The Effect of 147 MeV 84Kr and 24.5 MeV 14N Ions Irradiation on the Optical Absorption, Luminescence, Raman Spectra and Surface of BaFBr Crystals
Abstract
1. Introduction
2. Materials and Methods
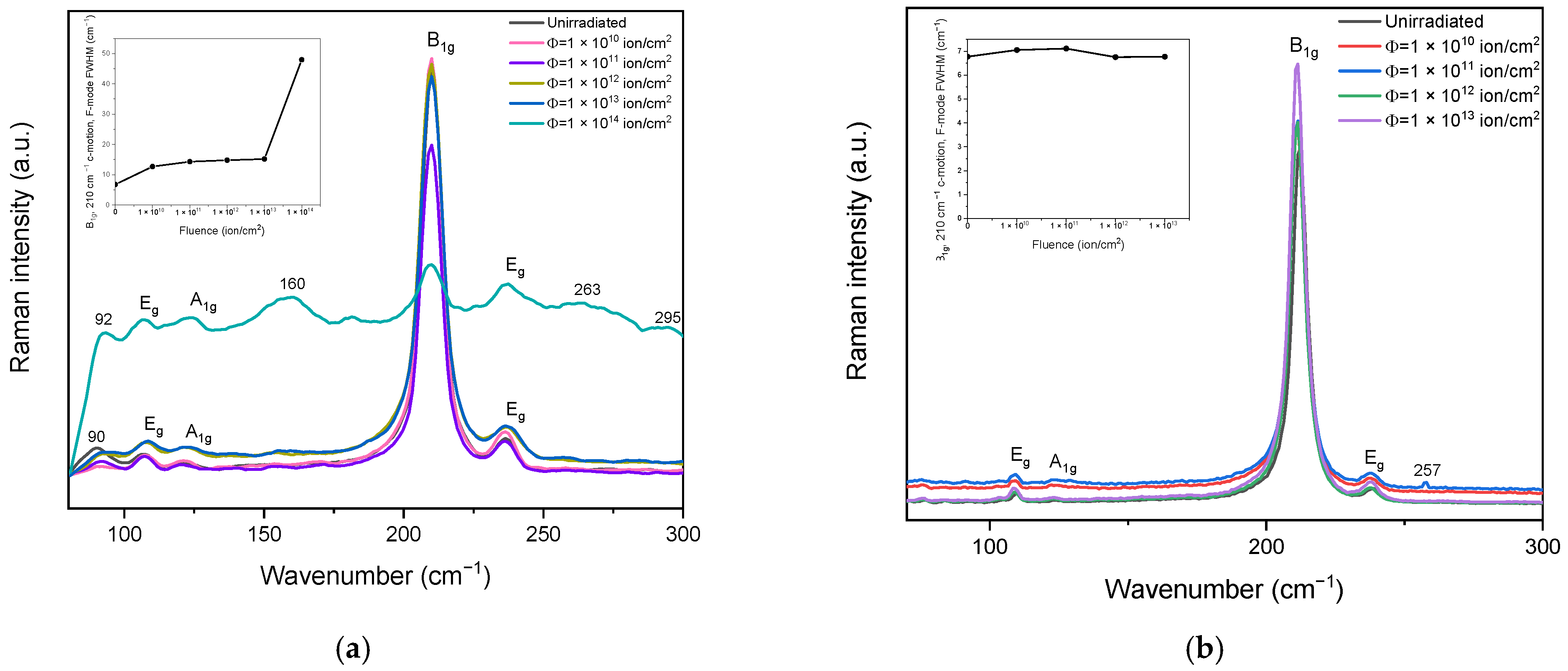
3. Results and Discussion
4. Conclusions
Author Contributions
Funding
Data Availability Statement
Acknowledgments
Conflicts of Interest
References
- Sonada, M.; Takano, M.; Miyahara, J.; Kato, H. Computed radiography utilizing scanning laser stimulated luminescence. Radiology 1983, 148, 833–838. [Google Scholar] [CrossRef] [PubMed]
- Gurvich, A.M.; Myakhkova, M.G.; Rudiger, J.; Kavtorova, V.P. Phosphors for conventional and computed radiography. Nucl. Tracks Rad. Meas. 1993, 21, 29–33. [Google Scholar] [CrossRef]
- Rajan, K.G.; Yousuf, M.; Subramanian, N.; Pumiah, B.; Kasiviswanathan, K.V. Photostimulable luminescence: Physics and applications. Indian J. Pure Appl. Phys. 1997, 35, 699–708. [Google Scholar]
- Husain, A.M. A Small-Angle X-ray Scattering Spectrometer Utilizing an Imaging Plate Detector System. Caracterization and Implementation; Department of Physics Technical University of Denmark: Kongens, Denmark, 1995; pp. 8–15. [Google Scholar]
- Doyama, M.; Terashima, Y.; Ozaki, A.; Iwamoto, A.; Kanazawa, I.; Komori, F.; Eto, M. Imaging plates as position-sensitive detectors of positrons studied by the slow positron beam. Appl. Surf. Sci. 1999, 149, 71–76. [Google Scholar] [CrossRef]
- Kobayashi, H.; Satoh, M.; Matsubyashi, M. Study for a novel tomography technique using an imaging plate. Nucl. Instrum. Meth. A 1999, 424, 221–228. [Google Scholar] [CrossRef]
- Kobayashi, H.; Satoh, M. Basic performance of a neutron sensitive photostimulated luminescence device for neutron radiography. Nucl. Instrum. Meth. A 1999, 424, 1–8. [Google Scholar] [CrossRef]
- Kolbe, H.; Lehmann, E.; Gunia, W.; Komer, S. Applications and characteristics of imaging plates as detector in neutron radiography at SINQ. Nucl. Instrum. Meth. A 1999, 424, 40–47. [Google Scholar] [CrossRef]
- Wilkinson, C.; Gabriel, A.; Lehmann, M.S.; Zemb, T.; Ne, F. Image plate neutron detector. In Proceedings of the SPIE 1737, Neutrons, X Rays, and Gamma Rays: Imaging Detectors, Material Characterization Techniques, and Applications, San Diego, CA, USA, 2 February 1993. [Google Scholar] [CrossRef]
- Niimura, N.; Karasawa, Y.; Tanaka, I.; Miyahara, J.; Takahashi, K.; Saito, H.; Koizumi, S.; Hidaka, M. An imaging plate neutron detector. Nucl. Instrum. Meth. A 1994, 349, 521–525. [Google Scholar] [CrossRef]
- Cipriani, F.; Castagna, J.-C.; Claustre, L.; Wilkinson, C.; Lehmann, M.S. Large area neutron and X-ray image-plate detectors for macromolecular biology. Nucl. Instrum. Meth. A 1997, 392, 471–474. [Google Scholar] [CrossRef]
- Wilkinson, C.; Cowan, J.A.; Myles, D.A.A.; Cipriani, F.; McIntyre, G.J. VIVALDI—A thermal-neutron laue diffractometer for physics, chemistry and materials science. Neutron News 2002, 13, 37–41. [Google Scholar] [CrossRef]
- Tosaki, M.; Nakamura, M.; Hirose, M.; Matsumoto, H. Application of heavy-ion microbeam system at Kyoto University: Energy response for imaging plate by single ion irradiation. Nucl. Instrum. Meth. B 2011, 269, 3145–3148. [Google Scholar] [CrossRef]
- Batentschuk, M.; Winnacker, A.; Schwartz, K.; Trautmann, C. Storage efficiency of BaFBr:Eu2+ image plates irradiated by swift heavy ions. J. Lumin. 2007, 125, 40–44. [Google Scholar] [CrossRef]
- Beck, H.P. A study on mixed halide compounds MFX (M = Ca, Sr, Eu, Ba; X = Cl, Br, I). J. Solid State Chem. 1976, 17, 275–282. [Google Scholar] [CrossRef]
- Nicollin, D.; Bill, H. Experimental contribution to the study of S-state ions in ionic single crystals. J. Phys. C Solid State 1978, 11, 4803–4814. [Google Scholar] [CrossRef]
- Zimmermann, J.; Kolb, R.; Hesse, S.; Schlapp, M.; Schmechel, R.; von Seggern, H. Preparation-induced F-centre transformation in BaFBr:Eu2+. J. Phys. D Appl. Phys. 2004, 37, 2352. [Google Scholar] [CrossRef]
- Koschnick, F.K.; Spaeth, J.M.; Eachus, R.S.; McDugle, W.G.; Nuttall, R.H.D. Experimental evidence for the aggregation of photostimulable centers in BaFBr:Eu2+ single crystals by cross relaxation spectroscopy. Phys. Rev. Lett. 1991, 67, 3571. [Google Scholar] [CrossRef] [PubMed]
- Takahashi, K. Progress in science and technology on photostimulable BaFX:Eu2+ (X = Cl, Br, I) and imaging plates. J. Lumin. 2002, 100, 307–315. [Google Scholar] [CrossRef]
- Spaeth, J.M. Recent developments in X-ray storage phosphor materials. Radiat. Meas. 2001, 33, 527–532. [Google Scholar] [CrossRef]
- Spaeth, J.M.; Hangleiter, T.; Koschnick, F.K.; Pawlik, T. X-ray storage phosphors. Radiat. Eff. Defect S. 1995, 135, 1–10. [Google Scholar] [CrossRef]
- Hall, C.; Kamenskikh, I.A.; Gurvich, A.M.; Munro, I.H.; Mikhailin, V.V.; Worgan, J.S. Phosphors for Luminescent Image Plates. J. X-ray Sci. Technol. 1996, 6, 48–62. [Google Scholar] [CrossRef]
- Nanto, H.; Okada, G. Optically stimulated luminescence dosimeters: Principles, phosphors and applications. Jpn. J. Appl. Phys. 2022, 62, 010505. [Google Scholar] [CrossRef]
- Popov, A.I.; Kotomin, E.A.; Maier, J. Analysis of self-trapped hole mobility in alkali halides and metal halides. Solid State Ion. 2017, 302, 3–6. [Google Scholar] [CrossRef]
- Sidorenko, A.V.; Bos, A.J.J.; Dorenbos, P.; Van Eijk, C.W.E.; Rodnyi, P.A.; Berezovskaya, I.V.; Popov, A.I. Storage properties of Ce3+ doped haloborate phosphors enriched with 10B isotope. J. Appl. Phys. 2004, 95, 7898–7902. [Google Scholar] [CrossRef]
- Harrison, A.; Lane, L.C.; Templer, R.H.; Seddon, J.M. Mechanism of charge storage and luminescence stimulation in BaFBr: RE phosphors. Nucl. Instrum. Meth. A 1991, 310, 220–223. [Google Scholar] [CrossRef]
- Zhao, W.; Mi, Y.M.; Song, Z.F.; Su, M.Z. Color Centers in the Near Infrared Region in Crystals MFX (M = Ba, Sr; X = Cl, Br). J. Solid State Chem. 1993, 103, 415–419. [Google Scholar] [CrossRef]
- Kurobori, T.K.T.; Kawabe, M.K.M.; Liu, M.L.M.; Hirose, Y.H.Y. Experimental evidence for the aggregation of the near-IR bands in BaFBr: Eu2+ single crystals. Jpn. J. Appl. Phys. 2000, 39, L629–L632. [Google Scholar] [CrossRef]
- Hangleiter, T.; Koschnick, F.K.; Spaeth, J.M.; Eachus, R.S. Photo-stimulated emission of X-irradiated BaFBr:Eu. Radiat. Eff. Defects Solids 1991, 119–121, 615–620. [Google Scholar] [CrossRef]
- Bradford, M.; Andrews, D.A.; Harrison, A.; Roden, S.G.; King, T.K. Photostimulated luminescence of BaFBr: Eu2+. J. Lumin. 1997, 72, 742–744. [Google Scholar] [CrossRef]
- Chen, W.S.; Mianzeng, L. Photostimulated luminescence of BaFBr.Eu phosphors. J. Appl. Phys. 1996, 80, 5309–5311. [Google Scholar] [CrossRef]
- Fong, F.K.; Yocom, P.N. Crystal growth and color center of alkaline-earth halides. J. Chem. Phys. 1964, 41, 1383–1388. [Google Scholar] [CrossRef]
- Nicklaus, E.; Fisher, Y.A. modified Kiropulus method for growing BaFCl single crystals. J. Cryst. Growth 1972, 12, 337–338. [Google Scholar] [CrossRef]
- Starick, D.; Gurvich, A.M.; Myagkova, M.G.; Rudiger, J.; Herzog, G. The Influence of Preparation Conditions on the Performance of BaFBr-Eu Storage Phosphors. Nucl. Tracks Rad. Meas. 1993, 21, 39–41. [Google Scholar] [CrossRef]
- Ziegler, J.F.; Ziegler, M.D.; Biersak, J.P. SRIM—The stopping and range of ions in matter. Nucl. Instrum. Methods Phys. Res. Sect. B 2010, 268, 1818–1823. [Google Scholar] [CrossRef]
- Koschnick, F.K.; Hangleiter, T.; Song, K.S.; Spaeth, J.M. Optically detected magnetic resonance study of an oxygen-vacancy complex in BaFBr. J. Phys. Condens. Matter 1995, 7, 6925–6937. [Google Scholar] [CrossRef]
- Eachus, R.S.; McDugle, W.G.; Nuttal, R.H.D.; Olm, M.T.; Koschnick, F.K.; Hangleiter, T.; Spaeth, J.-M. Radiation-produced electron and hole centres in oxygen-containing BaFBr. I. EPR and ODEPR studies. J. Phys. Condens. Matter 1991, 3, 9327. [Google Scholar] [CrossRef]
- Eachus, R.S.; McDugle, W.G.; Nuttal, R.H.D.; Olm, M.T.; Koschnick, F.K.; Hangleiter, T.; Spaeth, J.-M. Radiation-produced electron and hole centres in oxygen-containing BaFBr. II. An ENDOR study of OF−. J. Phys. Condens. Matter 1991, 3, 9339. [Google Scholar] [CrossRef]
- Schweizer, S.; Spaeth, J.-M. New oxygen hole centres in the X-ray storage phosphor BaFBr. J. Phys. Condens. Matter 1999, 11, 1723. [Google Scholar] [CrossRef]
- Schweizer, S. Physics and Current Understanding of X-ray Storage Phosphors. Phys. Stat. Sol. (A) 2001, 182, 335–393. [Google Scholar] [CrossRef]
- Radzhabov, E.; Otroshok, V. Optical spectra of oxygen defects in BaFCl and BaFBr crystals. J. Phys. Chem. Solids 1995, 56, 1–7. [Google Scholar] [CrossRef]
- von Seggern, H. Photostimulable X-ray storage phosphors: A review of present understanding. Braz. J. Phys. 1999, 29, 254–268. [Google Scholar] [CrossRef]
- Chadderton, L.T.; Montagu–Pollock, H.M. Fission fragment damage to crystal lattices: Heat-sensitive crystals. Proc. R. Soc. London. Ser. A. Math. Phys. Sci. 1963, 274, 239–252. [Google Scholar] [CrossRef]
- Aumayr, F.; Facsko, S.; El-Said, A.S.; Trautmann, C.; Schleberger, M. Single ion induced surface nanostructures: A comparison between slow highly charged and swift heavy ions. J. Phys. Condens. Matter. 2011, 23, 393001. [Google Scholar] [CrossRef]
- Trautmann, C.; Schwartz, K.; Costantini, J.M.; Steckenreiter, T.; Toulemonde, M. Radiation defects in lithium fluoride induced by heavy ions. Nucl. Instr. Meth. B. 1998, 146, 367–378. [Google Scholar] [CrossRef][Green Version]
- Toulemonde, M.; Assmann, W.; Trautmann, C.; Gruner, F. Jetlike Component in Sputtering of LiF Induced by Swift Heavy Ions. Phys. Rev. Lett. 2001, 88, 0576021. [Google Scholar] [CrossRef] [PubMed]
- Muller, C.; Cranney, M.; El-Said, A.; Ishikawa, N.; Iwase, A.; Lang, M.; Neumann, R. Ion tracks on LiF and CaF2 single crystals characterized by scanning force microscopy. Nucl. Instr. and Meth. B. 2002, 191, 246. [Google Scholar] [CrossRef]
- O’Connell, J.H.; Aralbayeva, G.; Skuratov, V.A.; Saifulin, M.; Janse van Vuuren, A.; Akilbekov, A.; Zdorovets, M. Temperature dependence of swift heavy ion irradiation induced hillocks in TiO2. Mater. Res. Express 2018, 5, 055015. [Google Scholar] [CrossRef]
- Ishikawa, N.; Taguchi, T.; Okubo, N. Hillocks created for amorphizable and nonamorphizable ceramics irradiated with swift heavy ions: TEM study. Nanotechnology 2017, 28, 445708. [Google Scholar] [CrossRef] [PubMed]
- Tuschel, D. Raman Spectroscopy and Chemical Bonding of BaFCl, BaFBr, and BaFl. Spectroscopy 2021, 36, 7–10. [Google Scholar] [CrossRef]
- Scott, J.F. Raman Spectra of BaClF, BaBrF, and SrClF. J. Chem. Phys. 1968, 49, 2766–2769. [Google Scholar] [CrossRef]
- Haeuseler, H. Lattice dynamics of BaFBr. Phys. Chem. Mater. 1981, 7, 135–137. [Google Scholar] [CrossRef]
- Akilbekov, A.; Kenbayev, D.; Dauletbekova, A.; Polisadova, E.; Yakovlev, V.; Karipbayev, Z.; Shalaev, A.; Elsts, E.; Popov, A.I. The Effect of Fast Kr Ion Irradiation on the Optical Absorption, Luminescence, and Raman Spectra of BaFBr Crystals. Crystals 2023, 13, 1260. [Google Scholar] [CrossRef]
- Rzepka, E.; Doualan, J.L.; Lefrant, S.; Taurel, L. Raman scattering induced by V centres in KBr. J. Phys. C Solid State Phys. 1982, 15, L119–L123. [Google Scholar] [CrossRef]
- Akilbekov, A.; Dauletbekova, A.; Elango, A. Photo-and Thermochemical Reactions with Participation of Br− Centres in X-Rayed KBr. Phys. Stat. Sol. (B) 1985, 127, 493–501. [Google Scholar] [CrossRef]
- Rutter, H.H.; von Seggern, H.; Reininger, R.; Saile, V. Creation of Photostimulable Centers in BaFBr-Eu Single Crystals by Vacuum- ultraviolet radiation. Phys. Rev. Lett. 1990, 65, 2438–2441. [Google Scholar] [CrossRef]









| Element | F | Br | Ba | O |
|---|---|---|---|---|
| Atomic percent | 38.3 | 32.9 | 25.2 | 3.6 |
| Ion | Energy, Mev | Se, keV/nm | Sn, keV/nm | R, μm |
|---|---|---|---|---|
| 84Kr | 147 | 12.04 | 1.36 | 17.87 |
| 14N | 24.5 | 2.99 | 0.00258 | 15.58 |
| Fluence Φ, ion/cm2 | 84Kr 147 MeV FWHM, cm−1 | 14N 24.5 MeV FWHM, cm−1 | ||||
|---|---|---|---|---|---|---|
| Eg, ab-Motion, Anti-Parallel, Br Mode | B1g, c-Motion, F-Mode | Eg, ab-Motion, F-Mode | Eg, ab-Motion, Anti-Parallel, Br Mode | B1g, c-Motion, F-Mode | Eg, Ab-Motion, F-Mode | |
| Unirradiated | 7.86 | 6.77 | 16.06 | 7.86 | 6.77 | 16.06 |
| 1 × 1010 | 59.75 | 12.68 | 32.06 | 9.22 | 7.05 | 16.17 |
| 1 × 1011 | 51.28 | 14.30 | 33.02 | 10.24 | 7.11 | 9.64 |
| 1 × 1012 | 73.76 | 14.78 | 47.82 | 8.03 | 6.75 | 10.08 |
| 1 × 1013 | 79.10 | 15.18 | 49.63 | 7.24 | 6.77 | 10.78 |
| 1 × 1014 | 87.66 | 47.96 | 115.91 | - | - | - |
Disclaimer/Publisher’s Note: The statements, opinions and data contained in all publications are solely those of the individual author(s) and contributor(s) and not of MDPI and/or the editor(s). MDPI and/or the editor(s) disclaim responsibility for any injury to people or property resulting from any ideas, methods, instructions or products referred to in the content. |
© 2024 by the authors. Licensee MDPI, Basel, Switzerland. This article is an open access article distributed under the terms and conditions of the Creative Commons Attribution (CC BY) license (https://creativecommons.org/licenses/by/4.0/).
Share and Cite
Akilbekov, A.; Kenbayev, D.; Dauletbekova, A.; Shalaev, A.; Akylbekova, A.; Aralbayeva, G.; Baimukhanov, Z.; Baizhumanov, M.; Elsts, E.; Popov, A.I. The Effect of 147 MeV 84Kr and 24.5 MeV 14N Ions Irradiation on the Optical Absorption, Luminescence, Raman Spectra and Surface of BaFBr Crystals. Crystals 2024, 14, 480. https://doi.org/10.3390/cryst14060480
Akilbekov A, Kenbayev D, Dauletbekova A, Shalaev A, Akylbekova A, Aralbayeva G, Baimukhanov Z, Baizhumanov M, Elsts E, Popov AI. The Effect of 147 MeV 84Kr and 24.5 MeV 14N Ions Irradiation on the Optical Absorption, Luminescence, Raman Spectra and Surface of BaFBr Crystals. Crystals. 2024; 14(6):480. https://doi.org/10.3390/cryst14060480
Chicago/Turabian StyleAkilbekov, Abdirash, Daurzhan Kenbayev, Alma Dauletbekova, Alexey Shalaev, Aiman Akylbekova, Gulnara Aralbayeva, Zein Baimukhanov, Muratbek Baizhumanov, Edgars Elsts, and Anatoli I. Popov. 2024. "The Effect of 147 MeV 84Kr and 24.5 MeV 14N Ions Irradiation on the Optical Absorption, Luminescence, Raman Spectra and Surface of BaFBr Crystals" Crystals 14, no. 6: 480. https://doi.org/10.3390/cryst14060480
APA StyleAkilbekov, A., Kenbayev, D., Dauletbekova, A., Shalaev, A., Akylbekova, A., Aralbayeva, G., Baimukhanov, Z., Baizhumanov, M., Elsts, E., & Popov, A. I. (2024). The Effect of 147 MeV 84Kr and 24.5 MeV 14N Ions Irradiation on the Optical Absorption, Luminescence, Raman Spectra and Surface of BaFBr Crystals. Crystals, 14(6), 480. https://doi.org/10.3390/cryst14060480

