Magnetically Responsive Janus Nanoparticles with Catalytic Properties for the Treatment of Methyl Orange Wastewater
Abstract
1. Introduction
2. Results and Discussion
2.1. XRD Analysis
2.2. SEM Analysis
2.3. FTIR Analysis
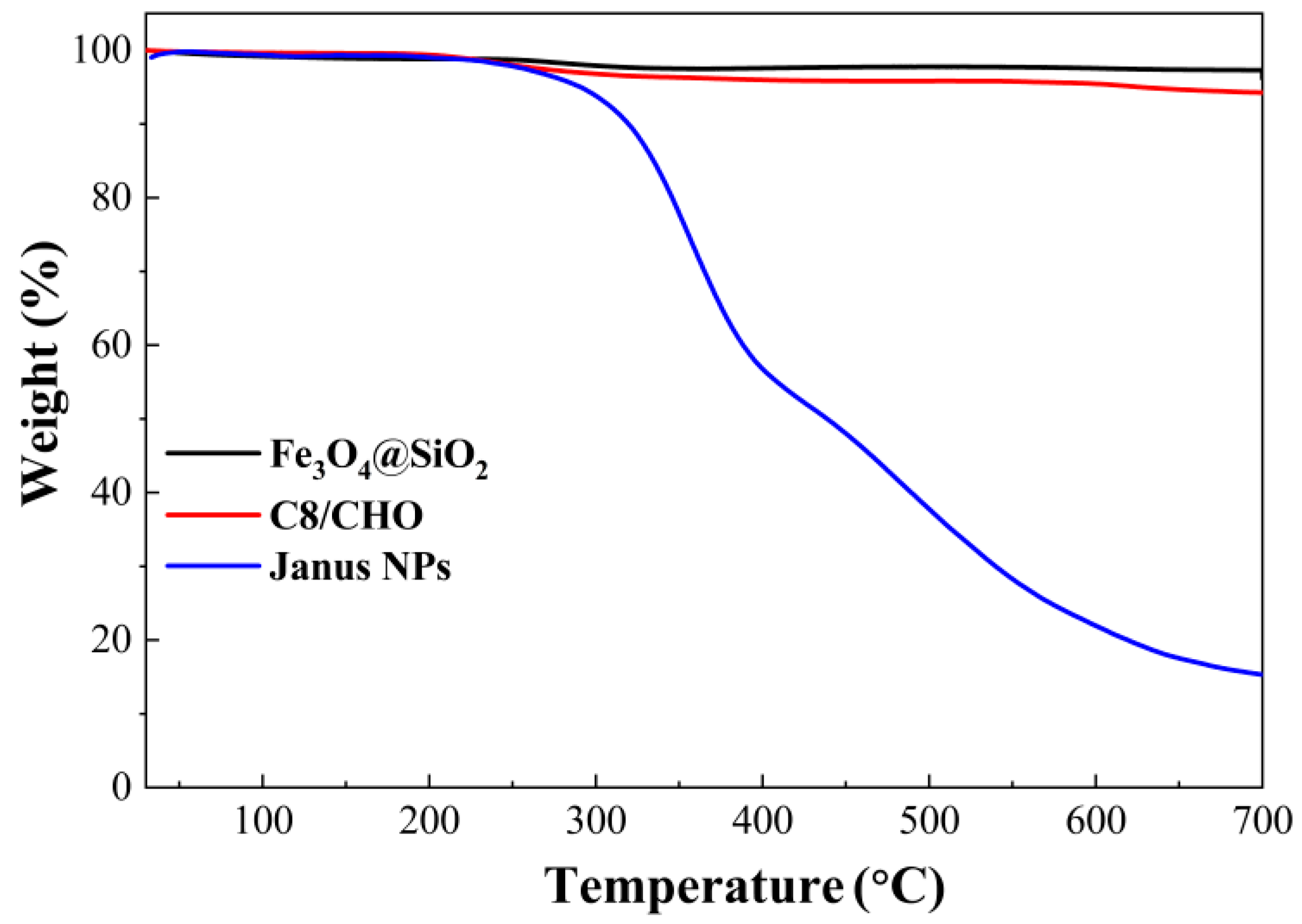
2.4. TGA Analysis
2.5. XPS Analysis
2.6. Emulsification Experiment
2.7. Contact Angle Test
2.8. Methyl Orange Degradation Experiment
3. Experiment
3.1. Materials and Methods
3.2. Sample Preparation
3.2.1. Preparation of C8/Ag NPs
3.2.2. Preparation of 1-(2-Aminoethyl)-3-Methylimidazolium Bromide
3.3. Test of Methyl Orange Wastewater
3.4. Material Characterization
4. Conclusions
Supplementary Materials
Author Contributions
Funding
Data Availability Statement
Conflicts of Interest
References
- Hairong, G.; Wanting, L.; Shuyu, D.; Shuailong, J.; Chenxi, X. Synthesis of Fe3O4/GO magnetic nanomaterials and their adsorption of gentian violet dye. New Chem. Mater. 2023, 51, 295–300. [Google Scholar]
- Varjani, S.; Rakholiya, P.; Ng, H.Y.; You, S.; Teixeira, J.A. Microbial degradation of dyes: An overview. Bioresour. Technol. 2020, 314, 123728. [Google Scholar] [CrossRef]
- Srivastava, A.; Rani, R.M.; Patle, D.S.; Kumar, S. Emerging bioremediation technologies for the treatment of textile wastewater containing synthetic dyes: A comprehensive review. J. Chem. Technol. Biotechnol. 2022, 97, 26–41. [Google Scholar] [CrossRef]
- Gao, Y.; Cao, T.; Du, J.; Qi, X.; Yan, H.; Xu, X. The Bi-Modified (BiO)2CO3/TiO2 Heterojunction Enhances the Photocatalytic Degradation of Antibiotics. Catalysts 2025, 15, 56. [Google Scholar] [CrossRef]
- Richa; Choudhury, A.R. Synthesis of a novel gellan-pullulan nanogel and its application in adsorption of cationic dye from aqueous medium. Carbohydr. Polym. 2020, 227, 115291. [Google Scholar] [CrossRef] [PubMed]
- Daniel-González, G.L.; Nava-Galicia, S.B.; Arroyo-Becerra, A.; Villalobos-López, M.A.; Díaz-Godínez, G.; Bibbins-Martínez, M.D. Characterization of the Enzymatic and Biosorption Processes Involved in the Decolorization of Remazol Brilliant Blue R Dye by Pleurotus ostreatus Pellets. J. Fungi 2025, 11, 572. [Google Scholar] [CrossRef] [PubMed]
- Cheng, Y.; Cao, T.; Xiao, Z.; Zhu, H.; Yu, M. Photocatalytic treatment of methyl orange dye wastewater by porous floating ceramsite loaded with cuprous oxide. Coatings 2022, 12, 286. [Google Scholar] [CrossRef]
- Cao, T.; Gao, Y.; Xia, W.; Qi, X. Preparation of Bi@ Ho3+:TiO2/Composite Fiber Photocatalytic Materials and Hydrogen Production via Visible Light Decomposition of Water. Catalysts 2024, 14, 588. [Google Scholar] [CrossRef]
- Yadav, S.; Sharma, N. Cerium (III) phosphotungstate: An efficient catalyst in esterification of fatty acids. Zast. Mater. 2024, 65, 786–796. [Google Scholar] [CrossRef]
- Sampurnam, S.; Muthamizh, S.; Varman, K.A.; Narayanan, V. A homogeneous Zr based polyoxometalate coupled with Ppy/PTA for efficient photocatalytic degradation of organic pollutants. J. Mater. Sci. Mater. Electron. 2024, 35, 122. [Google Scholar] [CrossRef]
- Kyeong, S.; Kim, J.; Chang, H.; Lee, S.H.; Son, B.S.; Lee, J.H.; Rho, W.Y.; Pham, X.H.; Jun, B.H. Magnetic nanoparticles. In Nanotechnology for Bioapplications; Springer: Singapore, 2021; pp. 191–215. [Google Scholar]
- Sajid, M.; Shuja, S.; Rong, H.; Zhang, J. Size-controlled synthesis of Fe3O4 and Fe3O4@ SiO2 nanoparticles and their superparamagnetic properties tailoring. Prog. Nat. Sci. Mater. Int. 2023, 33, 116–119. [Google Scholar] [CrossRef]
- Kianfar, E. Magnetic nanoparticles in targeted drug delivery: A review. J. Supercond. Nov. Magn. 2021, 34, 1709–1735. [Google Scholar] [CrossRef]
- Liu, Z.; McClements, D.J.; Shi, A.; Zhi, L.; Tian, Y.; Jiao, B.; Liu, H.; Wang, Q. Janus particles: A review of their applications in food and medicine. Crit. Rev. Food Sci. Nutr. 2023, 63, 10093–10104. [Google Scholar] [CrossRef] [PubMed]
- Liu, J.D.; Liu, Z.W.; Chen, Z.Q.; Zhang, H.J.; Ye, B.J. Thermal diffusion and epitaxial growth of Ag in Ag/SiO2/Si probed by XRD, depth-resolved XPS, and slow positron beam. Appl. Surf. Sci. 2019, 496, 143527. [Google Scholar] [CrossRef]
- Gao, Y.; Meng, Q.B.; Wang, B.X.; Zhang, Y.; Mao, H.; Fang, D.W.; Song, X.M. Polyacrylonitrile Derived Robust and Flexible Poly (ionic liquid) s Nanofiber Membrane as Catalyst Supporter. Catalysts 2022, 12, 266. [Google Scholar] [CrossRef]
- Chen, X.; Chen, Z.; Ma, L.; Yi, Z. Multi-stimuli-responsive polymer/inorganic janus composite nanoparticles. Langmuir 2021, 38, 422–429. [Google Scholar] [CrossRef]
- Galindo, C.; Jacques, P.; Kalt, A. Photodegradation of the aminoazobenzene acid orange 52 by three advanced oxidation processes UV/H2O2, UV/TiO2 and VIS/TiO2 comparative mechanistic and kinetic investigations. J. Photochem. Photobiol. A Chem. 2000, 130, 35–47. [Google Scholar] [CrossRef]
- Maksimchuk, N.V.; Evtushok, V.Y.; Zalomaeva, O.V.; Maksimov, G.M.; Ivanchikova, I.D.; Chesalov, Y.A.; Eltsov, I.V.; Abramov, P.A.; Glazneva, T.S.; Yanshole, V.V.; et al. Activation of H2O2 over Zr (IV). Insights from model studies on Zr-monosubstituted Lindqvist tungstates. ACS Catal. 2021, 11, 10589–10603. [Google Scholar] [CrossRef]
- Xue, D.; Meng, Q.B.; Song, X.M. Magnetic-Responsive Janus nanosheets with catalytic properties. ACS Appl. Mater. Interfaces 2019, 11, 10967–10974. [Google Scholar] [CrossRef]
- Mahmoud, M.M.; Chawraba, K.; El Mogy, S.A. Nanocellulose: A comprehensive review of structure, pretreatment, extraction, and chemical modification. Polym. Rev. 2024, 64, 1414–1475. [Google Scholar] [CrossRef]
- Geßwein, H.; Stüble, P.; Weber, D.; Binder, J.R.; Mönig, R. A multipurpose laboratory diffractometer for operando powder X-ray diffraction investigations of energy materials. Appl. Crystallogr. 2022, 55, 503–514. [Google Scholar] [CrossRef]
- Al-Harbi, N.; Abd-Elrahman, N.K. Physical methods for preparation of nanomaterials, their characterization and applications: A review. J. Umm Al-Qura Univ. Appl. Sci. 2025, 11, 356–377. [Google Scholar] [CrossRef]
- Yan, L. Precipitation behaviour of simulated high-level liquid waste during the denitration process based on two-step vitrification. Nucl. Eng. Des. 2023, 415, 112739. [Google Scholar]
- Datye, A.; DeLaRiva, A. Scanning electron microscopy (SEM). In Springer Handbook of Advanced Catalyst Characterization; Springer International Publishing: Cham, Switzerland, 2023; pp. 359–380. [Google Scholar]
- Xing, J.; Xian, H.; Yang, Y.; Chen, Q.; Xi, J.; Li, S.; He, H.; Zhu, J. Nanoscale mineralogical characterization of terrestrial and extraterrestrial samples by transmission electron microscopy: A review. ACS Earth Space Chem. 2023, 7, 289–302. [Google Scholar] [CrossRef]
- Nair, G.M.; Sajini, T.; Mathew, B. Advanced green approaches for metal and metal oxide nanoparticles synthesis and their environmental applications. Talanta Open 2022, 5, 100080. [Google Scholar] [CrossRef]
- Hao, X.; Allgeyer, E.S.; Lee, D.-R.; Antonello, J.; Watters, K.; Gerdes, J.A.; Schroeder, L.K.; Bottanelli, F.; Zhao, J.; Kidd, P.; et al. Three-dimensional adaptive optical nanoscopy for thick specimen imaging at sub-50-nm resolution. Nat. Methods 2021, 18, 688–693. [Google Scholar] [CrossRef] [PubMed]
- Del Rosario, M.; Heil, H.S.; Mendes, A.; Saggiomo, V.; Henriques, R. The field guide to 3D printing in optical microscopy for life sciences. Adv. Biol. 2022, 6, 2100994. [Google Scholar] [CrossRef] [PubMed]
- Khalid, K.; Ishak, R.; Chowdhury, Z.Z. UV-Vis spectroscopy in non-destructive testing. In Non-Destructive Material Characterization Methods; Elsevier: Amsterdam, The Netherlands, 2024; pp. 391–416. [Google Scholar]
- Liu, Y.; Huang, J.; Ou, M.; Ding, H.; Ma, Y.; Zhuo, L. Characterization of a novel cellulosic fiber from Broussonetia papyrifera L. bark for green-epoxy composite: Effect of fiber treatment. Int. J. Biol. Macromol. 2025, 311, 144020. [Google Scholar] [CrossRef] [PubMed]
- Moronuki, N.; Takada, T.; Schotten, A. Dynamic contact angle measurement on a microscopic area and application to wettability characterization of a single fiber. Langmuir 2021, 38, 72–78. [Google Scholar] [CrossRef]
















| Catalyst System | Catalytic Type | Optimal Conditions | Performance |
|---|---|---|---|
| This work | Visible Light Photocatalysis | 60 min, 20 mg/L MO, 300 W Xe lamp | 96% Degradation |
| BiOClBrI | Visible Light Photocatalysis | 180 min, 15 mg/L MO, 300 W Xe lamp | 98% Degradation |
| TiO2 | UV Light Photocatalysis | Not fully specified, partial reflux | 10% Degradation per reaction cycle |
| Porous ZnO Microflowers | Photocatalysis | 300 min, 10 ppm MO, 150 mg catalyst, pH 7 | Highest degradation in 300 min |
| UV/TiO2 System | UV Light Photocatalysis | 150 min treatment | 74.12% COD Removal, 96.79% Decolorization (120 min) |
Disclaimer/Publisher’s Note: The statements, opinions and data contained in all publications are solely those of the individual author(s) and contributor(s) and not of MDPI and/or the editor(s). MDPI and/or the editor(s) disclaim responsibility for any injury to people or property resulting from any ideas, methods, instructions or products referred to in the content. |
© 2025 by the authors. Licensee MDPI, Basel, Switzerland. This article is an open access article distributed under the terms and conditions of the Creative Commons Attribution (CC BY) license (https://creativecommons.org/licenses/by/4.0/).
Share and Cite
Gao, Y.; Xue, D.; Yan, H.; Qi, X.; Du, J.; He, S.; Xia, W.; Zhang, J. Magnetically Responsive Janus Nanoparticles with Catalytic Properties for the Treatment of Methyl Orange Wastewater. Crystals 2025, 15, 1017. https://doi.org/10.3390/cryst15121017
Gao Y, Xue D, Yan H, Qi X, Du J, He S, Xia W, Zhang J. Magnetically Responsive Janus Nanoparticles with Catalytic Properties for the Treatment of Methyl Orange Wastewater. Crystals. 2025; 15(12):1017. https://doi.org/10.3390/cryst15121017
Chicago/Turabian StyleGao, Yue, Dan Xue, Hao Yan, Xuan Qi, Jinfeng Du, Suixin He, Wei Xia, and Junfeng Zhang. 2025. "Magnetically Responsive Janus Nanoparticles with Catalytic Properties for the Treatment of Methyl Orange Wastewater" Crystals 15, no. 12: 1017. https://doi.org/10.3390/cryst15121017
APA StyleGao, Y., Xue, D., Yan, H., Qi, X., Du, J., He, S., Xia, W., & Zhang, J. (2025). Magnetically Responsive Janus Nanoparticles with Catalytic Properties for the Treatment of Methyl Orange Wastewater. Crystals, 15(12), 1017. https://doi.org/10.3390/cryst15121017

