Ultra-Wide-Bandwidth Tunable Magnetic Fluid-Filled Hybrid Connected Dual-Core Photonic Crystal Fiber Mode Converter
Abstract
:1. Introduction
2. Structure of Magnetic Fluid-Filled Hybrid Photonic Crystal Fiber
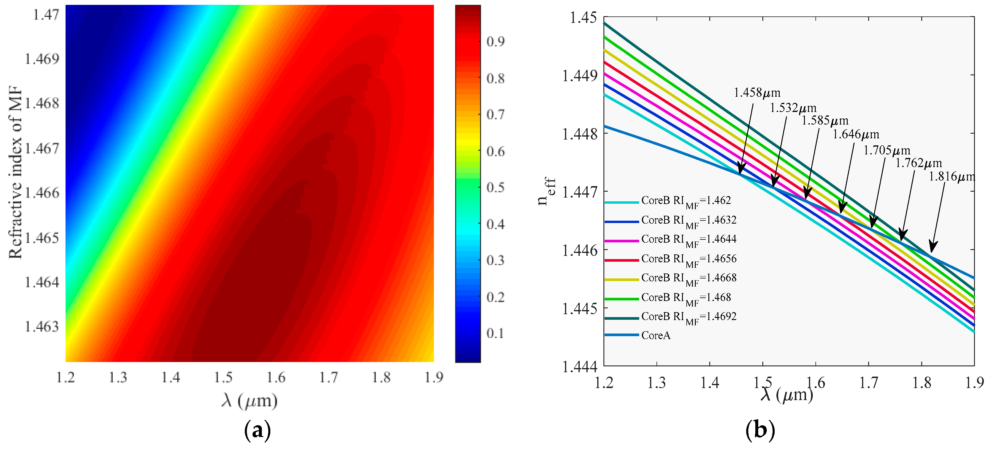
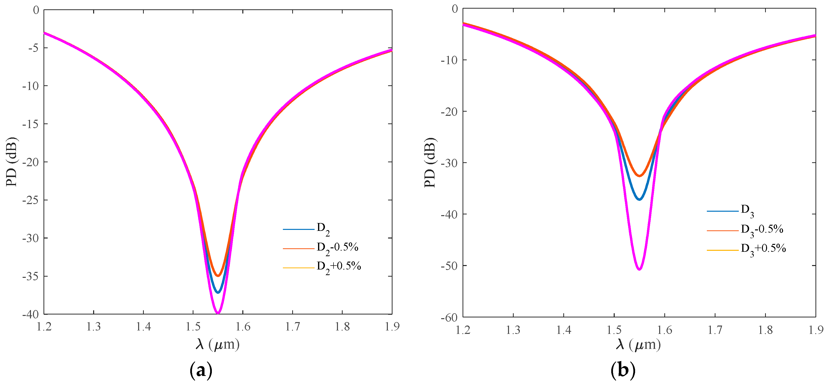
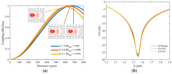
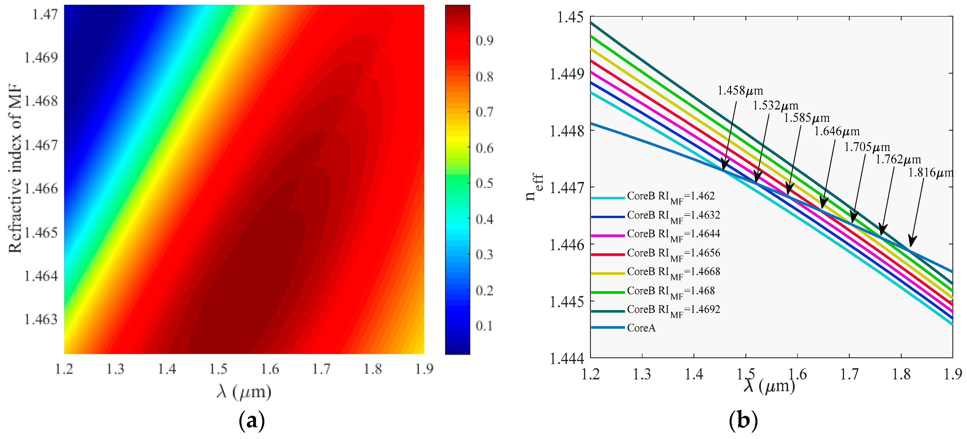
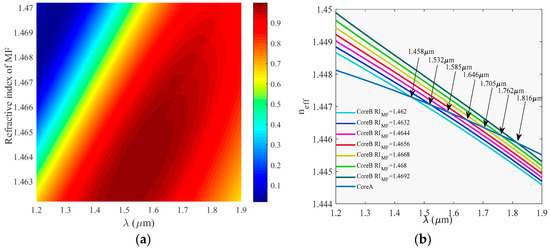
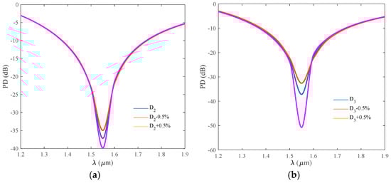
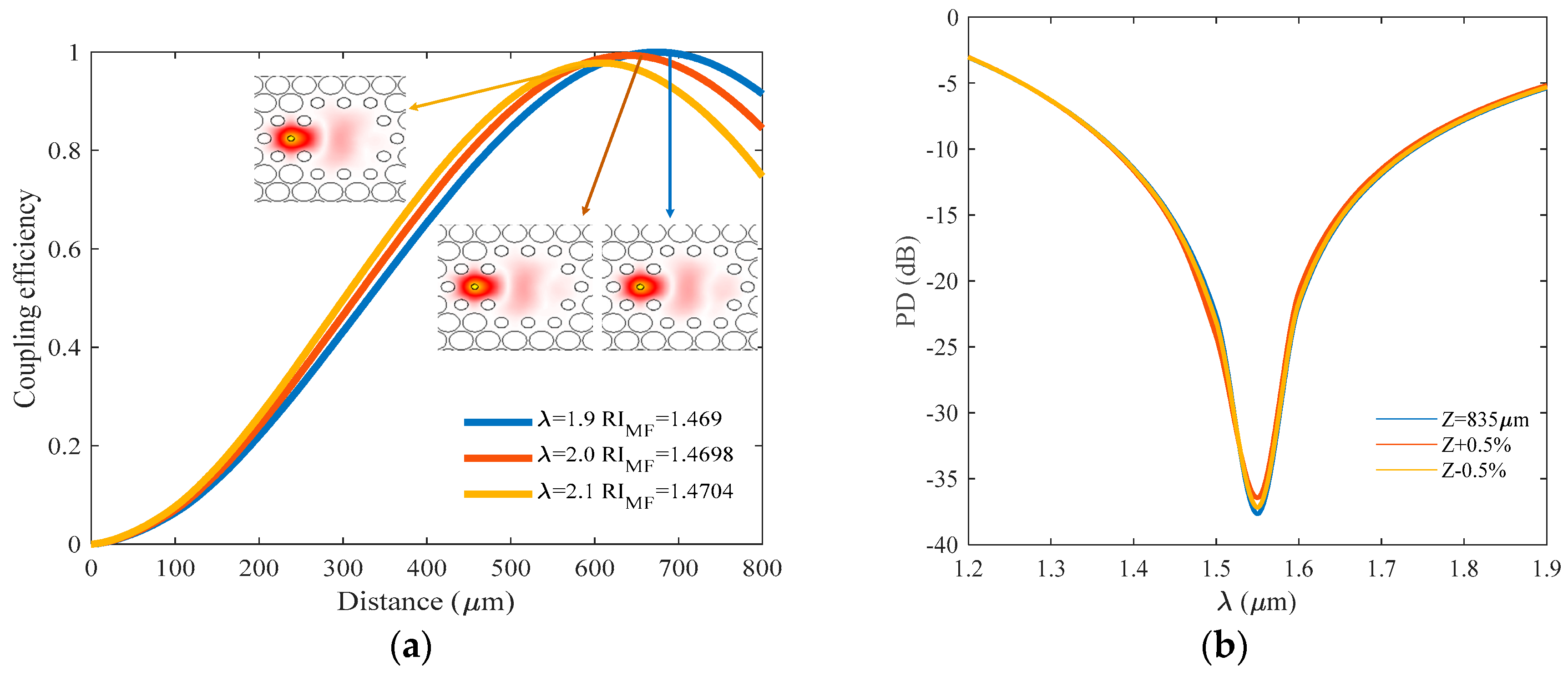
3. Numerical Analysis and Simulated Results
4. Conclusions
Acknowledgments
Author Contributions
Conflicts of Interest
References
- Peyrilloux, A.; Chartier, T.; Hideur, A.; Berthelot, L. Theoretical and Experimental Study of the Birefringence of a Photonic Crystal Fiber. J. Lightwave Technol. 2016, 21, 536–539. [Google Scholar] [CrossRef]
- Islam, M.A.; Alam, M.S. Design Optimization of Equiangular Spiral Photonic Crystal Fiber for Large Negative Flat Dispersion and High Birefringence. J. Lightwave Technol. 2012, 30, 3545–3551. [Google Scholar] [CrossRef]
- Saitoh, K.; Florous, N.; Koshiba, M. Ultra-flattened chromatic dispersion controllability using a defected-core photonic crystal fiber with low confinement losses. Opt. Express 2005, 13, 8365–8371. [Google Scholar] [CrossRef] [PubMed]
- Rifat, A.A.; Mahdiraji, G.A.; Ahmed, R.; Chow, M.D.; Sua, Y.M.; Shee, Y.G.; Adikan, F.R.M. Copper-Graphene-Based Photonic Crystal Fiber Plasmonic Biosensor. IEEE Photonics J. 2017, 8, 1–8. [Google Scholar] [CrossRef]
- Vigneswaran, D.; Ayyanar, N.; Sharma, M.; Maburajan, M.S.; Porsezian, K. Salinity sensor using photonic crystal fiber. Sens. Actuators A Phys. 2018, 269, 22–28. [Google Scholar] [CrossRef]
- Ahmed, K.; Morshed, M. Design and numerical analysis of microstructured-core octagonal photonic crystal fiber for sensing applications. Sens. Bio-Sens. Res. 2016, 7, 1–6. [Google Scholar] [CrossRef]
- Zhang, Z.G.; Zhang, F.D.; Zhang, M.; Ye, P.D. Gas sensing properties of index-guided PCF with air-core. Opt. Laser Technol. 2008, 40, 167–174. [Google Scholar]
- Saitoh, K.; Koshiba, M. Leakage loss and group velocity dispersion in air-core photonic bandgap fibers. Opt. Express 2003, 11, 3100–3109. [Google Scholar] [CrossRef] [PubMed]
- Asaduzzaman, S.; Ahmed, K.; Bhuiyan, T.; Farah, T. Hybrid photonic crystal fiber in chemical sensing. Springerplus 2016, 5, 1–11. [Google Scholar] [CrossRef] [PubMed]
- Saitoh, K.; Sato, Y.; Koshiba, M. Coupling characteristics of dual-core photonic crystal fiber couplers. Opt. Express 2003, 11, 3188–3195. [Google Scholar] [CrossRef] [PubMed]
- Liu, S.; Li, S.G.; Yin, G.B.; Feng, R.P.; Wang, X.Y. A novel polarization splitter in ZnTe tellurite glass three-core photonic crystal fiber. Opt. Commun. 2012, 285, 1097–1102. [Google Scholar] [CrossRef]
- Zhao, T.; Lou, S.; Wang, X.; Zhou, M.; Lian, Z. Ultrabroadband polarization splitter based on three-core photonic crystal fiber with a modulation core. Appl. Opt. 2016, 55, 6428–6434. [Google Scholar] [CrossRef] [PubMed]
- Kim, H.; Kim, J.; Paek, U.C.; Lee, B.H.; Kim, K.T. Tunable photonic crystal fiber coupler based on a side-polishing technique. Opt. Lett. 2004, 29, 1194–1196. [Google Scholar] [CrossRef] [PubMed]
- Nandi, P.; Chen, Z.; Witkowska, A.; Wadsworth, W.J.; Birks, T.A.; Knight, J.C. Characterization of a photonic crystal fiber mode converter using low coherence interferometry. Opt. Lett. 2009, 34, 1123–1125. [Google Scholar] [CrossRef] [PubMed]
- Hu, D.J.; Ping, S.; Lu, C.; Sun, X.; Ren, G.; Yu, X.; Wang, G. Design and analysis of thermally tunable liquid crystal filled hybrid photonic crystal fiber coupler. Opt. Commun. 2009, 282, 2343–2347. [Google Scholar] [CrossRef]
- Richardson, D.J.; Fini, J.M.; Nelson, L.E. Space-division multiplexing in optical fibres. Nat. Photonics 2013, 7, 354–362. [Google Scholar] [CrossRef]
- Leon-Saval, S.G.; Fontaine, N.K.; Amezcua-Correa, R. Photonic lantern as mode multiplexer for multimode optical communications. Opt. Fiber Technol. 2017, 35, 46–55. [Google Scholar] [CrossRef]
- Leon-Saval, S.G.; Fontaine, N.K.; Salazar-Gil, J.R.; Ercan, B.; Ryf, R.; Bland-Hawthorn, J. Mode-selective photonic lanterns for space-division multiplexing. Opt. Express 2014, 22, 1036–1044. [Google Scholar] [CrossRef] [PubMed]
- Velazquez-Benitez, A.M.; Alvarado, J.C.; Lopez-Galmiche, G.; Antonio-Lopez, J.E.; Hernández-Cordero, J.; Sanchez-Mondragon, J.; Sillard, P.; Okonkwo, C.M.; Amezcua-Correa, R. Six mode selective fiber optic spatial multiplexer. Opt. Lett. 2015, 40, 1663–1666. [Google Scholar] [CrossRef] [PubMed]
- Labroille, G.; Denolle, B.; Jian, P.; Genevaux, P.; Treps, N.; Morizur, J.F. Efficient and mode selective spatial mode multiplexer based on multi-plane light conversion. Opt. Express 2014, 22, 15599–15607. [Google Scholar] [CrossRef] [PubMed]
- Shwartz, S.; Golub, M.A.; Ruschin, S. Computer-generated holograms for fiber optical communication with spatial-division multiplexing. Appl. Opt. 2017, 56, A31–A40. [Google Scholar] [CrossRef]
- Chen, H.; Sleiffer, V.; Snyder, B.; Kuschnerov, M.; Vanuden, R.; Jung, Y.; Okonkwo, C.M.; Raz, O.; Brien, P.O.; Waardt, H.D.; et al. Demonstration of a Photonic Integrated Mode Coupler With MDM and WDM Transmission. IEEE Photonics Technol. Lett. 2013, 25, 2039–2042. [Google Scholar] [CrossRef]
- Xing, J.J.; Li, Z.Y.; Xiao, X.; Yu, J.Z.; Yu, Y.D. Two-mode multiplexer and demultiplexer based on adiabatic couplers. Opt. Lett. 2013, 38, 3468–3470. [Google Scholar] [CrossRef] [PubMed]
- Lai, K.; Leonsaval, S.G.; Witkowska, A.; Wadsworth, W.J.; Briks, T.A. Wavelength-independent all-fiber mode converters. Opt. Lett. 2007, 32, 328–330. [Google Scholar] [CrossRef] [PubMed]
- Sun, G.L.; Chen, Z.L.; Xi, X.M.; Hou, J.; Jiang, Z.F. General principles for designing mode converters based on air-hole collapse in photonic crystal fibers. Opt. Commun. 2012, 285, 1331–1334. [Google Scholar]
- Cai, S.; Yu, S.; Lan, M.; Gao, L.; Nie, S.; Gu, W. Broadband Mode Converter Based on Photonic Crystal Fiber. IEEE Photonics Technol. Lett. 2015, 27, 474–477. [Google Scholar] [CrossRef]
- Cai, S.; Yu, S.; Wang, Y.; Lan, M.; Gao, L.; Gu, W. Hybrid Dual-Core Photonic Crystal Fiber for Spatial Mode Conversion. IEEE Photonics Technol. Lett. 2016, 28, 339–342. [Google Scholar] [CrossRef]
- Chen, Y.F.; Yang, S.Y.; Tse, W.S.; Horong, H.E.; Hong, C.; Yang, H.C. Thermal effect on the field-dependent refractive index of the magnetic fluid film. Appl. Phys. Lett. 2003, 82, 3481–3483. [Google Scholar] [CrossRef]
- Horng, H.E.; Chieh, J.J.; Chao, Y.H.; Yang, S.Y.; Hong, C.Y.; Yang, H.C. Designing optical-fiber modulators by using magnetic fluids. Opt. Lett. 2005, 30, 543–545. [Google Scholar] [CrossRef] [PubMed]
- Otmani, H.; Bouchemat, M.; Bouchemat, T.; Lahoubi, M.; Wang, W.; Pu, S. Nonreciprocal TE–TM Mode Conversion Based on Photonic Crystal Fiber of Air Holes Filled with Magnetic Fluid into a Terbium Gallium Garnet Fiber. IEEE Trans. Magn. 2015, 51, 1–4. [Google Scholar] [CrossRef]
- Hong, C.Y.; Yang, S.Y.; Horng, H.E.; Yang, H.C. Control parameters for the tunable refractive index of magnetic fluid films. J. Appl. Phys. 2003, 94, 3849–3852. [Google Scholar] [CrossRef]
- Wang, J.; Pei, L.; Weng, S.; Wu, L.; Huang, L.; Ning, T.; Li, J. A Tunable Polarization Beam Splitter Based on Magnetic Fluids-Filled Dual-Core Photonic Crystal Fiber. IEEE Photonics J. 2017, 9, 1–10. [Google Scholar] [CrossRef]
- Li, J.; Wang, R.; Wang, J.; Zhang, B.; Xu, Z.; Wang, H. Novel magnetic field sensor based on magnetic fluids infiltrated dual-core photonic crystal fibers. Opt. Fiber Technol. 2014, 20, 100–105. [Google Scholar] [CrossRef]
- Riesen, N.; Love, J.D. Ultra-Broadband Tapered Mode-Selective Couplers for Few-Mode Optical Fiber Networks. IEEE Photonics Technol. Lett. 2013, 25, 2501–2504. [Google Scholar] [CrossRef]
- Yang, Y.; Chen, K.; Jin, W.; Chiang, K.S. Widely Wavelength-Tunable Mode Converter Based on Polymer Waveguide Grating. IEEE Photonics Technol. Lett. 2015, 27, 1985–1988. [Google Scholar] [CrossRef]
- Li, X.; Sun, B.; Yu, Y. Ultra-wide bandwidth wavelength selective couplers based on the all solid multi-core Ge-doped fibre. Opto-Electron. Rev. 2014, 22, 166–170. [Google Scholar] [CrossRef]










| References | Structure Type | Coupling Efficiency | Bandwidth Range |
|---|---|---|---|
| [20] | Multi-plane | 94% | 1530 nm–1565 nm |
| [23] | SOI-based rib waveguide | 97.5% | 1500 nm–1600 nm |
| [26] | Dual-core PCF | 95% | 1460 nm–1625 nm |
| [34] | Tapered Mode | 99% | 1527 nm–1620 nm |
| [35] | Polymer Waveguide Grating | 99% | 1530 nm–1625 nm |
| This work | MF-filled hybrid PCF | 99.9% | 1380 nm–1750 nm |
© 2018 by the authors. Licensee MDPI, Basel, Switzerland. This article is an open access article distributed under the terms and conditions of the Creative Commons Attribution (CC BY) license (http://creativecommons.org/licenses/by/4.0/).
Share and Cite
Yu, Y.; Sun, B. Ultra-Wide-Bandwidth Tunable Magnetic Fluid-Filled Hybrid Connected Dual-Core Photonic Crystal Fiber Mode Converter. Crystals 2018, 8, 95. https://doi.org/10.3390/cryst8020095
Yu Y, Sun B. Ultra-Wide-Bandwidth Tunable Magnetic Fluid-Filled Hybrid Connected Dual-Core Photonic Crystal Fiber Mode Converter. Crystals. 2018; 8(2):95. https://doi.org/10.3390/cryst8020095
Chicago/Turabian StyleYu, Yingying, and Bo Sun. 2018. "Ultra-Wide-Bandwidth Tunable Magnetic Fluid-Filled Hybrid Connected Dual-Core Photonic Crystal Fiber Mode Converter" Crystals 8, no. 2: 95. https://doi.org/10.3390/cryst8020095
APA StyleYu, Y., & Sun, B. (2018). Ultra-Wide-Bandwidth Tunable Magnetic Fluid-Filled Hybrid Connected Dual-Core Photonic Crystal Fiber Mode Converter. Crystals, 8(2), 95. https://doi.org/10.3390/cryst8020095

