Formation of Ice Ih Clusters in Solid-Phase Glacial Water with Low Concentrations of Ca2⁺ and Mg2⁺ Ions
Abstract
1. Introduction
2. Materials and Methods
2.1. Fourier Transform Infrared (FT-IR) Spectroscopy
2.2. Electrochemical Impedance Spectroscopy (EIS)
2.3. Physico-Chemical Composition
2.4. Chemical Analysis
Sample Preparation
2.5. Isotopic Composition
3. Results and Discussion
3.1. Three-Dimensional Geometry of Hexagonal Geometry in the Solid Phase of Water and Octahedral Geometry of Water Molecules Around Ions in the Liquid Phase
3.2. Fourier Transform Infrared (FT-IR) Spectroscopy
- The O-H stretching region for distilled liquid water is 3203–3502 cm⁻1, and the O-H stretching region for ice is 3105–3407 cm⁻1 [41].
- H-O-H bending (1656 cm⁻1): Both distilled water and ice peak at 1656 cm⁻1, corresponding to the “scissor band” created by the bending vibrations of water molecules [41].
3.3. Firn: A Key Intermediate in Glacier Formation
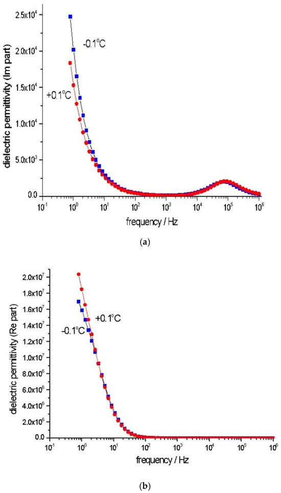
3.4. Electrical Impedance Spectroscopy Analysis of Distilled Water at Freezing Temperatures
Analysis of the Curves
3.5. Physico-Chemical Composition
3.6. Water Molecules in Ice Ih from Glacial Ice, Clustered in the Presence of Ca2⁺ and Mg2⁺ Ions
3.7. Structure of Water Clusters with Ca2+ and Mg2+ Ions in Glacial Ice
3.8. Isotopic Composition of Deuterium in Glacial Water
4. Conclusions
Author Contributions
Funding
Data Availability Statement
Conflicts of Interest
References
- Leppäranta, M. Structure and properties of lake Ice. In Freezing of Lakes and the Evolution of Their Ice Cover; Springer Praxis Books; Springer: Cham, Switzerland, 2023. [Google Scholar]
- Doi, H.; Takahashi, K.Z.; Aoyagy, T. Mining of effective local order parameters of classify ice polymorphs. Phys. Chem. A 2021, 125, 9518–9526. [Google Scholar] [CrossRef] [PubMed]
- Gao, S.; Zhao, G.; Wang, D. Inherent structures of water using fully ab initio simulations. Phys. Chem. Chem. Phys. 2023, 25, 19175–19181. [Google Scholar]
- Zheligovskaya, E.A.; Lyakhov, G.A. Structural mechanisms of transitions between ices with different densities—Features of water phase diagrams. Phys. Wave Phenom. 2024, 32, 209–219. [Google Scholar] [CrossRef]
- Kuhs, W.F.; Finney, J.L.; Vettier, C.; Bliss, D.V. Structure and hydrogen ordering in ices VI, VII, and VIII by neutron powder diffraction. J. Chem. Phys. 1984, 81, 3612–3623. [Google Scholar] [CrossRef]
- Bohleber, P.; Larkman, P.; Stoll, N.; Clases, D. Quantitative insights on impurities in ice cores at the micro-scale from calibrated LA-ICP-MS Imaging. Geochem. Geophys. Geosyst. 2024, 25, e2023GC011425. [Google Scholar] [CrossRef]
- Ro, S.; Park, J.; Yoo, H.; Han, C.; Lee, A.; Lee, Y.; Kim, M.; Han, Y.; Svensson, A.; Shin, J.; et al. Millennial-scale variability of Greenland dust provenance during the last glacial maximum as determined by single particle analysis. Sci. Rep. 2024, 14, 2040. [Google Scholar] [CrossRef]
- Hindshaw, R.S.; Reynolds, B.C.; Wiederhold, J.G.; Ruben Kretzschmar, R.; Bourdon, B. Calcium isotopes in a proglacial weathering environment: Damma glacier, Switzerland. Geochim. Cosmochim. Acta 2011, 75, 106–118. [Google Scholar] [CrossRef]
- Vasil’chuk, K. Physical Properties of glacial and ground ice. Types and Properties of Water. In Encyclopedia of Life Support Systems (EOLSS); Khublaryan, M.G., Ed.; Developed Under the Auspices of the UNESCO; Eolss Publishers: Paris, France, 2015; Volume 2, pp. 107–152. [Google Scholar]
- Wagner, T.; Seelig, S.; Helfricht, K.; Fischer, A.; Avian, M.; Krainer, K.; Winkler, G. Assessment of liquid and solid water storage in rock glaciers versus glacier ice in the Austrian Alps. Sci. Total Environ. 2021, 800, 149593. [Google Scholar] [CrossRef]
- Del Siro, C.; Scapozza, C.; Perga, M.E.; Lambiel, C. Investigating the origin of solutes in rock glacier springs in the Swiss Alps: A conceptual model. Front. Earth. Sci. 2023, 11, 1056305. [Google Scholar] [CrossRef]
- Fox, E.; Schwartz-Marin, E.; Rangecroft, S. Water resource’ framing for the value and governance of glacier water availability in the semi-arid Chilean Andes. Front. Water 2024, 6, 1367889. [Google Scholar] [CrossRef]
- Zhang, Q.; Chen, Y.; Li, Z.; Xiang, Y.; Li, Y.; Sun, C. Recent changes in glaciers in the Northern Tien Shan, Central Asia. Remote Sens. 2022, 14, 2878. [Google Scholar] [CrossRef]
- Mu, Y.; Wei, Y.; Wu, J.; Ding, Y.; Shangguan, D.; Zeng, D. Variations of Mass Balance of the Greenland Ice Sheet from 2002 to 2019. Remote Sens. 2020, 12, 2609. [Google Scholar] [CrossRef]
- Attaullah, H.; Khan, A.; Khan, M.; Atta, H.; Iqbal, M.S. Implications of accuracy of global glacier inventories in hydrological modeling: A case study of the Western Himalayan Mountain Range. Water 2023, 15, 3887. [Google Scholar] [CrossRef]
- Tielidze, L.G.; Jomelli, V.; Nosenko, G.A. Analysis of regional changes in geodetic mass balance for all Caucasus glaciers over the past two decades. Atmosphere 2022, 13, 256. [Google Scholar] [CrossRef]
- Rivera, A.; Calderhead, A.I. Glacial Melt in the Canadian Rockies and Potential Effects on Groundwater in the Plains Region. Water 2022, 14, 733. [Google Scholar] [CrossRef]
- Lilbæk, G.; Pomeroy, J.W. Ion enrichment of snowmelt runoff water caused by basal ice formation. Hydrol. Process. 2008, 22, 2758–2766. [Google Scholar] [CrossRef]
- Grieman, M.M.; Hoffman, H.M.; Humby, J.D.; Mulvaney, R.; Nehrbass-Ahles, C.; Rix, J.; Thomas, E.R.; Tuckwell, R.; Wolff, E.W. Continuous flow analysis methods for sodium, magnesium and calcium detection in the Skytrain ice core. J. Glaciol. 2022, 68, 90–100. [Google Scholar] [CrossRef]
- Persson, I. Structures of hydrated metal ions in solid state and aqueous solution. Liquids 2022, 2, 210–242. [Google Scholar] [CrossRef]
- Iliev, M.T.; Huether, F.; Ignatov, I.; Gramatikov, P.S. Education of students on Physics and Chemistry with effects of water filtration. Modeling of water clusters and hexagonal structures. Eur. J. Contemp. Educ. 2023, 12, 1546–1560. [Google Scholar]
- Chen, P.; Xu, Q.; Ping, Z.; Chen, Q.; Xu, J.; Cheng, Z.; Qiu, X.; Meng, S.; Yao, N. Identification of a common ice nucleus on hydrophilic and hydrophobic close-packed metal surfaces. Nat. Commun. 2023, 14, 5813. [Google Scholar] [CrossRef]
- Heine, N.; Fagiani, M.R.; Rossi, M.; Wende, T.; Berden, G.; Blum, V.; Asmis, K.R. Isomer-selective detection of hydrogen-bond vibrations in the protonated water hexamer. J. Am. Chem. Soc. 2013, 135, 8266–8273. [Google Scholar] [CrossRef] [PubMed]
- Esmaeildoost, N.; Jönsson, O.; McQueen, T.A.; Ladd-Parada, M.; Laksmono, H.; Loh, N.-T.D.; Sellberg, J.A. Heterogeneous Ice Growth in Micron-Sized Water Droplets Due to Spontaneous Freezing. Crystals 2022, 12, 65. [Google Scholar] [CrossRef]
- Park, J.S.; Noh, N.; Park, J.; Shim, Y.; Park, S.; Qureshi, Y.; Kang, S.; Huh, Y.; Lee, C.-W.; Yuk, J.M. Phase transition of cubic ice to hexagonal ice during growth and decomposition. Nano Lett. 2024, 24, 11504–11511. [Google Scholar] [CrossRef]
- Rowland, B.; Kadagathur, N.S.; Devlin, J.P.; Buch, V.; Feldman, T.; Wojcik, M.J. Infrared spectra of ice surfaces and assignment of surface-localized modes from simulated spectra of cubic ice. J. Chem. Phys. 1995, 102, 8328–8341. [Google Scholar] [CrossRef]
- Bertie, J.E.; Whalley, E. Infrared spectra of ices Ih and Ic in the range 4000 to 350 cm−1. J. Chem. Phys. 1964, 40, 1637–1645. [Google Scholar] [CrossRef]
- Wang, S.; Zhang, J.; Gharbi, O.; Vivier, V.; Gao, M.; Orazem, M.E. Electrochemical impedance spectroscopy. Nat. Rev. Methods Primers. 2021, 1, 41. [Google Scholar] [CrossRef]
- Marinov, Y.G.; Hadjichristov, G.B.; Vlakhov, T.E.; Koduru, H.K.; Scaramuzza, N. Electrochemical impedance and dielectric spectroscopy study of TiO2-nanofilled PEO/PVP/NaIO4 ionic polymer electrolytes. Bulg. Chem. Commun. 2020, 52, 57–61. [Google Scholar]
- Vlakhov, T.; Marinov, Y.G.; Hadjichristov, G.; Scaramuzza, N. Electrical conductivity properties of solid polymer electrolytes PEO-PVP-NaIO4 filled with TiO2 nanoparticles. C. R. Acad. Bulg. Sci. 2022, 75, 804–811. [Google Scholar] [CrossRef]
- Koduru, H.K.; Scarpelli, F.; Marinov, Y.G.; Hadjichristov, G.G.; Rafailov, P.M.; Miloushev, I.K.; Petrov, A.G.; Godbert, N.; Bruno, L.; Scaramuzza, N. Characterization of PEO/PVP/GO nanocomposite solid polymer electrolyte membranes: Microstructural, thermo-mechanical, and conductivity properties. Ionics 2018, 24, 3459. [Google Scholar] [CrossRef]
- Directive (EU) 2020/2184 of the European Parliament and of the Council of 16 December 2020 on the Quality of Water Intended for Human Consumption; European Union: Brussels, Belgium, 2020.
- Ignatov, I.; Valcheva, N. Physicochemical, Isotopic, spectral, and microbiological analyses of water from glacier Mappa, Chilean Andes. J. Chil. Chem. Soc. 2023, 68, 5802–5906. [Google Scholar] [CrossRef]
- Mosin, O.V.; Shvets, V.I.; Skladnev, D.A.; Ignatov, I. Microbiological synthesis of [2H]-inosine with high degree of isotopic enrichment by gram-positive chemoheterotrophic bacterium Bacillus Subtilis. Appl. Biochem. Microbiol. 2013, 49, 255–266. [Google Scholar] [CrossRef]
- Ignatov, I.; Mosin, O.V. Deuterium, Heavy Water and Origin of Life; LAP LAMBERT Academic Publishing: Saarbrücken, Germany, 2016; pp. 1–492. [Google Scholar]
- Gonzalez, J.D.; Florez, E.; Romero, J.; Reyes, A.; Restrepo, A. Microsolvation of Mg2+, Ca2+: Strong influence of formal charges in hydrogen bond networks. J. Mol. Model. 2013, 19, 1763–1777. [Google Scholar] [CrossRef] [PubMed]
- Handle, P.H.; Loerting, T.; Sciortino, F. Supercooled and glassy water: Metastable liquid(s), amorphous solid(s), and a no-man’s land. Proc. Natl. Acad. Sci. USA. 2017, 114, 1336–1344. [Google Scholar] [CrossRef]
- Seetapan, N.; Limparyoon, N.; Fuongfuchat, A.; Gamonpilas, C.; Methacanon, P. Effect of freezing rate and starch granular morphology on ice formation and non-freezable water content of flour and Starch Gels. Int. J. Food Prop. 2016, 19, 1616–1630. [Google Scholar] [CrossRef]
- Schwenk, S.F.; Rode, B.M. Ab initio QM/MM MD simulations of the hydrated Ca2+ ion. Pure Appl. Chem. 2004, 76, 31–47. [Google Scholar] [CrossRef][Green Version]
- Zeng, Y.; Jia, Y.; Yan, T.; Zhang, W. Binary structure and dynamics of the hydrogen bonds in the hydration shells of ions. Phys. Chem. Chem. Phys. 2021, 23, 11400–11410. [Google Scholar] [CrossRef]
- Voropaev, S.A.; Fedulov, V.S.; Dushenko, N.V.; Jianguo, Y.; Marov, M.Y. Features of IR Spectra of olivines containing isotopologues of water. Cosm. Res. 2024, 62, 482–494. [Google Scholar] [CrossRef]
- Fukazawa, H.; Mae, S. The vibration spectra of ice Ih and polar ice. Phys. Ice Core Rec. 2000, 25, 25–42. [Google Scholar]
- Ewing, G.E.; Foster, M.; Cantrell, W.; Sadtchenko, V. Thin film water on insulator surfaces. In Water in Confining Geometries; Buch, V., Devlin, J.P., Eds.; Springer Series in Cluster Physics; Springer: Berlin/Heidelberg, Germany, 2003; pp. 179–211. [Google Scholar]
- Korepanov, V.; Yu, C.C.; Hamaguchi, H.O. Hyper-Raman investigation of intermolecular vibrations of water and ice. J. Raman Spectrosc. 2018, 49, 1742–1746. [Google Scholar] [CrossRef]
- Heilig, A.; Wendleder, A.; Schmitt, A.; Mayer, C. Discriminating wet snow and firn for alpine glaciers using sentinel-1 Data: A case study at rofental, Austria. Geosciences 2019, 9, 69. [Google Scholar] [CrossRef]
- Florath, J.; Keller, S.; Abarca-del-Rio, R.; Hinz, S.; Staub, G.; Weinmann, M. Glacier monitoring based on multi-spectral and multi-temporal satellite data: A case study for classification with respect to different snow and ice types. Remote Sens. 2022, 14, 845. [Google Scholar] [CrossRef]
- Shang, X.; Cheng, X.; Zheng, L.; Liang, Q.; Chi, Z. Decadal changes in Greenland ice sheet firn aquifers from Radar scatterometer. Remote Sens. 2022, 14, 2134. [Google Scholar] [CrossRef]
- Yang, P.; Zhu, Y.; Hao, Y. Real-time detection of the transport of water cluster across cytomembrane with piezoelectric sensor. Chin. J. Anal. Chem. 2023, 51, 100307. [Google Scholar] [CrossRef]
- Segarra-Martí, J.; Roca-Sanjuán, D.; Merchán, M. Can the Hexagonal Ice-like Model Render the Spectroscopic Fingerprints of Structured Water? Feedback from Quantum-Chemical Computations. Entropy 2014, 16, 4101–4120. [Google Scholar] [CrossRef]
- Deshmukh, K.; Sankaran, S.; Ahamed, B.; Sadasivuni, K.K.; Pasha, K.S.K.; Ponnamma, D.; Sreekanth, P.S.R.; Chidambaram, K. Dielectric Spectroscopy. In Spectroscopic Methods for Nanomaterials Characterization; Thomas, S., Thomas, R., Zachariah, A.K., Mishra, R.K., Eds.; A Volume in Micro and Nano Technologies; Elsevier: Amsterdam, The Netherlands, 2017; Volume 2. [Google Scholar]
- Bergstrom, A.; Welch, K.A.; Gooseff, M.N. Spatial patterns of major ions and their relationship to sediment concentration in near-surface glacier ice, Taylor Valley Antarctica. JGR Earth Surface 2023, 128, e2022JF006980. [Google Scholar] [CrossRef]
- Killawee, J.A.; Fairchild, I.J.; Tison, J.L.; Janssens, L.; Lorrain, R. Segregation of solutes and gases in experimental freezing of dilute solutions: Implications for natural glacial systems. Geochim. Cosmochim. Acta 1998, 62, 3637–3655. [Google Scholar] [CrossRef]
- Stoll, N.; Westhoff, J.; Bohleber, P.; Svensson, A.; Dahl-Jensen, D.; Barbante, C.; Weikusat, I. Chemical and visual characterization of EGRIP glacial ice and cloudy bands within. Cryosphere 2023, 17, 2021–2043. [Google Scholar] [CrossRef]
- Ng, F.S.L. Pervasive diffusion of climate signals recorded in ice-vein ionic impurities. Cryosphere 2021, 5, 1787–1810. [Google Scholar] [CrossRef]
- Bohleber, P.; Roman, R.; Šala, M.; Delmonte, B. Two-dimensional impurity imaging in deep Antarctic ice cores: Snapshots of three climatic periods and implications for high-resolution signal interpretation. Cryosphere 2021, 15, 3523–3538. [Google Scholar] [CrossRef]
- Ricci, B.C.; Skibinski, B.; Koch, K.; Mancel, C.; Celestino, C.Q.; Cunha, I.L.C.; Silva, M.R.; Alvim, C.B.; Faria, C.V.; Andrade, L.H.; et al. Critical performance assessment of a submerged hybrid forward osmosis-membrane distillation system. Desalination 2019, 468, 114082. [Google Scholar] [CrossRef]
- Ignatov, I.; Gluhchev, G.; Ignatov, A.I. Desalination of seawater. Osmotic process for “blue energy” and estimation for desalination. Ukr. J. Phys. 2024, 69, 905–912. [Google Scholar] [CrossRef]
- Lehmann, M.; Siegenthaler, U. Equilibrium oxygen- and hydrogen- isotope fractionation between ice and water. J. Glaciol. 1991, 37, 23–26. [Google Scholar] [CrossRef]
- Müller, T.; Fischer, M.; Lane, S.N.; Schaefli, B. Separating snow and ice melt using water stable isotopes and glacio-hydrological modelling: Towards improving the application of isotope analyses in highly glacierized catchments. Cryosphere 2025, 19, 423–458. [Google Scholar] [CrossRef]
- Rozanski, K.; Araguas-Araguas, L.; Gonfiantini, R. Isotopic patterns in modern global precipitation. In Climate Change in Continental Isotopic Records; Swart, P.K., Lohmann, K.C., McKenzie, J., Savin, S., Eds.; Geophysical Monograph; American Geophysical Union: Washington, DC, USA, 1993; Volume 78, pp. 1–36. [Google Scholar]
- Masson-Delmotte, V.; Stenni, B.; Pol, K.; Braconnot, P.; Cattani, O.; Falourd, S.; Kageyama, M.; Jouzel, J.; Landais, A.; Minster, B.; et al. EPICA Dome C record of glacial and interglacial intensities. Quat. Sci. Rev. 2010, 29, 113–128. [Google Scholar] [CrossRef]
- Galili, N.; Sade, Z.; Halevy, I. Equilibrium fractional of triple-oxygen and hydrogen isotopes between ice and water. Earth Planet. Sci. Lett. 2022, 595, 117753. [Google Scholar] [CrossRef]



| Glacial Sources | Ca2+ (mg L−1) | Mg2+ (mg L−1) | HCO3− (mg L−1) | pH | Electric Conductivity (µS cm−1) |
|---|---|---|---|---|---|
| Rosenlaui Swiss Alps | 8.7*/8.5 ± 0.4 | 0.6*/0.7 | 36.0 ± 1.9 | 7.30 ± 0.1 | 82.3 ± 2.5 |
| Hallstaetter Austrian Alps | 11.0*/11.2 ± 0.6 | 0.4*/0.4 ± 0.04 | 52.0 ± 5.0 | 7.46 ± 0.1 | 63.4 ± 3.2 |
| Mappa Chilean Andes | 5.9*/6.0 ± 0.6 | 1.0*/1.0 ± 0.1 | 73.0 ± 3.7 | 7.85 ± 0.1 | 132.7 ± 4.0 |
| Grey Chilean Andes | 1.3*/1.1 ± 0.1 | 0.12*/0.13 ± 0.01 | 28.7 ± 1.5 | 7.68 ± 0.1 | 41.9 ± 1.1 |
| Glacial Sources | Ca2+ (mg L−1) Liquid/Solid Phase | Ratio for Ca2+ Between Liquid and Solid Phases | Mg2+ (mg L−1) Liquid/Solid Phase | Ratio for Mg2+ Between Liquid and Solid Phases |
|---|---|---|---|---|
| Rosenlaui Swiss Alps | 8.7*/0.5 | 17.4 | 0.6*/0.03 | 20.0 |
| Hallstaetter Austrian Alps | 11.0*/0.6 | 18.3 | 0.4*/0.02 | 20.0 |
| Mappa Chilean Andes | 5.9*/0.5 | 11.8 | 1.0*/0.06 | 16.7 |
| Grey Chilean Andes | 1.3*/0.14 | 9.3 | 0.12*/0.01 | 12.0 |
| Glacial Sources | Deuterium Isotopic Content (ppm) |
|---|---|
| Rosenlaui Swiss Alps | 101.8 |
| Hallstätter Austrian Alps | 103.7 |
| Mappa Chilean Andes [33] | 91.3 |
| Grey Chilean Andes | 97.4 |
Disclaimer/Publisher’s Note: The statements, opinions and data contained in all publications are solely those of the individual author(s) and contributor(s) and not of MDPI and/or the editor(s). MDPI and/or the editor(s) disclaim responsibility for any injury to people or property resulting from any ideas, methods, instructions or products referred to in the content. |
© 2025 by the authors. Licensee MDPI, Basel, Switzerland. This article is an open access article distributed under the terms and conditions of the Creative Commons Attribution (CC BY) license (https://creativecommons.org/licenses/by/4.0/).
Share and Cite
Ignatov, I.; Marinov, Y.G.; Vassileva, P.; Popova, T.P.; Gluhchev, G.; Iliev, M.T.; Huether, F.; Dimitrov, Z.; Gotova, I. Formation of Ice Ih Clusters in Solid-Phase Glacial Water with Low Concentrations of Ca2⁺ and Mg2⁺ Ions. Crystals 2025, 15, 254. https://doi.org/10.3390/cryst15030254
Ignatov I, Marinov YG, Vassileva P, Popova TP, Gluhchev G, Iliev MT, Huether F, Dimitrov Z, Gotova I. Formation of Ice Ih Clusters in Solid-Phase Glacial Water with Low Concentrations of Ca2⁺ and Mg2⁺ Ions. Crystals. 2025; 15(3):254. https://doi.org/10.3390/cryst15030254
Chicago/Turabian StyleIgnatov, Ignat, Yordan G. Marinov, Paunka Vassileva, Teodora P. Popova, Georgi Gluhchev, Mario T. Iliev, Fabio Huether, Zhechko Dimitrov, and Irina Gotova. 2025. "Formation of Ice Ih Clusters in Solid-Phase Glacial Water with Low Concentrations of Ca2⁺ and Mg2⁺ Ions" Crystals 15, no. 3: 254. https://doi.org/10.3390/cryst15030254
APA StyleIgnatov, I., Marinov, Y. G., Vassileva, P., Popova, T. P., Gluhchev, G., Iliev, M. T., Huether, F., Dimitrov, Z., & Gotova, I. (2025). Formation of Ice Ih Clusters in Solid-Phase Glacial Water with Low Concentrations of Ca2⁺ and Mg2⁺ Ions. Crystals, 15(3), 254. https://doi.org/10.3390/cryst15030254

