Cobalt-Substituted Seven-Layer Aurivillius Bi8Fe4Ti3O24 Ceramics: Enhanced Ferromagnetism and Ferroelectricity
Abstract
:1. Introduction
2. Results and Discussion
2.1. X-ray Diffraction
2.2. High-Resolution Transmission Electron Microscopy
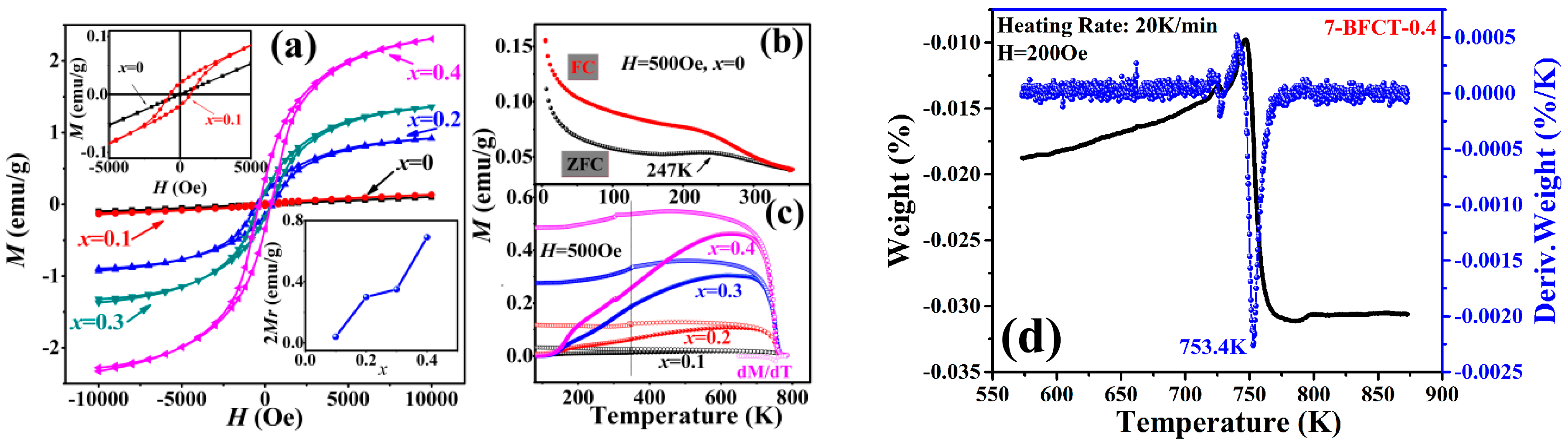
2.3. Ferromagnetic Properties
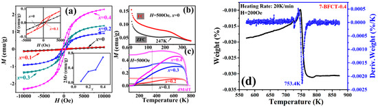
2.4. Ferroelectric Properties
3. Materials and Methods
3.1. Sample Synthesis
3.2. Characterization
4. Conclusions
Acknowledgments
Author Contributions
Conflicts of Interest
References
- Eerenstein, W.; Mathur, N.D.; Scott, J.F. Multiferroic and magnetoelectric materials. Nature 2006, 442, 759–765. [Google Scholar] [CrossRef] [PubMed]
- Nan, C.W.; Bichurin, M.I.; Dong, S.; Viehland, D.; Srinivasan, G. Multiferroic magnetoelectric composites: Historical perspective, status, and future directions. J. Appl. Phys. 2008, 103, 031101. [Google Scholar] [CrossRef]
- Suryanarayana, S.V.; Srinivas, A.; Singh, R.S. Magnetoelectric materials: Some recent results & possible applications. Proc. SPIE 1999, 3903, 232–265. [Google Scholar]
- Diao, C.L.; Zheng, H.W.; Gu, Y.Z.; Zhang, W.F.; Fang, L. Structural and electrical properties of four-layers Aurivillius phase BaBi3.5Nd0.5Ti4O15 ceramics. Ceram. Int. 2014, 40, 5765–5769. [Google Scholar] [CrossRef]
- Chen, X.Q.; Xiao, J.; Xue, Y.; Zeng, X.B.; Yang, F.J.; Su, P. Room temperature multiferroic properties of Ni-doped Aurivillus phase Bi5Ti3FeO15. Ceram. Int. 2014, 40, 2635–2639. [Google Scholar] [CrossRef]
- Lomanova, N.A.; Morozov, M.I.; Ugolkov, V.L.; Gusarov, V.V. Properties of Aurivillius phases in the Bi4Ti3O12-BiFeO3 system. Inorg. Mater. 2006, 42, 189–195. [Google Scholar] [CrossRef]
- Lebeugle, D.; Colson, D.; Forget, A.; Viret, M.; Bonville, P.; Marucco, J.F.; Fusil, S. Room-temperature coexistence of large electric polarization and magnetic order in BiFeO3 single crystals. Phys. Rev. B 2007, 76, 024116. [Google Scholar] [CrossRef]
- Huang, F.Z.; Lu, X.M.; Chen, C.; Lin, W.W.; Chen, X.C.; Zhang, J.T.; Liu, Y.F.; Zhu, J.S. Room-temperature multiferroic properties of Bi4.15Nd0.85Ti3FeO15 thin films prepared by the metal-organic decomposition method. Solid State Commun. 2010, 150, 1646–1649. [Google Scholar] [CrossRef]
- Ji, J.J.; Sun, H.; Mao, X.Y.; Wang, W.; Chen, X.B. Structure and multiferroic properties of Bi5FeTi3O15 thin films prepared by the sol-gel method. J. Sol-Gel Sci. Technol. 2012, 61, 328–331. [Google Scholar] [CrossRef]
- Li, J.B.; Huang, Y.P.; Rao, G.H.; Liu, G.Y.; Luo, J.; Chen, J.R.; Liang, J.K. Ferroelectric transition of Aurivillius compounds Bi5Ti3FeO15 and Bi6Ti3Fe2O18. Appl. Phys. Lett. 2010, 96, 222903. [Google Scholar] [CrossRef]
- Srinivas, A.; Suryanarayana, S.V.; Kumar, G.S.; Kumar, M.M. Magnetoelectric measurements on Bi5FeTi3O15 and Bi6Fe2Ti3O18. J. Phys.-Condens. Matter 1999, 11, 3335–3340. [Google Scholar] [CrossRef]
- Bai, W.; Xu, W.F.; Wu, J.; Zhu, J.Y.; Chen, G.; Yang, J.; Lin, T.; Meng, X.J.; Tang, X.D.; Chu, J.H. Investigations on electrical, magnetic and optical behaviors of five-layered Aurivillius Bi6Ti3Fe2O18 polycrystalline films. Thin Solid Films 2012, 525, 195–199. [Google Scholar] [CrossRef]
- Yang, J.; Tong, W.; Liu, Z.; Zhu, X.B.; Dai, J.M.; Song, W.H.; Yang, Z.R.; Sun, Y.P. Structural, magnetic, and EPR studies of the Aurivillius phase Bi6Fe2Ti3O18 and Bi6FeCrTi3O18. Phys. Rev. B 2012, 86, 104410. [Google Scholar] [CrossRef]
- Bucko, M.M.; Polnar, J.; Lis, J.; Przewoznik, J.; Gaska, K.; Kapusta, C. Magnetic properties of the Bi7Fe3Ti3O21 Aurivillius phase doped with samarium. Adv. Sci. Technol. 2013, 77, 220–224. [Google Scholar] [CrossRef]
- Kan, A.; Ogawa, H.; Inami, Y.; Moriyama, T. Synthesis and ferroelectric properties of bismuth layer-structured (Bi7-xSrx) (Fe3-xTi3+x)O21 solid solutions. Phys. B Condens. Matter 2011, 406, 3170–3174. [Google Scholar] [CrossRef]
- Mao, X.; Wang, W.; Chen, X.; Lu, Y. Multiferroic properties of layer-structured Bi5Fe0.5Co0.5Ti3O15 ceramics. Appl. Phys. Lett. 2009, 95, 082901. [Google Scholar] [CrossRef]
- Liu, Z.; Yang, J.; Tang, X.W.; Yin, L.H.; Zhu, X.B.; Dai, J.M.; Sun, Y.P. Multiferroic properties of Aurivillius phase Bi6Fe2-xCoxTi3O18 thin films prepared by a chemical solution deposition route. Appl. Phys. Lett. 2012, 101, 122402. [Google Scholar] [CrossRef]
- Sun, S.J.; Ling, Y.H.; Peng, R.R.; Liu, M.; Mao, X.Y.; Chen, X.B.; Knize, R.J.; Lu, Y.L. Synthesis of Ni-substituted Bi7Fe3Ti3O21 ceramics and their superior room temperature multiferroic properties. RSC Adv. 2013, 3, 18567–18572. [Google Scholar] [CrossRef]
- Wang, J.L.; Fu, Z.P.; Peng, R.R.; Liu, M.; Sun, S.J.; Huang, H.L.; Li, L.; Knize, R.J.; Lu, Y.L. Low magnetic field response single-phase multiferroics under high temperature. Mater. Horiz. 2015, 2, 232–236. [Google Scholar] [CrossRef]
- Sun, S.J.; Huang, Y.; Wang, G.P.; Wang, J.L.; Fu, Z.P.; Peng, R.R.; Knize, R.J.; Lu, Y.L. Nanoscale structural modulation and enhanced room-temperature multiferroic properties. Nanoscale 2014, 6, 13494–13500. [Google Scholar] [CrossRef] [PubMed]
- Li, T.C.Z.A.; Chen, J.F.; Ge, W.; Liu, M.; Lu, Y.L. Hydrothermal synthesis and formation mechanism of Aurivillius Bi5Fe0.9Co0.1Ti3O15 nanosheets. CrystEngComm 2016, 18, 7449–7456. [Google Scholar]
- Jartych, E.; Mazurek, M.; Lisinska-Czekaj, A.; Czekaj, D. Hyperfine interactions in some Aurivillius Bim+1Ti3Fem-3O3m+3 compounds. J. Magn. Magn. Mater. 2010, 322, 51–55. [Google Scholar] [CrossRef]
- Srinivas, A.; Kim, D.W.; Hong, K.S.; Suryanarayana, S.V. Study of magnetic and magnetoelectric measurements in bismuth iron titanate ceramic—Bi8Fe4Ti3O24. Mater. Res. Bull. 2004, 39, 55–61. [Google Scholar] [CrossRef]
- Jartych, E.; Gaska, K.; Przewoznik, J.; Kapusta, C.; Lisinska-Czekaj, A.; Czekaj, D.; Surowiec, Z. Hyperfine interactions and irreversible magnetic behavior in multiferroic Aurivillius compounds. Nukleonika 2013, 58, 47–51. [Google Scholar]
- Jartych, E.; Pikula, T.; Mazurek, M.; Lisinska-Czekaj, A.; Czekaj, D.; Gaska, K.; Przewoznik, J.; Kapusta, C.; Surowiec, Z. Antiferromagnetic spin glass-like behavior in sintered multiferroic Aurivillius Bim+1Ti3Fem-3O3m+3 compounds. J. Magn. Magn. Mater. 2013, 342, 27–34. [Google Scholar] [CrossRef]
- Song, G.L.; Luo, Y.P.; Su, J.; Zhou, X.H.; Chang, F.G. Effects of Dy and Co co-substitution on the magnetic properties and T-C of BiFeO3 ceramics. Acta Phys. Sin. 2013, 62, 097502. [Google Scholar]
- Mao, X.Y.; Wang, W.; Sun, H.; Lu, Y.L.; Chen, X.B. Influence of different synthesizing steps on the multiferroic properties of Bi5Fe1Ti3O15 and Bi5Fe0.5Co0.5Ti3O15 ceramics. J. Mater. Sci. 2012, 47, 2960. [Google Scholar] [CrossRef]





| x | 2Mr (emu/g) | 2Pr (μC/cm2) | TN (K) | Tc (K) |
|---|---|---|---|---|
| 0 | -- | 0.59 | 247 | 1052 |
| 0.1 | 0.04 | 0.88 | 776 | 1054 |
| 0.2 | 0.30 | 2.90 | 764 | 1060 |
| 0.3 | 0.35 | 4.15 | 762 | 1062 |
| 0.4 | 0.69 | 3.05 | 750 | 1065 |
© 2017 by the authors. Licensee MDPI, Basel, Switzerland. This article is an open access article distributed under the terms and conditions of the Creative Commons Attribution (CC BY) license ( http://creativecommons.org/licenses/by/4.0/).
Share and Cite
Lei, Z.; Chen, T.; Li, W.; Liu, M.; Ge, W.; Lu, Y. Cobalt-Substituted Seven-Layer Aurivillius Bi8Fe4Ti3O24 Ceramics: Enhanced Ferromagnetism and Ferroelectricity. Crystals 2017, 7, 76. https://doi.org/10.3390/cryst7030076
Lei Z, Chen T, Li W, Liu M, Ge W, Lu Y. Cobalt-Substituted Seven-Layer Aurivillius Bi8Fe4Ti3O24 Ceramics: Enhanced Ferromagnetism and Ferroelectricity. Crystals. 2017; 7(3):76. https://doi.org/10.3390/cryst7030076
Chicago/Turabian StyleLei, Zhiwei, Tong Chen, Weigu Li, Min Liu, Wen Ge, and Yalin Lu. 2017. "Cobalt-Substituted Seven-Layer Aurivillius Bi8Fe4Ti3O24 Ceramics: Enhanced Ferromagnetism and Ferroelectricity" Crystals 7, no. 3: 76. https://doi.org/10.3390/cryst7030076
APA StyleLei, Z., Chen, T., Li, W., Liu, M., Ge, W., & Lu, Y. (2017). Cobalt-Substituted Seven-Layer Aurivillius Bi8Fe4Ti3O24 Ceramics: Enhanced Ferromagnetism and Ferroelectricity. Crystals, 7(3), 76. https://doi.org/10.3390/cryst7030076
