Melamine–Glyoxal–Glutaraldehyde Wood Panel Adhesives without Formaldehyde
Abstract
:1. Introduction
2. Materials and Methods
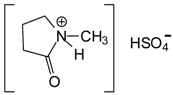
2.1. Preparation of N-Methyl-2-Pyrrolidone Hydrogen Sulphate ([HNMP] [HSO4−]) Ionic Liquid
2.2. Preparation of MG and MGG’ Resins
2.3. Fourier Transform Infrared Spectrometry (FTIR)
2.4. Matrix Assisted Laser Desorption Ionisation Time of Flight (MALDI-ToF) Spectrometry
2.5. Plywood Preparation and Testing
3. Results and Discussion
3.1. Adhesives Bonding Performance
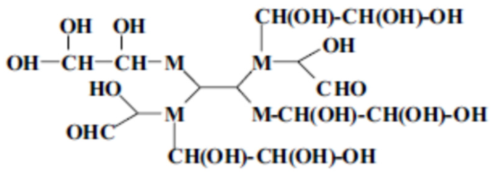
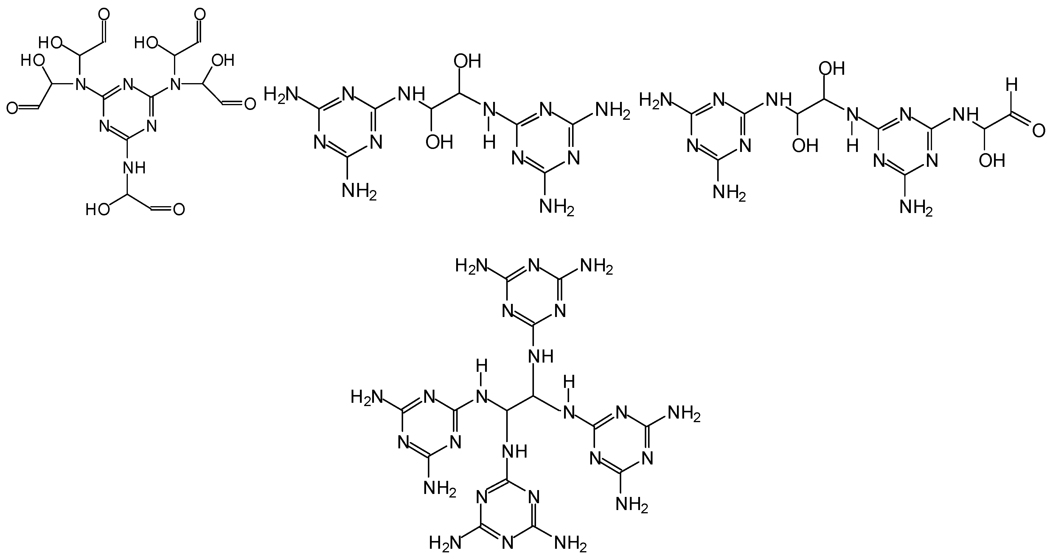
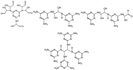
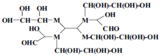
3.2. Analysis of Chemical Species Formed in the Reactions Analysed by MALDI-ToF Spectrometry
3.3. Analysis of Reactions by Fourier Transform Infrared (FTIR) Spectrometry
3.4. Summary of Effects
- 1.
- IL appears to catalyse the reaction of aldehydes, and aldehydes pre-reacted with urea or melamine, to yield aldol condensation. It allows aldol condensation even of aldehydes that have been pre-reacted with melamine or even with wood lignin. An example (Scheme 11):
- 2.
- IL catalyses the hardening of melamine–aldehyde resins to decrease hardening temperature, energy of activation of the hardening/condensation reaction and thus equally to improve their performance at equal temperature.
- 3.
4. Conclusions
Acknowledgments
Author Contributions
Conflicts of Interest
References
- Pizzi, A. Melamine-formaldehyde resins. In Handbook of Adhesive Technology; Pizzi, A., Mittal, K.L., Eds.; Marcel Dekker: New York, NY, USA, 1994; Chapter 31; pp. 653–680. [Google Scholar]
- National Technical Information Service (NTIS). Formerly U.S. Clearinghouse for Scientific and Technical Information; AD-A125-539; National Technical Information Service (NTIS): Alexandria, VA, USA, 2005.
- National Institute for Occupational Safety and Health (NOSH). The Registry of Toxic Effects of Chemical Substances; National Institute for Occupational Safety and Health (NOSH): Washington, DC, USA, 2000.
- Yuan, Z.Y.; Hu, H. Preparation and characterization of cross-linked glyoxalated polyacrylamide paper-strengthening agent. J. Appl. Polym. Sci. 2012, 126, 458–468. [Google Scholar] [CrossRef]
- Ballerini, A.; Despres, A.; Pizzi, A. Non-toxic, zero-emission tannin-glyoxal adhesives for wood panels. Holz Roh Werkst. 2005, 63, 477–478. [Google Scholar] [CrossRef]
- Lei, H.; Pizzi, A.; Du, G. Environment-friendly, mixed tannin/lignin wood resins. J. Appl. Polym. Sci. 2008, 107, 203–209. [Google Scholar] [CrossRef]
- Navarrete, P.; Pizzi, A.; Pasch, H.; Delmotte, L. Study on Lignin-Glyoxal reaction by MALDI-TOF and CP-MAS 13C NMR. J. Adhes. Sci. Technol. 2012, 26, 1069–1082. [Google Scholar]
- Amaral-Labat, G.A.; Pizzi, A.; Goncalves, A.R.; Celzard, A.; Rigolet, S. Environment-friendly soy flour-based resins without formaldehyde. J. Appl. Polym. Sci. 2008, 108, 624–632. [Google Scholar] [CrossRef]
- Zhang, J.; Wang, X.; Zhang, S.; Gao, Q.; Li, J. Effects of melamine addition stage on the performance and curing behavior of melamine-urea-formaldehyde (MUF) resin. Bioresources 2013, 8, 5500–5514. [Google Scholar] [CrossRef]
- Deng, S.; Du, G.; Li, X.; Zhang, J.; Pizzi, A. Performance and reaction mechanism of zero formaldehyde-emission urea-glyoxal (UG) resin. J. Taiwan Inst. Chem. Eng. 2014, 45, 2029–2038. [Google Scholar] [CrossRef]
- Deng, S.; Pizzi, A.; Du, G.; Zhang, J.; Zhang, J. Synthesis, structure, and characterization of Glyoxal-Urea-Formaldehyde cocondensed resins. J. Appl. Polym. Sci. 2014, 131, 41009–41019. [Google Scholar] [CrossRef]
- Younesi-Kordkheili, H.; Pizzi, A. Acid Ionic Liquids as a New Hardener in Urea-Glyoxal Adhesive Resins. Polymers 2016, 8, 57. [Google Scholar] [CrossRef]
- Deng, S.; Pizzi, A.; Du, G.; Lagel, M.C.; Delmotte, L.; Abdalla, S. Synthesis, structure characterization and application of melamine-glyoxal adhesive resins. Eur. J. Wood Prod. 2017. [Google Scholar] [CrossRef]
- Kalb, R. A roadmap to industrial implementation of ionic liquids. In Proceedings of the 26th EUCHEM on Molten Salts and Ionic Liquids, Vienna, Austria, 3–8 July 2016. [Google Scholar]
- Plechkova, N.V.; Seddon, K.R. Applications of ionic liquids in the chemical industry. Chem. Soc. Rev. 2008, 37, 123–150. [Google Scholar] [CrossRef] [PubMed]
- Page Baily, M. Ionic liquids create more sustainable processes. The distinctive properties of ionic liquids enable versatility and efficiency across many industrial applications. Chem. Eng. 2015, 122, 18–24. [Google Scholar]
- Younesi-Kordkheili, H.; Pizzi, A. Ionic Liquids as enhancers of urea-glyoxal panel adhesives as substitutes of urea-formaldehyde resins. Eur. J. Wood Prod. 2017, 5, 481–483. [Google Scholar] [CrossRef]
- Wang, X.; Han, M.; Wan, H.; Yang, C.; Guan, G. Study on extraction of thiophene from model gasoline with Brønsted acidic ionic liquids. Front. Chem. Sci. Eng. 2011, 5, 107–112. [Google Scholar] [CrossRef]
- The Standardization Administration of China. China National Standard GB/T 14074: Testing Methods for Wood Adhesives and Their Resins; The Standardization Administration of China: Beijing, China, 2006. [Google Scholar]
- The Standardization Administration of China. China National Standard GB/T17657: Test Methods for Evaluating the Properties of Wood-Based Panels and Surface Decorated Wood-Based Panels; The Standardization Administration of China: Beijing, China, 1999. [Google Scholar]
- European Committee for Standardisation. Plywood—Specification; European Norm EN 636:2012; European Committee for Standardization: Brussels, Belgium, 2012. [Google Scholar]
- Younesi-Kordkheili, H.; Pizzi, A.; Hornabakhsh-Raouf, A.; Nemati, F. The Effect of Modified Soda Bagasse Lignin by Ionic Liquid on Properties of Urea-Formaldehyde Resin as Wood Adhesive. J. Adhes. 2016, 93. [Google Scholar] [CrossRef]
- Binder, J.B.; Gray, M.J.; White, J.F.; Zhang, Z.C.; Holladay, J.E. Reactions of lignin model compounds in ionic liquids. Biomass Bioenergy 2009, 33, 1122–1130. [Google Scholar] [CrossRef]
- Qu, Y.; Luo, H.; Li, H.; Xu, J. Comparison on structural modification of industrial lignin by wet ball milling and ionic liquid pretreatment. Biotechnol. Rep. 2015, 6. [Google Scholar] [CrossRef] [PubMed]






















| Resin Type | Relative Mixing Molar Ratio Glyoxal:Glutaraldehyde | Melamine (g) | Glyoxal (40% Solution) (g) | Glutaraldehyde (50% Solution) (g) |
|---|---|---|---|---|
| MG | 100:0 | 25.2 | 174 | 0 |
| MGG’1 | 95:5 | 25.2 | 163.5 | 12 |
| MGG’2 | 90:10 | 25.2 | 156.6 | 24 |
| MGG’3 | 85:15 | 25.2 | 147.9 | 36 |
| MGG’4 | 80:20 | 25.2 | 139.2 | 48 |
| MGG’4 | 75:25 | 25.2 | 130.5 | 60 |
| Name of Resin | Relative Mixing Mole Ratio of Glyoxal:Glutaraldehyde | Solid Content/% | Viscosity/mPa·s | Dry Shear Strength/MPa | 24 h Cold Water Shear Strength/MPa | 2 h Boiling Water Shear Strength/MPa |
|---|---|---|---|---|---|---|
| MG | 100:0 | 49 | 390 | 0.6 | 0.63 | -- |
| MGG’1 | 95:5 | 48.9 | 410 | 0.6 | 0.9 | -- |
| MGG’2 | 90:10 | 48.8 | 540 | 0.59 | 1.02 | -- |
| MGG’3 | 85:15 | 48.7 | 1720 | 0.76 | 1.39 | 0.45 |
| MGG’4 | 80:20 | 48.5 | 2890 | 0.73 | 1.48 | 0.7 |
| MGG’4 | 75:25 | solidified in the reactor | ||||
| Peak | Chemical Species |
|---|---|
| 199–200 Da = calculated 197 Da, proton = 198 Da | ![]() |
| 138 Da = 140 Da, glyoxal dimer by aldol condensation | ![]() |
| By aldol condensation as: | ![]() |
| 234 Da = 230 Da calculated, plus protonated, by aldol condensation, with Na+ | ![]() |
| 366–367 Da = 366 Da calculated, without Na+ | ![]() |
| 387 Da = 366 Da + 23 Da = as above but with Na+487–488 Da = with Na+ | ![]() |
| Peak | Chemical Species |
|---|---|
| 199–200 Da = calculated 197 Da, proton = 198 Da without Na+ | ![]() |
| 222 Da = as 199–200 but with Na+, however it is also possible 224 Da = 225 Da calculated with Na+ obtained by aldol condensation | ![]() |
| 328.6 Da = 304 Da + 23 = 327 Da calculated, glutaraldehyde trimer by aldol condensation with Na+ | ![]() |
| by aldol condensation, thus as | ![]() |
| but also at 325 Da (observed 324 Da) thus more probable: | ![]() |
| as well as coupling with [HSO4−] (see example of the 424 Da peak). 424 Da = 426 calculated, glutaraldehyde tetramer by aldol condensation with Na+but also | ![]() |
| and also | ![]() |
| but also protonated + [HSO4−] such as | ![]() |
| 524 Da = glutaraldehyde pentamer by aldolcondensation, with Na+ but also the alternatives as for the 424 Da peak | --- |
| 624 Da = glutaraldehyde hexamer by aldolcondensation, with Na+ but also the alternatives as for the 424 Da peak | --- |
| 724 Da = glutaraldehyde heptamer by aldolcondensation, with Na+ but also the alternatives as for the 424 Da peak | --- |
| Peak | Chemical Species |
|---|---|
| 200 Da = [HNMP] [HSO4−], calculated 197 Da, + protonation. 536–539 Da = 539 Da calculated (516 + Na+ = 539) | ![]() |
| Peak | Chemical Species |
|---|---|
| 149–151 Da = Melamine + 23 Da (Na+) with and without IL 159 Da = G + G’ by aldol condensation with and without IL. Small with IL 184–185 Da = M(Glyox)1 without Na+ in MGG’ with IL 197.8 Da = [HNMP] [HSO4−] (only present in MGG’ with IL) 234 Da = aldol condensation of glyoxal + Na+ exists only in MGG’ + IL | ![]() |
| 331.5 Da = 328.6 Da glutaraldehyde+IL by aldol condensation occurs but is relatively small in MGG’ + IL | ![]() |
| But also 331.5 = 310 + Na+ (333 calculated deprotonated = 332) in MGG’ + IL | ![]() |
| 395 Da = 392 Da (369 + 23) calculated. MGG’ + IL with Na+ | ![]() |
| 439 Da = MG5 + Na+, present in only MGG’ | ![]() |
| 496 Da = 491 Da (with Na+), probably multiprotoated, in MGG’ + IL (= GMGMG’) | ![]() |
| 521 Da = 516/518 calculated = MG5G’ without Na+ or MG5G’ without Na+ of MGG’ + IL 536–539 Da = MG5G’ + Na+ | ![]() |
| 557.4 Da = 558 Da calculated = MG4G2’ of MGG’ + IL without Na+ 566 Da without Na+, in MGG’ 581.7 Da = 581 calculated = MG4G2’ with Na+ in MGG’ + IL 588 Da with Na+. 588 Da in both MGG’ and MGG’ + IL | ![]() |
| 736–738 Da = 738 deprotonated, without Na+ In both MGG’ and MGG”+IL | ![]() |
| 795–796 Da = without Na+ in both MGG’ and MGG’ + IL | ![]() |
| 993 Da = 992 Calculated + protonated with Na+, only in MGG’ | ![]() |
| 1010 Da = 1008 Da calculated + protonated, only in MGG’ | ![]() |
| 1169 Da = 1168 Da calculated, Without Na+ | ![]() |
| Wavelength/cm−1 | Group |
|---|---|
| 812 | triazine bending vibration |
| 1074.3 | C–O stretching vibration |
| 1235 | C–O–C (ether group) stretching vibration |
| 1460.1 | Methylene C–H bending vibration |
| 1543 | Triazine C=N bending vibration |
| 1550.8 | Triazine C=N bending vibration |
| 1678 | C=O(carbonyl) stretching vibration |
| 1735.9 | C=O(ketone) stretching vibration |
| 2739 | C–H stretching vibration |
| 2962.7 | C–H(aldehyde) stretching vibration |
| 3100–3200 | N–H, O–H stretching vibration |
© 2017 by the authors. Licensee MDPI, Basel, Switzerland. This article is an open access article distributed under the terms and conditions of the Creative Commons Attribution (CC BY) license (http://creativecommons.org/licenses/by/4.0/).
Share and Cite
Xi, X.; Pizzi, A.; Amirou, S. Melamine–Glyoxal–Glutaraldehyde Wood Panel Adhesives without Formaldehyde. Polymers 2018, 10, 22. https://doi.org/10.3390/polym10010022
Xi X, Pizzi A, Amirou S. Melamine–Glyoxal–Glutaraldehyde Wood Panel Adhesives without Formaldehyde. Polymers. 2018; 10(1):22. https://doi.org/10.3390/polym10010022
Chicago/Turabian StyleXi, Xuedong, Antonio Pizzi, and Siham Amirou. 2018. "Melamine–Glyoxal–Glutaraldehyde Wood Panel Adhesives without Formaldehyde" Polymers 10, no. 1: 22. https://doi.org/10.3390/polym10010022
APA StyleXi, X., Pizzi, A., & Amirou, S. (2018). Melamine–Glyoxal–Glutaraldehyde Wood Panel Adhesives without Formaldehyde. Polymers, 10(1), 22. https://doi.org/10.3390/polym10010022





























