Flexible Cs3Cu2I5 Nanocrystal Thin-Film Scintillators for Efficient α-Particle Detection
Abstract
1. Introduction
2. Materials and Methods
2.1. Materials
2.2. Synthesis Methods of Cs3Cu2I5@PMMA Scintillation Film
2.3. Methods for Evaluation
2.4. Calculation
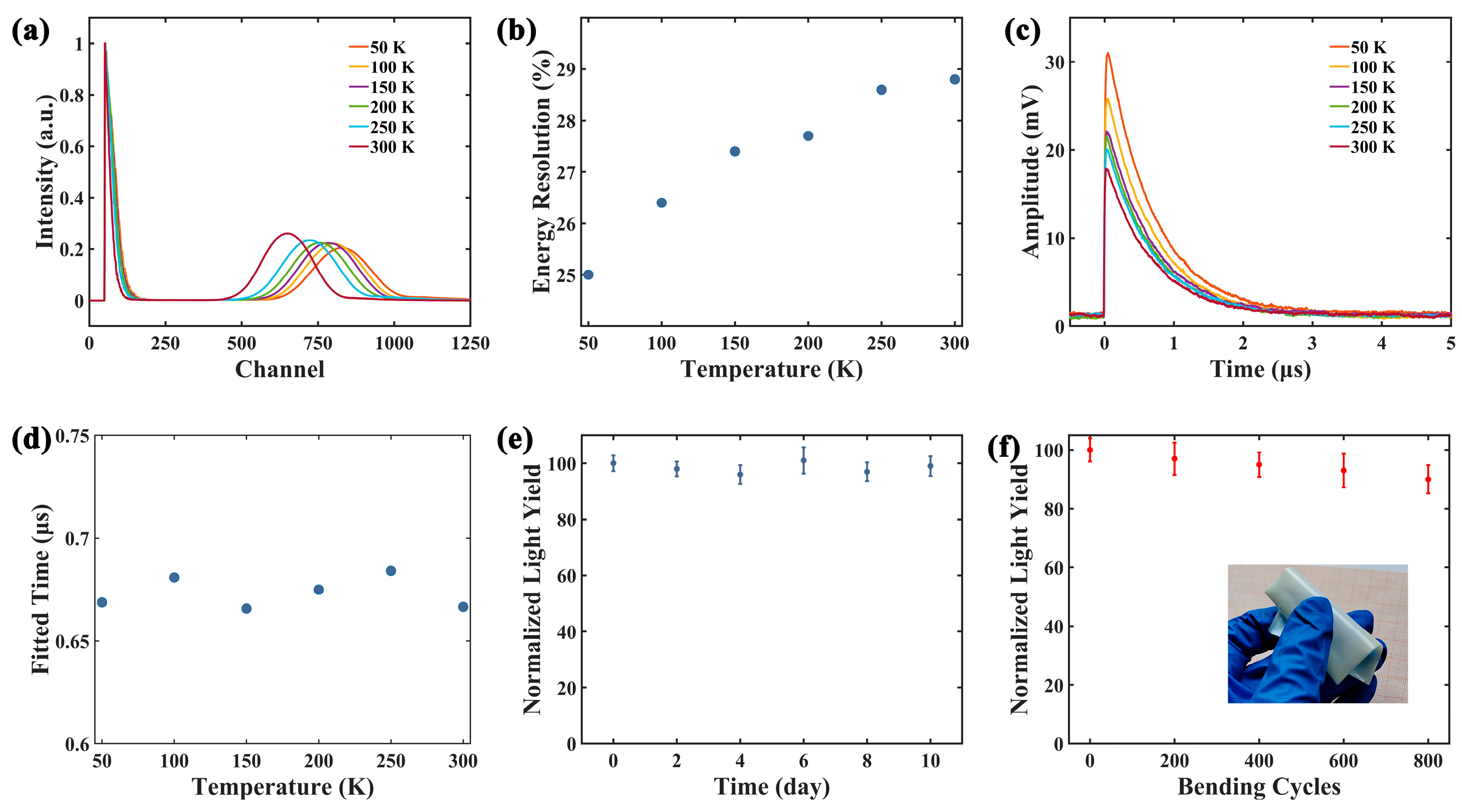
3. Results and Discussion
4. Conclusions
Author Contributions
Funding
Data Availability Statement
Acknowledgments
Conflicts of Interest
References
- Li, W.; Li, M.; He, Y.; Song, J.; Guo, K.; Pan, W.; Wei, H. Arising 2D Perovskites for Ionizing Radiation Detection. Adv. Mater. 2024, 36, 2309588. [Google Scholar] [CrossRef] [PubMed]
- Liu, B.; Sun, Y.; Chen, L.; Liao, B.; Ruan, J.; Zhou, L.; Li, Y.; Ouyang, X. Cryogenic Scintillation Properties of Lead-Free Cs3Cu2I5 Single Crystals. Inorg. Chem. 2022, 61, 16141–16147. [Google Scholar] [CrossRef]
- Xiang, W.; Shen, D.; Zhou, X.; Li, X.; Liu, Y.; Zhang, Y. Transparent and Planar Cs3Cu2Cl5 Crystals for Micrometer-Resolution X-ray Imaging Screen. ACS Appl. Mater. Interfaces 2024, 16, 4918–4924. [Google Scholar] [CrossRef]
- Kolcu, O.; Iren, E.; Yetkin, T.; Özok, F.; Erduran, M. Measurement of LYSO crystal light output and energy resolution improvement with acid etching. Appl. Radiat. Isot. 2023, 199, 110902. [Google Scholar] [CrossRef]
- Mianowska, Z.; Mianowski, S.; Syntfeld-Każuch, A.; Gektin, A.; Alberts, R. Improvement of the energy resolution and non-proportional light response of CsI:Tl to gamma radiation using dynamic integration times. J. Instrum. 2024, 19, 1748-0221. [Google Scholar] [CrossRef]
- Akkurt, İ.; Waheed, F.; Akyildirim, H.; Gunoglu, K. Performance of NaI(Tl) detector for gamma-ray spectroscopy. Indian J. Phys. 2022, 96, 2941–2947. [Google Scholar] [CrossRef]
- Ruan, J.; Ouyang, X.; Liu, B.; Chen, L.; Xu, M.; Zhu, Z.; Zhang, Z.; He, S. Enhanced performance of a pulsed neutron detector by the plastic scintillator with a photonic crystal. Rev. Sci. Instrum. 2018, 89, 123306. [Google Scholar] [CrossRef] [PubMed]
- Rusev, G.; Roman, A.; Daum, J.; Springs, R.; Bond, E.; Jandel, M.; Baramsai, B.; Bredeweg, T.; Couture, A.; Favalli, A.; et al. Fission-fragment detector for DANCE based on thin scintillating films. Nucl. Instrum. Meth. A 2015, 804, 207–211. [Google Scholar] [CrossRef]
- Pollmann, T.; Boulay, M.; Kuźniak, M. Scintillation of thin tetraphenyl butadiene films under alpha particle excitation. Nucl. Instrum. Meth. A 2011, 635, 127–130. [Google Scholar] [CrossRef]
- Toledo-Garrido, J.; Galdon-Quiroga, J.; Viezzer, E.; Birkenmeier, G.; Olevskaia, V.; Balden, M.; Garcia-Lopez, J.; Jimenez-Ramos, M.; Rodriguez-Ramos, M.; Anda, G.; et al. Characterization of scintillator screens under irradiation of low energy 133Cs ions. J. Instrum. 2022, 17, P02026. [Google Scholar] [CrossRef]
- Koshimizu, M.; Yanagida, T.; Kamishima, R.; Fujimoto, Y.; Asai, K. Scintillation properties and α-ray detection capabilities of thin-film plastic scintillators. Sens. Mater. 2019, 31, 1233–1239. [Google Scholar] [CrossRef]
- Campajola, M.; Capua, F.; Casolaro, P.; Sarnelli, E.; Aloisio, A. Radiation Damage in Polyethylene Naphthalate Thin-Film Scintillators. Materials 2022, 15, 6530. [Google Scholar] [CrossRef] [PubMed]
- Cazzanig, C.; Nocent, M.; Tardocch, M.; Fazz, A.; Hjalmarsson, A.; Rigamonti, D.; Ericsson, G.; Gorini, G. Thin YAP:Ce and LaBr3:Ce scintillators as proton detectors of a thin-film proton recoil neutron spectrometer for fusion and spallation sources applications. Nucl. Instrum. Meth. A 2014, 751, 19–22. [Google Scholar] [CrossRef]
- Chen, L.; Ruan, J.; Xu, M.; He, S.; Hu, J.; Zhang, Z.; Liu, J.; Ouyang, X. Comparative study on fluorescence decay time of doped ZnO crystals under α and β excitation. Nucl. Instrum. Meth. A 2019, 933, 71–74. [Google Scholar] [CrossRef]
- Xia, K.; Ran, P.; Wang, W.; Yu, J.; Xu, G.; Wang, K.; Pi, X.; He, Q.; Yang, Y.; Pan, J. In Situ Preparation of High-Quality Flexible Manganese-Halide Scintillator Films for X-Ray Imaging. Adv. Opt. Mater. 2022, 10, 2201028. [Google Scholar] [CrossRef]
- Wang, Z.; Chen, J.; Xu, X.; Bai, T.; Kong, Q.; Yin, H.; Yang, Y.; Yu, W.; Zhang, R.; Liu, X.; et al. B(I)-Site Alkali Metal Engineering of Lead-Free Perovskite Nanocrystals for Efficient X-Ray Detection and Imaging. Adv. Opt. Mater. 2024, 12, 2302617. [Google Scholar] [CrossRef]
- Li, Y.; Tang, H.; Yu, B.; Wang, Z.; He, G.; Lin, Q. Sb-enhanced Cs3Cu2I5 scintillators for ionizing radiation detection. J. Mater. Chem. C 2024, 12, 6841–6848. [Google Scholar] [CrossRef]
- Haposan, T.; Arramel, A.; Maulida, P.; Hartati, S.; Afkauni, A.; Mahyuddin, M.; Zhang, L.; Kowal, D.; Witkowski, M.; Drozdowski, K.; et al. All-inorganic copper-halide perovskites for large-Stokes shift and ten-nanosecond-emission scintillators. J. Mater. Chem. C 2024, 12, 2398–2409. [Google Scholar] [CrossRef]
- Bin, X.; Liu, J.; Zeng, R.; Liu, H.; Zhao, J.; Lin, T. Fast solution-phase growth of centimeter-sized Cs3Cu2X5 (X = Cl, I) single crystals for high-performance scintillators. J. Mater. Chem. C 2024, 12, 922–929. [Google Scholar] [CrossRef]
- Hu, X.; Yan, P.; Ran, P.; Lu, L.; Lu, J.; Leng, J.; Yang, Y.; Li, X. In Situ Fabrication of Cs3Cu2I5: Tl Nanocrystal Films for High-Resolution and Ultrastable X-ray Imaging. J. Phys. Chem. Lett. 2022, 13, 2862–2870. [Google Scholar] [CrossRef]
- Li, N.; Xu, Z.; Xiao, Y.; Liu, Y.; Yang, Z.; Liu, S. Flexible, High Scintillation Yield Cs3Cu2I5 Film Made of Ball-Milled Powder for High Spatial Resolution X-Ray Imaging. Adv. Opt. Mater. 2022, 10, 2102232. [Google Scholar] [CrossRef]
- Zhou, Y.; Wang, X.; He, T.; Yang, H.; Yang, C.; Shao, B.; Gutiérrez-Arzaluz, L.; Bakr, O.; Zhang, Y.; Mohammed, O. Large-Area Perovskite-Related Copper Halide Film for High-Resolution Flexible X-ray Imaging Scintillation Screens. ACS Energy Lett. 2022, 7, 844–846. [Google Scholar] [CrossRef]
- Lian, L.; Zheng, M.; Zhang, W.; Yin, L.; Du, X.; Zhang, P.; Zhang, X.; Gao, J.; Zhang, D.; Gao, L.; et al. Efficient and Reabsorption-Free Radioluminescence in Cs3Cu2I5 Nanocrystals with Self-Trapped Excitons. Adv. Sci. 2020, 7, 2000195. [Google Scholar] [CrossRef] [PubMed]
- Hunyadi, M.; Samu, G.F.; Csige, L.; Csík, A.; Buga, C.; Janáky, C. Scintillator of polycrystalline perovskites for high-sensitivity detection of charged-particle radiations. Adv. Funct. Mater. 2022, 32, 2206645. [Google Scholar] [CrossRef]
- Chen, H.; Wang, Q.; Peng, G.; Wang, S.; Lei, Y.; Wang, H.; Yang, Z.; Sun, J.; Li, N.; Zhao, L.; et al. Cesium Lead Halide Nanocrystals based Flexible X-Ray Imaging Screen and Visible Dose Rate Indication on Paper Substrate. Adv. Opt. Mater. 2022, 10, 2102790. [Google Scholar] [CrossRef]
- Ma, W.; Jiang, T.; Yang, Z.; Zhang, H.; Su, Y.; Chen, Z.; Chen, X.; Ma, Y.; Zhu, W.; Yu, X.; et al. Highly Resolved and Robust Dynamic X-Ray Imaging Using Perovskite Glass-Ceramic Scintillator with Reduced Light Scattering. Adv. Sci. 2021, 8, 2003728. [Google Scholar] [CrossRef]
- Zhang, Z.; Wei, J.; Luo, J.; Wang, X.; He, Z.; Kuang, D. Large-Area Laminar TEA2MnI4 Single-Crystal Scintillator for X-ray Imaging with Impressive High Resolution. ACS Appl. Mater. Interfaces 2022, 14, 47913–47921. [Google Scholar] [CrossRef]
- Wang, B.; Peng, J.; Yang, X.; Cai, W.; Xiao, H.; Zhao, S.; Lin, Q.; Zang, Z. Template Assembled Large-Size CsPbBr3 Nanocomposite Films toward Flexible, Stable, and High-Performance X-Ray Scintillators. Laser Photonics Rev. 2022, 16, 2100736. [Google Scholar] [CrossRef]
- Zhou, Q.; Bai, Z.; Lu, W.; Wang, Y.; Zou, B.; Zhong, H. In Situ Fabrication of Halide Perovskite Nanocrystal-Embedded Polymer Composite Films with Enhanced Photoluminescence for Display Backlights. Adv. Mater. 2016, 28, 9163–9168. [Google Scholar] [CrossRef]
- Li, Y.; Liu, B.; Chen, L.; He, S.; Liu, J.; Wang, X.; Zhao, N.; Zhou, L.; Shu, W.; Ouyang, X. In situ preparation of ultrastable and flexible BA2PbBr4 nanocrystal films for X-ray imaging. J. Mater. Chem. C 2023, 11, 12759–12763. [Google Scholar] [CrossRef]
- Liu, C.; Zhang, Y.; Wang, L.; Chang, J.; Li, Q.; Zhang, X.; Bae, B.; Fayemi, O.; Xu, X.; Pan, J.; et al. Polymer-assisted crystal growth regulation and defect passivation for high-performance flexible solar-blind photodetectors based on copper-based halides. J. Mater. Chem. C 2024, 12, 1965–1971. [Google Scholar] [CrossRef]
- Lee, D.; Lee, S.; Kim, J.; Park, J.; Kang, Y.; Song, M.; Lee, H.; Kim, H.; Choi, J. Multimodal Gas Sensor Detecting Hydroxyl Groups with Phase Transition Based on Eco-Friendly Lead-Free Metal Halides. Adv. Funct. Mater. 2022, 32, 1. [Google Scholar] [CrossRef]
- Yao, Q.; Li, J.; Li, X.; Zheng, X.; Wang, Z.; Tao, X. High-Quality Cs3Cu2I5 Single-Crystal is a Fast-Decaying Scintillator. Adv. Opt. Mater. 2022, 10, 2201161. [Google Scholar] [CrossRef]
- Xu, Q.; Wang, J.; Zhang, Q.; Ouyang, X.; Ye, M.; Xie, W.; Yan, X.; Li, D.; Ouyang, X.; Tang, X.; et al. Solution-processed lead-free bulk 0D Cs3Cu2I5 single crystal for indirect gamma-ray spectroscopy application. Photonics Res. 2021, 9, 351–356. [Google Scholar] [CrossRef]
- Moon, I.; Yoo, S.; Choi, J.; Kim, H.; Kang, Y. Flexible Wood-Based X-Ray Scintillator Film Using Lead-Free Cs3Cu2I5 Perovskite Nanoparticles. Small Struct. 2024, 5, 2400043. [Google Scholar] [CrossRef]
- Wang, Z.; Wei, Y.; Liu, C.; Liu, Y.; Hong, M. Mn2+-Activated Cs3Cu2I5 Nano-Scintillators for Ultra-High Resolution Flexible X-Ray Imaging. Laser Photonics Rev. 2023, 17, 2200851. [Google Scholar] [CrossRef]
- Ihara, T. Biexciton cascade emission reveals absolute absorption cross section of single semiconductor nanocrystals. Phys. Rev. B 2016, 93, 235442. [Google Scholar] [CrossRef]
- Ilia, K.; Vitaly, M.; Andrei, F.; Georgy, D.; Victor, S.; Daria, K.; Marina, Z.; Yury, V.; Mikhail, K. Effect of the Synthesis Conditions on the Morphology, Luminescence and Scintillation Properties of a New Light Scintillation Material Li2CaSiO4:Eu2+ for Neutron and Charged Particle Detection. Inorganics 2022, 10, 127. [Google Scholar]
- Poda, D. Scintillation in low-temperature particle detectors. Physics 2021, 3, 473–535. [Google Scholar] [CrossRef]




| Sample | Emission | Light Yield | Decay Time | Stability | Reference |
|---|---|---|---|---|---|
| 1,1,4,4-tetraphenyl-1,3-butadiene | 410–430 nm | 882 ± 210 photons/MeV | 11 ± 5 ns/275 ± 10 ns | yes | [9] |
| Plastic scintillators | 400–450 nm | 830 photons/MeV | 2 ns/10 ns | yes | [11] |
| Li2CaSiO4 | 480 nm | 21,600 photons/MeV | 157 ns | yes | [38] |
| Cs3Cu2I5@PMMA film | 442 nm | 2400 photons/MeV | 667 ns | yes | This paper |
Disclaimer/Publisher’s Note: The statements, opinions and data contained in all publications are solely those of the individual author(s) and contributor(s) and not of MDPI and/or the editor(s). MDPI and/or the editor(s) disclaim responsibility for any injury to people or property resulting from any ideas, methods, instructions or products referred to in the content. |
© 2025 by the authors. Licensee MDPI, Basel, Switzerland. This article is an open access article distributed under the terms and conditions of the Creative Commons Attribution (CC BY) license (https://creativecommons.org/licenses/by/4.0/).
Share and Cite
Li, Y.; Du, X.; Zhang, S.; Liu, B.; Zhao, N.; Zhang, Y.; Ouyang, X. Flexible Cs3Cu2I5 Nanocrystal Thin-Film Scintillators for Efficient α-Particle Detection. Crystals 2025, 15, 716. https://doi.org/10.3390/cryst15080716
Li Y, Du X, Zhang S, Liu B, Zhao N, Zhang Y, Ouyang X. Flexible Cs3Cu2I5 Nanocrystal Thin-Film Scintillators for Efficient α-Particle Detection. Crystals. 2025; 15(8):716. https://doi.org/10.3390/cryst15080716
Chicago/Turabian StyleLi, Yang, Xue Du, Silong Zhang, Bo Liu, Naizhe Zhao, Yapeng Zhang, and Xiaoping Ouyang. 2025. "Flexible Cs3Cu2I5 Nanocrystal Thin-Film Scintillators for Efficient α-Particle Detection" Crystals 15, no. 8: 716. https://doi.org/10.3390/cryst15080716
APA StyleLi, Y., Du, X., Zhang, S., Liu, B., Zhao, N., Zhang, Y., & Ouyang, X. (2025). Flexible Cs3Cu2I5 Nanocrystal Thin-Film Scintillators for Efficient α-Particle Detection. Crystals, 15(8), 716. https://doi.org/10.3390/cryst15080716
