Impact of Temperature on Seebeck Coefficient of Nodal Line Semimetal in Molecular Conductor
Abstract
1. Introduction
2. Formulation
2.1. Model
2.2. Dirac Points and DOS
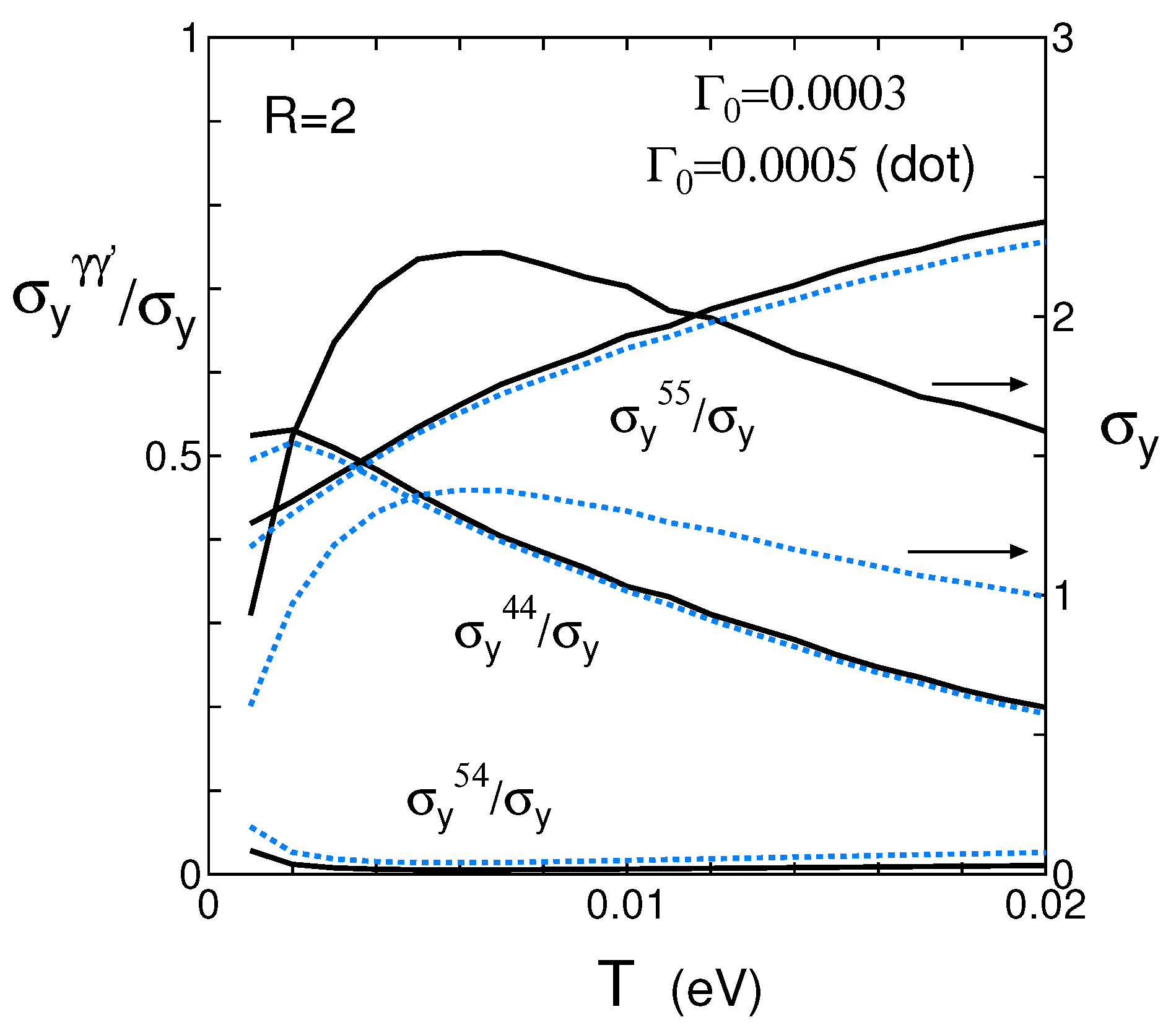
2.3. Electric Transport
3. Electronic States
3.1. Energy Band
3.2. Nodal Line and DOS
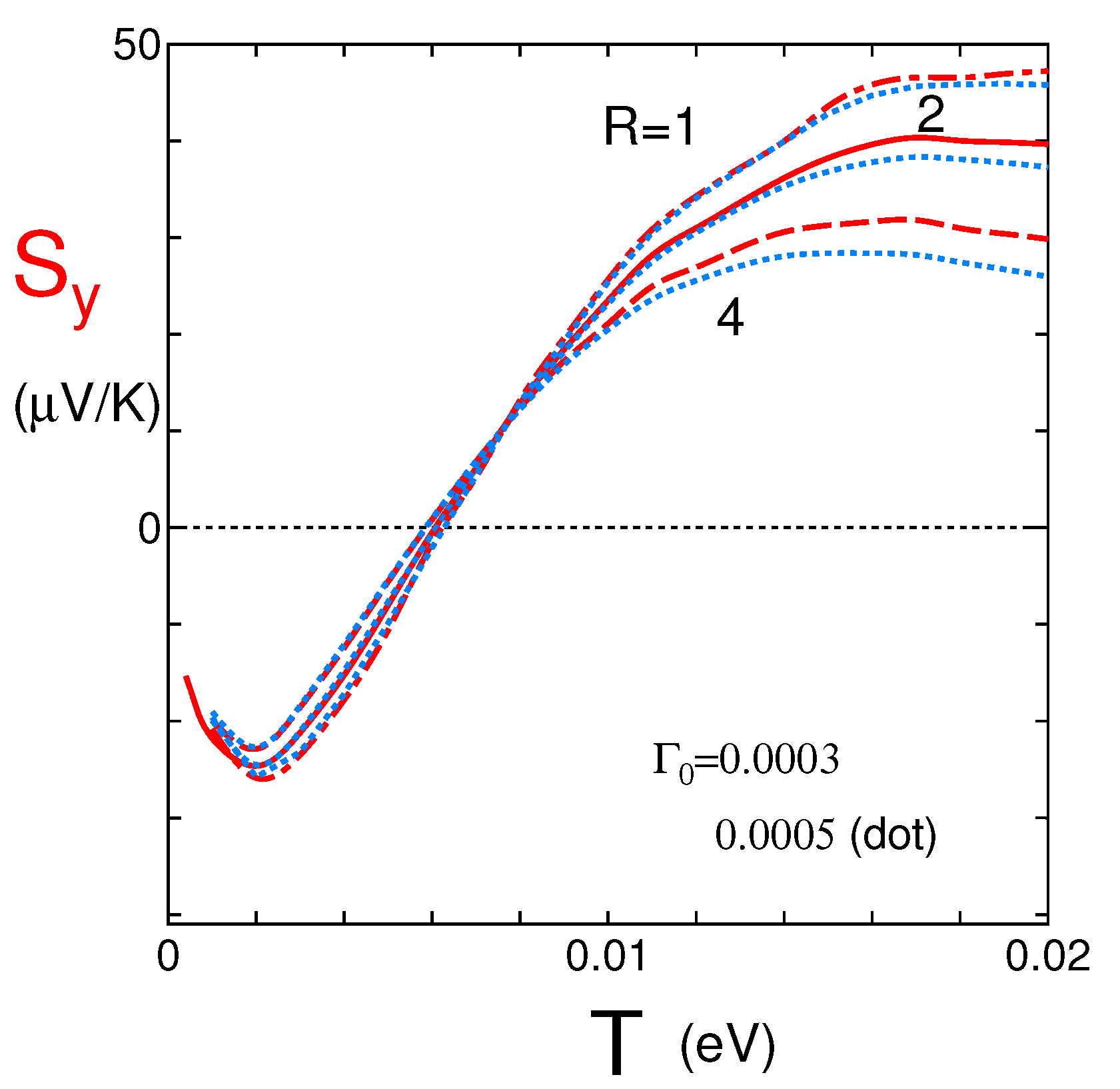
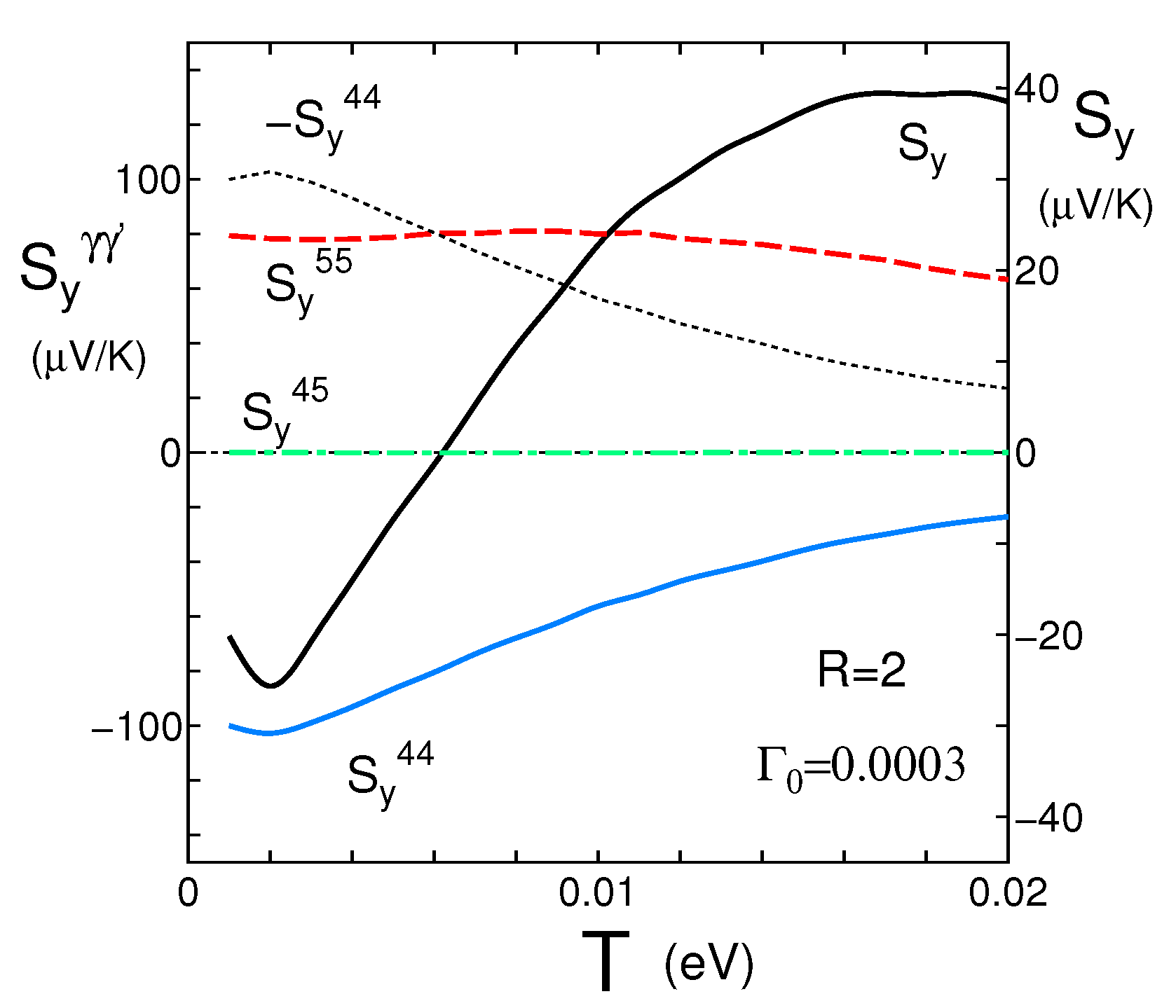
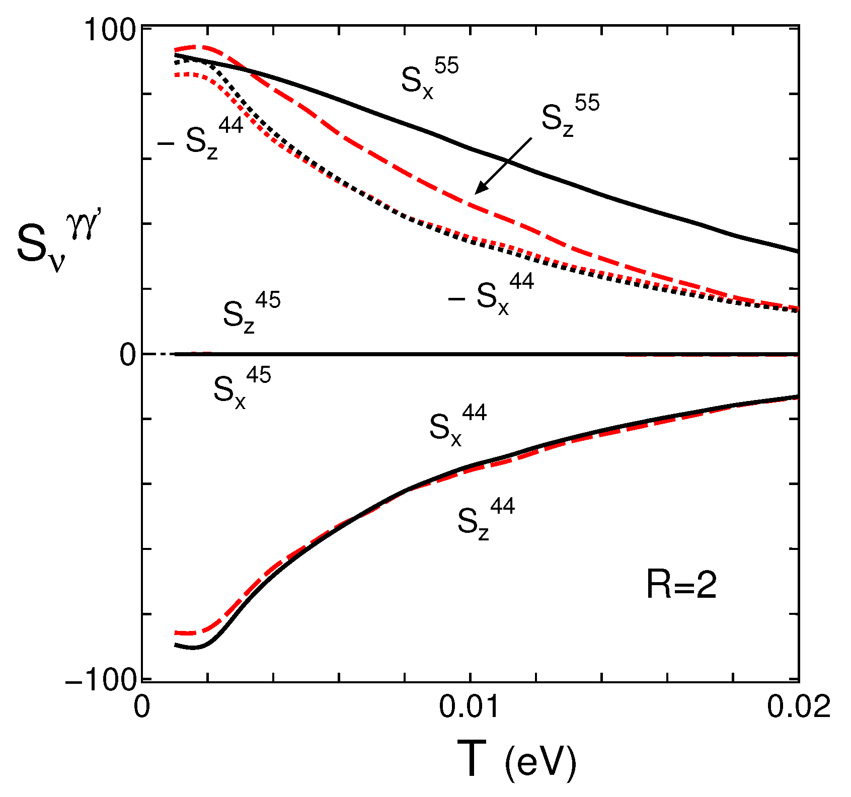
4. Seebeck Coefficients
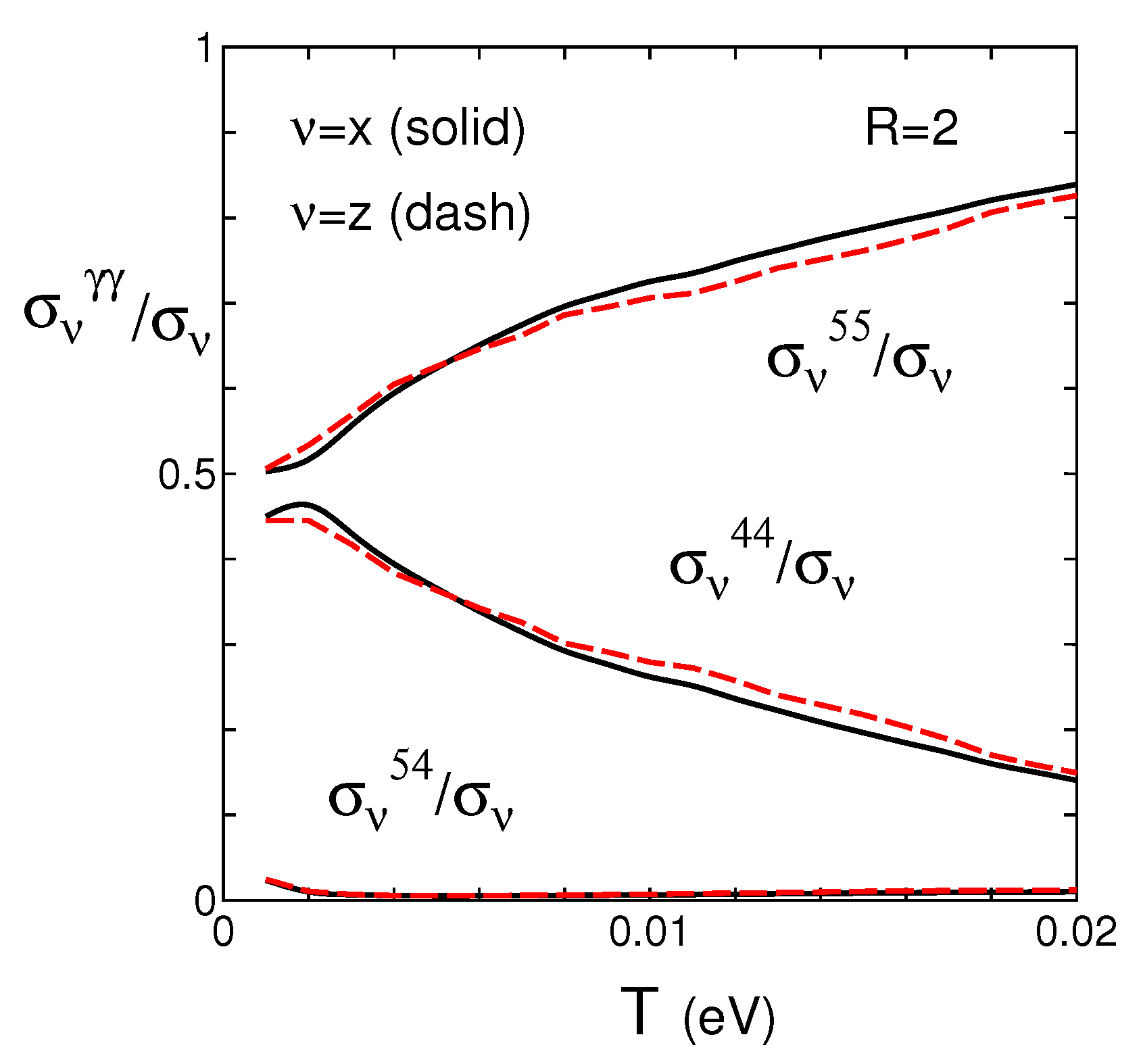
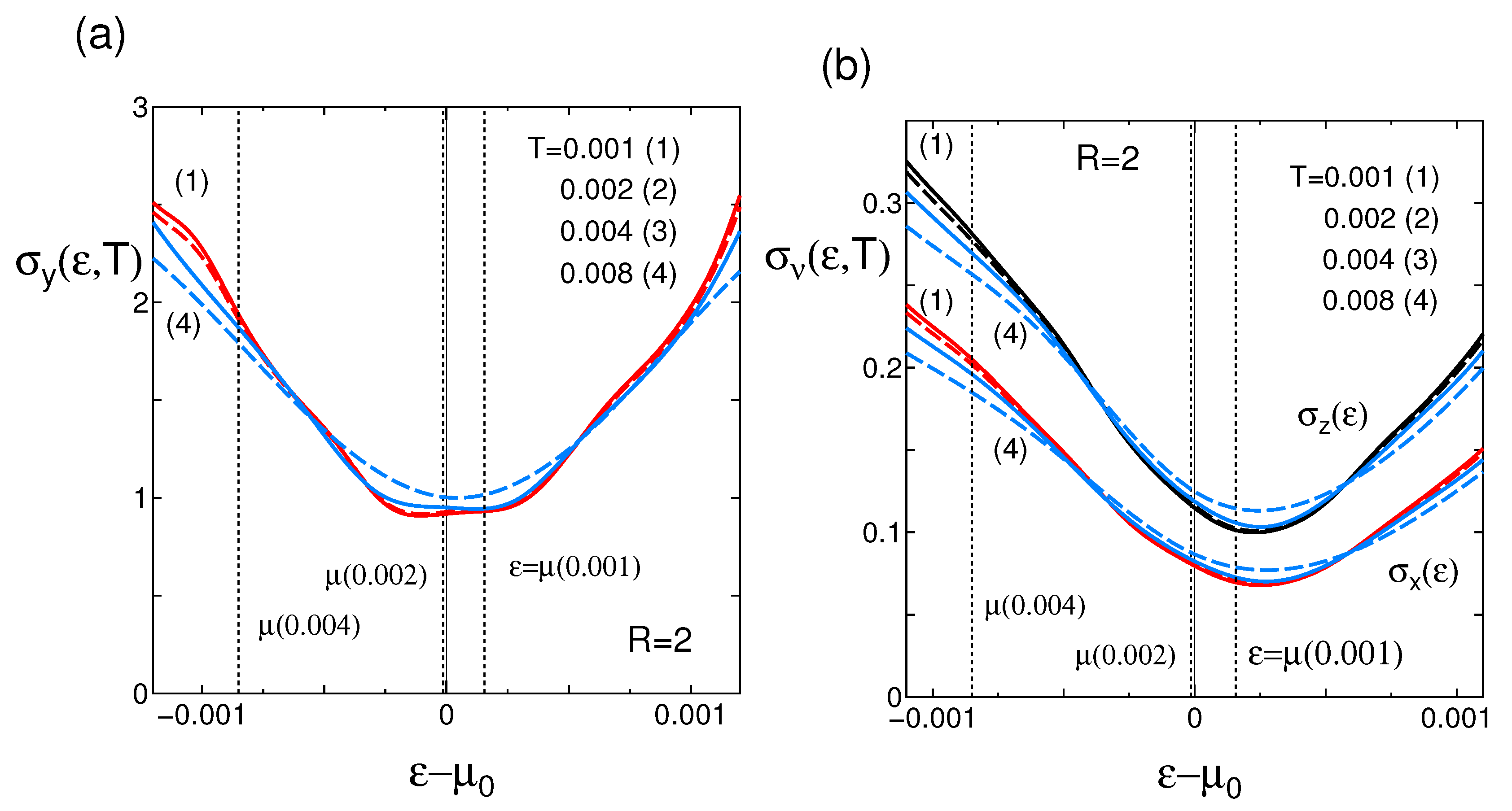
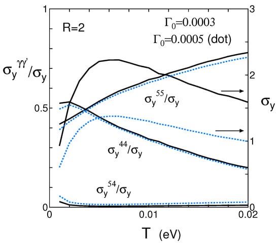
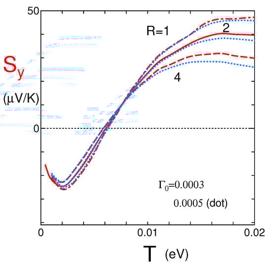
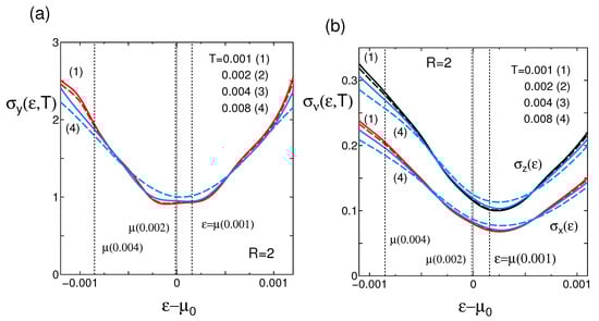
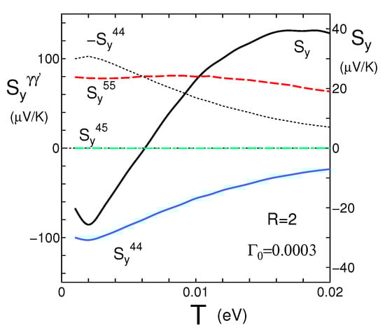
4.1. Coefficient for the y-Axis Direction
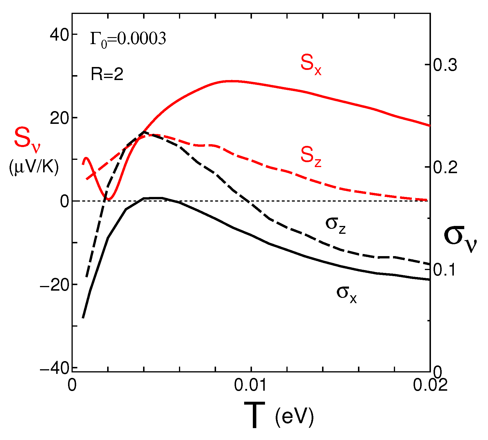
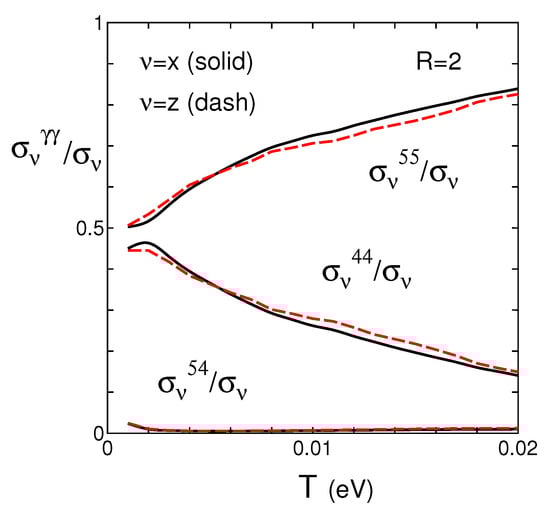
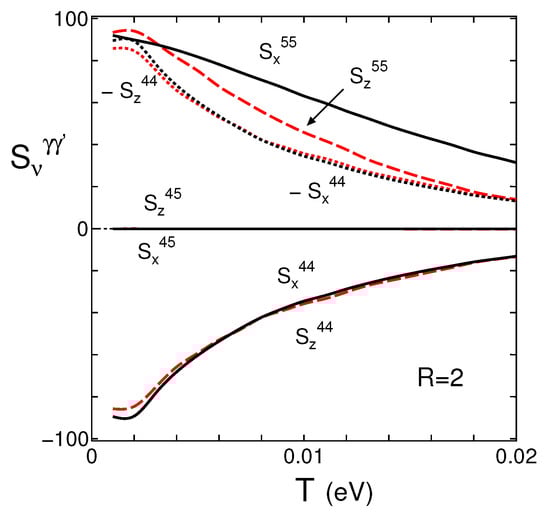
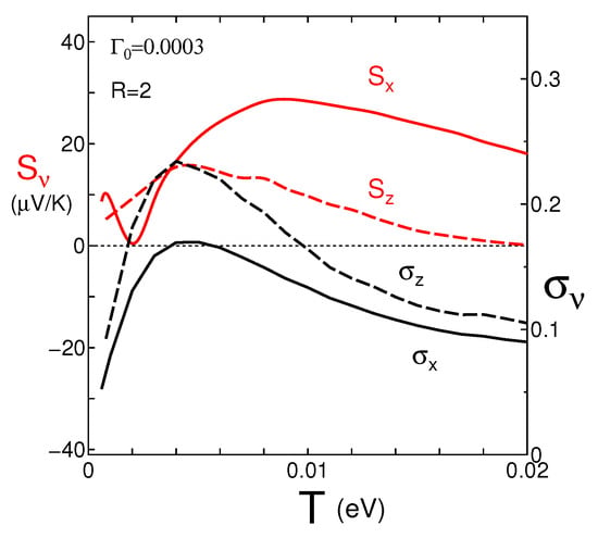
4.2. Coefficients for the x and z-Axes Directions
4.3. Spectral Conductivity
5. Summary and Discussion
Funding
Data Availability Statement
Acknowledgments
Conflicts of Interest
References
- Novoselov, K.S.; Geim, A.K.; Morozov, S.V.; Jiang, D.; Katsnelson, M.I.; Grigorieva, I.V.; Dubonos, S.V.; Firsov, A.A. Two-dimensional gas of massless Dirac fermions in graphene. Nature 2005, 438, 197–200. [Google Scholar] [CrossRef]
- Kajita, K.; Nishio, Y.; Tajima, N.; Suzumura, Y.; Kobayashi, A. Molecular Dirac Fermion Systems—Theoretical and Experimental Approaches. J. Phys. Soc. Jpn. 2014, 83, 072002. [Google Scholar] [CrossRef]
- Kato, R.; Cui, H.B.; Tsumuraya, T.; Miyazaki, T.; Suzumura, Y. Emergence of the Dirac Electron System in a Single-Component Molecular Conductor under High Pressure. J. Am. Chem. Soc. 2017, 139, 1770–1773. [Google Scholar] [CrossRef]
- Katayama, S.; Kobayashi, A.; Suzumura, Y. Pressure-Induced Zero-Gap Semiconducting State in Organic Conductor α-(BEDT-TTF)2I3. J. Phys. Soc. Jpn. 2006, 75, 054705. [Google Scholar]
- Kobayashi, A.; Katayama, S.; Noguchi, K.; Suzumura, Y. Superconductivity in Charge Ordered Organic Conductor –α-(ET)2I3 Salt–. J. Phys. Soc. Jpn. 2004, 73, 3135. [Google Scholar] [CrossRef]
- Mori, T.; Kobayashi, A.; Sasaki, Y.; Kobayashi, H.; Saito, G.; Inokuchi, H. Band Structure of two types of (BEDT-TTF)2I3. Chem. Lett. 1984, 13, 957–960. [Google Scholar] [CrossRef]
- Kondo, R.; Kagoshima, S.; Harada, J. Crystal structure analysis under uniaxial strain at low temperature using a unique design of four-axis X-ray diffractometer with a fixed sample. Rev. Sci. Instrum. 2005, 76, 093902. [Google Scholar] [CrossRef]
- Kondo, R.; Kagoshima, S.; Tajima, N.; Kato, R. Crystal and Electronic Structures of the Quasi-Two-Dimensional Organic Conductor α-(BEDT-TTF)2I3 and Its Selenium Analogue α-(BEDT-TSeF)2I3 under Hydrostatic Pressure at Room Temperature. J. Phys. Soc. Jpn. 2009, 78, 114714. [Google Scholar] [CrossRef]
- Kino, H.; Miyazaki, T. First-Principles Study of Electronic Structure in α-(BEDT-TTF)2I3 at Ambient Pressure and with Uniaxial Strain. J. Phys. Soc. Jpn 2006, 75, 034704. [Google Scholar] [CrossRef]
- Kobayashi, A.; Katayama, S.; Suzumura, Y.; Fukuyama, H. Massless Fermions in Organic Conductor. J. Phys. Soc. Jpn. 2007, 76, 034711. [Google Scholar] [CrossRef]
- Goerbig, M.O.; Fuchs, J.-N.; Montambaux, G.; Piéchon, F. Tilted anisotropic Dirac cones in quinoid-type graphene and α-(BEDT-TTF)2I3. Phys. Rev. B 2008, 78, 045415. [Google Scholar] [CrossRef]
- Kobayashi, A.; Suzumura, Y.; Fukuyama, H. Hall Effect and Orbital Diamagnetism in Zerogap State of Molecular Conductor α-(BEDT-TTF)2I3. J. Phys. Soc. Jpn. 2008, 77, 064718. [Google Scholar]
- Tajima, N.; Kato, R.; Sugawara, S.; Nishio, Y.; Kajita, K. Interband effects of magnetic field on Hall conductivity in the multilayered massless Dirac fermion system α-(BEDT-TTF)2I3. Phys. Rev. B 2012, 85, 033401. [Google Scholar]
- Shon, N.H.; Ando, T. Quantum Transport in Two-Dimensional Graphite System. J. Phys. Soc. Jpn. 1998, 67, 2421. [Google Scholar] [CrossRef]
- Peres, N.M.R.; Guinea, F.; Castro Neto, A.H. Electronic properties of disordered two-dimensional carbon. Phys. Rev. B 2006, 83, 125411. [Google Scholar] [CrossRef]
- Kajita, K.; Ojiro, T.; Fujii, H.; Nishio, Y.; Kobayashi, H.; Kobayashi, A.; Kato, R. Magnetotransport Phenomena of α-Type (BEDT-TTF)2I3 under High Pressures. J. Phys. Soc. Jpn. 1992, 61, 23. [Google Scholar] [CrossRef]
- Tajima, N.; Tamura, M.; Nishio, Y.; Kajita, K.; Iye, Y. Transport Property of an Organic Conductor α-(BEDT-TTF)2I3 under High Pressure –Discovery of a Novel Type of Conductor–. J. Phys. Soc. Jpn. 2000, 69, 543–551. [Google Scholar] [CrossRef]
- Tajima, N.; Ebina-Tajima, A.; Tamura, M.; Nishio, Y.; Kajita, K. Effects of Uniaxial Strain on Transport Properties of Organic Conductor α-(BEDT-TTF)2I3 and Discovery of Superconductivity. J. Phys. Soc. Jpn. 2002, 71, 1832. [Google Scholar] [CrossRef]
- Tajima, N.; Sugawara, S.; Tamura, M.; Kato, R.; Nishio, Y.; Kajita, K. Transport properties of massless Dirac fermions in an organic conductor α-(BEDT-TTF)2I3 under pressure. EPL 2007, 80, 47002. [Google Scholar] [CrossRef]
- Liu, D.; Ishikawa, K.; Takehara, R.; Miyagawa, K.; Tanuma, M.; Kanoda, K. Insulating Nature of Strongly Correlated Massless Dirac Fermions in an Organic Crystal. Phys. Rev. Lett. 2016, 116, 226401. [Google Scholar] [CrossRef]
- Suzumura, Y.; Ogata, M. Role of acoustic phonons in exotic conductivity of two-dimensional Dirac electrons. Phys. Rev. B 2018, 98, 161205. [Google Scholar] [CrossRef]
- Cui, H.B.; Tsumuraya, T.; Kawasugi, Y.; Kato, R. Pressure Induced Superconductivity and Dirac Cone Formation in Single-Component Molecular Conductors. In Proceedings of the 17th International Conference on High Pressure in Semiconductor Physics (HPSP-17), Tokyo, Japan, 7–11 August 2016. [Google Scholar]
- Tsumuraya, T.; Cui, H.B.; Miyazaki, T.; Kato, R. First-Principles Study of Single Component Molecular Crystals under Pressure II. Read at the Meeting of the Physical Society Japan at Hiroshima on March 28, 2013 (28pXN-2). Available online: https://doi.org/10.11316/jpsgaiyo.68.1.4.0_950_2 (accessed on 24 May 2024).
- Kato, R.; Suzumura, Y. Novel Dirac Electron in Single-Component Molecular Conductor [Pd(dddt)2] (dddt =5,6-dihydro-1,4-dithiin-2,3-dithiolate). J. Phys. Soc. Jpn. 2017, 86, 064705. [Google Scholar] [CrossRef]
- Murakami, S. Phase transition between the quantum spin Hall and insulator phases in 3D: Emergence of a topological gapless phase. New J. Phys. 2007, 9, 356. [Google Scholar] [CrossRef]
- Hirayama, M.; Okugawa, R.; Murakami, S. Topological Semimetals Studied by Ab Initio Calculations. J. Phys. Soc. Jpn. 2018, 87, 041002. [Google Scholar] [CrossRef]
- Bernevig, A.; Weng, H.; Fang, Z.; Dai, X. Recent Progress in the Study of Topological Semimetals. J. Phys. Soc. Jpn. 2018, 87, 041001. [Google Scholar] [CrossRef]
- Liu, Z.; Wang, H.; Wang, Z.F.; Yang, J.; Liu, F. Pressure-induced organic topological nodal-line semimetal in the three-dimensional molecular crystal Pd(dddt)2. Phys. Rev. B 2018, 97, 155138. [Google Scholar]
- Tsumuraya, T.; Kato, R.; Suzumura, Y. Effective Hamiltonian of Topological Nodal Line Semimetal in Single-Component Molecular Conductor [Pd(dddt)2] from First-Principles. J. Phys. Soc. Jpn. 2018, 87, 113701. [Google Scholar] [CrossRef]
- Suzumura, Y.; Cui, H.B.; Kato, R. Conductivity and Resistivity of Dirac Electrons in Single-Component Molecular Conductor [Pd(dddt)2]. J. Phys. Soc. Jpn. 2018, 87, 084702. [Google Scholar] [CrossRef]
- Kato, R.; Cui, H.; Minamidate, T.; Yeung, H.H.-M.; Suzumura, Y. Electronic Structure of a Single-Component Molecular Conductor [Pd(dddt)2] (dddt =5,6-dihydro-1,4-dithiin-2,3-dithiolate) under High Pressure. J. Phys. Soc. Jpn. 2020, 89, 124706. [Google Scholar] [CrossRef]
- Suzumura, Y.; Kato, R.; Ogata, M. Electric Transport of Nodal Line Semimetal in Single-Component Molecular Conductors. Crystals 2020, 10, 862. [Google Scholar] [CrossRef]
- Kubo, R. Statistical-Mechanical Theory of Irreversible Processes: I. General Theory and Simple Applications to Magnetic and Conduction Problems. J. Phys. Soc. Jpn. 1957, 12, 570. [Google Scholar] [CrossRef]
- Luttinger, J.M. Theory of Thermal Transport Coefficients. Phys. Rev. A 1964, 135, 1505. [Google Scholar] [CrossRef]
- Ogata, M.; Fukuyama, H. Range of Validity of Sommerfeld–Bethe Relation Associated with Seebeck Coefficient and Phonon Drag Contribution. J. Phys. Soc. Jpn. 2019, 88, 074703. [Google Scholar] [CrossRef]
- Kitamura, R.; Tajima, N.; Kajita, K.; Reizo, R.; Tamura, M.; Naito, T.; Nishio, Y. Thermoelectric Power of Multilayered Massless Dirac Fermion System α-(BEDT-TTF)2I3—Charge Ordering and Zero-Gap States–. JPS Conf. Proc. 2014, 1, 012097. [Google Scholar]
- Konoike, T.; Sato, M.; Uchida, K.; Osada, T. Anomalous Thermoelectric Transport and Giant Nernst Effect in Multilayered Massless Dirac Fermion System. J. Phys. Soc. Jpn. 2013, 82, 073601. [Google Scholar] [CrossRef]
- Ohki, D.; Omori, Y.; Kobayashi, A. Effect of Coulomb interactions on the Seebeck coefficient of the organic Dirac electron system α-(BEDT-TTF)2I3. Phys. Rev. B 2020, 101, 245201. [Google Scholar] [CrossRef]
- Suzumura, Y.; Ogata, M. Seebeck Coefficient of Two-dimensional Electrons in Organic Conductor under Pressure. Phys. Rev. 2023, B107, 195416. [Google Scholar] [CrossRef]
- Suzumura, Y.; Tsumuraya, T.; Ogata, M. Seebeck Effect of Dirac Electrons in Organic Conductors under Hydrostatic Pressure using a Tight-Binding Model Derived from First Principles. J. Phys. Soc. Jpn. 2024, 93, 054704. [Google Scholar] [CrossRef]
- Fröhlich, H. On the theory of superconductivity: The one-dimensional case. Proc. Phys. Soc. A 1954, 223, 296. [Google Scholar]
- Katayama, S.; Kobayashi, A.; Suzumura, Y. Electric Conductivity of the Zero-Gap Semiconducting State in α-(BEDT-TTF)2I3 Salt. J. Phys. Soc. Jpn. 2006, 75, 023708. [Google Scholar] [CrossRef]
- Abrikosov, A.A.; Gorkov, L.P.; Dzyaloshinskii, I.E. Methods of Quantum Field Theory in Statistical Physics; Prentice-Hall: Englewood Cliffs, NJ, USA, 1963. [Google Scholar]
- Rice, M.J.; Pietronero, L.; Brüesh, P. Phase phonons and intramolecular electron-phonon coupling in the organic linear chain semiconductor TEA(TCNQ)2. Solid State Commun. 1977, 21, 757. [Google Scholar] [CrossRef]
- Gutfreund, H.; Hartzstein, C.; Weger, M. The electron-phonon coupling strength in TTF-TCNQ. Solid State Commun. 1980, 36, 647. [Google Scholar] [CrossRef]










| (stacking) | ||||
| Layer 1 | ||||
| — | — | |||
| (stacking) | ||||
| Layer 2 | ||||
| — | — | |||
| Interlayer | ||||
Disclaimer/Publisher’s Note: The statements, opinions and data contained in all publications are solely those of the individual author(s) and contributor(s) and not of MDPI and/or the editor(s). MDPI and/or the editor(s) disclaim responsibility for any injury to people or property resulting from any ideas, methods, instructions or products referred to in the content. |
© 2024 by the author. Licensee MDPI, Basel, Switzerland. This article is an open access article distributed under the terms and conditions of the Creative Commons Attribution (CC BY) license (https://creativecommons.org/licenses/by/4.0/).
Share and Cite
Suzumura, Y. Impact of Temperature on Seebeck Coefficient of Nodal Line Semimetal in Molecular Conductor. Crystals 2024, 14, 601. https://doi.org/10.3390/cryst14070601
Suzumura Y. Impact of Temperature on Seebeck Coefficient of Nodal Line Semimetal in Molecular Conductor. Crystals. 2024; 14(7):601. https://doi.org/10.3390/cryst14070601
Chicago/Turabian StyleSuzumura, Yoshikazu. 2024. "Impact of Temperature on Seebeck Coefficient of Nodal Line Semimetal in Molecular Conductor" Crystals 14, no. 7: 601. https://doi.org/10.3390/cryst14070601
APA StyleSuzumura, Y. (2024). Impact of Temperature on Seebeck Coefficient of Nodal Line Semimetal in Molecular Conductor. Crystals, 14(7), 601. https://doi.org/10.3390/cryst14070601

