Cyanobiphenyl- and Cyanoterphenyl-Based Liquid Crystal Dimers (CBnCT): The Enantiotropic Twist-Bend Nematic Phase
Abstract
1. Introduction
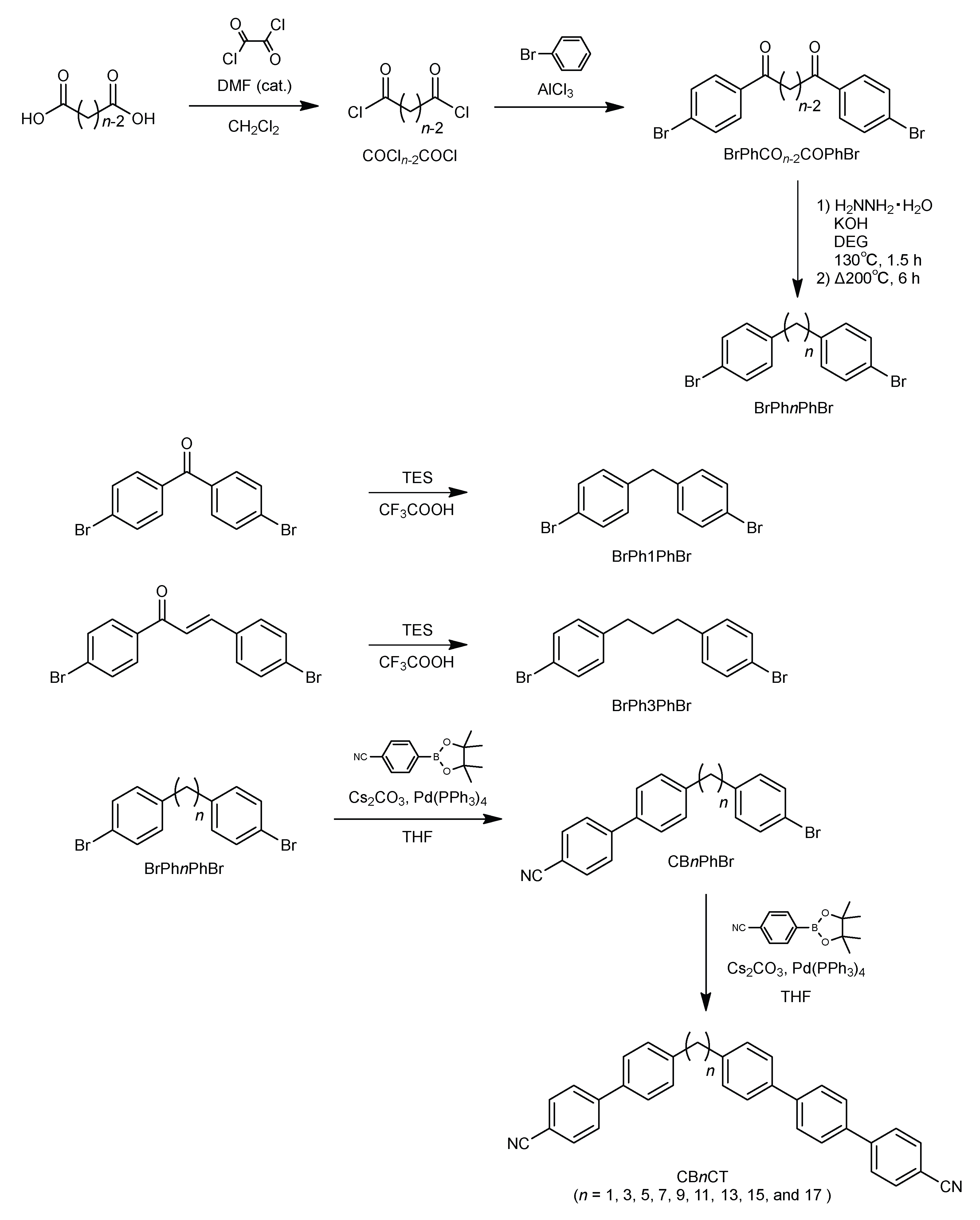
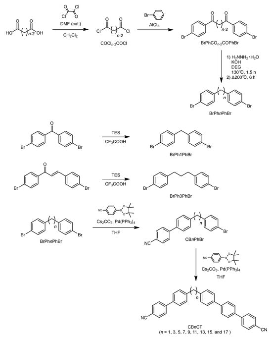
2. Materials and Methods
3. Results and Discussion
Birefringence
4. Conclusions
Supplementary Materials
Author Contributions
Funding
Data Availability Statement
Acknowledgments
Conflicts of Interest
References
- Vorländer, D. Über die Natur der Kohlenstoffketten in kristallin-flüssigen Substanzen. Z. Phys. Chem. 1927, 126, 449–472. [Google Scholar] [CrossRef]
- Luckhurst, G.R. Liquid crystal dimers and oligomers: Experiment and theory. Macromol. Symp. 1995, 96, 1–26. [Google Scholar] [CrossRef]
- Watanabe, J.; Komura, H.; Niiori, T. Thermotropic liquid crystals of polyesters having a mesogenic 4,4-bibenzoate unit smectic mesophase properties and structures in dimeric model compounds. Liq. Cryst. 1993, 13, 455–465. [Google Scholar] [CrossRef]
- Griffin, A.C.; Britt, T.R. Effect of molecular structure on mesomorphism. 12. Flexible-center Siamese-twin liquid crystalline diesters-a “prepolymer” model. J. Am. Chem. Soc. 1981, 103, 4957–4959. [Google Scholar] [CrossRef]
- Choi, S.-W.; Zennyoji, M.; Takanishi, Y.; Takezoe, H.; Niori, T.; Watanabe, J. Structure and switching in bent-shaped molecular liquid crystal systems with two mesogenic groups linked by alkylene spacer. Mol. Cryst. Liq. Cryst. 1999, 328, 185–192. [Google Scholar] [CrossRef]
- Prasad, V.; Rao, D.S.; Prasad, S.K. Ferroelectric switching in a novel bent-shaped mesogen having two non-mesogenic units linked by an alkylene spacer. Liq. Cryst. 2000, 27, 585–590. [Google Scholar] [CrossRef]
- Yelamaggad, C.; Nagamani, S.A.; Hiremath, U.S.; Rao, D.S.; Prasad, S.K. Salicylaldimine-based symmetric dimers: Synthesis and thermal behaviour. Liq. Cryst. 2002, 29, 1401–1408. [Google Scholar] [CrossRef]
- Dantlgraber, G.; Diele, S.; Tschierske, C. The first liquid crystalline dimers consisting of two banana-shaped mesogenic units: A new way for switching between ferroelectricity and antiferroelectricity with bent-core molecules. Chem. Commun. 2002, 2768–2769. [Google Scholar] [CrossRef]
- Izumi, T.; Kang, S.; Niori, T.; Takanishi, Y.; Takezoe, H.; Watanabe, J. Smectic mesophase behavior of dimeric compounds showing antiferroelectricity, frustration and chirality. Jpn. J. Appl. Phys. 2006, 45, 1506. [Google Scholar] [CrossRef]
- Białecka-Florjańczyk, E.; Śledzińska, I.; Górecka, E.; Przedmojski, J. Odd–even effect in biphenyl-based symmetrical dimers with methylene spacer–evidence of the B4 phase. Liq. Cryst. 2008, 35, 401–406. [Google Scholar] [CrossRef]
- Dozov, I. On the spontaneous symmetry breaking in the mesophases of achiral banana-shaped molecules. Europhys. Lett. 2001, 56, 247–253. [Google Scholar] [CrossRef]
- Memmer, R. Liquid crystal phases of achiral banana-shaped molecules: A computer simulation study. Liq. Cryst. 2002, 29, 483–496. [Google Scholar] [CrossRef]
- Cestari, M.; Diez-Berart, S.; Dunmur, D.; Ferrarini, A.; de La Fuente, M.; Jackson, D.; Lopez, D.; Luckhurst, G.; Perez-Jubindo, M.; Richardson, R. Phase behavior and properties of the liquid-crystal dimer 1′′,7′′-bis(4-cyanobiphenyl-4′-yl)heptane: A twist-bend nematic liquid crystal. Phys. Rev. E—Stat. Nonlinear Soft Matter Phys. 2011, 84, 031704. [Google Scholar] [CrossRef]
- Panov, V.; Nagaraj, M.; Vij, J.; Panarin, Y.P.; Kohlmeier, A.; Tamba, M.; Lewis, R.; Mehl, G. Spontaneous Periodic Deformations in Nonchiral Planar-Aligned Bimesogens with a Nematic-Nematic Transition and a Negative Elastic Constant. Phys. Rev. Lett. 2010, 105, 167801. [Google Scholar] [CrossRef]
- Tripathi, C.S.; Losada-Perez, P.; Glorieux, C.; Kohlmeier, A.; Tamba, M.G.; Mehl, G.H.; Leys, J. Nematic-nematic phase transition in the liquid crystal dimer CBC9CB and its mixtures with 5CB: A high-resolution adiabatic scanning calorimetric study. Phys. Rev. E Stat. Nonlin. Soft Matter Phys. 2011, 84, 041707. [Google Scholar] [CrossRef]
- Ungar, G.; Feijoo, J.; Keller, A.; Yourd, R.; Percec, V. Simulataneous X-ray/DSC study of mesomorphism in polymers with a semiflexible mesogen. Macromolecules 1990, 23, 3411–3416. [Google Scholar] [CrossRef]
- Ungar, G.; Percec, V.; Zuber, M. Liquid crystalline polyethers based on conformational isomerism. 20. Nematic-nematic transition in polyethers and copolyethers based on 1-(4-hydroxyphenyl) 2-(2-R-4-hydroxyphenyl)ethane with R = fluoro, chloro and methyl and flexible spacers containing an odd number of methylene units. Macromolecules 1992, 25, 75–80. [Google Scholar]
- Schröder, M.W.; Diele, S.; Pelzl, G.; Dunemann, U.; Kresse, H.; Weissflog, W. Different nematic phases and a switchable SmCP phase formed by homologues of a new class of asymmetric bent-core mesogens. J. Mater. Chem. 2003, 13, 1877–1882. [Google Scholar] [CrossRef]
- Yelamaggad, C.V.; Shashikala, I.S.; Li, Q. Liquid crystal trimers composed of banana-shaped and rodlike anisometric segments: Synthesis and Characterization. Chem. Mater. 2007, 19, 6561–6568. [Google Scholar] [CrossRef]
- Šepelj, M.; Lesac, A.; Baumeister, U.; Diele, S.; Nguyen, H.L.; Bruce, D.W. Intercalated liquid-crystalline phases formed by symmetric dimers with an α,ω-diiminoalkylene spacer. J. Mater. Chem. 2007, 17, 1154–1165. [Google Scholar] [CrossRef]
- Salili, S.M.; Kim, C.; Sprunt, S.; Gleeson, J.T.; Parri, O.; Jakli, A. Flow properties of a twist-bend nematic liquid crystal. RSC Adv. 2014, 4, 57419–57423. [Google Scholar] [CrossRef]
- Challa, P.K.; Borshch, V.; Parri, O.; Imrie, C.T.; Sprunt, S.N.; Gleeson, J.T.; Lavrentovich, O.D.; Jakli, A. Twist-bend nematic liquid crystals in high magnetic fields. Phys. Rev. E 2014, 89, 060501. [Google Scholar] [CrossRef]
- Dozov, I.; Meyer, C. Analogy between the twist-bend nematic and the smectic A phases and coarse-grained description of the macroscopic NTB properties. Liq. Cryst. 2017, 44, 4–23. [Google Scholar]
- Meyer, C.; Stoenescu, D.; Luckhurst, G.; Davidson, P.; Dozov, I. Smectic-like bâtonnets in nematic/twist-bend nematic biphasic samples. Liq. Cryst. 2017, 44, 232–243. [Google Scholar] [CrossRef]
- Zhou, J.; Tang, W.; Arakawa, Y.; Tsuji, H.; Aya, S. Viscoelastic properties of a thioether-based heliconical twist–bend nematogen. Phys. Chem. Chem. Phys. 2020, 22, 9593–9599. [Google Scholar] [CrossRef] [PubMed]
- Kumar, M.P.; Kula, P.; Dhara, S. Smecticlike rheology and pseudolayer compression elastic constant of a twist-bend nematic liquid crystal. Phys. Rev. Mater. 2020, 4, 115601. [Google Scholar] [CrossRef]
- Chen, D.; Porada, J.H.; Hooper, J.B.; Klittnick, A.; Shen, Y.; Tuchband, M.R.; Korblova, E.; Bedrov, D.; Walba, D.M.; Glaser, M.A. Chiral heliconical ground state of nanoscale pitch in a nematic liquid crystal of achiral molecular dimers. Proc. Natl. Acad. Sci. USA 2013, 110, 15931–15936. [Google Scholar] [CrossRef]
- Borshch, V.; Kim, Y.K.; Xiang, J.; Gao, M.; Jakli, A.; Panov, V.P.; Vij, J.K.; Imrie, C.T.; Tamba, M.G.; Mehl, G.H.; et al. Nematic twist-bend phase with nanoscale modulation of molecular orientation. Nat. Commun. 2013, 4, 2635. [Google Scholar] [CrossRef]
- Zhu, C.; Tuchband, M.R.; Young, A.; Shuai, M.; Scarbrough, A.; Walba, D.M.; Maclennan, J.E.; Wang, C.; Hexemer, A.; Clark, N.A. Resonant Carbon K-Edge Soft X-Ray Scattering from Lattice-Free Heliconical Molecular Ordering: Soft Dilative Elasticity of the Twist-Bend Liquid Crystal Phase. Phys. Rev. Lett. 2016, 116, 147803. [Google Scholar] [CrossRef]
- Stevenson, W.; Ahmed, Z.; Zeng, X.; Welch, C.; Ungar, G.; Mehl, G. Molecular organization in the twist–bend nematic phase by resonant X-ray scattering at the Se K-edge and by SAXS, WAXS and GIXRD. Phys. Chem. Chem. Phys. 2017, 19, 13449–13454. [Google Scholar] [CrossRef]
- Cao, Y.; Feng, J.; Nallapaneni, A.; Arakawa, Y.; Zhao, K.; Zhang, H.; Mehl, G.H.; Zhu, C.; Liu, F. Deciphering helix assembly in the heliconical nematic phase via tender resonant X-ray scattering. J. Mater. Chem. C 2021, 9, 10020–10028. [Google Scholar] [CrossRef]
- Kocot, A.; Loska, B.; Arakawa, Y.; Mehl, G.H.; Merkel, K. Study of the Experimental and Simulated Vibrational Spectra Together with Conformational Analysis of Thioether Cyanobiphenyl-Based Liquid Crystal Dimers. Int. J. Mol. Sci. 2022, 23, 8005. [Google Scholar] [CrossRef]
- Tuchband, M.R.; Shuai, M.; Graber, K.A.; Chen, D.; Zhu, C.; Radzihovsky, L.; Klittnick, A.; Foley, L.; Scarbrough, A.; Porada, J.H. Double-helical tiled chain structure of the twist-bend liquid crystal phase in CB7CB. Crystals 2024, 14, 583. [Google Scholar] [CrossRef]
- Salamończyk, M.; Mandle, R.J.; Makal, A.; Liebman-Peláez, A.; Feng, J.; Goodby, J.W.; Zhu, C. Double helical structure of the twist-bend nematic phase investigated by resonant X-ray scattering at the carbon and sulfur K-edges. Soft Matter 2018, 14, 9760–9763. [Google Scholar] [CrossRef] [PubMed]
- Tamba, M.; Salili, S.; Zhang, C.; Jákli, A.; Mehl, G.; Stannarius, R.; Eremin, A. A fibre forming smectic twist–bent liquid crystalline phase. RSC Adv. 2015, 5, 11207–11211. [Google Scholar] [CrossRef]
- Xiang, J.; Li, Y.; Li, Q.; Paterson, D.A.; Storey, J.M.; Imrie, C.T.; Lavrentovich, O.D. Electrically tunable selective reflection of light from ultraviolet to visible and infrared by heliconical cholesterics. Adv. Mater. 2015, 27, 3014. [Google Scholar] [CrossRef]
- Xiang, J.; Varanytsia, A.; Minkowski, F.; Paterson, D.A.; Storey, J.M.; Imrie, C.T.; Lavrentovich, O.D.; Palffy-Muhoray, P. Electrically tunable laser based on oblique heliconical cholesteric liquid crystal. Proc. Natl. Acad. Sci. USA 2016, 113, 12925–12928. [Google Scholar] [CrossRef]
- Varanytsia, A.; Chien, L.C. Giant Flexoelectro-optic Effect with Liquid Crystal Dimer CB7CB. Sci. Rep. 2017, 7, 41333. [Google Scholar] [CrossRef]
- Sridurai, V.; Kanakala, M.B.; Yelamaggad, C.; Nair, G.G. Effect of gelation on the Frank elastic constants in a liquid crystalline mixture exhibiting a twist bend nematic phase. Soft Matter 2019, 15, 9982–9990. [Google Scholar] [CrossRef]
- Mrukiewicz, M.; Iadlovska, O.S.; Babakhanova, G.; Siemianowski, S.; Shiyanovskii, S.V.; Lavrentovich, O.D. Wide temperature range of an electrically tunable selective reflection of light by oblique helicoidal cholesteric. Liq. Cryst. 2019, 46, 1544–1550. [Google Scholar] [CrossRef]
- Aya, S.; Salamon, P.; Paterson, D.A.; Storey, J.M.D.; Imrie, C.T.; Araoka, F.; Jákli, A.; Buka, Á. Fast-and-Giant Photorheological Effect in a Liquid Crystal Dimer. Adv. Mater. Interfaces 2019, 6, 1802032. [Google Scholar] [CrossRef]
- Feng, C.; Feng, J.; Saha, R.; Arakawa, Y.; Gleeson, J.; Sprunt, S.; Zhu, C.; Jákli, A. Manipulation of the nanoscale heliconical structure of a twist-bend nematic material with polarized light. Phys. Rev. Res. 2020, 2, 032004. [Google Scholar] [CrossRef]
- Tang, W.; Deng, M.; Kougo, J.; Ding, L.; Zhao, X.; Arakawa, Y.; Komatsu, K.; Tsuji, H.; Aya, S. Extreme modulation of liquid crystal viscoelasticity via altering the ester bond direction. J. Mater. Chem. C 2021, 9, 9990–9996. [Google Scholar] [CrossRef]
- Liu, B.; Yuan, C.L.; Hu, H.L.; Wang, H.; Zhu, Y.W.; Sun, P.Z.; Li, Z.Y.; Zheng, Z.G.; Li, Q. Dynamically actuated soft heliconical architecture via frequency of electric fields. Nat Commun 2022, 13, 2712. [Google Scholar] [CrossRef] [PubMed]
- Liu, T.; Lin, H.; Hou, D.; Wang, J.; Zeng, S.; Che, C.; Wu, X.; Guo, J. Electrically-Triggered Oblique Helicoidal Cholesterics with a Single-Layer Architecture for Next-Generation Full-Color Reflective Displays. Adv. Funct. Mater. 2024, 34, 2408855. [Google Scholar] [CrossRef]
- Mahyaoui, C.N.; Davidson, P.; Meyer, C.; Dozov, I. Polymerisation of twist-bend nematic textures for electro-optical applications. Soft Matter 2024, 20, 4859–4867. [Google Scholar] [CrossRef]
- Zhou, Z.; Zhang, X.; Halder, S.; Hu, L.; Shin, Y.; Yang, D.K. Smart Switchable Window with Bistability and Tunability of Transmission. Adv. Opt. Mater. 2024, 12, 2302851. [Google Scholar] [CrossRef]
- Greco, C.; Luckhurst, G.R.; Ferrarini, A. Molecular geometry, twist-bend nematic phase and unconventional elasticity: A generalised Maier–Saupe theory. Soft Matter 2014, 10, 9318–9323. [Google Scholar] [CrossRef]
- Matsuyama, A. Director-Pitch Coupling-Induced Twist-Bend Nematic Phase. J. Phys. Soc. Jpn. 2016, 85, 114606. [Google Scholar] [CrossRef]
- Ferrarini, A. The twist-bend nematic phase: Molecular insights from a generalised Maier–Saupe theory. Liq. Cryst. 2017, 44, 45–57. [Google Scholar] [CrossRef]
- Longa, L.; Tomczyk, W. Twist–bend nematic phase from the Landau–de gennes perspective. J. Phys. Chem. C 2020, 124, 22761–22775. [Google Scholar] [CrossRef] [PubMed]
- Wilson, M.R.; Yu, G. Computer simulations of a twist bend nematic (NTB): A coarse-grained simulation of the phase behaviour of the liquid crystal dimer CB7CB. Crystals 2023, 13, 502. [Google Scholar] [CrossRef]
- Szmigielski, M. Theoretical models of modulated nematic phases. Soft Matter 2023, 19, 2675–2704. [Google Scholar] [CrossRef] [PubMed]
- Revignas, D.; Ferrarini, A. Molecular shape, elastic constants and spontaneous twist in chiral and achiral nematics: Insights from a generalised Maier–Saupe framework. Liq. Cryst. 2024, 51, 898–918. [Google Scholar] [CrossRef]
- Vanakaras, A.G.; Photinos, D.J. A molecular theory of nematic–nematic phase transitions in mesogenic dimers. Soft Matter 2016, 12, 2208–2220. [Google Scholar] [CrossRef]
- Samulski, E.T.; Vanakaras, A.G.; Photinos, D.J. The twist bend nematic: A case of mistaken identity. Liq. Cryst. 2020, 47, 2092–2097. [Google Scholar] [CrossRef]
- Samulski, E.T.; Reyes-Arango, D.; Vanakaras, A.G.; Photinos, D.J. All Structures Great and Small: Nanoscale Modulations in Nematic Liquid Crystals. Nanomaterials 2022, 12, 93. [Google Scholar] [CrossRef]
- Henderson, P.A.; Imrie, C.T. Methylene-linked liquid crystal dimers and the twist-bend nematic phase. Liq. Cryst. 2011, 38, 1407–1414. [Google Scholar] [CrossRef]
- Adlem, K.; Čopič, M.; Luckhurst, G.; Mertelj, A.; Parri, O.; Richardson, R.; Snow, B.; Timimi, B.; Tuffin, R.; Wilkes, D. Chemically induced twist-bend nematic liquid crystals, liquid crystal dimers, and negative elastic constants. Phys. Rev. E—Stat. Nonlinear Soft Matter Phys. 2013, 88, 022503. [Google Scholar] [CrossRef]
- Mandle, R.; Davis, E.J.; Lobato, S.; Cowling, S.J.; Goodby, J.W. Synthesis and characterisation of an unsymmetrical, ether-linked, fluorinated bimesogen exhibiting a new polymorphism containing the N TB or ‘twist-bend’phase. Phys. Chem. Chem. Phys. 2014, 16, 6907–6915. [Google Scholar] [CrossRef]
- Ahmed, Z.; Welch, C.; Mehl, G. The design and investigation of the self-assembly of dimers with two nematic phases. RSC Adv. 2015, 5, 93513–93521. [Google Scholar] [CrossRef]
- Gorecka, E.; Vaupotič, N.; Zep, A.; Pociecha, D.; Yoshioka, J.; Yamamoto, J.; Takezoe, H. A Twist-Bend Nematic (NTB) Phase of Chiral Materials. Angew. Chem. Int. Ed. 2015, 54, 10155–10159. [Google Scholar] [CrossRef] [PubMed]
- Mandle, R.J.; Davis, E.J.; Archbold, C.T.; Voll, C.C.; Andrews, J.L.; Cowling, S.J.; Goodby, J.W. Apolar bimesogens and the incidence of the twist–bend nematic phase. Chem. Eur. J. 2015, 21, 8158–8167. [Google Scholar] [CrossRef] [PubMed]
- Mandle, R.J.; Archbold, C.T.; Sarju, J.P.; Andrews, J.L.; Goodby, J.W. The dependency of nematic and twist-bend mesophase formation on bend angle. Sci. Rep. 2016, 6, 36682. [Google Scholar] [CrossRef]
- Dawood, A.A.; Grossel, M.C.; Luckhurst, G.R.; Richardson, R.M.; Timimi, B.A.; Wells, N.J.; Yousif, Y.Z. On the twist-bend nematic phase formed directly from the isotropic phase. Liq. Cryst. 2016, 43, 2–12. [Google Scholar] [CrossRef]
- Ivšić, T.; Vinković, M.; Baumeister, U.; Mikleušević, A.; Lesac, A. Towards understanding the N TB phase: A combined experimental, computational and spectroscopic study. RSC Adv. 2016, 6, 5000–5007. [Google Scholar] [CrossRef]
- Mandle, R.J.; Voll, C.C.; Lewis, D.J.; Goodby, J.W. Etheric bimesogens and the twist-bend nematic phase. Liq. Cryst. 2016, 43, 13–21. [Google Scholar] [CrossRef]
- Panov, V.P.; Vij, J.K.; Mehl, G.H. Twist-bend nematic phase in cyanobiphenyls and difluoroterphenyls bimesogens. Liq. Cryst. 2017, 44, 147–159. [Google Scholar]
- Paterson, D.A.; Abberley, J.P.; Harrison, W.T.; Storey, J.M.; Imrie, C.T. Cyanobiphenyl-based liquid crystal dimers and the twist-bend nematic phase. Liq. Cryst. 2017, 44, 127–146. [Google Scholar] [CrossRef]
- Dawood, A.A.; Grossel, M.C.; Luckhurst, G.R.; Richardson, R.M.; Timimi, B.A.; Wells, N.J.; Yousif, Y.Z. Twist-bend nematics, liquid crystal dimers, structure-property relations. Liq. Cryst. 2017, 44, 106–126. [Google Scholar]
- Scarbrough, A.N.; Tuchband, M.R.; Korblova, E.D.; Shao, R.; Shen, Y.; Maclennan, J.E.; Glaser, M.A.; Clark, N.A.; Walba, D.M. The heliconical nematic twist-bend phase from “classic” bent-core benzylideneanilines with oligomethylene cores. Mol. Cryst. Liq. Cryst. 2017, 647, 430–438. [Google Scholar] [CrossRef]
- Watanabe, K.; Tamura, T.; Kang, S.; Tokita, M. Twist bend nematic liquid crystals prepared by one-step condensation of 4-(4-Pentylcyclohexyl) benzoic acid and alkyl diol. Liq. Cryst. 2018, 45, 924–930. [Google Scholar] [CrossRef]
- Arakawa, Y.; Komatsu, K.; Tsuji, H. Twist-bend nematic liquid crystals based on thioether linkage. New J. Chem. 2019, 43, 6786–6793. [Google Scholar] [CrossRef]
- Cruickshank, E.; Salamonczyk, M.; Pociecha, D.; Strachan, G.J.; Storey, J.M.D.; Wang, C.; Peng, J.; Zhu, C.H.; Gorecka, E.; Imrie, C.T. Sulfur-linked cyanobiphenyl-based liquid crystal dimers and the twist-bend nematic phase. Liq. Cryst. 2019, 46, 1595–1609. [Google Scholar] [CrossRef]
- Abberley, J.P.; Storey, J.M.; Imrie, C.T. Structure-property relationships in azobenzene-based twist-bend nematogens. Liq. Cryst. 2019, 46, 2102–2114. [Google Scholar] [CrossRef]
- Arakawa, Y.; Ishida, Y.; Tsuji, H. Ether- and Thioether-Linked Naphthalene-Based Liquid-Crystal Dimers: Influence of Chalcogen Linkage and Mesogenic-Arm Symmetry on the Incidence and Stability of the Twist-Bend Nematic Phase. Chem. Eur. J. 2020, 26, 3767–3775. [Google Scholar] [CrossRef]
- Arakawa, Y.; Komatsu, K.; Inui, S.; Tsuji, H. Thioether-linked liquid crystal dimers and trimers: The twist-bend nematic phase. J. Mol. Struct. 2020, 1199, 126913. [Google Scholar] [CrossRef]
- Arakawa, Y.; Komatsu, K.; Ishida, Y.; Tsuji, H. Thioether-linked azobenzene-based liquid crystal dimers exhibiting the twist-bend nematic phase over a wide temperature range. Liq. Cryst. 2020, 48, 641–652. [Google Scholar] [CrossRef]
- Abberley, J.P.; Walker, R.; Storey, J.M.D.; Imrie, C.T. Molecular structure and the twist-bend nematic phase: The role of terminal chains. Liq. Cryst. 2020, 47, 1232–1245. [Google Scholar] [CrossRef]
- Knežević, A.; Dokli, I.; Novak, J.; Kontrec, D.; Lesac, A. Fluorinated twist-bend nematogens: The role of intermolecular interaction. Liq. Cryst. 2021, 48, 756–766. [Google Scholar] [CrossRef]
- Arakawa, Y.; Komatsu, K.; Shiba, T.; Tsuji, H. Phase behaviors of classic liquid crystal dimers and trimers: Alternate induction of smectic and twist-bend nematic phases depending on spacer parity for liquid crystal trimers. J. Mol. Liq. 2021, 326, 115319. [Google Scholar] [CrossRef]
- Arakawa, Y.; Komatsu, K.; Shiba, T.; Tsuji, H. Methylene- and thioether-linked cyanobiphenyl-based liquid crystal dimers CBnSCB exhibiting room temperature twist-bend nematic phases and glasses. Mater. Adv. 2021, 2, 1760–1773. [Google Scholar] [CrossRef]
- Arakawa, Y.; Komatsu, K.; Ishida, Y.; Igawa, K.; Tsuji, H. Carbonyl- and thioether-linked cyanobiphenyl-based liquid crystal dimers exhibiting twist-bend nematic phases. Tetrahedron 2021, 81, 131870. [Google Scholar] [CrossRef]
- Arakawa, Y.; Komatsu, K.; Feng, J.; Zhu, C.H.; Tsuji, H. Distinct twist-bend nematic phase behaviors associated with the ester-linkage direction of thioether-linked liquid crystal dimers. Mater. Adv. 2021, 2, 261–272. [Google Scholar] [CrossRef]
- Arakawa, Y.; Ishida, Y.; Komatsu, K.; Arai, Y.; Tsuji, H. Thioether-linked benzylideneaniline-based twist-bend nematic liquid crystal dimers: Insights into spacer lengths, mesogenic arm structures, and linkage types. Tetrahedron 2021, 95, 132351. [Google Scholar] [CrossRef]
- Alshammari, A.F.; Pociecha, D.; Walker, R.; Storey, J.M.; Gorecka, E.; Imrie, C.T. New patterns of twist-bend liquid crystal phase behaviour: The synthesis and characterisation of the 1-(4-cyanobiphenyl-4′-yl)-10-(4-alkylaniline-benzylidene-4′-oxy) decanes (CB10O·m). Soft Matter 2022, 18, 4679–4688. [Google Scholar] [CrossRef]
- Tufaha, N.; Gibb, C.J.; Storey, J.M.; Imrie, C.T. Can even-membered liquid crystal dimers exhibit the twist-bend nematic phase? The preparation and properties of disulphide and thioether linked dimers. Liq. Cryst. 2023, 50, 1362–1374. [Google Scholar] [CrossRef]
- Ožegović, A.; Knežević, A.; Novak, J.; Šegota, S.; Davidson, P.; Lesac, A. The Interplay of Spacer Chirality and Parity in Mesogenic Dimers. Chemphyschem 2024, 25, e202400065. [Google Scholar] [CrossRef]
- Arakawa, Y.; Shiba, T.; Igawa, K. Selenium-linked cyanobiphenyl-based liquid crystal dimers: The effects of chalcogen linkage and spacer length on the twist-bend nematic phase. Liq. Cryst. 2024, 51, 1506–1522. [Google Scholar] [CrossRef]
- Baishya, B.; Dua, H.; Sarkar, U.; Paul, M.K. Synthesis, mesophase behavior, and computational studies of dimers composed of three-ring rod-shaped ester-imine linkage monomeric unit. J. Mol. Struct. 2024, 1313, 138754. [Google Scholar] [CrossRef]
- Gibb, C.J.; Majewska, M.; Pociecha, D.; Storey, J.M.; Gorecka, E.; Imrie, C.T. Liquid Crystal Dimers and the Twist-Bend Phases: Non-Symmetric Dimers Consisting of Mesogenic Units of Differing Lengths. Chemphyschem 2024, 25, e202300848. [Google Scholar] [CrossRef] [PubMed]
- Cruickshank, E.; Strachan, G.J.; Thapa, K.; Pociecha, D.; Salamończyk, M.; Storey, J.M.; Gorecka, E.; Lavrentovich, O.; Imrie, C.T. Cyanobiphenyl-based liquid crystal dimers and the twist-bend nematic phase: On the role played by the length and parity of the spacer. Liq. Cryst. 2024, 51, 1446–1470. [Google Scholar] [CrossRef]
- Ožegović, A.; Hobbs, J.; Mandle, R.; Lesac, A.; Knežević, A. Chiral cyanobiphenyl dimers–significance of the linking group for mesomorphic properties and helical induction. J. Mater. Chem. C 2024, 12, 13985–13993. [Google Scholar] [CrossRef]
- Jansze, S.M.; Martínez-Felipe, A.; Storey, J.M.; Marcelis, A.T.; Imrie, C.T. A twist-bend nematic phase driven by hydrogen bonding. Angew. Chem. 2015, 127, 653–656. [Google Scholar] [CrossRef]
- Wang, Y.; Singh, G.; Agra-Kooijman, D.M.; Gao, M.; Bisoyi, H.K.; Xue, C.; Fisch, M.R.; Kumar, S.; Li, Q. Room temperature heliconical twist-bend nematic liquid crystal. CrystEngComm 2015, 17, 2778–2782. [Google Scholar] [CrossRef]
- Saha, R.; Babakhanova, G.; Parsouzi, Z.; Rajabi, M.; Gyawali, P.; Welch, C.; Mehl, G.H.; Gleeson, J.; Lavrentovich, O.D.; Sprunt, S. Oligomeric odd–even effect in liquid crystals. Mater. Horiz. 2019, 6, 1905–1912. [Google Scholar] [CrossRef]
- Al-Janabi, A.; Mandle, R.J. Utilising Saturated Hydrocarbon Isosteres of para Benzene in the Design of Twist-Bend Nematic Liquid Crystals. Chemphyschem 2020, 21, 697–701. [Google Scholar] [CrossRef]
- Walker, R.; Pociecha, D.; Martinez-Felipe, A.; Storey, J.M.; Gorecka, E.; Imrie, C.T. Twist-bend nematogenic supramolecular dimers and trimers formed by hydrogen bonding. Crystals 2020, 10, 175. [Google Scholar] [CrossRef]
- Arakawa, Y.; Komatsu, K.; Ishida, Y.; Shiba, T.; Tsuji, H. Thioether-linked liquid crystal trimers: Odd–even effects of spacers and the influence of thioether bonds on phase behavior. Materials 2022, 15, 1709. [Google Scholar] [CrossRef]
- Arakawa, Y.; Komatsu, K.; Tsuji, H. 2, 7-substituted fluorenone-based liquid crystal trimers: Twist-bend nematic phase induced by outer thioether linkage. Phase Transit. 2022, 95, 331–339. [Google Scholar] [CrossRef]
- Strachan, G.J.; Majewska, M.M.; Pociecha, D.; Gorecka, E.; Storey, J.M.; Imrie, C.T. Liquid crystal trimers containing secondary amide groups. Liq. Cryst. 2024, 51, 2059–2068. [Google Scholar] [CrossRef]
- Mandle, R.J.; Goodby, J.W. A Liquid Crystalline Oligomer Exhibiting Nematic and Twist-Bend Nematic Mesophases. Chemphyschem 2016, 17, 967–970. [Google Scholar] [CrossRef] [PubMed]
- Simpson, F.P.; Mandle, R.J.; Moore, J.N.; Goodby, J.W. Investigating the Cusp between the nano-and macro-sciences in supermolecular liquid-crystalline twist-bend nematogens. J. Mater. Chem. C 2017, 5, 5102–5110. [Google Scholar] [CrossRef]
- Majewska, M.M.; Forsyth, E.; Pociecha, D.; Wang, C.; Storey, J.M.; Imrie, C.T.; Gorecka, E. Controlling spontaneous chirality in achiral materials: Liquid crystal oligomers and the heliconical twist-bend nematic phase. Chem. Commun. 2022, 58, 5285–5288. [Google Scholar] [CrossRef]
- Stevenson, W.D.; An, J.; Zeng, X.-B.; Xue, M.; Zou, H.-X.; Liu, Y.-S.; Ungar, G. Twist-bend nematic phase in biphenylethane-based copolyethers. Soft Matter 2018, 14, 3003–3011. [Google Scholar] [CrossRef]
- Tamba, M.G.; Baumeister, U.; Pelzl, G.; Weissflog, W. Banana-calamitic dimers: Further variations of the bent-core mesogenic unit. Ferroelectrics 2014, 468, 52–76. [Google Scholar] [CrossRef]
- Sreenilayam, S.P.; Panov, V.P.; Vij, J.K.; Shanker, G. The NTB phase in an achiral asymmetrical bent-core liquid crystal terminated with symmetric alkyl chains. Liq. Cryst. 2017, 44, 244–253. [Google Scholar] [CrossRef]
- Mandle, R.J.; Goodby, J.W. A Nanohelicoidal Nematic Liquid Crystal Formed by a Non-Linear Duplexed Hexamer. Angew. Chem. Int. Ed. 2018, 57, 7096–7100. [Google Scholar] [CrossRef]
- Archbold, C.T.; Mandle, R.J.; Andrews, J.L.; Cowling, S.J.; Goodby, J.W. Conformational landscapes of bimesogenic compounds and their implications for the formation of modulated nematic phases. Liq. Cryst. 2017, 44, 2079–2088. [Google Scholar] [CrossRef]
- Wang, D.; Liu, J.; Zhao, W.; Zeng, Y.; Huang, J.; Fang, J.; Chen, D. Facile synthesis of liquid crystal dimers bridged with a phosphonic group. Chem. Eur. J. 2022, 28, e202202146. [Google Scholar] [CrossRef]
- Arakawa, Y.; Arai, Y.; Horita, K.; Komatsu, K.; Tsuji, H. Twist–bend nematic phase behavior of cyanobiphenyl-based dimers with propane, ethoxy, and ethylthio spacers. Crystals 2022, 12, 1734. [Google Scholar] [CrossRef]
- Arakawa, Y.; Horita, K.; Igawa, K. Phase behaviour of ester-linked cyanobiphenyl dimers and fluorinated analogues: The direct isotropic to twist-bend nematic phase transition. Liq. Cryst. 2023, 50, 2216–2228. [Google Scholar] [CrossRef]
- Mandle, R.J. The dependency of twist-bend nematic liquid crystals on molecular structure: A progression from dimers to trimers, oligomers and polymers. Soft Matter 2016, 12, 7883–7901. [Google Scholar] [CrossRef]
- Mandle, R.J. A Ten-Year Perspective on Twist-Bend Nematic Materials. Molecules 2022, 27, 2689. [Google Scholar] [CrossRef] [PubMed]
- Yu, G.; Wilson, M.R. All-atom simulations of bent liquid crystal dimers: The twist-bend nematic phase and insights into conformational chirality. Soft Matter 2022, 18, 3087–3096. [Google Scholar] [CrossRef]
- Barnes, P.; Douglass, A.; Heeks, S.; Luckhurst, G. An enhanced odd-even effect of liquid crystal dimers orientational order in the α,ω-bis (4′-cyanobiphenyl-4-yl) alkanes. Liq. Cryst. 1993, 13, 603–613. [Google Scholar] [CrossRef]
- Yuan, C.; Zhan, Y.; Liu, H.; Wang, Z.; Shen, N.; Liu, B.; Hu, H.; Zheng, Z. Room temperature stable twist-bend nematic materials without crystallization over 1 year. Giant 2024, 19, 100290. [Google Scholar] [CrossRef]
- Chen, Y.; Sun, J.; Xianyu, H.; Wu, S.-T.; Liang, X.; Tang, H. High birefringence fluoro-terphenyls for thin-cell-gap TFT-LCDs. J. Disp. Technol. 2011, 7, 478–481. [Google Scholar] [CrossRef]
- Dąbrowski, R.; Kula, P.; Herman, J. High birefringence liquid crystals. Crystals 2013, 3, 443–482. [Google Scholar] [CrossRef]
- Pytlarczyk, M.; Herman, J.; Arakawa, Y.; Tsuji, H.; Kula, P. Deuterated Liquid Crystals–practical synthesis of deuterium labeled 4-alkyl-4″-isothiocyanato-[1,1′:4′,1″] terphenyls. J. Mol. Liq. 2022, 345, 117847. [Google Scholar] [CrossRef]
- Chen, R.; Zou, J.; Mao, Z.; An, Z.; Chen, P.; Chen, X. Terminal groups enhance the birefringence and dielectric anisotropy of fluorinated terphenyl liquid crystals for AR displays. J. Mol. Liq. 2024, 397, 124162. [Google Scholar] [CrossRef]
- Becke, A.D. A new mixing of Hartree–Fock and local density-functional theories. J. Chem. Phys. 1993, 98, 1372–1377. [Google Scholar] [CrossRef]
- Stephens, P.J.; Devlin, F.J.; Chabalowski, C.F.; Frisch, M.J. Ab initio calculation of vibrational absorption and circular dichroism spectra using density functional force fields. J. Phys. Chem. 1994, 98, 11623–11627. [Google Scholar] [CrossRef]
- Frisch, M.J.; Trucks, G.W.; Schlegel, H.B.; Scuseria, G.E.; Robb, M.A.; Cheeseman, J.R.; Scalmani, G.; Barone, V.; Petersson, G.A.; Nakatsuji, H.; et al. Gaussian 16 Rev. C.01; Gaussian, Inc.: Wallingford, CT, USA, 2016. [Google Scholar]
- Dennington, R.; Keith, T.A.; Millam, J.M. GaussView, Version 6.1; Semichem Inc.: Shawnee Mission, KS, USA, 2016. [Google Scholar]
- Arakawa, Y.; Nakajima, S.; Ishige, R.; Uchimura, M.; Kang, S.; Konishi, G.-I.; Watanabe, J. Synthesis of diphenyl-diacetylene-based nematic liquid crystals and their high birefringence properties. J. Mater. Chem. 2012, 22, 8394–8398. [Google Scholar] [CrossRef]
- Brown, R.; Brown, R. Melting point and molecular symmetry. J. Chem. Educ. 2000, 77, 724. [Google Scholar] [CrossRef]
- Pocock, E.E.; Mandle, R.J.; Goodby, J.W. Molecular shape as a means to control the incidence of the nanostructured twist bend phase. Soft Matter 2018, 14, 2508–2514. [Google Scholar] [CrossRef]
- Haller, I. Thermodynamic and static properties of liquid crystals. Prog. Solid State Chem. 1975, 10, 103–118. [Google Scholar] [CrossRef]










| n | Phase-Transition Temperatures/°C and Enthalpy Changes/kJ mol–1 | ||||||
|---|---|---|---|---|---|---|---|
| 1 | Cr | 224.6 (39.7) | Iso | ||||
| Iso | 159.3 (−32.9) | Cr | |||||
| 3 | Cr | 189.4 (33.5) | Iso | ||||
| Iso | 180.2 (−0.23) | N | 174.5 (−1.0) | NTB | 121.2 (−21.2) | Cr | |
| 5 | Cr | 196.1 (37.4) | N | 249.7 (1.06) | Iso | ||
| Iso | 246.7 (−1.09) | N | 184.2 (−0.14) | NTB | 107.4 (−20.3) | Cr | |
| 7 | Cr | 150.8 (32.4) | NTB | 179.7 | N | 248.8 (1.52) | Iso |
| Iso | 246.6 (−1.49) | N | 177.6 | NTB | 16.9 | G | |
| 9 | Cr | 120.2 (19.9) | NTB | 152.6 | N | 264.8 (2.56) | Iso |
| Iso | 262.5 (−2.76) | N | 150.6 | NTB | 17.5 | G | |
| 11 | Cr | 95.0 (28.9) | NTB | 151.3 | N | 246.9 (2.79) | Iso |
| Iso | 243.4 (−3.04) | N | 147.6 | NTB | 18.7 | G | |
| 13 | Cr | 106.2 (41.4) | NTB | 144.7 | N | 227.5 (3.19) | Iso |
| Iso | 224.6 (−3.03) | N | 140.1 | NTB | 38.4 (−11.5) | Cr | |
| 15 | Cr | 106.6 (24.6) | NTB | 136.2 | N | 219.4 (2.95) | Iso |
| Iso | 216.5 (−2.96) | N | 134.4 | NTB | 68.5 (−15.6) | Cr | |
| 17 | Cr | 106.5 (33.8) | NTB | 132.4 | N | 216.1 (3.86) | Iso |
| Iso | 214.2 (−4.16) | N | 132.1 | NTB | 81.4 (−28.1) | Cr | |
| Code | αxx | αyy | αzz | α | Δα | Δn0 | Ti | β |
|---|---|---|---|---|---|---|---|---|
| CB9CT | 745.5 | 420.6 | 319.9 | 495.3 | 375.2 | 0.39 | 251.9 | 0.14 |
| CB9CB | 596.3 | 335.4 | 299.3 | 410.3 | 278.9 | 0.27 | 124.1 | 0.16 |
Disclaimer/Publisher’s Note: The statements, opinions and data contained in all publications are solely those of the individual author(s) and contributor(s) and not of MDPI and/or the editor(s). MDPI and/or the editor(s) disclaim responsibility for any injury to people or property resulting from any ideas, methods, instructions or products referred to in the content. |
© 2025 by the authors. Licensee MDPI, Basel, Switzerland. This article is an open access article distributed under the terms and conditions of the Creative Commons Attribution (CC BY) license (https://creativecommons.org/licenses/by/4.0/).
Share and Cite
Shimoura, Y.; Arakawa, Y. Cyanobiphenyl- and Cyanoterphenyl-Based Liquid Crystal Dimers (CBnCT): The Enantiotropic Twist-Bend Nematic Phase. Crystals 2025, 15, 120. https://doi.org/10.3390/cryst15020120
Shimoura Y, Arakawa Y. Cyanobiphenyl- and Cyanoterphenyl-Based Liquid Crystal Dimers (CBnCT): The Enantiotropic Twist-Bend Nematic Phase. Crystals. 2025; 15(2):120. https://doi.org/10.3390/cryst15020120
Chicago/Turabian StyleShimoura, Yamato, and Yuki Arakawa. 2025. "Cyanobiphenyl- and Cyanoterphenyl-Based Liquid Crystal Dimers (CBnCT): The Enantiotropic Twist-Bend Nematic Phase" Crystals 15, no. 2: 120. https://doi.org/10.3390/cryst15020120
APA StyleShimoura, Y., & Arakawa, Y. (2025). Cyanobiphenyl- and Cyanoterphenyl-Based Liquid Crystal Dimers (CBnCT): The Enantiotropic Twist-Bend Nematic Phase. Crystals, 15(2), 120. https://doi.org/10.3390/cryst15020120

