Hydrate Formation with the Memory Effect Using Classical Nucleation Theory
Abstract
1. Introduction
2. Computational Method
2.1. Generation of the Hydrate Equilibrium Curve
2.2. Calculation of Nucleation Rates
2.3. Calculation of Hydrate Growth Rates
2.4. Calculation of Induction Times
2.5. Generating the Spinodal Curve (MSZW)
2.6. Generating Probability of Hydrate Formation
3. Results and Discussion
3.1. The Shift in MSZW Values
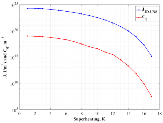
3.2. Erasing of the Memory Effect with Increasing Superheating
3.3. Probabilistic Estimation of Hydrate Formation under the Memory Effect
4. Conclusions
- 1.
- Figure 3 illustrates the steps leading to the memory effect during hydrate formation and dissociation cycles;
- a.
- Hydrate formation occurs under isobaric conditions via 3D heterogeneous nucleation on the solid surface;
- b.
- Hydrate dissociates endothermically under isobaric conditions. Endothermic melting results in a cooling region near the solid surface resulting in 2D undersaturation nucleation, creating nucleation sites for the second hydrate formation cycle;
- c.
- During the second hydrate formation cycle, nucleation sites created on the solid surface provide the conditions for 2D nucleation on the hydrate with faster nucleation rates than 3D heterogeneous nucleation. This results in lower induction times and lower subcooling temperatures for spontaneous hydrate growth to take place, namely the memory effect;
- 2.
- Increased nucleation rates can be attributed to the change in the nucleation mechanism from 3D-HEN to 2D-NOH. Results show an average decrease of 4.4 K in subcooling temperature due to the memory effect;
- 3.
- The 2D undersaturation nucleation rate equation is used to explain the erasing of the memory effect. It has strong implications for the role of solid surfaces on which hydrate nucleation takes place. Accordingly, a solid surface with a lower specific surface energy could lead to erasing of the memory effect at lower superheating temperatures under isobaric conditions;
- 4.
- A significant increase in the hydrate formation probability is observed due to the decrease in the MSZW caused by the memory effect;
- 5.
- Future work involving experimental and/or simulation studies could support the findings presented here.
Author Contributions
Funding
Data Availability Statement
Conflicts of Interest
Nomenclature
References
- Carroll, J. Natural Gas Hydrates: A Guide for Engineers, 3rd ed.; Gulf Professional Publishing: Houston, TX, USA, 2014. [Google Scholar]
- Sloan, E.D.; Koh, C.A. Clathrate Hydrates of Natural Gases, 3rd ed.; CRC Press: Boca Raton, FL, USA, 2008. [Google Scholar]
- Holder, G.D.; Angert, P.F. Simulation of Gas Production from a Reservoir Containing Both Gas Hydrates and Free Natural Gas. In Proceedings of the SPE Annual Technical Conference and Exhibition, New Orleans, LA, USA, 26–29 September 1982. [Google Scholar]
- Burshears, M.; O’Brien, T.J.; Malone, R.D. A Multi-Phase, Multi-Dimensional, Variable Composition Simulation of Gas Production from a Conventional Gas Reservoir in Contact with Hydrates. In Proceedings of the SPE Unconventional Gas Technology Symposium, Louisville, KY, USA, 18–21 May 1986. [Google Scholar]
- Selim, M.S.; Sloan, E.D. Heat and mass transfer during the dissociation of hydrates in porous media. AIChE J. 1989, 35, 1049–1052. [Google Scholar] [CrossRef]
- Makogon, Y.F. Hydrates of Hydrocarbon; PennWell Publishing Co.: Tulsa, OK, USA, 1997. [Google Scholar]
- Hong, H.; Pooladi-Darvish, M.; Bishnoi, P.R. Analytical Modelling of Gas Production from Hydrates in Porous Media. J. Can. Pet. Technol. 2003, 42, 45–56. [Google Scholar] [CrossRef]
- Moridis, G.J.; Collett, T.S.; Dallimore, S.R.; Satoh, T.; Hancock, S.; Weatherill, B. Numerical studies of gas production from several CH4 hydrate zones at the Mallik site, Mackenzie Delta, Canada. J. Pet. Sci. Eng. 2004, 43, 219–238. [Google Scholar] [CrossRef]
- Tsypkin, G.G. Mathematical Models of Gas Hydrates Dissociation in Porous Media. Ann. N. Y. Acad. Sci. 2006, 912, 428–436. [Google Scholar] [CrossRef]
- Takeya, S.; Hori, A.; Hondoh, T.; Uchida, T. Freezing-Memory Effect of Water on Nucleation of CO2 Hydrate Crystals. J. Phys. Chem. B 2000, 104, 4164–4168. [Google Scholar] [CrossRef]
- Rodger, P.M. Methane Hydrate: Melting and Memory. Ann. N. Y. Acad. Sci. 2000, 912, 474–482. [Google Scholar] [CrossRef]
- Ohmura, R.; Ogawa, M.; Yasuoka, K.; Mori, Y.H. Statistical Study of Clathrate-Hydrate Nucleation in a Water/Hydrochlorofluorocarbon System: Search for the Nature of the “Memory Effect”. J. Phys. Chem. B 2003, 107, 5289–5293. [Google Scholar] [CrossRef]
- Buchanan, P.; Soper, A.K.; Thompson, H.; Westacott, R.E.; Creek, J.L.; Hobson, G.; Koh, C.A. Search for memory effects in methane hydrate: Structure of water before hydrate formation and after hydrate decomposition. J. Chem. Phys. 2005, 123, 164507. [Google Scholar] [CrossRef]
- Thompson, H.; Soper, A.K.; Buchanan, P.; Aldiwan, N.; Creek, J.L.; Koh, C.A. Methane hydrate formation and decomposition: Structural studies via neutron diffraction and empirical potential structure refinement. J. Chem. Phys. 2006, 124, 164508. [Google Scholar] [CrossRef]
- Zeng, H.; Moudrakovski, I.L.; Ripmeester, J.A.; Walker, V.K. Effect of antifreeze protein on nucleation, growth and memory of gas hydrates. AIChE J. 2006, 52, 3304–3309. [Google Scholar] [CrossRef]
- Wu, Q.; Zhang, B. Memory effect on the pressure-temperature condition and induction time of gas hydrate nucleation. J. Nat. Gas Chem. 2010, 19, 446–451. [Google Scholar] [CrossRef]
- He, Y.; Rudolph, E.S.J.; Zitha, P.L.J.; Golombok, M. Kinetics of CO2 and methane hydrate formation: An experimental analysis in the bulk phase. Fuel 2011, 90, 272–279. [Google Scholar] [CrossRef]
- Sefidroodi, H.; Abrahamsen, E.; Kelland, M.A. Investigation into the strength and source of the memory effect for cyclopentane hydrate. Chem. Eng. Sci. 2013, 87, 133–140. [Google Scholar] [CrossRef]
- Sowa, B.; Maeda, N. Statistical Study of the Memory Effect in Model Natural Gas Hydrate Systems. J. Phys. Chem. A 2015, 119, 10784–10790. [Google Scholar] [CrossRef] [PubMed]
- Ripmeester, J.A.; Alavi, S. Some current challenges in clathrate hydrate science: Nucleation, decomposition and the memory effect. Curr. Opin. Solid State Mater. Sci. 2016, 20, 344–351. [Google Scholar] [CrossRef]
- Wang, S.; Yang, M.; Liu, W.; Zhao, J.; Song, Y. Investigation on the induction time of methane hydrate formation in porous media under quiescent conditions. J. Pet. Sci. Eng. 2016, 145, 565–572. [Google Scholar] [CrossRef]
- Saikia, T.; Mahto, V. Experimental investigations of clathrate hydrate inhibition in water based drilling fluid using green inhibitor. J. Pet. Sci. Eng. 2016, 147, 647–653. [Google Scholar] [CrossRef]
- Khan, M.N.; Peters, C.J.; Koh, C.A. Desalination using gas hydrates: The role of crystal nucleation, growth and separation. Desalination 2019, 468, 114049. [Google Scholar] [CrossRef]
- Mu, L.; Ramløv, H.; Søgaard, T.M.M.; Jørgensen, T.; de Jongh, W.A.; von Solms, N. Inhibition of methane hydrate nucleation and growth by an antifreeze protein. J. Pet. Sci. Eng. 2019, 183, 106388. [Google Scholar] [CrossRef]
- Chen, B.; Dong, H.; Sun, H.; Wang, P.; Yang, L. Effect of a weak electric field on THF hydrate formation: Induction time and morphology. J. Pet. Sci. Eng. 2020, 194, 107486. [Google Scholar] [CrossRef]
- Kou, X.; Feng, J.-C.; Li, X.-S.; Wang, Y.; Chen, Z.-Y. Memory effect of gas hydrate: Influencing factors of hydrate reformation and dissociation behaviors. Appl. Energy 2022, 306, 118015. [Google Scholar] [CrossRef]
- Gambelli, A.M.; Rossi, F. Experimental Characterization of Memory Effect, Anomalous Self-Preservation and Ice-Hydrate Competition, during Methane-Hydrates Formation and Dissociation in a Lab-Scale Apparatus. Sustainability 2022, 14, 4807. [Google Scholar] [CrossRef]
- Vysniauskas, A.; Bishnoi, P.R. A kinetic study of methane hydrate formation. Chem. Eng. Sci. 1983, 38, 1061–1072. [Google Scholar] [CrossRef]
- Parent, J.S.; Bishnoi, P.R. Investigations into the Nucleation Behaviour Methane Gas Hydrates. Chem. Eng. Commun. 1996, 144, 51–64. [Google Scholar] [CrossRef]
- Bagherzadeh, S.A.; Alavi, S.; Ripmeester, J.; Englezos, P. Formation of methane nano-bubbles during hydrate decomposition and their effect on hydrate growth. J. Chem. Phys. 2015, 142, 214701. [Google Scholar] [CrossRef] [PubMed]
- Uchida, T.; Yamazaki, K.; Gohara, K. Gas Nanobubbles as Nucleation Acceleration in the Gas-Hydrate Memory Effect. J. Phys. Chem. C 2016, 120, 26620–26629. [Google Scholar] [CrossRef]
- Maeda, N. Interfacial Nanobubbles and the Memory Effect of Natural Gas Hydrates. J. Phys. Chem. C 2018, 122, 11399–11406. [Google Scholar] [CrossRef]
- Maeda, N. Nucleation of Gas Hydrates; Springer: Cham, Switzerland, 2020. [Google Scholar]
- Jing, Z.; Lin, Y.; Cheng, C.; Li, X.; Liu, J.; Jin, T.; Hu, W.; Ma, Y.; Zhao, J.; Wang, S. Fast Formation of Hydrate Induced by Micro-Nano Bubbles: A Review of Current Status. Processes 2023, 11, 1019. [Google Scholar] [CrossRef]
- Kashchiev, D. Nucleation Basic Theory with Applications; Butterworth-Heinemann: Burlington, MA, USA, 2000. [Google Scholar]
- Adams, J.J.; Akkutlu, I.Y.; Moridis, G.J. Modeling of Hydrate Formation Hysteresis in Porous Media. In Proceedings of the SPE Europec Featured at 81st EAGE Conference and Exhibition, London, UK, 3–6 June 2019. [Google Scholar]
- Khurana, M.; Zhenyuan, Y.; Linga, P. A Review of Clathrate Hydrate Nucleation. ACS Sustain. Chem. Eng. 2017, 5, 11176–11203. [Google Scholar] [CrossRef]
- Herath, D.; Khan, F.; Rathnayaka, S.; Rahman, M.A. Probabilistic estimation of hydrate formation. J. Pet. Sci. Eng. 2015, 135, 32–38. [Google Scholar] [CrossRef]
- Kashchiev, D.; Firoozabadi, A. Nucleation of Gas Hydrates. J. Cryst. Growth 2002, 243, 476–489. [Google Scholar] [CrossRef]
- Handa, Y.P. Compositions, enthalpies of dissociation, and heat capacities in the range 85 to 270 K for clathrate hydrates of methane, ethane, and propane, and enthalpy of dissociation of isobutane hydrate, as determined by a heat-flow calorimeter. J. Chem. Thermodyn. 1986, 18, 915–921. [Google Scholar] [CrossRef]
- Anderson, G.K. Enthalpy of dissociation and hydration number of methane hydrate from the Clapeyron equation. J. Chem. Thermodyn. 2004, 36, 1119–1127. [Google Scholar] [CrossRef]
- Kou, X.; Wang, Y.; Li, X.-S.; Zhang, Y.; Chen, Z.-Y. Influence of heat conduction and heat convection on hydrate dissociation by depressurization in a pilot-scale hydrate simulator. Appl. Energy 2019, 251, 113405. [Google Scholar] [CrossRef]
- Maeda, N. Brief Overview of Ice Nucleation. Molecules 2021, 26, 392. [Google Scholar] [CrossRef]
- Kashchiev, D.; Firoozabadi, A. Induction time in crystallization of gas hydrates. J. Cryst. Growth 2003, 250, 499–515. [Google Scholar] [CrossRef]
- Yovanovich, M.M. Dimensionless Shape Factors and Diffusion Lengths of Three-Dimensional Bodies. In Proceedings of the ASME/JSME Thermal Engineering Joint Conference, Lahaina, HI, USA, 19–24 March 1995. [Google Scholar]
- Baek, S.; Lee, W.; Min, J.; Ahn, Y.-H.; Kang, D.W.; Lee, J.W. Hydrate seeding effect on the metastability of CH4 hydrate. Korean J. Chem. Eng. 2020, 37, 341–349. [Google Scholar] [CrossRef]
- Englezos, P.; Alavi, S.; Ripmeester, J.A. Kinetics of Clathrate Hydrate Processes. In Clathrate Hydrates: Molecular Science and Characterization, 1st ed.; Ripmeester, J.A., Alavi, S., Eds.; Wiley: Weinheim, Germany, 2022; Volume 1, p. 655. [Google Scholar]
- May, E.F.; Wu, R.; Kelland, M.A.; Aman, Z.M.; Kozielski, K.A.; Hartley, P.G.; Maeda, N. Quantitative kinetic inhibitor comparisons and memory effect measurements from hydrate formation probability distributions. Chem. Eng. Sci. 2014, 107, 1–12. [Google Scholar] [CrossRef]
- Cheng, C.; Wang, F.; Qi, T.; Xu, P.; Zhang, Q.; Zhang, Z.; He, C.; Zhang, J.; Zheng, J.; Zhao, J.; et al. Depressurization-induced changes in memory effect of hydrate reformation correlated with sediment morphology. Energy 2021, 217, 119374. [Google Scholar] [CrossRef]
- Gulec, H.A.; Sarioglu, K.; Mutlu, M. Modification of food contacting surfaces by plasma polymerisation technique. Part I: Determination of hydrophilicity, hydrophobicity and surface free energy by contact angle method. J. Food Eng. 2006, 75, 187–195. [Google Scholar] [CrossRef]
- Clint, J.H.; Wicks, A.C. Adhesion under water: Surface energy considerations. Int. J. Adhes. Adhes. 2001, 21, 267–273. [Google Scholar] [CrossRef]
















| Parameter | Unit | Value | Reference |
|---|---|---|---|
| A | m−3 s−1 | 4 × 1026 | [39] |
| k | m2 g s−2 K−1 | 1.38 × 10−23 | [39] |
| Δse | J/K | 3.07 × 10−22 | [39] |
| c | - | (36π)1/3 | [39] |
| C0 | m−2 | 1019 | [35] |
| pe | Mpa | 2.6 | [39] |
| σah | mJ/m2 | 20 | [39] |
| υh | nm3 | 0.216 | [39] |
| αh | nm2 | 0.440 | [39] |
| dh | nm | 0.744 | [39] |
| υ0 | nm3 | 0.216 | [39] |
| α0 | nm2 | 0.330 | [35] |
| d0 | nm | 0.650 | [35] |
| h | nm | 0.650 | [35] |
| Parameter | Unit | Value | Reference |
|---|---|---|---|
| ε | - | 1 | [44] |
| Def | μm2/s | 1000 | [44] |
| Ce | nm−3 | 0.03 | [44] |
| αh | nm2 | 0.440 | [44] |
| h | nm | 0.650 | [35] |
| k | m2 g s−2 K−1 | 1.38 × 10−23 | [39] |
| Δse | J/K | 3.07 × 10−22 | [39] |
| σah | mJ/m2 | 20 | [39] |
| α0 | nm2 | 0.330 | [35] |
| Parameter | Unit | Value |
|---|---|---|
| αd | - | 0.01 |
| Ψ(60°) | - | 0.538 |
| c′ (3D-60°) | - | 2.25 |
| c′ (2D) | - | 8 |
| m | - | 1 |
| Ψ(90°) | - | 0.794 |
| c’ (3D-90°) | - | 3.33 |
| T, K | ΔT, K | J, m−3 s−1 | G, m/s | ti, s | Nins,n | Cumulative Nins,n |
|---|---|---|---|---|---|---|
| 291 | 2.2 | 2.58 × 10−205 | 2.39 × 10−3 | 4.74 × 1052 | 5.60 × 10−112 | 5.60 × 10−112 |
| 290 | 3.2 | 1.06 × 10−83 | 3.62 × 10−3 | 1.37 × 1022 | 1.94 × 10−81 | 1.94 × 10−81 |
| 289 | 4.2 | 7.08 × 10−38 | 4.97 × 10−3 | 3.78 × 1010 | 7.03 × 10−70 | 7.03 × 10−70 |
| 288 | 5.2 | 8.92 × 10−16 | 6.44 × 10−3 | 9.29 × 104 | 2.86 × 10−64 | 2.86 × 10−64 |
| 287 | 6.2 | 1.93 × 10−3 | 8.04 × 10−3 | 6.49 × 101 | 4.10 × 10−61 | 4.10 × 10−61 |
| 286 | 7.2 | 7.51 × 104 | 9.78 × 10−3 | 7.09 × 10−1 | 3.75 × 10−59 | 3.79 × 10−59 |
| 285 | 8.2 | 7.63 × 109 | 1.17 × 10−2 | 3.48 × 10−2 | 7.65 × 10−58 | 8.02 × 10−58 |
| 284 | 9.2 | 2.31 × 1013 | 1.37 × 10−2 | 4.15 × 10−3 | 6.41 × 10−57 | 7.21 × 10−57 |
| 283 | 10.2 | 7.71 × 1015 | 1.60 × 10−2 | 8.66 × 10−4 | 3.07 × 10−56 | 3.79 × 10−56 |
| 282 | 11.2 | 5.99 × 1017 | 1.85 × 10−2 | 2.62 × 10−4 | 1.02 × 10−55 | 1.39 × 10−55 |
| 281 | 12.2 | 1.71 × 1019 | 2.12 × 10−2 | 1.02 × 10−4 | 2.60 × 10−55 | 3.99 × 10−55 |
| 280 | 13.2 | 2.40 × 1020 | 2.41 × 10−2 | 4.79 × 10−5 | 5.55 × 10−55 | 9.55 × 10−55 |
| 279 | 14.2 | 2.01 × 1021 | 2.74 × 10−2 | 2.56 × 10−5 | 1.04 × 10−54 | 1.99 × 10−54 |
| 278 | 15.2 | 1.14 × 1022 | 3.09 × 10−2 | 1.51 × 10−5 | 1.76 × 10−54 | 3.75 × 10−54 |
| 277 | 16.2 | 4.85 × 1022 | 3.48 × 10−2 | 9.66 × 10−6 | 2.75 × 10−54 | 6.50 × 10−54 |
| 276 | 17.2 | 1.64 × 1023 | 3.90 × 10−2 | 6.54 × 10−6 | 4.07 × 10−54 | 1.06 × 10−53 |
| 275 | 18.2 | 4.62 × 1023 | 4.37 × 10−2 | 4.63 × 10−6 | 5.74 × 10−54 | 1.63 × 10−53 |
| Material | σ (mJ/m2) | Reference |
|---|---|---|
| Stainless Steel | 30.54 | [50] |
| Glass | 58.95 | [50] |
| Quartz | 96.00 | [51] |
| Experimental Setup Used | Dissociation Temperature at which the memory effect is erased (°C) | Reference |
| Stainless Steel Cell | 25.00 | [16] |
| Glass Cell | 37.85 | [19] |
| Sand pack | 46.40 | [36] |
Disclaimer/Publisher’s Note: The statements, opinions and data contained in all publications are solely those of the individual author(s) and contributor(s) and not of MDPI and/or the editor(s). MDPI and/or the editor(s) disclaim responsibility for any injury to people or property resulting from any ideas, methods, instructions or products referred to in the content. |
© 2024 by the authors. Licensee MDPI, Basel, Switzerland. This article is an open access article distributed under the terms and conditions of the Creative Commons Attribution (CC BY) license (https://creativecommons.org/licenses/by/4.0/).
Share and Cite
Akkutlu, I.Y.; Arslan, E.; Khan, F.I. Hydrate Formation with the Memory Effect Using Classical Nucleation Theory. Crystals 2024, 14, 243. https://doi.org/10.3390/cryst14030243
Akkutlu IY, Arslan E, Khan FI. Hydrate Formation with the Memory Effect Using Classical Nucleation Theory. Crystals. 2024; 14(3):243. https://doi.org/10.3390/cryst14030243
Chicago/Turabian StyleAkkutlu, I. Yucel, Emre Arslan, and Faisal Irshad Khan. 2024. "Hydrate Formation with the Memory Effect Using Classical Nucleation Theory" Crystals 14, no. 3: 243. https://doi.org/10.3390/cryst14030243
APA StyleAkkutlu, I. Y., Arslan, E., & Khan, F. I. (2024). Hydrate Formation with the Memory Effect Using Classical Nucleation Theory. Crystals, 14(3), 243. https://doi.org/10.3390/cryst14030243
