.78 | 1.91 | 1.95 |
| cyclopentane | 4.40 | 4.85 | 4.95 | 5.08 | 5.39 | 4.82 | 3.63 | 3.60 | 3.90 | 5.31 |
| cyclohexane | 3.49 | 3.51 | 3.63 | 3.81 | 3.93 | 3.02 | 2.94 | 2.96 | 3.15 | 3.43 |
| benzene | 3.10 | 3.11 | 3.22 | 3.31 | 3.49 | 2.52 | 2.43 | 2.45 | 2.52 | 2.55 |
| methylbenzene | 2.49 | 2.62 | 2.78 | 2.89 | 3.01 | 2.09 | 2.11 | 2.14 | 2.23 | 2.19 |
| tetrahydrofuran | 1.41 | 1.51 | 1.62 | 1.96 | 2.08 | 0.08 | 0.24 | 0.39 | 0.61 | 0.71 |
| methanol | -- | -- | -- | -- | -- | -- | -- | -- | -- | -- |
| ethanol | 2.28 | 2.50 | 2.58 | 2.60 | 2.67 | 1.35 | 1.36 | 1.35 | 1.45 | 1.46 |
| 1-propanol | 2.88 | 2.99 | 3.12 | 3.04 | 3.26 | 1.77 | 1.80 | 1.83 | 1.93 | 1.92 |
| isopropanol | 2.50 | 2.60 | 2.70 | 2.85 | 3.03 | 1.24 | 1.34 | 1.45 | 1.59 | 1.65 |
| acetone | 2.31 | 2.50 | 2.67 | 2.70 | 2.99 | 0.83 | 0.98 | 1.06 | 1.22 | 1.29 |
| methyl ethyl ketone | 2.25 | 2.37 | 2.53 | 2.59 | 2.71 | 0.80 | 1.01 | 1.07 | 1.20 | 1.38 |
| methyl isobutyl ketone | 4.40 | 4.51 | 4.79 | 4.95 | 5.19 | 2.75 | 3.03 | 3.30 | 3.60 | 3.90 |
| dichloromethane | 2.82 | 2.95 | 3.13 | 2.97 | 2.94 | 2.22 | 1.95 | 1.93 | 2.21 | 2.07 |
| trichloromethane | 2.32 | 2.39 | 2.39 | 2.49 | 2.48 | 1.60 | 1.65 | 1.69 | 1.92 | 1.78 |
| trichloroethylene | 2.35 | 2.43 | 2.54 | 2.50 | 2.53 | 1.84 | 1.85 | 1.90 | 1.95 | 2.03 |
Appendix B
| Dependent Variable: y-Axis | ||||||
|---|---|---|---|---|---|---|
| Equation | Model Summary | Parameter Estimates | ||||
| R Square | F | df1 | df2 | Sig. | Constant | |
| Linear | 0.866 | 19.396 | 1 | 3 | 0.022 | |
| Logarithmic | 0.696 | 6.856 | 1 | 3 | 0.079 | |
| Inverse | 0.495 | 2.939 | 1 | 3 | 0.185 | |
| Quadratic | 0.994 | 171.868 | 2 | 2 | 0.006 | |
| Cubic | 0.997 | 108.908 | 3 | 1 | 0.070 | |
| Compound | 0.892 | 24.847 | 1 | 3 | 0.016 | 12.339 |
| Power | 0.731 | 8.145 | 1 | 3 | 0.065 | 6.853 |
| S | 0.532 | 3.404 | 1 | 3 | 0.162 | 3.261 |
| Growth | 0.892 | 24.847 | 1 | 3 | 0.016 | 2.513 |
| Exponential | 0.892 | 24.847 | 1 | 3 | 0.016 | 12.339 |
| Logistic | 0.892 | 24.847 | 1 | 3 | 0.016 | 0.081 |

| Dependent Variable: y-Axis | ||||||
|---|---|---|---|---|---|---|
| Equation | Model Summary | Parameter Estimates | ||||
| R Square | F | df1 | df2 | Sig. | Constant | |
| Linear | 0.815 | 13.217 | 1 | 3 | 0.036 | |
| Logarithmic | 0.779 | 10.548 | 1 | 3 | 0.048 | |
| Inverse | 0.735 | 8.317 | 1 | 3 | 0.063 | |
| Quadratic | 0.980 | 49.920 | 2 | 2 | 0.020 | |
| Cubic | 0.982 | 54.733 | 2 | 2 | 0.018 | |
| Compound | 0.876 | 21.286 | 1 | 3 | 0.019 | 289.986 |
| Power | 0.845 | 16.304 | 1 | 3 | 0.027 | 7731.486 |
| S | 0.805 | 12.410 | 1 | 3 | 0.039 | 2.417 |
| Growth | 0.876 | 21.286 | 1 | 3 | 0.019 | 5.670 |
| Exponential | 0.876 | 21.286 | 1 | 3 | 0.019 | 289.986 |
| Logistic | 0.876 | 21.286 | 1 | 3 | 0.019 | 0.003 |

Appendix C
References
- Li, J.; Zhang, J.; Zhang, S.; Gao, Q.; Li, J.; Zhang, W. Fast Curing Bio-Based Phenolic Resins via Lignin Demethylated under Mild Reaction Condition. Polymers 2017, 9, 428. [Google Scholar] [CrossRef]
- Jiang, L.; Ma, C.; Zhang, M.; Zhang, X. The graft polymers from different species of lignin and acrylic acid: Synthesis and mechanism study. Int. J. Biol. Macromol. 2014, 63, 43–48. [Google Scholar]
- Zhang, S.; Liu, L.; Fang, G.; Yan, N.; Ren, S.; Ma, Y. Hydrogenolysis and Activation of Soda Lignin Using [BMIM]Cl as a Catalyst and Solvent. Polymers 2017, 9, 279. [Google Scholar] [CrossRef]
- Azadfar, M.; Gao, A.H.; Bule, M.V.; Chen, S. Structural characterization of lignin: A potential source of antioxidants guaiacol and 4-vinylguaiacol. Int. J. Biol. Macromol. 2015, 75, 58–66. [Google Scholar] [CrossRef] [PubMed]
- Garrison, T.F.; Murawski, A.; Quirino, R.L. Bio-based polymers with potential for biodegradability. Polymers 2016, 8, 262. [Google Scholar] [CrossRef]
- Hu, S.; Chen, S. Large-Scale Membrane-and lignin-modified adsorbent-assisted Extraction and preconcentration of triazine analogs and aflatoxins. Int. J. Mol. Sci. 2017, 18, 801. [Google Scholar] [CrossRef] [PubMed]
- Afsar, N.U.; Yu, D.; Cheng, C.; Emmanuel, K.; Ge, L.; Wu, B.; Mondal, A.N.; Khan, M.I.; Xu, T. Fabrication of cation exchange membrane from polyvinyl alcohol using lignin sulfonic acid: Applications in diffusion dialysis process for alkali recovery. Sep. Sci. Technol. 2017, 52, 1106–1113. [Google Scholar] [CrossRef]
- Yu, P.; He, H.; Jia, Y.; Tian, S.; Chen, J.; Jia, D.; Luo, Y. A comprehensive study on lignin as a green alternative of silica in natural rubber composites. Polym. Test. 2016, 54, 176–185. [Google Scholar] [CrossRef]
- Thakur, V.K.; Thakur, M.K.; Raghavan, P.; Kessler, M.R. Progress in green polymer composites from lignin for multifunctional applications: A review. ACS Sustain. Chem. Eng. 2014, 2, 1072–1092. [Google Scholar] [CrossRef]
- Koumba-Yoya, G.; Stevanovic, T. Study of organosolv lignins as adhesives in wood panel production. Polymers 2017, 9, 46. [Google Scholar] [CrossRef]
- Song, Y.; Wang, Z.; Yan, N.; Zhang, R.; Li, J. Demethylation of wheat straw alkali lignin for application in phenol formaldehyde adhesives. Polymers 2016, 8, 209. [Google Scholar] [CrossRef]
- Vinardell, M.P.; Mitjans, M. Lignins and their derivatives with beneficial effects on human health. Int. J. Mol. Sci. 2017, 18, 1219. [Google Scholar] [CrossRef] [PubMed]
- Chetouani, A.; Elkolli, M.; Bounekhel, M.; Benachour, D. Chitosan/oxidized pectin/PVA blend film: Mechanical and biological properties. Polym. Bull. 2017, 74, 4297–4310. [Google Scholar] [CrossRef]
- Su, L.; Xing, Z.; Wang, D.; Xu, G.; Ren, S.; Fang, G. Mechanical properties research and structural characterization of alkali lignin/poly(vinyl alcohol) reaction films. BioResources 2013, 8, 3532–3543. [Google Scholar] [CrossRef]
- Hansen, C.M. 50 Years with solubility parameters—Past and future. Prog. Org. Coat. 2004, 51, 77–84. [Google Scholar] [CrossRef]
- Hansen, C.M. Hansen Solubility Parameters—A User’s Handbook; CRC Press: Boca Raton, FL, USA, 2007. [Google Scholar]
- Duong, D.T.; Walker, B.; Lin, J.; Chunki, K.; John, L.; Balaji, P.; John, E.A.; Thuc-Quyen, N. Molecular solubility and hansen solubility parameters for the analysis of phase separation in bulk heterojunctions. J. Polym. Sci. Pol. Phys. 2012, 50, 1405–1413. [Google Scholar] [CrossRef]
- Zhang, C.; Kessler, M.R. Bio-based polyurethane foam made from compatible blends of vegetable-oil-based polyol and petroleum-based polyol. ACS Sustain. Chem. Eng. 2015, 3, 743–749. [Google Scholar] [CrossRef]
- Kadla, J.F.; Kubo, S. Lignin-based polymer blends: Analysis of intermolecular interactions in lignin–synthetic polymer blends. Appl. Sci. Manuf. 2004, 35, 395–400. [Google Scholar] [CrossRef]
- Song, P.; Cao, Z.; Meng, Q.; Fu, S.; Fang, Z.; Wu, Q.; Ye, J. Effect of lignin incorporation and reactive compatibilization on the morphological, rheological, and mechanical properties of ABS resin. J. Macromol. Sci. 2012, 51, 720–735. [Google Scholar] [CrossRef]
- Shi, B.; Feng, C.; Wu, Y. A new method of measuring alcohol clusters in polyimide membrane: Combination of inverse gas chromatography with equilibrium swelling. J. Membr. Sci. 2004, 245, 87–93. [Google Scholar] [CrossRef]
- Deshpande, D.D.; Patterson, D.; Schreiber, H.P.; Su, C. Thermodynamic interactions in polymer systems by gas-liquid chromatography. IV. Interactions between components in a mixed stationary phase. Macromolecules 1974, 7, 530–535. [Google Scholar] [CrossRef]
- Huang, J. Anomalous solubility parameter and probe dependency of polymer–polymer interaction parameter in inverse gas chromatography. Eur. Polym. J. 2006, 42, 1000–1007. [Google Scholar] [CrossRef]
- Launay, H.; Hansen, C.M.; Almdal, K. Hansen solubility parameters for a carbon fiber/epoxy composite. Carbon 2007, 45, 2859–2865. [Google Scholar] [CrossRef]
- Reddy, A.S.; Ramanaiah, S.; Reddy, K.S. Hansen solubility parameters of a cellulose acetate propionate-poly(caprolactone) diol blend by inverse gas chromatography. Int. J. Polym. Anal. Charact. 2013, 18, 172–180. [Google Scholar] [CrossRef]
- Mutelet, F.; Ekulu, G.; Rogalski, M. Characterization of crude oils by inverse gas chromatography. J. Chromatogr. 2002, 969, 207–213. [Google Scholar] [CrossRef]
- Batko, K.; Voelkel, A. Inverse gas chromatography as a tool for investigation of nanomaterials. J. Colloid Interface Sci. 2007, 315, 768–771. [Google Scholar] [CrossRef] [PubMed]
- Van, A.A.; Van, V.N.; Koster, S. Surface characterization of industrial fibers with inverse gas chromatography. J. Chromatogr. 2000, 888, 175–196. [Google Scholar]
- Cordeiro, N.; Gouveia, C.; Jacob John, M. Investigation of surface properties of physic-chemically modified natural fibres using inverse gas chromatography. Ind. Crops Prod. 2011, 33, 108–115. [Google Scholar] [CrossRef]
- Dritsas, G.S.; Karatasos, K.; Panayiotou, C. Investigation of thermodynamic properties of hyperbranched aliphatic polyesters by inverse gas chromatography. J. Chromatogr. 2009, 1216, 8979–8985. [Google Scholar] [CrossRef] [PubMed]
- Adamska, K.; Voelkel, A. Inverse gas chromatographic determination of solubility parameters of excipients. Int. J. Pharm. 2005, 304, 11–17. [Google Scholar] [CrossRef] [PubMed]
- Ahfat, N.M.; Buckton, G.; Burrows, R.; Ticehurst, M.D. An exploration of interrelationships between contact angle, inverse phase gas chromatography and triboelectric charging data. Eur. J. Pharm. 2000, 9, 271–276. [Google Scholar] [CrossRef]
- Voelkel, A.; Strzemiecka, B.; Adamska, K.; Milczewska, K. Inverse gas chromatography as a source of physiochemical data. J. Chromatogr. 2009, 1216, 1551–1566. [Google Scholar] [CrossRef] [PubMed]
- Papadopoulou, S.K.; Panayiotou, C. Assessment of the thermodynamic properties of poly(2,2,2-trifluoroethyl methacrylate) by inverse gas chromatography. J. Chromatogr. A 2014, 1324, 207–214. [Google Scholar] [CrossRef] [PubMed]
- Adamska, K.; Voelkel, A.; Berlińska, A. The solubility parameter for biomedical polymers—Application of inverse gas chromatography. J. Pharm. Biomed. Anal. 2016, 127, 202–206. [Google Scholar] [CrossRef] [PubMed]
- Dimopoulou, M.; Ritzoulis, C.; Panayiotou, C. Surface characterization of okra hydrocolloid extract by inverse gas chromatography (IGC). Colloids Surf. A 2015, 475, 37–43. [Google Scholar] [CrossRef]
- Jung, Y.C.; Bhushan, B. Contact angle, adhesion and friction properties of micro-and nanopatterned polymers for superhydrophobicity. Nanotechnology 2006, 17, 4970. [Google Scholar] [CrossRef]
- Papadopoulou, S.K.; Panayiotou, C. Thermodynamic characterization of poly(1,1,1,3,3,3-hexafluoroisopropyl methacrylate) by inverse gas chromatography. J. Chromatogr. A 2012, 1229, 230–236. [Google Scholar] [CrossRef] [PubMed]
- Wang, J.; Zhang, Z.; Yang, X.; Li, G. Determination of solubility parameter for dicationic ionic liquid by inverse gas chromatography. Chin. J. Chromatogr. 2009, 27, 480–483. [Google Scholar] [CrossRef]







| Alkali Lignin Content | 383 K | 393 K | 403 K | 413 K | 423 K |
|---|---|---|---|---|---|
| 0% | 19.08 | 18.04 | 17.08 | 16.02 | 14.97 |
| 10% | 15.51 | 15.08 | 14.97 | 14.68 | 14.49 |
| 15% | 16.33 | 15.74 | 15.62 | 15.39 | 15.04 |
| 20% | 15.12 | 14.73 | 14.45 | 14.50 | 14.27 |
| 25% | 15.67 | 15.46 | 15.40 | 15.20 | 15.34 |
© 2018 by the authors. Licensee MDPI, Basel, Switzerland. This article is an open access article distributed under the terms and conditions of the Creative Commons Attribution (CC BY) license (http://creativecommons.org/licenses/by/4.0/).
Share and Cite
Zhao, G.; Ni, H.; Ren, S.; Fang, G. Correlation between Solubility Parameters and Properties of Alkali Lignin/PVA Composites. Polymers 2018, 10, 290. https://doi.org/10.3390/polym10030290
Zhao G, Ni H, Ren S, Fang G. Correlation between Solubility Parameters and Properties of Alkali Lignin/PVA Composites. Polymers. 2018; 10(3):290. https://doi.org/10.3390/polym10030290
Chicago/Turabian StyleZhao, Gaofeng, Haiyue Ni, Shixue Ren, and Guizhen Fang. 2018. "Correlation between Solubility Parameters and Properties of Alkali Lignin/PVA Composites" Polymers 10, no. 3: 290. https://doi.org/10.3390/polym10030290
APA StyleZhao, G., Ni, H., Ren, S., & Fang, G. (2018). Correlation between Solubility Parameters and Properties of Alkali Lignin/PVA Composites. Polymers, 10(3), 290. https://doi.org/10.3390/polym10030290
