Novel Amphiphilic, Biodegradable, Biocompatible, Thermo-Responsive ABA Triblock Copolymers Based on PCL and PEG Analogues via a Combination of ROP and RAFT: Synthesis, Characterization, and Sustained Drug Release from Self-Assembled Micelles
Abstract
1. Introduction
2. Experimental Section
2.1. Materials
2.2. Characterization
2.2.1. Nuclear Magnetic Resonance Spectroscopy (1H NMR)
2.2.2. Gel Permeation Chromatography (GPC)
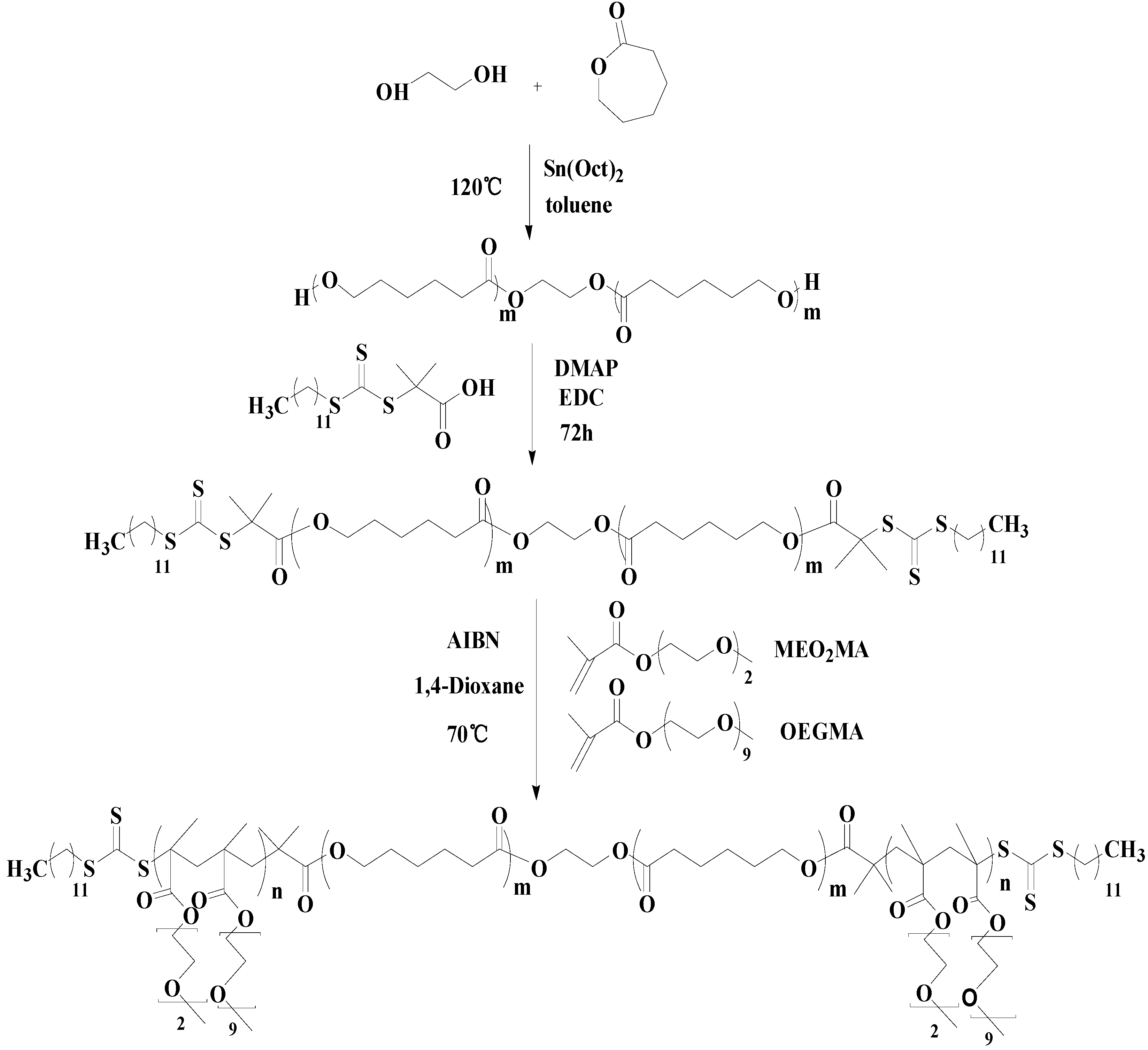
2.3. Synthesis
2.3.1. Synthesis of Dihydroxy-Terminated Poly(ε-caprolactone) (HO-PCL-OH)
2.3.2. Synthesis of the Macro-RAFT Agent (CTA-PCL-CTA)
2.3.3. Synthesis of P(MEO2MA-co-OEGMA)]-b-PCL-b-P(MEO2MA-co-OEGMA) Copolymers
2.4. Transmittance Measurements
2.5. Critical Micellization Concentration Determination (CMC)
2.6. Dynamic Light Scattering (DLS)
2.7. Transmission Electron Microscopy (TEM)
2.8. Sol-Gel Transition
2.9. Preparation of Anethole-Loaded Polymeric Micelles
2.10. In Vitro Drug Release
3. Results and Discussion
3.1. Synthesis and Characterization of the Polymers
3.2. Water-Solubility and Temperature Sensitivity of the Triblock Copolymers
3.3. Micellization of the Triblock Copolymers
3.4. Size and Morphology of the Polymeric Micelles
3.5. Thermo-Induced Sol-Gel Transitions of the Triblock Copolymers
3.6. Drug Loading and In Vitro Release Studies
4. Conclusions
Supplementary Materials
Acknowledgments
Author Contributions
Conflicts of Interest
Abbreviations
| AIBN | azobisisobutyronitrile |
| CTA | S-1-dodecyl-S′-(α,α′-dimethyl-α″-acetic acid) trithiocarbonate chain transfer agent |
| CMC | critical micellization concentration |
| CGT | gel-to-sol transition |
| DLS | dynamic light scattering |
| DMAP | 4-(N,N-dimethylamino)pyridine |
| DP | degree of polymerization |
| EDC | N-(3-(dimethylamino) propyl)-N-ethylcarbodiimide hydrochloride |
| FDA | US Food and Drug Administration |
| LCST | lower critical solution temperature |
| MEO2MA | 2-(2-methoxy ethoxy) ethylmethacrylate |
| OEGMA | oligo (ethylene glycol) methacrylate |
| PBS | phosphate-buffered solution |
| PCL | poly(ε-caprolactone) |
| PEG | poly(ethyleneglycol) |
| PNIPAAm | poly(N,N-dimethylacrylamide) |
| ROP | ring-opening polymerization |
| RAFT | reversible addition-fragmentation chain-transfer polymerization |
| Sn(Oct)2 | stannous octoate |
References
- Guo, L.H.; Jiang, Y.J.; Chen, S.Y.; Qiu, T.; Li, X.Y. Self-Assembly of poly(methacrylic acid)-b-poly(butyl acrylate) amphiphilic block copolymers in methanol via RAFT polymerization and during film formation for wrinkly surface pattern. Macromolecules 2014, 47, 165–174. [Google Scholar] [CrossRef]
- Nakabayashi, K.; Oya, H.; Mori, H. Cross-linked core-shell nanoparticles based on amphiphilic block copolymers by RAFT polymerization and palladium-catalyzed suzuki coupling reaction. Macromolecules 2012, 45, 3197–3204. [Google Scholar] [CrossRef]
- Kataoka, K.; Harada, A.; Nagasaki, Y. Block copolymer micelles for drug delivery: Design, characterization and biological significance. Adv. Drug Deliv. Rev. 2001, 47, 113–131. [Google Scholar] [CrossRef]
- Wei, H.; Cheng, S.X.; Zhang, X.Z.; Zhuo, R.X. Thermo-sensitive polymeric micelles based on poly(N-isopropylacrylamide) as drug carriers. Prog. Polym. Sci. 2009, 34, 893–910. [Google Scholar] [CrossRef]
- Qiao, P.; Niu, Q.S.; Wang, Z.B.; Cao, D.P. Synthesis of thermo-sensitive micelles based on poly(N-isopropylacrylamide) and poly(l-alanine) for controlled release of adriamycin. Chem. Eng. J. 2010, 159, 257–263. [Google Scholar] [CrossRef]
- Alexandridis, P.; Nivaggioli, T.; Hatton, T.A. Temperature effects on structural properties of Pluronic P104 and F108 PEO-PPO-PEO block copolymer solutions. Langmuir 1995, 11, 1468–1476. [Google Scholar] [CrossRef]
- Kedar, U.; Phutane, P.; Shidhaye, S.; Kadam, V. Advances in polymeric micelles for drug delivery and tumor targeting. Nanomed. Nanotechnol. Biol. Med. 2010, 6, 714–729. [Google Scholar] [CrossRef] [PubMed]
- Chen, H.; Wu, X.; Duan, H.; Wang, Y.A.; Wang, L.; Zhang, M.; Mao, H. Biocompatible polysiloxane-containing diblock copolymer PEO-b-PgammaMPS for coating magnetic nanoparticles. ACS Appl. Mater. Interfaces 2009, 10, 2134–2140. [Google Scholar] [CrossRef] [PubMed]
- Shin, W.-J.; Basarir, F.; Yoon, T.-H.; Lee, J.-S. Au-coated 3-D nanoporous titania layer prepared using polystyrene-b-poly (2-vinylpyridine) block copolymer nanoparticles. Langmuir 2009, 25, 3344–3348. [Google Scholar] [CrossRef] [PubMed]
- Perelstein, O.E.; Ivanov, V.A.; Moller, M.; Potemkin, I.I. Designed AB copolymers as efficient stabilizers of colloidal particles. Macromolecules 2010, 43, 5442–5449. [Google Scholar] [CrossRef]
- Diaz, I.L.; Perez, L.D. Synthesis and micellization properties of triblock copolymers PDMAEMA-b-PCL-b-PDMAEMA and their applications in the fabrication of amphotericin B-loaded nanocontainers. Colloid Polym. Sci. 2015, 293, 913–923. [Google Scholar] [CrossRef]
- Hu, Y.F.; Darcos, V.; Monge, S.; Li, S.M.; Zhou, Y.; Su, F. Thermo-responsive release of curcumin from micelles prepared by self-assembly of amphiphilic P(NIPAAm-co-DMAAm)-b-PLLA-b-P (NIPAAm-co-DMAAm) triblock copolymers. Int. J. Pharm. 2014, 476, 31–40. [Google Scholar] [CrossRef] [PubMed]
- Chen, T.; Fang, Q.S.; Zhong, Q.; Chen, Y.Y.; Wang, J.P. Synthesis and thermosensitive behavior of polyacrylamide copolymers and their applications in smart textiles. Polymers 2015, 7, 909–920. [Google Scholar] [CrossRef]
- Zhang, X.W.; Monge, S.; In, M.; Giani, O.; Robin, J.J. Thermo- and pH-sensitive aggregation behavior of PDEAm-b-P(L-lysine) double hydrophilic block copolymers in aqueous solution. Soft Matter 2013, 9, 1301–1309. [Google Scholar] [CrossRef]
- Steinschulte, A.A.; Schulte, B.; Rütten, S.; Eckert, T.; Okuda, J.; Möller, M.; Schneider, S.; Borisov, O.V.; Plamper, F.A. Effects of architecture on the stability of thermosensitive unimolecular micelles. Phys. Chem. Chem. Phys. 2014, 16, 4917–4932. [Google Scholar] [CrossRef] [PubMed]
- Bathfield, M.; Warnant, J.; Gérardin, C.; Lacroix-Desmazes, P. Asymmetric neutral, cationic and anionic PEO-based double-hydrophilic block copolymers (DHBCs): Synthesis and reversible micellization triggered by temperature or pH. Polym. Chem. 2015, 6, 1339–1349. [Google Scholar] [CrossRef]
- Niskanen, J.; Wu, C.; Ostrowski, M.; Fuller, G.G.; Hietala, S.; Tenhu, H. thermoresponsiveness of PDMAEMA. electrostatic and stereochemical effects. Macromolecules 2013, 46, 2331–2340. [Google Scholar] [CrossRef]
- Lutz, J.-F.; Hoth, A. Preparation of ideal PEG analogues with a tunable thermosensitivity by controlled radical copolymerization of 2-(2-methoxyethoxy)ethyl methacrylate and oligo(ethylene glycol)methacrylate. Macromolecules 2006, 39, 893–896. [Google Scholar] [CrossRef]
- Hu, Y.F.; Darcos, V.; Monge, S.; Li, S.M. Thermo-responsive drug release from self-assembled micelles of brush-like PLA/PEG analogues block copolymers. Int. J. Pharm. 2015, 491, 152–161. [Google Scholar] [CrossRef] [PubMed]
- Li, N.; Qi, L.; Shen, Y.; Li, Y.P.; Chen, Y. Thermoresponsive oligo(ethylene glycol)-based polymer brushes on polymer monoliths for all-aqueous chromatography. Appl. Mater. Interfaces 2013, 5, 12441–12448. [Google Scholar] [CrossRef] [PubMed]
- Hsu, S.-H.; Chen, C.-W.; Hung, K.-C.; Tsai, Y.-C.; Li, S. Thermo-responsive polyurethane hydrogels based on poly(ε-caprolactone) diol and amphiphilic polylactide-poly(ethylene glycol) block copolymers. Polymers 2016, 8, 252. [Google Scholar] [CrossRef]
- Lo, Y.-L.; Chen, G.-J.; Feng, T.-H.; Lia, M.-H.; Wang, L.-F. Synthesis and characterization of S-PCL-PDMAEMA for co-delivery of pDNA and DOX. RSC Adv. 2014, 4, 11089–11098. [Google Scholar] [CrossRef]
- Yin, G.Z.; Chen, G.X.; Zhou, Z.; Li, Q.F. Modification of PEG-b-PCL block copolymer with high melting temperature by the enhancement of POSS crystal and ordered phase structure. RSC Adv. 2015, 5, 33356–33363. [Google Scholar] [CrossRef]
- Lin, G.Y.; Cosimbescu, L.; Karin, N.J.; Gutowska, A.; Tarasevich, B.J. Injectable and thermogelling hydrogels of PCL-g-PEG:mechanisms, rheological and enzymatic degradation properties. J. Mater. Chem. B 2013, 1, 1249–1255. [Google Scholar] [CrossRef]
- Liu, S.X.; Li, X.; Guang, N.E.; Tian, L.; Mao, H.G.; Ning, W.Y. Novel amphiphilic temperature responsive graft copolymers PCL-g-P(MEO2MA-co-OEGMA) via a combination of ROP and ATRP: Synthesis, characterization, and sol-gel transition. J. Polym. Res. 2016, 23, 141. [Google Scholar] [CrossRef]
- Wang, Q.Q.; Liu, S.X.; Sheng, W.J.; Guang, N.E.; Li, X. Synthesis and sol-gel transition of novel temperature responsive ABA triblock-graft copolymers based on PCL and PEG analogues. Macromol. Res. 2015, 23, 607–617. [Google Scholar] [CrossRef]
- Zhao, Y.P.; He, G.Q.; Guo, W.H.; Bao, L.L.; Yi, M.J.; Gong, Y.K.; Zhang, S.P. Self-assembled micelles prepared from amphiphilic copolymers bearing cell outer membrane phosphorylcholine zwitterions for a potential anti-phagocytic clearance carrier. Polym. Chem. 2016, 7, 5698–5708. [Google Scholar] [CrossRef]
- Uhrich, K.E.; Cannizzaro, S.M.; Langer, R.S.; Shakesheff, K.M. Polymeric Systems for Controlled Drug Release. Chem. Rev. 1999, 99, 3181–3198. [Google Scholar] [CrossRef] [PubMed]
- Mishra, A.K.; Vishwakarma, N.K.; Patel, V.K.; Biswas, C.S.; Paira, T.K.; Mandal, T.K.; Maiti, P.; Ray, B. Synthesis, characterization, and solution behavior of well-defined double hydrophilic linear amphiphilic poly(N-isopropylacrylamide)-b-poly (ε-caprolactone)-b-poly(N-isopropylacrylamide) triblock copolymers. Colloid Polym. Sci. 2014, 292, 1405–1418. [Google Scholar] [CrossRef]
- Xu, F.J.; Li, J.; Yuan, S.J.; Zhang, Z.X.; Kang, E.T.; Neoh, K.G. Thermo-responsive porous membranes of controllable porous morphology from triblock copolymers of polycaprolactone and poly(N-isopropylacrylamide) prepared by atom transfer radical polymerization. Biomacromolecules 2008, 9, 331–339. [Google Scholar] [CrossRef] [PubMed]
- Choi, C.; Chae, S.Y.; Nah, J.-W. Thermosensitive poly (N-isopropylacrylamide)-b-poly(ɛ-caprolactone) nanoparticles for efficient drug delivery system. Polymer 2006, 47, 4571–4580. [Google Scholar] [CrossRef]
- Hu, Y.; Darcos, V.; Monge, S.; Li, S. Synthesis and self-assembling of poly(N-isopropylacrylamide-block-poly(l-lactide)-block-poly(N-isopropylacrylamide) triblock copolymers prepared by combination of ring-opening polymerization and atom transfer radical polymerization. J. Polym. Sci. Part A Polym. Chem. 2013, 51, 3274–3283. [Google Scholar] [CrossRef]
- Liu, H.; Xu, J.; Jiang, J.; Yin, J.; Narain, R.; Cai, Y.; Liu, S. Syntheses and micellar properties of well-defined amphiphilic AB2 and A2B Y-shaped miktoarm star copolymers of ɛ-caprolactone and 2-(dimethylamino)ethyl methacrylate. J. Polym. Sci. Part A Polym. Chem. 2007, 45, 1446–1462. [Google Scholar] [CrossRef]
- Yokoyama, M.; Okano, T.; Sakurai, Y.; Ekimoto, H.; Shibazaki, C.; Kataoka, K. Toxicity and Antitumor activity against solid tumors of micelle-forming polymeric anticancer drug and its extremely long circulation in blood. Cancer Res. 1991, 51, 3229–3236. [Google Scholar] [PubMed]
- Cammas, S.; Suzuki, K.; Sone, C.; Sakurai, Y.; Kataoka, K.; Okano, T. Thermo-responsive polymer nanoparticles with a core–shell micelle structure as site-specific drug carriers. J. Control. Release 1997, 48, 157–164. [Google Scholar] [CrossRef]
- Gambinossi, F.; Chanana, M.; Mylonc, S.E.; Ferri, J.K. Programming nanoparticle aggregation kinetics with poly(MeO2MA-co-OEGMA) copolymers. Soft Matter 2013, 9, 11046–11053. [Google Scholar] [CrossRef]
- Lü, S.Y.; Li, B.; Ni, B.L.; Sun, Z.H.; Liu, M.Z.; Wang, Q. Thermoresponsive injectable hydrogel for three-dimensional cell culture: Chondroitin sulfate bioconjugated with poly(N-isopropylacrylamide) synthesized by RAFT polymerization. Soft Matter 2011, 7, 10763–10772. [Google Scholar] [CrossRef]
- Li, Y.-L.; Cuong, N.V.; Hsieh, M.-F. Endocytosis pathways of the folate tethered star-shaped PEG-PCL micelles in cancer cell lines. Polymers 2014, 6, 634–650. [Google Scholar] [CrossRef]
- Chen, A.-L.; Ni, H.-C.; Wang, L.-F.; Chen, J.-S. Biodegradable amphiphilic copolymers based on poly(ε-caprolactone)-graft chondroitin Sulfate as drug carriers. Biomacromolecules 2008, 9, 2447–2457. [Google Scholar] [CrossRef] [PubMed]
- Luzon, M.; Corrales, T.; Catalina, F.; Miguei, V.S.; Ballesteros, C.; Peinado, C. Hierarchically organized micellization of thermoresponsive rod-coil copolymers based on poly[oligo(ethylene glycol) methacrylate] and poly(ɛ-caprolactone). J. Polym. Sci. Part A Polym. Chem. 2010, 48, 4909–4921. [Google Scholar] [CrossRef]











© 2018 by the authors. Licensee MDPI, Basel, Switzerland. This article is an open access article distributed under the terms and conditions of the Creative Commons Attribution (CC BY) license (http://creativecommons.org/licenses/by/4.0/).
Share and Cite
Ning, W.; Shang, P.; Wu, J.; Shi, X.; Liu, S. Novel Amphiphilic, Biodegradable, Biocompatible, Thermo-Responsive ABA Triblock Copolymers Based on PCL and PEG Analogues via a Combination of ROP and RAFT: Synthesis, Characterization, and Sustained Drug Release from Self-Assembled Micelles. Polymers 2018, 10, 214. https://doi.org/10.3390/polym10020214
Ning W, Shang P, Wu J, Shi X, Liu S. Novel Amphiphilic, Biodegradable, Biocompatible, Thermo-Responsive ABA Triblock Copolymers Based on PCL and PEG Analogues via a Combination of ROP and RAFT: Synthesis, Characterization, and Sustained Drug Release from Self-Assembled Micelles. Polymers. 2018; 10(2):214. https://doi.org/10.3390/polym10020214
Chicago/Turabian StyleNing, Wenyan, Pei Shang, Jie Wu, Xiaoyu Shi, and Shouxin Liu. 2018. "Novel Amphiphilic, Biodegradable, Biocompatible, Thermo-Responsive ABA Triblock Copolymers Based on PCL and PEG Analogues via a Combination of ROP and RAFT: Synthesis, Characterization, and Sustained Drug Release from Self-Assembled Micelles" Polymers 10, no. 2: 214. https://doi.org/10.3390/polym10020214
APA StyleNing, W., Shang, P., Wu, J., Shi, X., & Liu, S. (2018). Novel Amphiphilic, Biodegradable, Biocompatible, Thermo-Responsive ABA Triblock Copolymers Based on PCL and PEG Analogues via a Combination of ROP and RAFT: Synthesis, Characterization, and Sustained Drug Release from Self-Assembled Micelles. Polymers, 10(2), 214. https://doi.org/10.3390/polym10020214
