Influence of Alkyl Trimethyl Ammonium Bromides on Hydrothermal Formation of α-CaSO4·0.5H2O Whiskers with High Aspect Ratios
Abstract
:1. Introduction
2. Results and Discussion
2.1. Influence of CTAB on the Formation of α-CaSO4·0.5H2O Whiskers
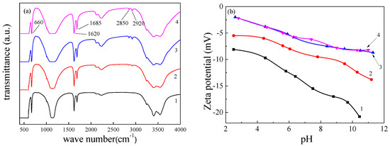
2.2. Adsorption of CTAB on α-CaSO4·0.5H2O Whiskers
2.3. Influence of ATABs on α-CaSO4·0.5H2O Whiskers
3. Materials and Methods
4. Conclusions
Acknowledgments
Author Contributions
Conflicts of Interest
References
- Ru, X.; Ma, B.; Huang, J.; Huang, Y. Phosphogypsum Transition to α-Calcium Sulfate Hemihydrate in the Presence of Omongwaite in NaCl Solutions Under Atmospheric Pressure. J. Am. Ceram. Soc. 2012, 95, 3478–3482. [Google Scholar] [CrossRef]
- Tritschler, U.; Alexander, E.S.; Kempter, A.; Kellermeier, M.; Cölfen, H. Controlling the Selective Formation of Calcium Sulfate Polymorphs at Room Temperature. Angew. Chem. Int. Ed. 2015, 54, 4083–4086. [Google Scholar] [CrossRef] [PubMed]
- Mao, X.; Song, X.; Lu, G.; Sun, Y.; Xu, Y.; Yu, J. Control of Crystal Morphology and Size of Calcium Sulfate Whiskers in Aqueous HCl Solutions by Additives: Experimental and Molecular Dynamics Simulation Studies. Ind. Eng. Chem. Res. 2015, 54, 4781–4787. [Google Scholar] [CrossRef]
- Wang, H.; Mu, B.; Ren, J.; Jian, L.; Zhang, J.; Yang, S. Mechanical and Tribological Behaviors of PA66/PVDF Blends Filled with Calcium Sulfate Whiskers. Polym. Compos. 2009, 30, 1326–1332. [Google Scholar] [CrossRef]
- Xu, A.; Li, H.; Luo, K.; Xiang, L. Formation of Calcium Sulfate Whiskers from CaCO3-Bearing Desulfurization Gypsum. Res. Chem. Intermed. 2011, 37, 449–455. [Google Scholar] [CrossRef]
- Capadona, J.R.; Shanmuganathan, K.; Trittschuh, S.; Seidel, S.; Rowan, S.J.; Weder, C. Polymer Nanocomposites with Nanowhiskers Isolated from Microcrystalline Cellulose. Biomacromolecules 2009, 10, 712–716. [Google Scholar] [CrossRef] [PubMed]
- Liu, J.; Reni, L.; Wei, Q.; Wu, J.; Liu, S.; Wang, Y.; Li, G. Fabrication and Characterization of Polycaprolactone/Calcium Sulfate Whisker Composites. Express Polym. Lett. 2011, 5, 742–752. [Google Scholar] [CrossRef]
- Luo, K.; Li, C.; Xiang, L.; Li, H.; Ning, P. Influence of Temperature and Solution Composition on the Formation of Calcium Sulfates. Particuology 2010, 8, 240–244. [Google Scholar] [CrossRef]
- Wang, Y.; Kim, Y.; Christenson, H.K.; Meldrum, F.C. A new precipitation pathway for calcium sulfate dihydrate (gypsum) via amorphous and hemihydrate intermediates. Chem. Commun. 2012, 48, 504–506. [Google Scholar] [CrossRef] [PubMed]
- Kong, B.; Guan, B.; Yates, M.Z.; Wu, Z. Control of α-Calcium Sulfate Hemihydrate Morphology Using Reverse Microemulsions. Langmuir 2012, 28, 14137–14142. [Google Scholar] [CrossRef] [PubMed]
- Chen, Y.; Wu, Q.; Ding, Y. Stepwise Assembly of Nanoparticles, -tubes, -rods, and -wires in Reverse Micelle Systems. Eur. J. Inorg. Chem. 2007, 4906–4910. [Google Scholar] [CrossRef]
- Guan, B.; Ma, X.; Wu, Z.; Yang, L.; Shen, Z. Crystallization Routes and Metastability of α-Calcium Sulfate Hemihydrate in Potassium Chloride Solutions under Atmospheric Pressure. J. Chem. Eng. Data 2009, 54, 719–725. [Google Scholar] [CrossRef]
- Li, L.; Zhu, Y.; Ma, M. Microwave-assisted Preparation of Calcium Sulfate Nanowires. Mater. Lett. 2008, 62, 4552–4554. [Google Scholar] [CrossRef]
- Singh, N.B.; Middendorf, B. Calcium Sulphate Hemihydrate Hydration Leading to Gypsum Crystallization. Prog. Cryst. Growth Charact. Mater. 2007, 53, 57–77. [Google Scholar] [CrossRef]
- McAdie, H.G. The Effect of Water Vapor upon the Dehydration of CaSO4·2H2O. Can. J. Chem. 1964, 42, 792–801. [Google Scholar] [CrossRef]
- Chen, H.; Wang, J.; Hou, S.; Xiang, L. Influence of NH4Cl on Hydrothermal Formation of α-CaSO4·0.5H2O Whiskers. J. Nanomater. 2015. [Google Scholar] [CrossRef]
- Ballirano, P.; Maras, A.; Meloni, S.; Caminiti, R. The Monoclinic I2 Structure of Bassanite, Calcium Sulphate Hemihydrate (CaSO4·0.5H2O). Eur. J. Mineral. 2001, 13, 985–993. [Google Scholar] [CrossRef]
- Xin, Y.; Xiang, L.; Yu, Y. Influence of structure on the morphology of CaSO4·nH2O (n = 0, 0.5, 2): A molecular simulation study. Mater. Res. Innov. 2015, 19, 103–107. [Google Scholar] [CrossRef]
- Bezou, C.; Nonat, A.; Mutin, J.C. Investigation of the Crystal Structure of γ-CaSO4, CaSO4·0.5H2O, and CaSO4·0.6H2O by Powder Diffraction Methods. J. Solid State Chem. 1995, 117, 165–176. [Google Scholar] [CrossRef]
- Freyer, D.; Voigt, W. Crystallization and Phase Stability of CaSO4 and CaSO4-Based Salts. Monatshefte Chem. 2003, 134, 693–719. [Google Scholar] [CrossRef]
- Muscolino, G.; Sofi, A.; Zingales, M. One-dimensional heterogeneous solids with uncertain elastic modulus in presence of long-range interactions: Interval versus stochastic analysis. Comput. Struct. 2013, 122, 217–229. [Google Scholar] [CrossRef]
- Zhao, W.; Gao, C.; Zhang, G.; Xu, J.; Wang, C.; Wu, Y. Controlling the morphology of calcium sulfate hemihydrate using aluminum chloride as a habit modifier. New J. Chem. 2016, 40, 3104–3108. [Google Scholar] [CrossRef]
- Hou, S.; Wang, J.; Wang, X.; Chen, H.; Xiang, L. Effect of Mg2+ on Hydrothermal Formation of α-CaSO4·0.5H2O Whiskers with High Aspect Ratios. Langmuir 2014, 30, 9804–9810. [Google Scholar] [CrossRef] [PubMed]
- Wu, Z.; Meng, L.; Liu, L.; Jiang, Z.; Xing, L.; Jiang, D.; Huang, Y. Interfacial microstructure and properties of carbon fiber-reinforced unsaturated polyester composites modified with carbon nanotubes. J. Adhes. Sci. Technol. 2014, 28, 444–453. [Google Scholar] [CrossRef]







| CTAB (mol·L−1) | θ (Water) (°) | θ (CH2I2) (°) | Polar Component (mN·m−1) | Dispersive Component (mN·m−1) | Surface Energy (mN·m−1) |
|---|---|---|---|---|---|
| 0 | 14.700 | 18.013 | 39.279 | 33.085 | 72.364 |
| 1.0 × 10−4 | 25.468 | 16.438 | 34.359 | 34.452 | 68.811 |
| 9.2 × 10−4 | 32.586 | 15.533 | 30.165 | 35.594 | 65.759 |
| 1.5 × 10−3 | 33.336 | 15.239 | 29.649 | 35.776 | 65.425 |
© 2017 by the authors; licensee MDPI, Basel, Switzerland. This article is an open access article distributed under the terms and conditions of the Creative Commons Attribution (CC-BY) license (http://creativecommons.org/licenses/by/4.0/).
Share and Cite
Chen, R.; Hou, S.; Wang, J.; Xiang, L. Influence of Alkyl Trimethyl Ammonium Bromides on Hydrothermal Formation of α-CaSO4·0.5H2O Whiskers with High Aspect Ratios. Crystals 2017, 7, 28. https://doi.org/10.3390/cryst7010028
Chen R, Hou S, Wang J, Xiang L. Influence of Alkyl Trimethyl Ammonium Bromides on Hydrothermal Formation of α-CaSO4·0.5H2O Whiskers with High Aspect Ratios. Crystals. 2017; 7(1):28. https://doi.org/10.3390/cryst7010028
Chicago/Turabian StyleChen, Ruosong, Sichao Hou, Jing Wang, and Lan Xiang. 2017. "Influence of Alkyl Trimethyl Ammonium Bromides on Hydrothermal Formation of α-CaSO4·0.5H2O Whiskers with High Aspect Ratios" Crystals 7, no. 1: 28. https://doi.org/10.3390/cryst7010028
APA StyleChen, R., Hou, S., Wang, J., & Xiang, L. (2017). Influence of Alkyl Trimethyl Ammonium Bromides on Hydrothermal Formation of α-CaSO4·0.5H2O Whiskers with High Aspect Ratios. Crystals, 7(1), 28. https://doi.org/10.3390/cryst7010028
