Abstract
The thermal expansion of four alkaline-earth borates, namely Ca3B2O6 (0D), CaB2O4 (1D), Sr3B14O24 (2D) and CaB4O7 (3D), has been studied by in situ high-temperature powder X-ray diffraction (HTXRD). Strong anisotropy of thermal expansion is observed for the structures of Ca3B2O6 (0D) and CaB2O4 (1D) built up from BO3 triangles only; these borates exhibit maximal expansion perpendicular to the BO3 plane, i.e., along the direction of weaker bonding in the crystal structure. Layered Sr3B14O24 (2D) and framework CaB4O7 (3D) built up from various B–O groups expand less anisotropically. The thermal properties of the studied compounds compared to the other alkaline-earth borates are summarized depending on the selected structural characteristics like anion dimensionality, residual charge per one polyhedron (BO3 BO4), cationic size and charge, and structural complexity. For the first time, these dependencies are established as an average for both types of polyhedra (triangle and tetrahedron) occurring in the same structure at the same time. The most common trends identified from these studies are as follows: (i) melting temperature decreases with the dimensionality of the borate polyanion, and more precisely, as the residual charge per one polyhedron (triangle or tetrahedron) decreases; (ii) volumetric expansion decreases while the degree of anisotropy increases weakly when the residual charge decreases; (iii) both trends (i) and (ii) are most steady within borates built by triangles only, while borates built by both triangles and tetrahedra show more scattered values.
1. Introduction
Over the past few decades, newly discovered borates have been the focus of research due to their diversity and well-known applications; the crystal structures of borates have been described and systematized [,,,,,,,,]. The crystal chemistry of borates is diverse because boron atom orbitals can be hybridized to either an sp2 or sp3 configuration, forming BO3 or BO4-polyhedra in the same crystal structure. Recently, it has been shown [] that in the case of sp-hybridization, boron can also occur in the double coordination of oxygen, although this configuration is quite rare. Typically, BO3 and BO4 polyhedra are connected through vertices to form more complicated borate anions. Additionally, the structural diversity of borate crystal chemistry is supplemented by the edge-sharing BO4 tetrahedral units formed in high-pressure/high-temperature borates [,]. Recently, edge-sharing borate groups have also been obtained in borates at normal pressure [,]. At present, borate systems are considered to be the most promising optical materials in the UV range of nonlinear optical (NLO) materials or host phases for luminophores. Their wide practical application is due to the unique properties of borates, in particular their wide transparency range, outstanding NLO, luminescence, piezoelectricity, relatively high resistance against laser-induced damage, etc. [,,]. In recent years, a more modern application of these materials with near-zero or negative thermal expansion was suggested, that they might be used as a basis of phosphors without thermal quenching or with anti-thermal quenching of luminescence [,,,,].
Due to the increasing application of borates in optics, the thermal behavior of these materials is currently being intensively investigated. For two dozen years, the high-temperature crystal chemistry of borates has been investigated by our team [,,,]. It was shown that borates expand sharply anisotropically up to negative areas [,]. In the last decade, overall interest in thermal expansion studies has increased sharply [,,,,,].
Herein, we summarize data on the thermal expansion of alkaline-earth borates. Some phases of the same stoichiometry like 3MO:1B2O3, 2:1, 1:1, 1:2, 1:3, and 1:4 are common to most systems MO–B2O3 (M = Mg, Ca, Sr, Ba). Since the atomic radii of Ca and Sr are close to each other (Rcryst = 1.26 (Ca) and 1.4 Å (Sr) for CN = 8 []), isotypical phases are encountered. Meanwhile, the radii of magnesium (Rcryst = 0.86 Å for CN 6) and barium (Rcryst = 1.61 Å, CN 9) differ substantially.
Among Ca borates, the following compounds have been structurally characterized: Ca3B2O6 (CaO:B2O3 = 3:1) [,,,], γ-Ca2B2O5 (2:1) [,], α-Ca2B2O5 (2:1), CaB2O4 (1:1) [,,,,,,], Ca2B6O11 (2:3) [], CaB4O7 (1:2) [,,], and CaB6O10 (1:3) []. An interesting sequence of reversible-phase transitions was first described for Sr2B2O5 from thermal analysis data []. The crystal structures of Sr2B2O5 polymorphs resulting from the γ′↔β↔α’↔α reversible first-order phase transitions were studied by high-temperature single-crystal X-ray diffraction, high-temperature X-ray powder diffraction, differential scanning calorimetry (DSC), and impedance spectroscopy []. A similar sequence of reversible first-order phase transitions (γ ↔ β ↔ α) was found for Ca2B2O5 []: the γ-Ca2B2O5 low-temperature polymorph exists up to 520 °C, the β-Ca2B2O5 intermediate modification exists in the range of 520–580 °C, and the high-temperature modification α-Ca2B2O5 exists above 580 °C. All Ca2B2O5 polymorphs are structurally similar to those of Sr2B2O5.
By doping calcium borates with various lanthanides (Ln), prospective luminescent properties were obtained. The thermoluminescent properties of CaB4O7 doped with a number of lanthanide ions (Ce3+, Sm3+, Eu3+, Dy3+ and Yb3+) were studied in [,,]. Ca3(BO3)2:Eu3+ [] and Ca2B2O5:REE (REE = Eu3+, Tb3+, Dy3+) [] exhibited high photoluminescence intensity.
The thermal expansion of Mg- [], Sr- [,], Ba- and (Sr,Ba)- [] borates has been investigated, while that of Ca-borates has not been practically studied until now. The exception is the thermal expansion of γ- and α-Ca2B2O5 modifications: the polymorphic transitions of Ca2B2O5 and the crystal structure of the high-temperature polymorph were determined from powder HTXRD data at 600 °C [,]. Therefore, one of the goals of this work was to study the thermal expansion of Ca-borates and the unique triple-layered Sr-borate found recently [].
In the present paper, we intend to clarify how borate’s structure affects its thermal expansion using the example of alkaline-earth borates. For this purpose, our data on thermal expansion of four alkaline-earth borates, namely Ca3B2O6 (0D), CaB2O4 (1D), Sr3B14O24 (2D) and CaB4O7 (3D), are supplemented by the literature data and summarized. The main values of the thermal expansion tensor and the orientation of relatively crystallographic axes are reported. The parameters of the thermal expansion of Ca-borates are compared with those of other alkaline-earth metal (Mg, Sr, Ba) borates to reveal the common trends in the thermal expansion anisotropy of alkaline-earth borates. The volume of thermal expansion—depending on the B2O3 content, cation radius, and structural complexity—is considered.
2. Materials and Methods
2.1. Synthesis
Polycrystalline samples of borates Ca3B2O6, CaB2O4, CaB4O7 were obtained by solid-state reactions in air from a mixture of high-purity H3BO3 and pre-dried CaCO3 (600 °C, 3 h). The reagent mixtures were ground in an agate mortar and pressed into tablets. Synthesis was performed in air in platinum crucibles at 500–1400 °C. The thermal treatment time varied from 3 to 22 h. Synthesis of Ca3B2O6, CaB2O4 and CaB4O7 was carried out under repeated thermal treatments with a sequential increase in temperature to 1450, 1200, 950 °C, respectively.
Sr3B14O24 powder samples were synthesized by glass crystallization. A stoichiometric mixture of SrCO3 and high-purity H3BO3 that had been preliminarily calcinated at 600 °C was kept at 1250 °C for 40 min. The resulting melt was then poured onto a metal substrate. A cooled glassy sample (unground) was placed into a furnace at 780 °C for 30 min for crystallization.
2.2. Methods
2.2.1. X-ray Diffraction
The phase composition of polycrystalline samples was studied at room temperature in air in the range of 5–60° 2θ using a Rigaku MiniFlex II CuKα radiation, 30 kV/10 mA, Bragg–Brentano geometry, X-ray diffractometer.
2.2.2. Powder High-Temperature X-ray Diffraction
The thermal expansion of Ca3B2O6, CaB2O4 and CaB4O7 was studied in air via high-temperature X-ray powder diffraction (HTXRD) data collected using a Rigaku Ultima IV powder X-ray diffractometer CuKα/CoKα radiation, 40 kV/30 mA, Bragg–Brentano geometry, PSD D-Tex Ultra, equipped with a high-temperature camera. The samples were prepared from a heptane suspension on a Pt–Rh plate. Standard temperature steps of 20–40 °C were adopted.
The procedure for tensor calculations using the ThetaToTensor and RietveldToTensor 2.0 software [] was as follows: (i) unit-cell parameters at every temperature step were refined by the least-squares or Rietveld method; (ii) the temperature dependencies of the unit-cell parameters were approximated by linear and quadratic polynomial functions; (iii) using the approximation coefficients, the eigenvalues of the thermal expansion tensor and the orientation of its principal axes with respect to the crystallographic axes’ directions were determined; (iv) the three-dimensional surface and the main sections of the figure of the thermal expansion tensor were drawn. Each radius vector of this figure represents the value of the thermal expansion coefficient (TEC) α in this direction. For comparison to the tensor axes’ orientation, crystal structures were visualized using VESTA 3 [].
2.2.3. Structural Complexity Calculation
Structural complexity calculations provide theoretical estimation of the configurational contributions to the total entropies of crystalline substances []. Structural complexity parameters were calculated using the ToposPro 5.5.2.2 program package []. The formal calculations are presented in [,].
3. Results
3.1. Thermal Expansion of Ca- and Sr-Borates vs. Dimensionality of Borate Anion
Here, we present data on thermal expansion of four Ca-and Sr-borates, in which the dimensionality of borate anion increases from isolated (0D) groups via chain (1D) and layered (2D) structures up to the framework (3D). The studied borates crystallize with various symmetrical Ca3B2O6 (0D) borates with isolated BO3 triangles in a trigonal manner; CaB2O4 (1D) borates with chains of triangles are orthorhombic, and layered Sr3B14O24 (2D) and framework CaB4O7 (3D) borates are monoclinic. The temperature dependencies of the unit-cell parameters and the volume of these borates (Figure 1) were approximated by linear or quadratic polynomial functions (Table S1, see in Supplementary Materials). The calculated TECs (particularly thermal expansion tensor eigenvalues (α11, α22, α33) and their orientation with respect to the crystallographic axes) and the TECs along a, b, and c (αa, αb, and αc) are given in Table S2. Due to the symmetry in the case of trigonal crystals, the expansion in the ab plane is isotropic α11 = αa = α22 = αb (Table S2), whereas α33 = αc differs from α11. When the symmetry is reduced to monoclinic, the orientation of the α11 and α33 tensor axes is determined by the μc,3 and μa,1 angles in the monoclinic ac plane (Table S2), where μc,3 = (c∧α33) is the angle between the c axis and α33 tensor axis and μa,1 = (a∧α11) is the angle between a and α11 (Table S2). The principal axes of the thermal expansion tensor are oriented relative to the crystallographic axes using TTT and RTT software []. With an increase in temperature, the values of αV rise for each of the four borates, and the degree of anisotropy decreases for all borates except Ca3B2O6. Both tendencies are usually due to an increase in the thermal motion of atoms. Our estimation of the degree of anisotropy of thermal expansion, its interpretation, and the possible structural factors of Ca- and Sr-borates and other alkaline-earth borates are summarized below (pp. 3.2–3.3).

Figure 1.
The unit-cell parameters of Ca3B2O6, CaB2O4, Ca2B2O5, Sr3B14O24 and CaB4O7 at different temperatures. The errors are smaller than symbols.
3.2. Thermal Expansion of Alkaline-Earth Borates
Selected characteristics of thermal expansion (such as eigenvalues of the tensor, a11, a22, a33; volume TECs (aV = α11 + α22 + α33); and anisotropy parameters) for 20 alkaline-earth borates are summarized in Table 1. Thermal expansion of some of these borates has been examined by HTXRPD before [,,,,,,], supplemented by data from the present work. Here, except for the formula of the compound, its symmetry (system and space group) and the reference of the source, the volume expansion coefficient equal to the sum a11 + a22 + a33, and the degree of anisotropy thermal expansion are given. The thermal expansion coefficients are represented in images of 3D and 2D sections.
Due to the anisometry and symmetry of the crystals, it is obvious that thermal expansion is different in various directions in the crystal, with the exception of cubic crystals, which expand isotropically. To estimate the maximum degree of anisotropy in a plane in a structure, we should choose the plane of maximal anisotropy. The degree of anisotropy in a plane can be described quantitatively as ∆plane = ∑ (αmax − αmin)/(αmax + αmin) = ∑ (αmax − αmin)/2αav [,]. Here, we introduce a new volume criterion for the anisotropy of thermal expansion:
∆V = ∑ |αii − αjj|/αav = (|α11 − α22| + |α11 − α33| + |α22 − α33|)/3αV, where αV = α11 + α22 + α33.
In the case of isotropic thermal expansion in a plane and in a volume, both ∆max and ∆V are equal to zero. As the difference in the eigenvalues of tensor, αii − αjj, increases, the degrees of anisotropy, ∆plane and ∆V, rise as well.

Table 1.
Main characteristics of the thermal expansion of alkaline-earth borates.
Table 1.
Main characteristics of the thermal expansion of alkaline-earth borates.
Chemical Formula | System, Space Group | nΔ:m□ Ratio * | T, °C | α × 106 °C−1 | ∆plane | ∆V | Refs. | |||
---|---|---|---|---|---|---|---|---|---|---|
α11 | α22 | α33 | αV | |||||||
Isolated BO Groups (0D) | ||||||||||
Isolated BO3 (−3) ** | ||||||||||
Mg3B2O6 | Orth., Pnmn | 2Δ | 25 | 13 | 9 | 8 | 30 | 0.24 | 0.33 | [] |
1100 | 20 | 13 | 13 | 46 | 0.21 | 0.30 | ||||
Ca3B2O6 | Trigon., R-3c | 2Δ | 25 | 8 | 8 | 27 | 43 | 0.54 | 0.88 | *** |
900 | 9 | 9 | 38 | 57 | 0.62 | 1.04 | ||||
Sr3B2O6 | Trigon., R-3c | 2Δ | 25 | 5 | 5 | 34 | 45 | 0.74 | 1.32 | [] |
900 | 5 | 5 | 39 | 48 | 0.77 | 1.39 | ||||
Ba3Sr3B4O12 | Tetragon., I4/mcm | 4Δ | 100 | 12 | =α11 | 18 | 43 | 0.20 | 0.29 | [] |
800 | 17 | 17 | 29 | 63 | 0.26 | 0.38 | ||||
Average | ⟨47⟩4 | 0.45 | 0.74 | |||||||
Isolated mixed BO3 and B2O5 pyrogroups (−2.5) | ||||||||||
Ba5B4O11 | Orth., | 12Δ | 100 | 10 | 15 | 13 | 38 | 0.20 | 0.26 | [] |
P212121 | 800 | 15 | 13 | 27 | 55 | 0.35 | 0.51 | |||
Ba2Sr3B4O11 | Monocl., | 5Δ | 100 | 3 | 6 | 34 | 43 | 0.84 | 1.44 | [] |
C2/c | 800 | 5 | 6 | 51 | 62 | 0.82 | 1.48 | |||
Average | ⟨49.5⟩2 | 0.55 | 0.92 | |||||||
Isolated B2O5 pyrogroups (−2) | ||||||||||
γ-Ca2B2O5 | Monocl., P21/c | 2Δ | 25 | 19 | 7 | −1 | 25 | 1.11 | 1.6 | [] |
500 | 27 | 7 | 3 | 37 | 0.80 | 1.3 | ||||
α-Ca2B2O5 | Monocl., | 2Δ | 600 | 31 | 7 | −5 | 33 | 1.38 | 2.18 | [] |
P21/c | 900 | 33 | 7 | 2 | 42 | 0.89 | 1.48 | |||
γ-Sr2B2O5 | Monocl., P21/c | 2Δ | 25 | 20 | 7 | 1 | 28 | 0.90 | 1.36 | [] |
α-Sr2B2O5 | Monocl., P21/c | 2Δ | 828 | 32 | 3 | 4 | 39 | 0.83 | 1.49 | |
Average | ⟨34⟩4 | 0.96 | 1.5 | |||||||
Isolated cyclic (triborate) groups from BO3 (−1) | ||||||||||
α-BaB2O4 | Hex., R-3c | 3Δ | 20–700 | 6 | 6 | 28 | 40 | 0.65 | 1.1 | [] |
β-BaB2O4 | Trigon., R3c | 6Δ | 20–700 | 3 | 3 | 45 | 51 | 0.88 | 1.65 | [] |
Average | ⟨46⟩2 | 0.77 | 1.37 | |||||||
1D Borates (−1) | ||||||||||
CaB2O4 | Orth., Pnca | 1Δ | 25 | 22 | 6 | 1 | 28 | 0.91 | 1.45 | ** |
900 | 33 | 6 | 6 | 45 | 0.69 | 1.2 | ||||
SrB2O4 | Orth., Pbcn | 1Δ | 25 | 4 | 4 | 32 | 39 | 0.78 | 1.4 | [] |
900 | 4 | 4 | 35 | 43 | 0.79 | 1.44 | ||||
Average | ⟨39⟩2 | 0.79 | 1.37 | |||||||
Layered 2D Borates (−0.43) | ||||||||||
Sr3B14O24 | Monocl., | 8Δ:6□ | 30 | 2 | 11 | 14 | 27 | 0.75 | 0.8 | ** |
P21/c | 800 | 11 | 10 | 13 | 33 | 0.12 | 0.2 | |||
Average | ⟨30⟩ | 0.44 | 0.57 | |||||||
3D Borates | ||||||||||
−0.5 | ||||||||||
α-CaB4O7 | Monocl., P21/n | 4Δ:4□ | 25 | 8 | 8 | 3 | 19 | 0.45 | 0.53 | ** |
900 | 13 | 9 | 6 | 28 | 0.37 | 0.5 | ||||
SrB4O7 | Orth., Pmn21 | 4□ | 25–900 | 7 | 9 | 8 | 24 | 0.13 | 0.17 | [] |
BaB4O7 | Monocl., P21/c | 4Δ:4□ | 20–700 | 23 | −12 | 5 | 16 | 3.18 | 4.38 | [] |
Average | ⟨21⟩3 | 1.24 | 1.69 | |||||||
−0.25 | ||||||||||
SrB8O13 | Monocl., P21/c | 12Δ:4□ | 25 | 21 | 9.6 | 3.9 | 34 | 0.69 | 1.00 | [] |
740 | 20 | 9.6 | 7.3 | 37 | 0.47 | 0.69 | ||||
LT-BaB8O13 | Orth., P22121 | 12Δ:4□ | 100–400 | 6.9 | 11 | −0.5 | 17 | 1.1 | 1.32 | [] |
500 | 9.4 | 11.5 | −1.7 | 19.1 | 1.35 | 1.38 | ||||
Average | ⟨27⟩2 | 0.9 | 1.09 |
*—The number of triangles and tetrahedra in the nΔ:m□ ratio is taken from FBB; **—residual charge per polyhedron (BO3/BO4); ***—present work.
3.2.1. Anisotropy of Thermal Expansion vs. Dimensionality of Borate Anions
Anion dimensionality (0D, 1D, 2D, 3D): The borates in the MO–B2O3 systems in which M is an alkaline-earth metal were assigned to the following groups according to the dimensionality of the B–O–polyanion (Table 1): zero-dimensional (0D), chain or one-dimensional (1D), layered or two-dimensional (2D), and framework or three-dimensional (3D). Zero-dimensional borates can additionally be divided into subgroups as the polymerization degree of BO3 and BO4 polyhedra increases in B–O polyanions. The dimensionality of BO-polyanions or the degree of polymerization depends highly on chemical composition []; it increases as the boron oxide content increases. The reason for this trend is evident: the higher the degree of polymerization, the lower the residual charge per the boron–oxygen coordination polyhedron Z [,].
Degree of polymerization/residual charge per an averaged boron–oxygen polyhedron Z: Although OD borates (Table 1) occur in MO–B2O3 systems over a wide range (0–50 mol.% B2O3), as the content of B2O3 increases, the degree of polymerization increases gradually [,] from an isolated single [BO3] triangle (a simple group with the greatest residual charge equal to −3) through to an isolated mixed anion (BO3 + B2O5) (a triangle and a pyrogroup of two triangles condensed by an oxygen atom in a ratio of 2:1 ( is −2.5)), to a group (B2O5) of two condensed triangles (−2), and finally to a B3O6 cyclic (triborate) group of three triangles (−1). It is noteworthy that these isolated anion groups are built up from boron atoms in triangular coordination only. Chains of 1D borates (1:1 stoichiometry, 50 mol.% B2O3) are also composed of boron triangles only. With a further increase in anion polymerization (or a decrease in Z residual charge per polyhedron), BO4 tetrahedra appear in borate anions, forming 3D borates with 1:2 stoichiometry (66.7 mol.% B2O3), such as MgB4O7 ([] (# 34397-ICSD []), CaB4O7 [,,], SrB4O7 [], and BaB4O7 []. These crystal structures are built up by both triangles and tetrahedra, except the SrB4O7 structure, which is composed of tetrahedra only. Among anhydrous borates of alkaline-earth metals, there exist only Sr3B14O24 layered borates with 3:7 stoichiometry (70 mol.% B2O3) [], located within a compositional range of 3D borates that is not normal but not unusual. A similar situation was observed in alkali borate systems, where 2D borates are located within the “3D borates range” of composition; examples include α-Na2B4O7 (# 2040-ICSD []), Rb3B7O12 (# 76344-ICSD), Cs3B7O12 (# 98582-ICSD), Cs3B13O21 (# 95728-ICSD), etc. It should be noted that the listed 2D borates can be considered a pseudo-framework; their layer thickness is usually large, the anion consists of several B–O groups, and all oxygen atoms are bridging. This somewhat contradicts the general principle of dimensional reduction [], according to which the increasing content of the ’ionic’ MO component in the systems is associated with a gradual decrease in the dimensionality of anions. This phenomenon may be due to the so-called “boron anomaly” found for predominantly anhydrous alkali and alkaline-earth borate crystals and glasses by J. Krogh-Moe in the 1960s, as described by Wright [,]. It was stated that the number of tetrahedrally coordinated boron atoms increases as the non-boron metal content increases up to MO:2B2O3, the greatest amount of tetrahedra (2□:2∆ = 1) being observed in the MO:2B2O3 oxide ratio. Then, the number of tetrahedra decreases as the MO content increases further. As seen in Table 1, within the compositional ranges of 0D and 1D borates (B2O3 content ≤ 50 mol.%), borate anions are built up from triangles only, and tetrahedra appear in 2D and 3D borates (B2O3 content > 50 mol.%).
Anisotropy of thermal expansion: Borates often exhibit sharply anisotropic thermal expansion [,]. This anisotropy is primarily determined by the distribution of the sharply anisotropic thermal oscillations of atoms. In the BO3 triangles, dimers or cyclic triborate groups (comprising triangles only), the maximal exes of ellipsoids of thermal displacements of atoms and the maximal thermal expansion of structure occur perpendicular to the plane of a triangle or a ring, whereas the minimal expansion is parallel to the BO3 plane [].
Strong bonds inside boron–oxygen groups and the ability of these groups to rotate with respect to each other around the common oxygen atoms ensure the plastic thermal behavior of borate crystals. As a result, most borates demonstrate greatly anisotropic thermal expansion up to negative values along certain directions. Here, steady high expansion of anisotropy, estimated as ∆plane and ∆V, was observed for M2B2O5 (M = Ca, Sr, Ba) (0D) and MB2O4 (M = Ca, Sr, Ba) (0D and 1D) based on BO3 triangles only. Their structures exhibit maximal expansion strongly perpendicular to the BO3 planes, i.e., along the direction of weak bonds in the crystal structure. Figure 2 shows that for the alkaline-earth borates built by BO3 triangles, anisotropy increases slightly but steadily as the residual charge per the anionic polyhedron [BO3]3− decreases down to Z = −1. A further decrease in the residual charge per anionic polyhedron ([BO3]3− and [BO4]5−) results in more scattered ∆plane and ∆V values (Figure 2).

Figure 2.
Dependence of the degree of anisotropy, ∆V (a) and ∆plane (b), on the residual charge of the polyanion, calculated per triangle/tetrahedron.
3.2.2. Thermal Expansion as a Function of Cationic and Anionic Properties
Thermal expansion is a multiparametric property, and the influence of these parameters can change with temperature. Therefore, it is important to identify their contribution to the expansion. The main characteristics of thermal expansion—magnitude and anisotropy—depend on the size, content, charge of cations, structure and charge of the polyanion, their ability to oscillate in a solid, symmetry, etc. The thermal vibrations of M atoms and those of borate groups can play an important role in thermal expansion.
Cationic properties: It has previously been shown for alkali metals borates [] that the average volume of thermal expansion (αV) increases with an increase in the cationic radius []. A similar trend is shown in Figure 3. Borates with relatively small cations exhibit the minimum thermal expansion; the mean values of αV change for alkaline-earth borates, from αV = 30 for Mg to 36 × 10−6 C−1 for Ba. An increase in αV is observed with an increase in the cationic radius. This trend is caused by the increase in both the average M–O bonds and the coordination number (CN) in MOn polyhedrons from M = Mg (n = 6) to Ba (n = 8–9). Earlier, Hazen et al. [,] showed that bond lengths with a higher degree of ionicity, such as M-O, are lengthened more than covalent bonds. Thus, the magnitude of volume expansion will mainly depend on the properties of cations.

Figure 3.
Dependence of average volume TEC (αV) of alkaline-earth borates on cation radius R (a), αV vs. B2O3 content (b), melting point (c), and αV vs. the residual charge of the polyanion calculated per polyhedron (d).
Anionic properties: The dependence of αV on B2O3 content is shown in Figure 3. With an increase in the B2O3 content in MO–B2O3 systems (M = Mg, Ca, Sr, Ba), the number of triangles and/or tetrahedra in the structure increases, which leads to their condensation and a decrease in the number of oxygen bonds with metals, thereby further weakening the weakest bonds and lowering the strength-related properties of the compounds. There is a tendency for volumetric expansion to decrease as a result of an increase in the degree of polymerization. The average volume expansion gradually decreases with a decrease in the residual charge by one polyhedron (Table 1, Figure 3).
With a decrease in the strength of the structure, its melting point and hardness, compressibility, solubility, etc., decrease. The correlations between the melting point, the volume thermal expansion, and the residual charge of borates of alkaline-earth metals are shown in Figure 3c,d. Analysis of the data for borates of alkaline-earth metals with triangular and tetrahedral radicals showed that there is a clear tendency for the melting temperature to decrease as the residual charge of the radical decreases. With equal values of Z, the melting point is practically independent of the type of the cation and the structure and degree of polymerization of radicals (either isolated cyclic groups of three triangles and chains of triangles or frameworks containing various borate groups). The volumetric thermal expansion also decreases slightly with a decrease in the residual charge per polyhedron. If we examine the effect of the residual charge on the volumetric expansion of borates built only from triangles only, we can see that the volumetric expansion decreases very slightly, but it is almost constant (Figure 3).
Structural complexity: An effective framework for assessing complexity is Shannon’s information theory [], as modified by S.V. Krivovichev for crystal structures [,,]. According to the complexity classification of crystal structures, most compounds of MO–B2O3 systems are either simple (20–100 bits/cell) or intermediate (100–500 bits/cell). The structure of Ba5(BO3)2(B2O5) is very complex (1417.65 bits/cell) (this point is not represented on the graphs due to the large difference in values). This sharp increase in the structural complexity of this barium borate is associated with content of two types of anionic group (isolated BO3 triangles and B2O5 pyroborate groups). In general, with an increase in the B2O3 content in MO–B2O3 systems (M = Mg, Ca, Sr, Ba), the complexity of the borates also increases (Figure 4).

Figure 4.
Dependence of the structural complexity parameter IG total (bits/cell) on borate composition (a) and melting point (b).
The correlation between the melting point and structural complexity of borates is shown in Figure 4. The observed decrease in the melting temperature of alkaline-earth metal borates with increasing structural complexity shows that both properties are a function of the polymerization of boron–oxygen radicals or residual charge per polyhedron. The reason for this is evident: chemical compounds with greater complexity melt or decompose at lower temperatures.
3.3. Structural Interpretation of Thermal Expansion of Borates in Earth-Alkaline Metals
Thermal vibrations of B–O groups: As has been shown before, when a group of atoms have bonds as strong as in BO3, the entire group may produce oscillations called rigid-body motion. The thermal vibrations of a group of atoms were first described as rigid-body motion by Cruickshank [], and much later, these studies were generalized by Downs []. The thermal vibrations of any atom in a group are dictated by the common motion of the group. In the case of a BO3 triangle, oxygen and boron atoms mainly oscillate perpendicular to the strong and significantly covalent B–O bonds [,]. There are three B–O bonds in the triangle plane; thus, B and three O atoms vibrate maximally and approximately perpendicular to the plane of BO3 triangles. Consequently, the triangle as a whole has to vibrate in the same direction, i.e., nearly perpendicular to the triangle plane. If a structure is based on isolated triangles in a preferred nearly parallel orientation, highly anisotropic thermal expansion is usually observed. In the case of a BO4 tetrahedron, B and O atoms also vibrate practically perpendicular to the strong B–O bonds. However, the B–O bonds of the BO4 tetrahedron are isometrically distributed in 3D space. Thus, the BO4 tetrahedron itself oscillates randomly, and its thermal motion does not significantly affect the anisotropy of the thermal expansion of the structure. In most structures containing boron atoms in a triangular coordination, BO3 triangles are arranged in a preferred orientation almost parallel to each other [] (see Figure 5 as an example). However, sometimes, this trend of self-assembly is not realized; illustrative examples are borates that are structurally similar to the anti-zeolite [] and godefroyite families []. In this case, the thermal expansion is close to isotropic. This is clearly visible, for instance, in the Sr2CaBi(REEO)3(BO3)4 borate of the godefroyite family [], where αa = 12 and αc = 13 × 10−6 C−1; meanwhile, in the Ba3Sr3B4O12 anti-zeolite, the thermal expansion is complicated by the splitting of the oxygen positions [].

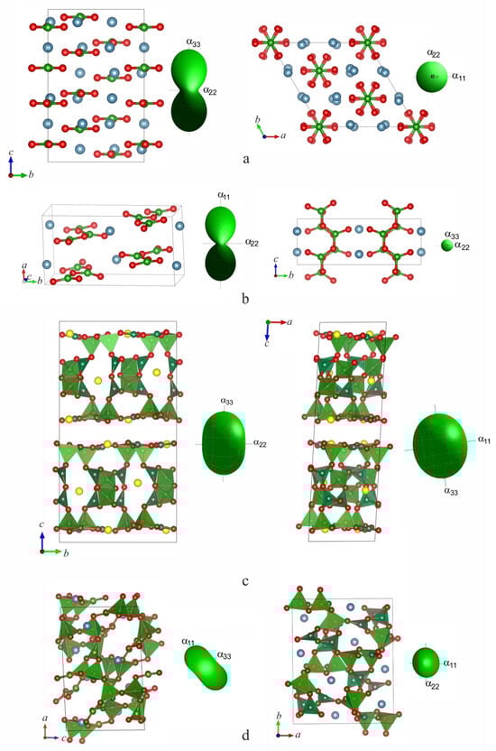
Figure 5.
Crystal structures of Ca3B2O6 (a), CaB2O4 (b) Sr3B14O24 (c) and α-CaB4O7 (d) in comparison to pole figures.
Borate rigid groups in addition to the simple polyhedra include diborate (2B), cyclic triborate (3B), tetraborate (4B), pentaborate (5B) groups, etc. [,]. These more complex units retain their configuration and can oscillate or rotate as a whole. Among alkaline-earth borates, there are 0D borates based on isolated triangles (M3B2O6), 0D borates based on pyroborate groups of two or three corner-sharing triangles (M2B2O5 and MB2O4), 1D borates built up from the chains of triangles (MB2O4), and 2D and 3D borates based on various rigid groups. An approach based on the thermal vibrations of rigid groups [,,] is applied below to explain the dramatic anisotropy of many borates.
Thermal expansion as a function of cationic properties
Borates based on isolated groups of BO3 triangles
M3B2O6 (M = Mg, Ca, Sr, (Sr,Ba)). (0D). Four phases occur in borates of this stoichiometry which contain isolated BO3 triangles. The size of the cation and its CN increase from Mg (C.N. 6, R = 0.86 Å) via Ca (C.N. 8, Rcr = 1.26 Å) and Sr (C.N. 8, Rcr = 1.4 Å) to (Sr, Ba) (C.N. 6–11, Rcr = 1.49–1.54 Å). The crystal structures of Mg-, Ca-, and Sr-borates of this stoichiometry are similar. Moreover, Ca- and Sr-borates are isotypical, while Ba3Sr3[BO3]4 is related to the “anti-zeolite” family in which isolated BO3 triangles are orientationally disordered over four and eight orientations as a result of the splitting of O sites.
Mg3B2O6 [] (ICSD-31385 []), 1B:1Δ:Δ (hereafter, notations introduced by Burns et al. [] are used). In the orthorhombic Mg3B2O6, the planes of the isolated BO3 triangles are not parallel to each other. As a result, it expands less than the other members of the group, and its anisotropy is insignificant (Table 1). This is clearly caused by short and strong Mg–O bonds in MgO6 polyhedra [].
Ca3B2O6 (ICSD-1894 []) and Sr3B2O6 (ICSD-93395 []), 1B:1Δ:Δ. In these isotypical trigonal structures, Ca3B2O6, and Sr3B2O6, isolated BO3 triangles are arranged perpendicular to the c axis (Figure 5). For this reason, high-expansion anisotropy is observed; both structures expand strongly perpendicular to the planes of the BO3 triangles (Table 1). The values of TECs are quite close (αV = 53 and 57 × 10−6 C−1 for Ca and Sr, respectively) due to the structural similarity.
Ba3Sr3(BO3)4, 4B:4Δ:Δ,Δ,Δ,Δ [] is a member of the “anti-zeolite” borate family and is structurally close to the Ba3B2O6 borate. Oxygen atoms bonded to B atoms are split; therefore, the BO3 triangles are orientationally disordered over four and eight orientations, and triangles are oriented in a non-parallel manner. In this case, it is expected that anisotropy will be weak. As expected, the thermal expansion of Ba3Sr3B4O12 is less anisotropic.
0D Borates with pyroborate groups
M5B4O11 (M = (Sr,Ba), Ba), 3B:3Δ:Δ,ΔΔ is based on isolated BO3 triangles and B2O5 pyroborate groups in a ratio of 1:2. Ba5B4O11 (# ICSD-250321) is orthorhombic CN Ba 8–10, R = 1.56–1.66 Å. The monoclinic Ba2Sr3B4O11 structure contains B2O5 pyroborate groups orientationally disordered over two sites. Thermal expansion in this group is strongly anisotropic for monoclinic Ba2Sr3B4O11 (Table 1) and less anisotropic for orthorhombic Ba5B4O11 [].
M2B2O5 (M = Ca, Sr), 2B:2Δ:ΔΔ. γ-Ca2B2O5 (ICSD-66516 []) and α-Ca2B2O5 []: as mentioned above, the structures of both modifications contain isolated B2O5 pyroborate groups composed of two corner-sharing BO3 triangles (Figure 3). Both monoclinic structures expand highly anisotropically up to compression for the γ-phase (Table 1). Thermal displacement of atoms occurs in a direction almost perpendicular to the plane of both triangles. Strong anisotropy of expansion is also caused by shear deformations in the monoclinic plane, which are sharply anisotropic in nature []. A decrease in monoclinic angle is accompanied by the most intensive expansion along the [101] direction and minimal thermal expansion including contraction along [101].
The volume expansion values of γ-, β- and α-Sr2B2O5 are close to each other and Ca2B2O5, except that of α′-Sr2B2O5. The αV value of α′-Sr2B2O5 (181 × 10−6 C−1) is unusually large. The thermal expansion of the Sr2B2O5 modifications is strongly anisotropic, even with a negative thermal expansion in some directions (Table 1). The anisotropy of all of them is similar: the maximal (α11) tensor axis is directed practically perpendicular to planes of BO3 pyroborate groups [].
0D Borates with cyclic (triborate) groups of B3O6
BaB2O4 (0D), 3B:3Δ:<3Δ> exists in two polymorphic modifications (α and β), and the transition temperature is 925 °C [,]. Both modifications are based on the same isolated groups of B3O6. Both modifications crystallize in the trigonal system, and the space groups are R3c for β-BaB2O4 (a = 12.53, c = 12.72 Å; 69319-ICSD) and R-3c for α-BaB2O4 (a = 7.235, c = 39.192 Å; 14376-ICSD). The anisotropy of expansion is dictated by the orientation of rigid 3B groups in the structure, where the expansion in the plane is minimal, and the expansion perpendicular to the plane is maximal. The comparison between both modifications shows that the nonlinear-optical β-polymorph expands more anisotropically [] than the centrosymmetric phase, α-BaB2O4 (Table 1) [], although their volumetric expansion is comparable (αV = 40 and 51 × 10−6 C−1 for α- and β-BaB2O4, respectively).
1D Borates based on chains of BO3 triangles
MB2O4 (M = Ca, Sr, Ba), 1B:Δ:Δ (1D). CaB2O4, Pnca: Ca CN 8 (ICSD-62430). The structure contains the chains of BO3 triangles along the c axis. Planes of the triangles are approximately parallel to the (001) plane (Figure 5b). The structure expands intensively along the a axis, in a direction perpendicular to the plane of borate triangles. (Table 1). Minimal expansion occurs along the boron–oxygen chains parallel to the c axis since the strongest bonds occur in this direction.
The structures of CaB2O4 and SrB2O4, Pbcn (203226-ICSD) borates are similar. These borates contain chains of BO3 triangles; therefore, the nature of their thermal expansion is similar. Thus, an expected anisotropy of thermal expansion is observed: the structure also expands maximally in the direction perpendicular to the plane of [BO3] triangles (αa and αb << αc (Table 1) [].
2D and 3D Borates
Borates of 2D and 3D dimensionality are built up from different groups connected via vertices—single-triborate (3B), multi-triborate (double-tetraborate (4B), and pentaboratea (5B) groups).
Sr3B14O24 (2D), 14B 8Δ6□:[B14O30]:<2Δ□><2Δ□>=<2Δ2□><2Δ□>□ΔΔ□ (ICSD-136651 []). The thick complex layer of the structure (Figure 5c) is composed of two [B4O10] units and a [B4O9] double ring connected via two triangles [BO3] forming a polyanion [B14O30] []. The anisotropic expansion is typical of layered structures, with maximal expansion perpendicular to the ab layer plane. Half of the triangles (four of eight) are arranged almost parallel to the plane of the layer.
MB4O7 (M = Ca, Sr, Ba) (3D)
α-CaB4O7, 8B: 4Δ4□:<Δ2□>=<Δ2□>□<2Δ□>, monocl., P21/n, CN Ca 7, 8 (ICSD-200081 []). The crystal structure (Figure 5d) is characterized by a boron–oxygen polyanion consisting of four crystallographically independent BO3 triangles and four BO4 tetrahedra []. The eight triangles and tetrahedra form a repeated [B8O14]4− unit, which consists of three B–O-groups linked via common vertices—a single tetrahedron, single 3B ring composed of two triangles and a tetrahedron, and a 4B double ring in which two 3B rings from two tetrahedra and a triangle are condensed via two tetrahedra. The Ca atoms are in seven- and eight-vertex polyhedra of oxygen atoms. The maximal direction of thermal expansion in the structure (α11 = 8 × 10−6 °C−1) coincides with an acute angle bisector of the ac parallelogram, and the minimum expansion occurs in the other diagonal direction (Figure 5d, left). The structure expands along the b axis less intensely: α22 = αb = 8 × 10−6 °C−1. Such sharp anisotropic behavior could be explained by the shear deformation of the monoclinic plane [,]. The reason for such anisotropy of expansion is the arrangement of the 3B and 4B groups. The planes of these groups are located along the b axis and are almost perpendicular to the bisector of the acute angle.
SrB4O7, 4B:4□: [φ] <3□>|□| (3D) (ICSD-27404) has almost isotropic thermal expansion. This structure is composed of BO4 tetrahedra only. Moreover, it contains the units built by three tetrahedra sharing one common oxygen atom, which is presumably responsible for the isotropic thermal expansion [].
BaB4O7, 8B: 4Δ4□:<Δ2□><2Δ□>–<Δ2□>, is monoclinic, P21/c []. The framework consists of <Δ2□> 3B and <2Δ□>–<Δ2□> 5B groups composed of two single 3B rings; in the cavity of the framework, there are two nonequivalent barium atoms. The thermal expansion of the BaB4O7 borate is the largest among anisotropic alkaline-earth borates; the expansion is maximal in the ac monoclinic plane, whereas the contraction occurs along the b axis. The anisotropy of deformations of the ac monoclinic plane is caused by the considerable change in the angle β and the related shear deformations as well as the arrangement of the 5B groups. As discussed before [,,], in the case of structures with 5B groups, the internal oxygen and boron atoms of both single rings vibrate perpendicular to the planes of these rings, while the group as a whole oscillates relative to the axis of the 5B group—the line drawn parallel to the plane of both rings. The maximum expansion occurs perpendicular to the axis of the group, and the minimal expansion is along the axis of group. A similar form of thermal expansion is typical of hydrous and anhydrous alkali pentaborates of 0D, 1D, 2D, and 3D dimensionality [,].
It is reasonable to conclude that the 5B groups are arranged in parallel, and in this α33 direction, the structure expands weakly in comparison to the α11 direction in the ac plane []. The thermal contraction of the structure along the b axis can be associated with the displacement of the Ba atoms so that the B–O framework is adapted to the displacement of cations due to the rotation of the B–O groupings according to the hinge mechanism.
MB8O13 (M = Sr, Ba) (3D)
Sr2B16O26, 16B: 12Δ4□:2(<2Δ□><2Δ□>–<2Δ□>) []. There are two independent Sr atoms, 16 B atoms, and 26 O atoms in asymmetrical unit. Each of two penetrating frameworks consists of two [B3O5]5− 3B rings (two triangles and a tetrahedron) and two [B5O8]5− 5B groups (two triborate rings sharing a common tetrahedron). The direction of the maximal thermal expansion is close to the c axis and close to the axis of one of the 5B groups. There are a few reasons for this. First of all, planes of both 3B rings are practically perpendicular to the c axis; another explanation could be the shear character of deformations due to the change in the monoclinic β angle not fixed by symmetry, as noted in [].
Low-temperature BaB8O13 polymorph, 16B: 12Δ4□:<2Δ□>–<2Δ□><2Δ□><2Δ□><2Δ□>ΔΔ []. The crystal structure is based on the heteropolyhedral framework comprised of vertex-sharing [B5O10] 5Bgroups, three [B3O7] 3Bgroups and [B2O5] 2Bgroup. In the fundamental building block of the heteropolyhedral borate framework, the [B2O5]-diborate and 5Bgroups are connected exclusively by triborate groups via common oxygens. The thermal expansion of the BaB8O13 borate is strongly anisotropic with anisotropy increasing with temperature (Table 1). The crystal structure shrinks along [001] over the studied temperature range (30–680 °C).
4. Conclusions
The thermal expansion of four alkaline-earth borates, Ca3B2O6, CaB2O4, Sr3B14O24 and CaB4O7, was investigated by in situ powder HTXRD. A comparative analysis of their thermal expansion with the data on the other alkaline-earth borates showed that most of them expand sharply anisotropically.
As can be expected, the strongest anisotropy of thermal expansion was observed for the 0D and 1D structures based on BO3 triangles only from the 0–50 mol.% B2O3 range of composition. These borates expand most intensively perpendicular to the BO3 plane, i.e., along the direction of weaker bonding in the crystal structure. Such a form of expansion is caused by the minimal thermal atomic vibration within the plane of the triangle and the maximal vibration in the perpendicular direction. The borates built by complex rigid groups expand dramatically anisotropically when the complex units contain more triangles than tetrahedra or their quantities are comparable. In contrast, SrB4O7, composed of tetrahedra only, demonstrates almost isotropic thermal expansion due to the random distribution of the rigid B–O bonds in the crystal structure [,,]; moreover, there is weak anisotropy in layered Sr3B14O24 and in a few borates in which BO3 planes are depicted not in parallel and the amount of BO3 is not significant.
Our analysis showed that ∆plane can serve as an optimal quantitative estimation of the degree of anisotropy of thermal expansion. Both ∆plane and ∆V gave similar results. Thus, in order to estimate the degree of anisotropy, it is generally enough to estimate the anisotropy of the most anisotropic plane, ∆plane.
The most common trends in the thermal expansion of alkaline-earth borates emerged from the correlations of thermal properties like volume thermal expansion, degree of anisotropy, dimensionality of B–O anion, residual charge per one polyhedron (BO3/BO4), cationic size, and structural complexity. First, we can conclude that sharp anisotropy is caused by the strong bonding within the triangle plane; melting temperatures and volume expansion decrease as the dimensionality of the borate polyanion (and, more precisely, the residual charge) decreases. The structural complexity increases and the melting point values decrease with the increase in B2O3 content, i.e., with the increase in the degree of polymerization. The most steady trends were found for borates based on BO3 triangles only.
Supplementary Materials
The following supporting information can be downloaded at: https://www.mdpi.com/article/10.3390/cryst14070600/s1, Table S1: Temperature dependences of the unit-cell parameters for Ca-borates and Sr3B14O24 approximated by linear and quadratic polynomial functions a0 + a1 × 10−3 t + a2 × 10−6 t2; Table S2: Thermal expansion coefficients for Ca-borates and Sr3B14O24.
Author Contributions
Writing—original draft, R.B., V.Y. and M.K.; Writing—review and editing, R.B., V.Y. and M.K.; investigation, V.Y., M.K. and G.S.; project administration, R.B., V.Y. and M.K.; data curation, R.B., V.Y., M.K. and S.F.; visualization, V.Y. and G.S.; supervision, S.F. All authors have read and agreed to the published version of the manuscript.
Funding
This work was supported by the Ministry of Science and Higher Education of the Russian Federation within the scientific tasks of the Institute of Silicate Chemistry (Russian Academy of Sciences) [project number 1023033000085-7-1.4.3] (synthesis), and the Russian Science Foundation [grant number 22-13-00317] (data evaluation and generalization, XRD).
Data Availability Statement
The original contributions presented in the study are included in the article, further inquiries can be directed to the corresponding author.
Acknowledgments
The X-ray diffraction experiments were performed at The Centre for X-ray Diffraction Studies (Saint Petersburg State University).
Conflicts of Interest
The authors declare no conflicts of interest.
References
- Hawthorne, F.C.; Burns, P.C.; Grice, J.D. The crystal chemistry of boron. Rev. Mineral. 1996, 33, 41–116. [Google Scholar]
- Strunz, H. Classification of borate minerals. Eur. J. Mineral. 1997, 9, 225–232. [Google Scholar] [CrossRef]
- Becker, P. A contribution to borate crystal chemistry: Rules for the occurrence of polyborate anion types. Z. Kristallogr. Cryst. Mater. 2001, 216, 523–533. [Google Scholar] [CrossRef]
- Touboul, M.; Penin, N.; Nowogrocki, G. Borates: A Survey of Main Trends Concerning Crystal-Chemistry, Polymorphism and Dehydration Process of Alkaline and Pseudo-Alkaline Borates. Solid State Sci. 2003, 5, 1327–1342. [Google Scholar] [CrossRef]
- Yuan, G.; Xue, D. Crystal chemistry of borates: The classification and algebraic description by topological type of fundamental building blocks. Acta Crystallogr. 2007, 63, 353–362. [Google Scholar] [CrossRef] [PubMed]
- Bubnova, R.S.; Filatov, S.K. High-Temperature Crystal Chemistry Borates and Borosilicates; Nauka: St. Petersburg, Russia, 2008. [Google Scholar]
- Huppertz, H.; Keszler, D.A. Borates: Solid-State Chemistry. Encycl. Inorg. Bioinorg. Chem. 2014, 1–12. [Google Scholar] [CrossRef]
- Mutailipu, M.; Poeppelmeier, K.R.; Pan, S.L. Borates: A rich source for optical materials. Chem. Rev. 2021, 121, 1130–1202. [Google Scholar] [CrossRef] [PubMed]
- Huang, C.; Mutailipu, M.; Zhang, F.; Griffith, K.J.; Hu, C.; Yang, Z.; Griffin, J.M.; Poeppelmeier, K.R.; Pan, S. Expanding the chemistry of borates with functional [BO2]− anions. Nat. Commun. 2021, 12, 2597. [Google Scholar] [CrossRef]
- Huppertz, H.; Eltz, B. Multianvil High-pressure synthesis of Dy4B6O15: The first oxoborate with edge-sharing BO4 tetrahedra. J. Am. Chem. Soc. 2002, 124, 9376–9377. [Google Scholar] [CrossRef]
- Shifeng, J.; Gemei, C.; Wanyan, W.; Meng, H.; Shunchong, W.; Xiaolong, C. Stable oxoborate with edge-sharing BO4 tetrahedra synthesized under ambient pressure. Angew. Chem. Int. 2010, 49, 4967–4970. [Google Scholar]
- Wu, Y.; Yao, J.Y.; Zhang, J.X.; Fu, P.Z.; Wu, Y.C. Potassium zinc borate, KZnB3O6. Acta Crystallogr. Sect. E 2010, 66, i45. [Google Scholar] [CrossRef] [PubMed]
- Becker, P. Borate materials in nonlinear optics. Adv. Mater. 1998, 10, 979–992. [Google Scholar] [CrossRef]
- Chen, C.; Sasaki, T.; Li, R.; Wu, Z.; Lin, Z.; Mori, Y.; Hu, Z.; Wang, J.; Uda, S.; Yoshimura, M.; et al. Nonlinear Optical Borate Crystals, Principles and Applications; Wiley-VCH: Weinheim, Germany, 2012. [Google Scholar]
- Ge, X.; Mao, Y.; Liu, X.; Cheng, Y.; Yuan, B.; Chao, M.; Liang, E. Negative thermal expansion and broad band photoluminescence in a novel material of ZrScMo 2VO 12. Sci. Rep. 2016, 6, 24832. [Google Scholar] [PubMed]
- Kim, Y.H.; Arunkumar, P.; Kim, B.Y.; Unithrattil, S.; Kim, E.; Moon, S.; Hyun, J.Y.; Kim, K.H.; Lee, D.; Lee, J.; et al. A zero-thermalquenching phosphor. Nat. Mater. 2017, 16, 543–550. [Google Scholar] [CrossRef] [PubMed]
- Dang, P.; Li, G.; Yun, X.; Zhang, Q.; Liu, D.; Lian, H.; Shang, M.; Lin, J. Thermally stable and highly efficient red-emitting Eu3+-doped Cs3GdGe3O9 phosphors for WLEDs: Non-concentration quenching and negative thermal expansion. Light Sci. Appl. 2021, 10, 29. [Google Scholar] [CrossRef] [PubMed]
- Zhou, L.; Wang, W.; Xu, D.; Wang, Z.; Yi, Z.; Wang, M.; Lu, Z. Anti-thermal quenching of Eu3+ luminescence in negative thermal expansion Zr(WO4)2. Ceram. Int. 2021, 47, 34820–34827. [Google Scholar] [CrossRef]
- Takenaka, K. Progress of research in negative thermal expansion materials: Paradigm shift in the control of thermal expansion. Front. Chem. 2018, 6, 267. [Google Scholar] [CrossRef] [PubMed]
- Filatov, S.K.; Bubnova, R.S. Borate Crystal Chemistry. Phys. Chem. Glas. 2000, 41, 216–224. [Google Scholar]
- Bubnova, R.S.; Filatov, S.K. High-Temperature borate crystal chemistry. Z. Kristallogr. Cryst. Mater. 2013, 228, 395–413. [Google Scholar] [CrossRef]
- Filatov, S.K.; Bubnova, R.S. Atomic nature of the high anisotropy of borate thermal expansion. Phys. Chem. Glas.-Eur. J. Glass Sci. Technol. Part B 2015, 56, 24–35. [Google Scholar] [CrossRef]
- Bubnova, R.; Volkov, S.; Albert, B.; Filatov, S. Borates—Crystal Structures of Prospective Nonlinear Optical Materials: High Anisotropy of the Thermal Expansion Caused by Anharmonic Atomic Vibrations. Crystals 2017, 7, 93. [Google Scholar] [CrossRef]
- Bubnova, R.S.; Filatov, S.K. Strong anisotropic thermal expansion in borates. Phys. Stat. Sol. 2008, 245, 2469–2476. [Google Scholar] [CrossRef]
- Yao, W.; Jianf, X.; Huang, R.; Li, W.; Huang, C.; Lin, Z.; Li, L.; Chen, C. Area negative thermal expansion in a beryllium borate LiBeBO3 with edge sharing tetrahedra. Chem. Commun. 2014, 50, 13499–13501. [Google Scholar] [CrossRef] [PubMed]
- Lou, Y.; Li, D.; Li, Z.; Jin, S.; Chen, X. Unidirectional thermal expansion in edge-sharing BO4 tetrahedra contained KZnB3O6. Sci. Rep. 2015, 5, 10996. [Google Scholar] [CrossRef] [PubMed]
- Jiang, X.; Molokeev, M.S.; Li, W.; Wu, S.; Lin, Z.; Wu, Y.; Chen, C. The mechanism of the area negative thermal expansion in KBe2BO3F2 family crystals: A first-principles study. J. Appl. Phys. 2016, 119, 055901. [Google Scholar]
- Mutailipu, M.; Zhang, M.; Li, H.; Fan, X.; Yang, Z.; Jin, S.; Wang, G.; Pan, S. Li4Na2CsB7O14: A new edge-sharing [BO4]5− tetrahedra containing borate with high anisotropic thermal expansion. Chem. Commun. 2019, 55, 1295–1298. [Google Scholar] [CrossRef]
- Sagatov, N.E.; Gavryushkin, P.N.; Bekker, T.B.; Litasovde, K.D. Ba3(BO3)2: The first example of dynamic disorder in a borate crystal. Phys. Chem. Chem. Phys. 2022, 24, 16437–16441. [Google Scholar] [CrossRef]
- Volkov, S.N.; Charkin, D.O.; Firsova, V.A.; Aksenov, S.M.; Bubnova, R.S. Gram–Charlier approach for anharmonic atomic displacements in inorganic solids: A review. Crystallogr. Rev. 2023, 29, 2023. [Google Scholar] [CrossRef]
- Shannon, R.D. Revised effective ionic radii and systematic studies of interatomic distances in halides and chalcogenides. Acta Crystallogr. Sect. A 1976, 32, 751–767. [Google Scholar] [CrossRef]
- Schuckmann, W. Zur kristallstruktur des calcium-borates Ca3(BO3)2. Neues Jahrb. Mineral. Monatshefte 1969, 3, 142–144. [Google Scholar]
- Majling, J.; Figusch, V.; Hanic, F.; Wiglasz, V.; Corba, J. Crystal data and thermal expansion of tricalciumborate. Mater. Res. Bull. 1974, 9, 1379. [Google Scholar] [CrossRef]
- Vegas, A.; Cano, F.H.; Garcia-Blanco, S. The crystal structure of calcium orthoborate: A redetermination. Acta Crystallogr. Sect. B 1975, 31, 1416–1419. [Google Scholar] [CrossRef]
- Kusachi, I.; Henmi, C.; Kobayashi, S. Takedaite, a new mineral from Fuka, Okayama Prefecture, Japan. Mineral. Mag. 1995, 59, 549–552. [Google Scholar] [CrossRef]
- Hart, P.B.; Brown, C.S. The synthesis of new calcium borate compounds by hydrothermal methods. J. Inorg. Nucl. Chem. 1962, 24, 1057–1065. [Google Scholar] [CrossRef]
- Ji, Y.; Liang, J.; Xie, S.; Zhu, N.; Li, Y. Structure of 2CaO-B2O3. Acta Crystallogr. C 1993, 49, 78–79. [Google Scholar] [CrossRef]
- Shashkin, D.N.; Simonov, M.A.; Belov, N.V. Crystal structure of calciborite CaB2O4 = Ca2[BO3BO]2. Dokl. Akad. Nauk SSSR 1970, 195, 345–348. [Google Scholar]
- Shashkin, D.P.; Simonov, M.A.; Belov, N.V. X-ray diraction study of natural calcium metaborates. Sov. Phys. Crystallogr. 1971, 16, 186. [Google Scholar]
- Zachariasen, W.H. The Crystal Lattice of Calcium Metaborate, CaB2O4. Proc. Natl. Acad. Sci. USA 1931, 17, 617. [Google Scholar] [CrossRef] [PubMed][Green Version]
- Marezio, M.; Plettinger, H.A.; Zachariasen, W.H. Refinement of the calcium metaborate structure. Acta Crystallogr. 1963, 16, 390–392. [Google Scholar] [CrossRef]
- Marezio, M.; Remeika, J.P.; Dernier, P.D. The crystal structure of the high-pressure phase CaB2O4(III). Acta Crystallogr. B 1969, 25, 955–964. [Google Scholar] [CrossRef]
- Marezio, M.; Remeika, J.P.; Dernier, P.D. The crystal structure of the high-pressure phase CaB2O4(IV), and polymorphism in CaB2O4. Acta Crystallogr. B 1969, 25, 965–970. [Google Scholar] [CrossRef]
- Kirfel, A. The electron density distribution in calcium metaborate, Ca(BO2)2. Acta Crystallogr. B 1987, 43, 333–343. [Google Scholar] [CrossRef]
- Zayakina, N.V.; Brovkin, A.A. Crystal structure of Ca2B6O11. Kristallografiya 1976, 21, 502–506. [Google Scholar]
- Kindermann, B. Svnthese und kristallographische Daten von Calciumdiborat, CaB4O7. Z. Kristallogr. 1977, 146, 61–66. [Google Scholar] [CrossRef]
- Zayakina, N.V.; Brovkin, A.A. Crystal Structure of CaB4O7. Sov. Phys. Crystallogr. 1977, 22, 156. [Google Scholar]
- Huppertz, H. β-CaB4O7: A new polymorph synthesized under high-pressure/high-temperature conditions. Z. Naturforschung B 2003, 58, 257–265. [Google Scholar] [CrossRef]
- Chen, X.; Li, M.; Chang, X.; Zang, H.; Xiao, W. Synthesis and crystal structure of a new calcium borate, CaB6O10. J. Alloys Compd. 2008, 464, 332–336. [Google Scholar] [CrossRef]
- Witzmann, H.; Beulich, W. Zur Bildung wasserfrier Strontiumborate. Ein Beitrag zum Zustandsdiagramm des Systems SrO–B2O3. Z. Phys. Chem. 1964, 225, 336–341. [Google Scholar] [CrossRef]
- Volkov, S.; Dušek, M.; Bubnova, R.; Krzhizhanovskaya, M.G.; Ugolkov, V.; Obozova, V.; Filatov, S. Orientational order-disorder γ ↔ β ↔ α′ ↔ α phase transitions in Sr2B2O5 pyroborate and crystal structures of β and α phases. Acta Cryst. B 2017, 73, 1056–1067. [Google Scholar] [CrossRef]
- Yuhno, V.; Volkov, S.; Bubnova, R.; Povolotskiy, A.; Ugolkov, V. High-temperature γ ↔ β′ ↔ α phase transitions in Ca2B2O5: Thermal expansion and crystal structure of α-phase. Solid State Sci. 2020, 121, 106726. [Google Scholar]
- Fukuda, Y.; Tomita, A.; Takeuchi, N. Thermoluminescence and thermally stimulated exoelectron emission of sintered CaB4O7 doped with Pb, Eu, or Dy. Phys. Status Solidi A 1987, 99, K135–K138. [Google Scholar] [CrossRef]
- Paun, J.; Iozsa, A.; Jipa, S. Dosimetric characteristics of alkaline-earth tetraborates radiothermoluminescent detectors. Radiochem. Radioanal. Lett. 1977, 28, 411. [Google Scholar]
- Berezovskaya, I.V.; Efryushina, N.P.; Rodnyi, P.A.; Potapov, A.S.; Pirozhenko, P.V.; Dotsenko, V.P. Luminescence of Yb3+ ions in calcium tetraborate with charge transfer. Opt. Spectrosc. 2003, 95, 741–745. [Google Scholar] [CrossRef]
- Huang, H.; Feng, X.; Chen, T.; Xiong, Y.; Zhang, F. Synthesis and luminescence properties of Ca3(BO3)2: Eu3+ via two-step method. Luminescence 2018, 33, 1–6. [Google Scholar] [CrossRef] [PubMed]
- Yang, L.; Wan, Y.; Li, Y.; Pu, Y.; Haung, Y.; Chen, C.; Seo, H.J. Hydrothermal synthesis, characterization, and luminescence of Ca2B2O5:RE (RE = Eu3+, Tb3+, Dy3+) nanofibers. J. Nanoparticle Res. 2016, 18, 94. [Google Scholar] [CrossRef]
- Firsova, V.A.; Shablinskii, A.P.; Ershov, D.S.; Bubnova, R.S. Thermal Expansion of Mg3B2O6 Borate. Glass Phys. Chem. 2019, 45, 302–304. [Google Scholar] [CrossRef]
- Filatov, S.K.; Krzhizhanovskaya, M.G.; Bubnova, R.S.; Shablinskii, A.P.; Belousova, O.L.; Firsova, V.A. Thermal expansion and structural complexity of strontium borates. Struct. Chem. 2016, 27, 1663–1671. [Google Scholar] [CrossRef]
- Volkov, S.; Bubnova, R.; Povolotskiy, V.; Ugolkov, V.; Arsent’ev, M. Two novel centrosymmetric barium strontium borates with a deep-UV cut-off edge: Ba2Sr3B4O11 and Ba3Sr3B4O12. J. Solid State Chem. 2020, 281, 121023. [Google Scholar]
- Wu, C.; Chen, Z.; Chen, J.; Yang, Z.; Zhang, F.; Shi, H.; Pan, S. Sr3B14O24: A New Borate with [B14O30] Fundamental Building Block and Unwonted 2D Double Layer. Dalton Trans. 2022, 51, 618–623. [Google Scholar] [CrossRef]
- Bubnova, R.S.; Firsova, V.A.; Volkov, S.N.; Filatov, S.K. RietveldToTensor: Program for Processing Powder X-ray Diffraction Data under Variable Conditions. Glass Phys. Chem. 2018, 39, 347–350. [Google Scholar] [CrossRef]
- Momma, K.; Izumi, F. VESTA 3 for three-dimensional visualization of crystal, volumetric and morphology data. J. Appl. Crystallogr. 2011, 44, 1272–1276. [Google Scholar] [CrossRef]
- Krivovichev, S.V. Structural complexity and configurational entropy of crystals. Acta Crystallogr. Sect. B Struct. Sci. 2016, 72, 274–276. [Google Scholar] [CrossRef] [PubMed]
- Blatov, V.A.; Shevchenko, A.P.; Serezhkin, V.N. TOPOS3.2: A new version of the program package for multipurpose crystal-chemical analysis. J. Appl. Crystallogr. 2000, 33, 1193. [Google Scholar] [CrossRef]
- Krivovichev, S.V. Information-based measures of structural complexity: Application to fluorite-related structures. Struct. Chem. 2012, 23, 1045–1052. [Google Scholar] [CrossRef]
- Krivovichev, S.V. Structural complexity of minerals: Information storage and processing in the mineral world. Miner. Mag. 2013, 77, 275–326. [Google Scholar] [CrossRef]
- Volkov, S.N.; Yukhno, V.A.; Bubnova, R.S.; Aksenov, S.M.; Povolotskiy, A.V.; Charkin, D.O.; Arsent’ev, M.Y.; Ugolkov, V.L.; Krzhizhanovskaya, M.G. Resolving the Problems of the Past: Reinvestigation of the Structure of Acentric Deep UV BaB8O13 Borate. Cryst. Growth Des. 2022, 22, 6267–6274. [Google Scholar] [CrossRef]
- Filatov, S.K. Vysokotemperaturnaya Kristallokhimiya (High Temperature Crystal Chemistry); Nedra: Leningrad, Russia, 1990. [Google Scholar]
- Filatov, S.K. Negative linear thermal expansion of oblique-angle (monoclinic and triclinic) crystals as a common case. Phys. Status Solidi B 2008, 245, 2490–2496. [Google Scholar] [CrossRef]
- Tulsky, E.G.; Long, J.R. Dimensional reduction: A practical formalism for manipulating solid structures. Chem. Mater. 2001, 13, 1149–1166. [Google Scholar] [CrossRef]
- Bartl, H.; Schuckmann, W. Zur Struktur des Magnesiumdiborats, MgO(B2O3)2. Neues Jahrb. Mineral. Monatshefte 1966, 142–148. [Google Scholar]
- Inorganic Crystal Structure Database (ICSD); National Institute of Standards and Technology: Gaithersburg, MD, USA, 2020.
- Perloff, A.; Block, S. The crystal structure of the strontium and lead tetraborates, SrO(B2O3)2 and PbO(B2O3)2. Acta Crystallogr. 1966, 20, 274–279. [Google Scholar] [CrossRef]
- Block, S.; Perloff, A. The Crystal Structure of Barium Tetraborate, BaO·2B2O3. Acta Cryst. Sect. B Struct. Crystallogr. Cryst. Chem. 1964, 19, 297–298. [Google Scholar] [CrossRef]
- Wright, A.C. Borate structures: Crystalline and vitreous. Glass Phys. Chem. 2010, 51, 1–39. [Google Scholar]
- Krogh-Moe, J. Interpretation of the infra-red spectra of boron oxide and alkali borate glasses. Phys. Chem. Glas. 1965, 6, 46–54. [Google Scholar]
- Hazen, R.M.; Finger, L.W. Comparative Crystal Chemistry: Temperature, Pressure, Composition and Variation of the Crystal Structure; Wiley Online Library: London, UK, 1982; p. 231. [Google Scholar]
- Hazen, R.M.; Downs, R.T.; Prewitt, C.T. Principles of comparative crystal chemistry. Rev. Mineral. 2000, 41, 1–33. [Google Scholar] [CrossRef]
- Shannon, C.E.; Weaver, W. The Mathematical Theory of Communication, by C.E. Shannon (and Recent Contributions to the Mathematical Theory of Communication); University of Illinois Press: Urbana, IL, USA, 1949. [Google Scholar]
- Cruickshank, D.W.J. Errors in bond lengths due to rotational oscillations of molecules. Acta Crystallogr. 1956, 9, 757–758. [Google Scholar] [CrossRef]
- Downs, R.T. Analysis of harmonic displacement factors. Rev. Mineral. 2000, 41, 61–87. [Google Scholar] [CrossRef]
- Bubnova, R.S.; Filatov, S.K. Self-assembly and high anisotropy thermal expansion of compounds consisting of TO3 triangular radicals. Struct. Chem. 2016, 27, 1647–1662. [Google Scholar] [CrossRef]
- Bubnova, R.S.; Shablinskii, A.P.; Stefanovich, S.Y.; Arsent’ev, M.Y.; Krzhizhanovskaya, M.G.; Lazoryak, B.I.; Ugolkov, V.L.; Filatov, S.K. Expanding gaudefroyite family to Sr2MBi(REEO)3(BO3)4 (M = Ca, Sr, Ba; REE = Y, Eu) borates with large second harmonic generation responses. Ceram. Int. 2023, 49, 15082–15090. [Google Scholar] [CrossRef]
- Berger, S.V. The crystal structure of the isomorphous orthoborates of cobalt and magnesium. Acta Chem. Scand. 1949, 3, 660–675. [Google Scholar] [CrossRef]
- Burns, P.S.; Grice, J.D.; Hawthorne, F.C. Borate minerals. I. Polyhedral clusters and Fundamental Building Blocks. Can. Mineral. 1995, 33, 1131–1151. [Google Scholar]
- Itoh, K.; Marumo, F.; Ohgaki, M.; Tanaka, K. Structure refinement of β-BaB2O4. Rep. Res. Lab. Eng. Mater. Tokyo Inst. Technol. 1990, 15, 1–12. [Google Scholar]
- Tang, Z.; Chen, X.A.; Li, M. Synthesis and crystal structure of a new strontium borate, Sr2B16O26. Solid State Sci. 2008, 10, 894–900. [Google Scholar] [CrossRef]
Disclaimer/Publisher’s Note: The statements, opinions and data contained in all publications are solely those of the individual author(s) and contributor(s) and not of MDPI and/or the editor(s). MDPI and/or the editor(s) disclaim responsibility for any injury to people or property resulting from any ideas, methods, instructions or products referred to in the content. |
© 2024 by the authors. Licensee MDPI, Basel, Switzerland. This article is an open access article distributed under the terms and conditions of the Creative Commons Attribution (CC BY) license (https://creativecommons.org/licenses/by/4.0/).