Mechanism Analysis of Selective Adsorption and Specific Recognition by Molecularly Imprinted Polymers of Ginsenoside Re
Abstract
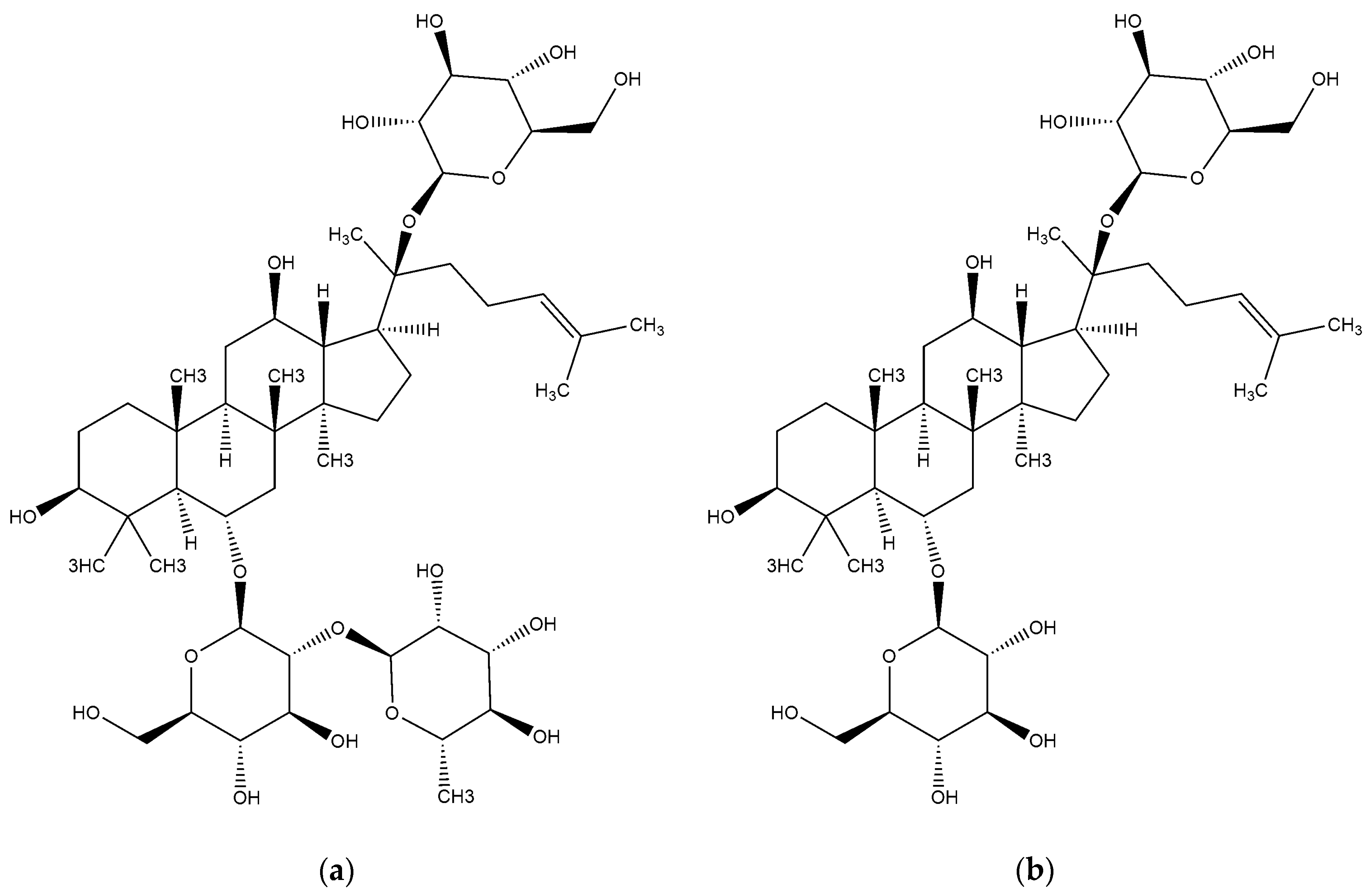
:1. Introduction
2. Experimental
2.1. Instruments and Reagents
2.2. Preparation of MIPs
2.3. Adsorption Experiments
2.4. Adsorption Kinetics
2.5. Adsorption Isotherms
2.6. Thermodynamic Analysis
2.7. Solid-Phase Extraction
3. Results and Discussion
3.1. Characterization of MIPs and NIPs
3.2. The Recovery of Re
3.3. Adsorption Studies of MIPs and NIPs
3.4. Kinetic Consideration
3.5. Adsorption Isotherms
3.6. Thermodynamic Studies
3.7. Application of MIPs-SPE for Crude Extracts
4. Conclusions
Acknowledgments
Author Contributions
Conflicts of Interest
References
- Hu, X.B.; An, Q.; Li, G.T.; Tao, S.Y.; Liu, J. Imprinted photonic polymers for chiral recognition. Angew. Chem. Int. Ed. Eng. 2006, 45, 8145–8148. [Google Scholar] [CrossRef] [PubMed]
- Wullff, G. Molecular recognition in polymers prepared by imprinting with templates. Am. Chem. Soc. 1986, 9, 186–230. [Google Scholar] [CrossRef]
- Caro, E.; Marcé, R.M.; Cormack, P.A.G.; Sherrington, D.C.; Borrull, F. Molecularly imprinted solid-phase extraction of naphthalene sulfonates from water. J. Chromatogr. A 2004, 1047, 175–180. [Google Scholar] [CrossRef]
- Andrade, F.N.; Santosneto, A.J.; Lanças, F.M. Microextraction by packed sorbent liquid chromatography with time-of-flight mass spectrometry of triazines employing a molecularly imprinted polymer. J. Sep. Sci. 2014, 37, 3150–3156. [Google Scholar] [CrossRef] [PubMed]
- Fang, C.L.; Li, S. Thermodynamic and kinetic considerations on the specific adsorption and molecular recognition by molecularly imprinted polymer. J. Inorg. Organomet. Polym. Mater. 2007, 17, 623–629. [Google Scholar] [CrossRef]
- Tan, C.J.; Tong, Y.W. Molecularly imprinted beads by surface imprinting. Anal. Bioanal. Chem. 2007, 389, 369. [Google Scholar] [CrossRef] [PubMed]
- Zhang, W.; Wei, B.F.; Li, S.J.; Wang, Y.M.; Wang, S.Y. Preparation and Chromatographic Application of β-cyclodextrin molecularly imprinted microspheres for paeoniflorin. Polymers 2017, 9, 214. [Google Scholar] [CrossRef]
- Toorisaka, E.; Uezu, K.; Goto, M.; Furusaki, S. A molecularly imprinted polymer that shows enzymatic activity. Biochem. Eng. J. 2003, 14, 85–91. [Google Scholar] [CrossRef]
- Zaidi, S.A. Latest trends in molecular imprinted polymer based drug delivery systems. RSC Adv. 2016, 6, 88807–88819. [Google Scholar] [CrossRef]
- Liao, T.B.; Tu, X.; Li, S.J. Selective adsorption and recognition by molecularly imprinted polymer: A study on molecular self-assembly and its effect on selectivity. Polym. Plast. Technol. Eng. 2007, 46, 613–619. [Google Scholar] [CrossRef]
- Curk, T.; Dobnikar, J.; Frenkel, D. Rational design of molecularly imprinted polymers. Soft Matter 2015, 12, 35–44. [Google Scholar] [CrossRef] [PubMed]
- Tang, W.C.; Eisenbrand, G. China Drugs of Plant Origin: Chemistry, Pharmacology, and Use in Traditional and Modern Medicine; Springer: Berlin, Germany, 1992; pp. 711–743. ISBN 978-3-642-73739-8. [Google Scholar]
- Cho, W.C.; Chung, W.S.; Lee, S.K.; Leung, A.W.N.; Cheng, C.H.K.; Yue, K.K.M. Ginsenoside Re of Panax ginseng possesses significant antioxidant and antihyperlipidemic efficacies in streptozotocin-induced diabetic rats. Eur. J. Pharmacol. 2006, 550, 173–179. [Google Scholar] [CrossRef] [PubMed]
- Ye, R.; Li, N.; Han, J.; Kong, X.W.; Cao, R.; Zhao, G. Neuroprotective effects of ginsenoside Rd against oxygen-glucose deprivation in cultured hippocampal neurons. Neurosci. Res. 2009, 64, 306–310. [Google Scholar] [CrossRef] [PubMed]
- Zhang, Z.; Li, X.; Lv, W.; Yang, Y.H.; Gao, H.; Yang, J.; Shen, Y.; Ning, G. Ginsenoside Re reduces insulin resistance through inhibition of c-Jun NH2-terminal kinase and nuclear factor-κB. Mol. Endocrinol. 2008, 22, 186–195. [Google Scholar] [CrossRef] [PubMed]
- Kyungmi, J.; Jihae, L.; Heeyoung, J.; Park, C.W.; Hong, D.K.; Jeong, H.K.; Lee, S.J.; Lee, S.Y.; Lim, K.M. Pharmacokinetic study of ginsenoside Re with pure ginsenoside Re and ginseng berry extracts in mouse using ultra performance liquid chromatography/mass spectrometric method. J. Pharmaceut. Biomed. 2010, 51, 278–283. [Google Scholar] [CrossRef]
- Cai, Q.; Yang, Z.; Ning, C.; Zhou, X.M.; Hong, J.L. Selective capture and rapid identification of Panax notoginseng, metabolites in rat faeces by the integration of magnetic molecularly imprinted polymers and high-performance liquid chromatography coupled with orbitrap mass spectrometry. J. Chromatogr. A 2016, 1455, 65–73. [Google Scholar] [CrossRef] [PubMed]
- Sun, C.; Wang, J.; Huang, J.; Yao, D.D.; Wang, C.Z.; Zhang, L.; Hou, S.Y.; Chen, L.N.; Yuan, C.S. The Multi-Template Molecularly Imprinted Polymer Based on SBA-15 for Selective Separation and Determination of Panax notoginseng Saponins Simultaneously in Biological Samples. Polymers 2017, 9, 653. [Google Scholar] [CrossRef]
- Liu, Q.S.; Yi, L.N.; Wang, Q.J.; Guo, Q.L.; Jiang, Y.F.; Yin, X.Y. A novel method for preparing the surface molecularly imprinted polymers to target isolate ginsenoside Rg1 and its analogues. Adv. Mater. Res. 2012, 535–537, 2400–2403. [Google Scholar] [CrossRef]
- Xing, H.; Li, S. Rationally designing molecularly imprinted polymers toward a highly specific recognition by using a stoichiometric molecular self-assembly. J. Inorg. Organomet. Polym. Mater. 2008, 18, 277–283. [Google Scholar] [CrossRef]
- Svenson, J.; Andersson, H.S.; Piletsky, S.A.; Piletsky, S.A.; Nicholls, I.A. Spectroscopic studies of the molecular imprinting self-assembly process. J. Mol. Recognit. 1998, 11, 83–86. [Google Scholar] [CrossRef]
- Das, S.; Incarvito, C.D.; Crabtree, R.H.; Brudving, G.W. Molecular recognition in the selective oxygenation of saturated c-h bonds by a dimanganese catalyst. Science 2006, 312, 1941–1943. [Google Scholar] [CrossRef] [PubMed]
- Zaidi, S.A.; Lee, S.M.; Cheong, W.J. Open tubular capillary columns with basic templates made by the generalized preparation protocol in capillary electro chromatography chiral separation and template structural effects on chiral separation capability. J. Chromatogr. A 2011, 1218, 1291–1299. [Google Scholar] [CrossRef] [PubMed]
- Zaidi, S.A. Recent developments in molecular imprinted polymer nanofibers and their applications. Anal. Methods 2015, 7, 7406–7415. [Google Scholar] [CrossRef]
- Nd, U.R.; Baxter, S.C.; Chen, Y.; Shah, R.N.; Shimizu, K.D. Characterization of molecularly imprinted polymers with the langmuir-freundlich isotherm. Anal. Chem. 2001, 73, 4584–4591. [Google Scholar] [CrossRef]
- Ii, R.J.U.; Baxter, S.C.; Bode, M.; Berch, J.K.; Shah, R.N.; Shimizu, K.D. Application of the freundlich adsorption isotherm in the characterization of molecularly imprinted polymers. Anal. Chim. Acta. 2001, 435, 35–42. [Google Scholar] [CrossRef]
- And, H.K.; Spivak, D.A. New insight into modeling non-covalently imprinted polymers. J. Am. Chem. Soc. 2003, 125, 11269. [Google Scholar] [CrossRef]
- Li, S.; Xing, H.; Zheng, M.; Li, W.K.; Tong, K.J. Molecularly imprinted polymers: Thermodynamic and kinetic considerations on the specific sorption and molecular recognition. Sensors 2008, 8, 2854–2864. [Google Scholar] [CrossRef] [PubMed]
- Zhang, X.; Zhu, M.; Li, S. “key-vs.-lock”-like polymer reactor made of molecularly imprinted polymer containing metal nanoparticles. J. Inorg. Organomet. Polym. Mater. 2014, 24, 890–897. [Google Scholar] [CrossRef]
- Liu, H.; Liu, C.; Yang, X.; Zeng, S.J.; Xiong, Y.Q.; Xu, W.J. Uniformly sized β-cyclodextrin molecularly imprinted microspheres prepared by a novel surface imprinting technique for ursolic acid. Anal. Chim. Acta 2008, 628, 87–94. [Google Scholar] [CrossRef]
- Gong, B.L.; Shen, Y.H.; Geng, X.D. Preparation of strong cation exchange packings based on monodisperse Poly(glycidyl methacrylate-co-ethylenedimethacrylate) particles and their application. J. Liq. Chromatogr. Relat. Technol. 2003, 26, 963–976. [Google Scholar] [CrossRef]
- Li, S.; Hu, J.; Liu, B. A study on the adsorption behavior of protein onto functional microspheres. J. Chem. Technol. Biot. 2010, 80, 531–536. [Google Scholar] [CrossRef]
- Liu, B.; Cao, S.; Deng, X.; Li, S.; Li, S.J.; Luo, R. Adsorption behavior of protein onto siloxane microspheres. Appl. Surf. Sci. 2006, 252, 7830–7836. [Google Scholar] [CrossRef]
- Feng, N.; Guo, X.; Sha, L. Adsorption study of copper (ii) by chemically modified orange peel. J. Hazard. Mater. 2009, 164, 1286–1292. [Google Scholar] [CrossRef] [PubMed]
- Xia, L.X.; Shen, Z.; Vargas, T.; Sun, W.J.; Ruan, R.M.; Xie, Z.D.; Qiu, G.Z. Attachment of acidithiobacillus ferrooxidans onto different solid substrates and fitting through langmuir and freundlich equations. Biotechnol. Lett. 2013, 35, 2129–2136. [Google Scholar] [CrossRef] [PubMed]
- Wyciszkiewicz, M.; Saeid, A.; Malinowski, P.; Chojnacka, K. Valorization of phosphorus secondary raw materials by acidithiobacillus ferrooxidans. Molecules 2017, 22, 473. [Google Scholar] [CrossRef] [PubMed]
- Fujibayashi, T.; Tanaka, T.; Minami, H.; Okubo, M. Thermodynamic and kinetic considerations on the morphological stability of “hamburger-like” composite polymer particles prepared by seeded dispersion polymerization. Colloid Polym. Sci. 2010, 288, 879–886. [Google Scholar] [CrossRef]
- Yuan, H.K.; Ma, X.H.; Xu, Z.L. Pore structure analysis of PFSA/SiO2 composite catalysts from nitrogen adsorption isotherms. Sci. China Chem. 2011, 54, 257–262. [Google Scholar] [CrossRef]











| Polymer | Specific Surface Area a (m2·g−1) | Average Pore Diameter b (nm) | Specific Pore Volume c (mL·g−1) |
|---|---|---|---|
| MIPs | 328.96 | 4.43 | 0.69 |
| NIPs | 255.77 | 3.78 | 0.62 |
| Object | Relevant Parameter | |
|---|---|---|
| Slope | Statistics | |
| MIPs | 1.3706 | 0.9932 |
| NIPs | 1.0828 | 0.9984 |
| Re | 1.9433 | 0.9938 |
| Rg1 | 1.5259 | 0.9850 |
| Polymer | T(K) | Langmuir Isotherm | Freundlich Isotherm | ||||||
|---|---|---|---|---|---|---|---|---|---|
| Qm | b | KD | R2 | Kf | n | KD | R2 | ||
| MIPs | 293 | 0.83 | 0.58 | 0.49 | 0.9483 | 0.68 | 1.10 | 1.07 | 0.9989 |
| 303 | 0.71 | 0.87 | 0.62 | 0.8990 | 0.93 | 1.13 | 1.37 | 0.9949 | |
| 313 | 0.36 | 1.00 | 1.25 | 0.9625 | 1.85 | 1.47 | 1.80 | 0.9962 | |
| NIPs | 293 | 0.25 | 1.76 | 0.45 | 0.9958 | 1.09 | 1.30 | 0.57 | 0.9941 |
| 303 | 0.30 | 1.80 | 0.56 | 0.9951 | 1.34 | 1.32 | 0.77 | 0.9937 | |
| 313 | 0.39 | 1.83 | 0.70 | 0.9938 | 2.65 | 1.58 | 0.83 | 0.9921 | |
© 2018 by the authors. Licensee MDPI, Basel, Switzerland. This article is an open access article distributed under the terms and conditions of the Creative Commons Attribution (CC BY) license (http://creativecommons.org/licenses/by/4.0/).
Share and Cite
Zhang, W.; Li, Q.; Cong, J.; Wei, B.; Wang, S. Mechanism Analysis of Selective Adsorption and Specific Recognition by Molecularly Imprinted Polymers of Ginsenoside Re. Polymers 2018, 10, 216. https://doi.org/10.3390/polym10020216
Zhang W, Li Q, Cong J, Wei B, Wang S. Mechanism Analysis of Selective Adsorption and Specific Recognition by Molecularly Imprinted Polymers of Ginsenoside Re. Polymers. 2018; 10(2):216. https://doi.org/10.3390/polym10020216
Chicago/Turabian StyleZhang, Wei, Qian Li, Jingxiang Cong, Bofeng Wei, and Shaoyan Wang. 2018. "Mechanism Analysis of Selective Adsorption and Specific Recognition by Molecularly Imprinted Polymers of Ginsenoside Re" Polymers 10, no. 2: 216. https://doi.org/10.3390/polym10020216
APA StyleZhang, W., Li, Q., Cong, J., Wei, B., & Wang, S. (2018). Mechanism Analysis of Selective Adsorption and Specific Recognition by Molecularly Imprinted Polymers of Ginsenoside Re. Polymers, 10(2), 216. https://doi.org/10.3390/polym10020216

